Enhancing Antioxidant Benefits of Kombucha Through Optimized Glucuronic Acid by Selected Symbiotic Fermentation Culture
Abstract
1. Introduction
2. Materials and Methods
2.1. Materials and Microorganisms
2.2. Preparation of Kombucha Tea
2.3. Analysis of Glucuronic Acid
2.4. Response Surface Methodology
2.5. Analysis of Metabolites
2.6. Determination of pH Values
2.7. Analysis of the Antioxidant Capacity
2.8. Analysis of Microbiota Location from the Produced Bacterial Cellulose (BC)
2.9. Statistical Analysis
3. Results and Discussion
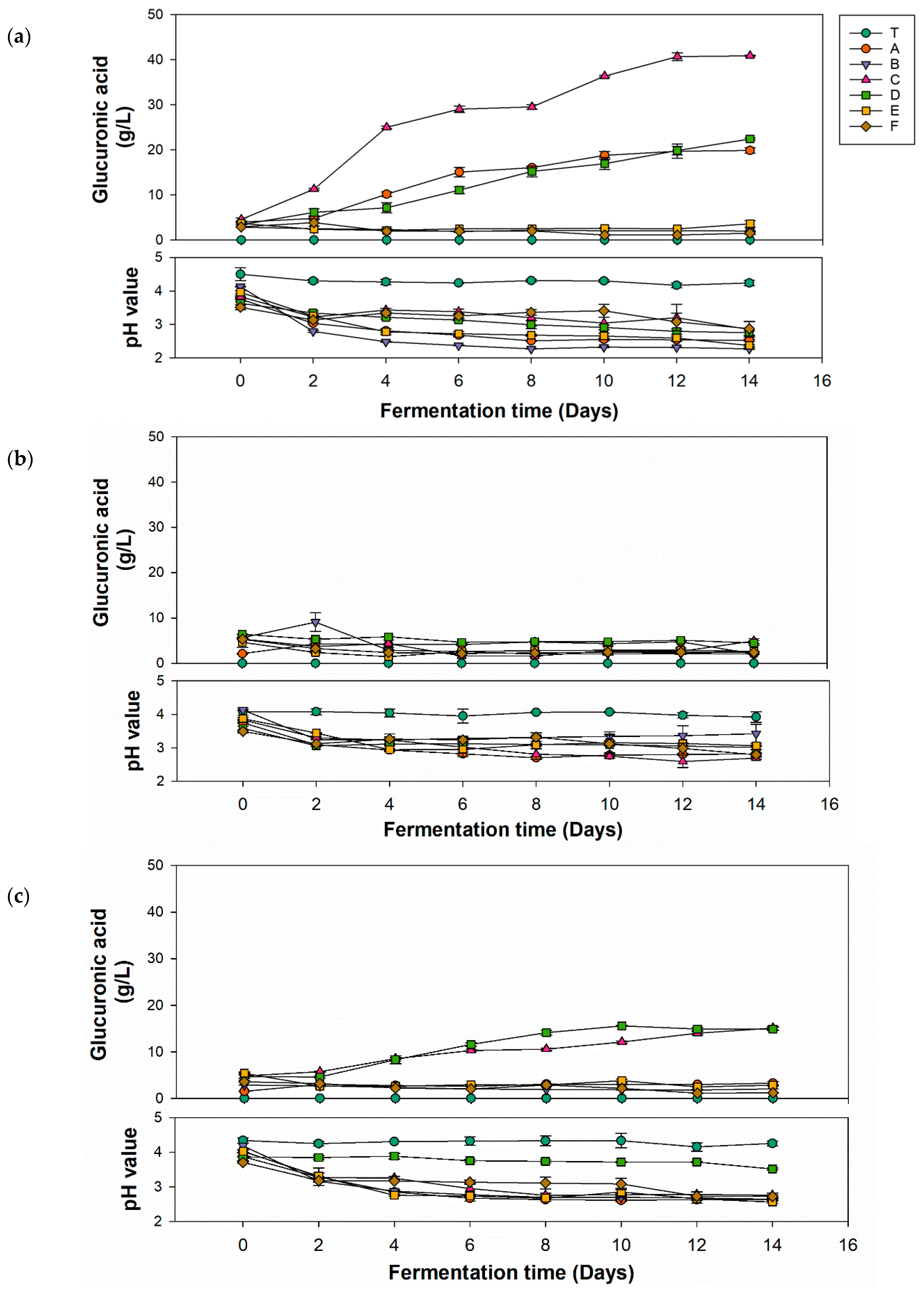
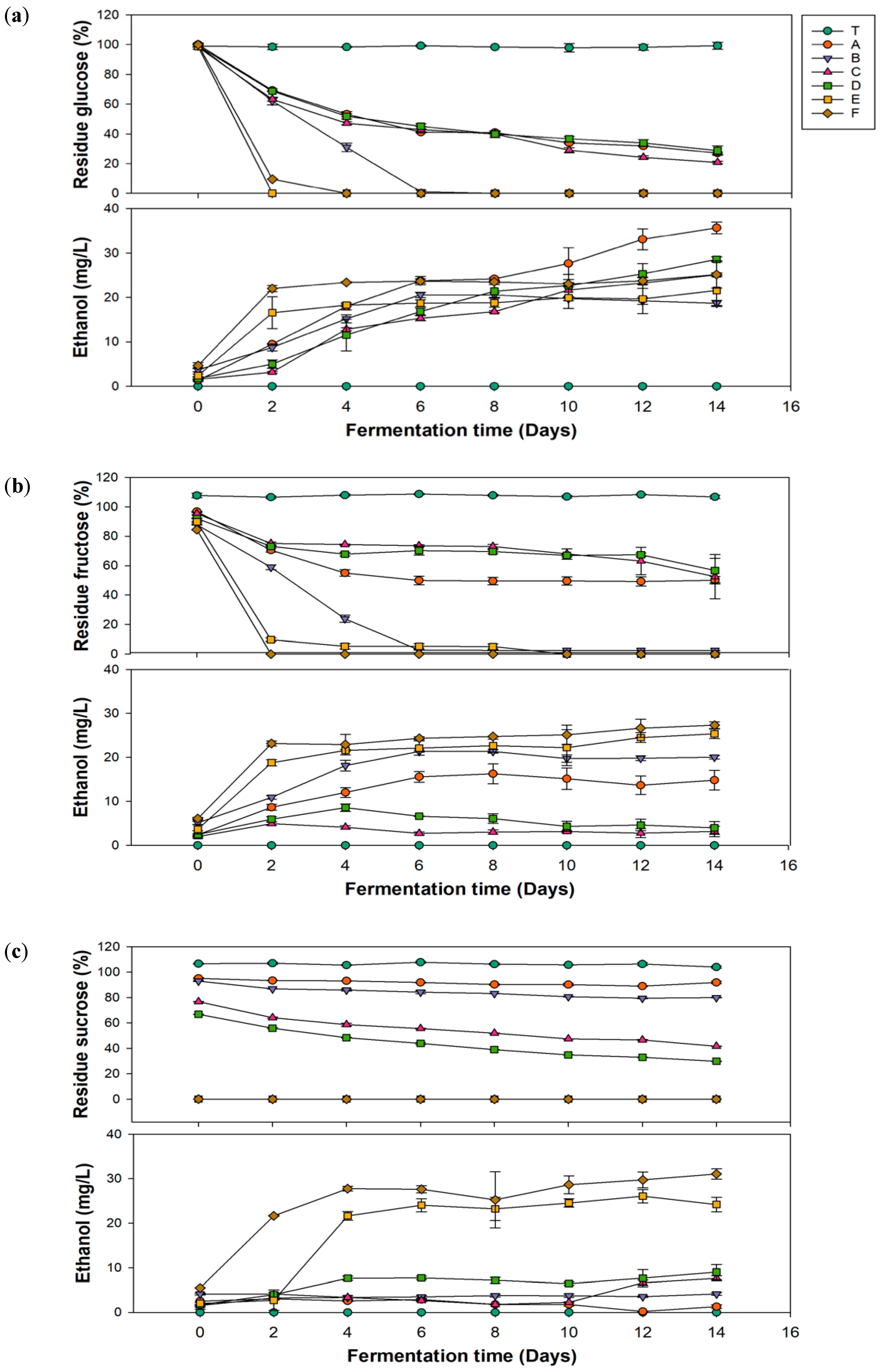
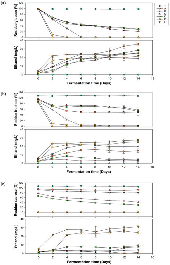
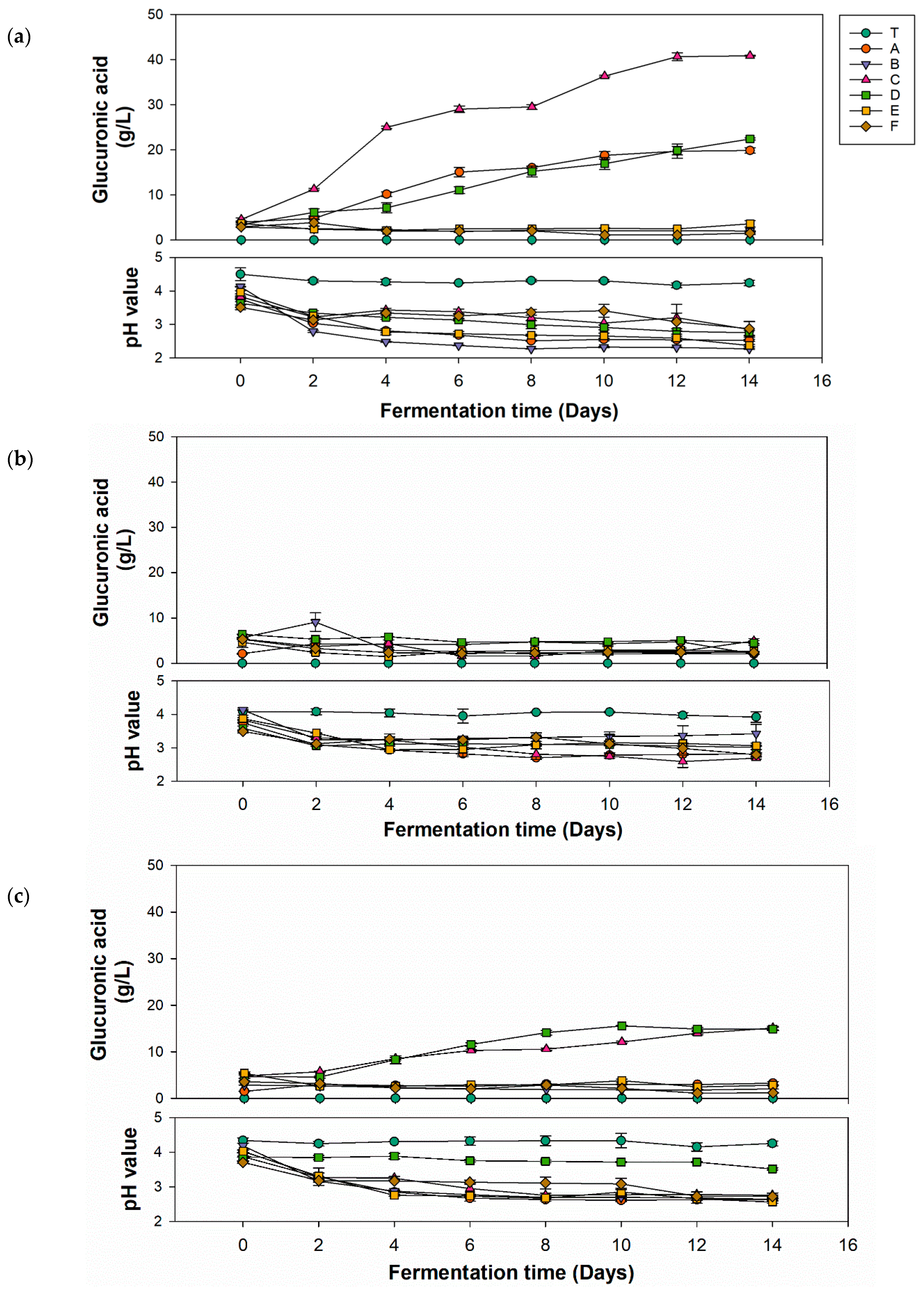
3.1. Different SCOBY Combinations in Kombucha Production
3.2. Optimal Single-Factor Fermentation Conditions for Gluconic Acid Production
3.3. Optimization of Glucuronic Acid Production Using RSM
3.4. Antioxidant Capacity and TPC of Optimized Kombucha
3.5. Analysis of Microbiota Location from the Produced BC
4. Conclusions
Author Contributions
Funding
Institutional Review Board Statement
Informed Consent Statement
Data Availability Statement
Conflicts of Interest
References
- Jansen, C.A.; Zanzarin, D.M.; Março, P.H.; Porto, C.; do Prado, R.M.; Carvalhaes, F.; Pilau, E.J. Metabolomic kinetics investigation of Camellia sinensis kombucha using mass spectrometry and bioinformatics approaches. Heliyon 2024, 10, e28937. [Google Scholar] [CrossRef] [PubMed]
- Jayabalan, R.; Chen, P.-N.; Hsieh, Y.-S.; Prabhakaran, K.; Pitchai, P.; Marimuthu, S.; Thangaraj, P.; Swaminathan, K.; Yun, S.E. Effect of solvent fractions of kombucha tea on viability and invasiveness of cancer cells—Characterization of dimethyl 2-(2-hydroxy-2-methoxypropylidine) malonate and vitexin. Indian J. Biotechnol. 2011, 10, 75–82. [Google Scholar]
- Mukadam, T.A.; Punjabi, K.; Deshpande, S.D.; Vaidya, S.P.; Chowdhary, A.S. Isolation and characterization of bacteria and yeast from Kombucha tea. Int. J. Curr. Microbiol. Appl. Sci. 2016, 5, 32–41. [Google Scholar] [CrossRef]
- Teoh, A.L.; Heard, G.; Cox, J. Yeast ecology of Kombucha fermentation. Int. J. Food Microbiol. 2004, 95, 119–126. [Google Scholar] [CrossRef] [PubMed]
- Jankovic, I.; Stojanovic, M. Microbial and chemical composition, growth, therapeutical and antimicrobial characteristics of tea fungus. Mikrobiologija 1994, 31, 35–43. [Google Scholar]
- Frank, G.W. Kombucha: Healthy Beverage and Natural Remedy from the Far East; Its Correct Preparation and Use; Ennsthaler: Steyr, Austria, 1991. [Google Scholar]
- Mayser, P.; Fromme, S.; Leitzmann, G.; Gründer, K. The yeast spectrum of the ‘tea fungus Kombucha’ Das Hefespektrum des ‘Teepilzes Kombucha’. Mycoses 1995, 38, 289–295. [Google Scholar] [CrossRef]
- Liu, C.-H.; Hsu, W.-H.; Lee, F.-L.; Liao, C.-C. The isolation and identification of microbes from a fermented tea beverage, Haipao, and their interactions during Haipao fermentation. Food Microbiol. 1996, 13, 407–415. [Google Scholar] [CrossRef]
- Villarreal-Soto, S.A.; Beaufort, S.; Bouajila, J.; Souchard, J.P.; Taillandier, P. Understanding kombucha tea fermentation: A review. J. Food Sci. 2018, 83, 580–588. [Google Scholar] [CrossRef]
- Huang, X.; Xin, Y.; Lu, T. A systematic, complexity-reduction approach to dissect the kombucha tea microbiome. eLife 2022, 11, e76401. [Google Scholar] [CrossRef]
- Dey, B.; Jayaraman, S.; Balasubramanian, P. Investigating the effects of drying on the physical properties of Kombucha Bacterial Cellulose: Kinetic study and modeling approach. J. Clean. Prod. 2024, 452, 142204. [Google Scholar] [CrossRef]
- Leal, J.; Suárez, L.; Jayabalan, R.; Oros, J.; Escalante-Aburto, A. A review on health benefits of kombucha nutritional compounds and metabolites. CYTA J Food 2018, 16, 390–399. [Google Scholar] [CrossRef]
- Woo, H.-G.; Lee, C.-M.; Jeong, J.-H.; Choi, B.-K.; Huh, C.-K. Quality characteristics of kombucha made with different mixing ratios of green tea extract and yuzu juice during fermentation. Korean J. Food Preserv. 2021, 28, 646–653. [Google Scholar] [CrossRef]
- Jayabalan, R.; Malbaša, R.V.; Lončar, E.S.; Vitas, J.S.; Sathishkumar, M. A review on kombucha tea—Microbiology, composition, fermentation, beneficial effects, toxicity, and tea fungus. Compr. Rev. Food Sci. Food Saf. 2014, 13, 538–550. [Google Scholar] [CrossRef] [PubMed]
- Blanc, P.J. Characterization of the tea fungus metabolites. Biotechnol. Lett. 1996, 18, 139–142. [Google Scholar] [CrossRef]
- Reiss, J. Influence of different sugars on the metabolism of the tea fungus. Z. Lebensm. Unters. Forsch. 1994, 198, 258–261. [Google Scholar] [CrossRef]
- Sievers, M.; Lanini, C.; Weber, A.; Schuler-Schmid, U.; Teuber, M. Microbiology and fermentation balance in a kombucha beverage obtained from a tea fungus fermentation. Syst. Appl. Microbiol. 1995, 18, 590–594. [Google Scholar] [CrossRef]
- Kapp, J.M.; Sumner, W. Kombucha: A systematic review of the empirical evidence of human health benefit. Ann. Epidemiol. 2019, 30, 66–70. [Google Scholar] [CrossRef]
- Morales, D. Biological activities of kombucha beverages: The need of clinical evidence. Trends Food Sci. Technol. 2020, 105, 323–333. [Google Scholar] [CrossRef]
- Phan-Van, T.; Pham-Quang, H.; Do, A.D. Cascara kombucha potential as a functional food for fasting glucose regulation, cholesterol control, and liver function modulation: In vitro and in vivo study. Int. J. Food Sci. Technol 2024, 59, 8908–8916. [Google Scholar] [CrossRef]
- Lee, Y.J.; Kang, H.J.; Yi, S.H.; Jung, Y.H. Antioxidant Properties of Kombucha Made with Tartary Buckwheat Tea and Burdock Tea. Prev. Nutr. Food Sci. 2023, 28, 347–352. [Google Scholar] [CrossRef]
- Sharma, V.; Bhattacharya, A.; Kumar, A.; Sharma, H. Health benefits of tea consumption. Trop. J. Pharm. Res 2007, 6, 785–792. [Google Scholar] [CrossRef]
- Chambial, S.; Dwivedi, S.; Shukla, K.K.; John, P.J.; Sharma, P. Vitamin C in disease prevention and cure: An overview. Indian J. Clin. Biochem. 2013, 28, 314–328. [Google Scholar] [CrossRef] [PubMed]
- Wintergerst, E.S.; Maggini, S.; Hornig, D.H. Immune-enhancing role of vitamin C and zinc and effect on clinical conditions. Ann. Nutr. Metab. 2006, 50, 85–94. [Google Scholar] [CrossRef] [PubMed]
- Neffe-Skocińska, K.; Sionek, B.; Ścibisz, I.; Kołożyn-Krajewska, D. Acid contents and the effect of fermentation condition of Kombucha tea beverages on physicochemical, microbiological and sensory properties. CYTA J. Food 2017, 15, 601–607. [Google Scholar] [CrossRef]
- Nguyen, N.K.; Nguyen, P.B.; Nguyen, H.T.; Le, P.H. Screening the optimal ratio of symbiosis between isolated yeast and acetic acid bacteria strain from traditional kombucha for high-level production of glucuronic acid. LWT-Food Sci. Technol. 2015, 64, 1149–1155. [Google Scholar] [CrossRef]
- Yavari, N.; Assadi, M.M.; Moghadam, M.B.; Larijani, K. Optimizing glucuronic acid production using tea fungus on grape juice by response surface methodology. Aust. J. Basic. Appl. Sci. 2011, 5, 1788–1794. [Google Scholar]
- Vargas, B.K.; Fabricio, M.F.; Ayub, M.A.Z. Health effects and probiotic and prebiotic potential of Kombucha: A bibliometric and systematic review. Food Biosci. 2021, 44, 101332. [Google Scholar] [CrossRef]
- Kluz, M.I.; Pietrzyk, K.; Pastuszczak, M.; Kacaniova, M.; Kita, A.; Kapusta, I.; Zaguła, G.; Zagrobelna, E.; Struś, K.; Marciniak-Lukasiak, K.; et al. Microbiological and Physicochemical Composition of Various Types of Homemade Kombucha Beverages Using Alternative Kinds of Sugars. Foods 2022, 11, 1523. [Google Scholar] [CrossRef]
- Jayabalan, R.; Marimuthu, S.; Swaminathan, K. Changes in content of organic acids and tea polyphenols during kombucha tea fermentation. Food Chem. 2007, 102, 392–398. [Google Scholar] [CrossRef]
- Lončar, E.; Djurić, M.; Malbaša, R.; Kolarov, L.; Klašnja, M. Influence of working conditions upon kombucha conducted fermentation of black tea. Food Bioprod. Process. 2006, 84, 186–192. [Google Scholar] [CrossRef]
- Ahmed, W.; Angel, N.; Edson, J.; Bibby, K.; Bivins, A.; O’Brien, J.W.; Choi, P.M.; Kitajima, M.; Simpson, S.L.; Li, J.; et al. First confirmed detection of SARS-CoV-2 in untreated wastewater in Australia: A proof of concept for the wastewater surveillance of COVID-19 in the community. Sci. Total Environ. 2020, 728, 138764. [Google Scholar] [CrossRef] [PubMed]
- Jayabalan, R.; Subathradevi, P.; Marimuthu, S.; Sathishkumar, M.; Swaminathan, K. Changes in free-radical scavenging ability of kombucha tea during fermentation. Food Chem. 2008, 109, 227–234. [Google Scholar] [CrossRef] [PubMed]
- Ilyasov, R.A.; Lee, M.-L.; Takahashi, J.-I.; Kwon, H.W.; Nikolenko, A.G. A revision of subspecies structure of western honey bee Apis mellifera. Saudi J. Biol. Sci. 2020, 27, 3615–3621. [Google Scholar] [CrossRef] [PubMed]
- Massoud, R.; Jafari-Dastjerdeh, R.; Naghavi, N.; Khosravi-Darani, K. All aspects of antioxidant properties of kombucha drink. Biointerface Res. Appl. Chem. 2022, 12, 4018–4027. [Google Scholar]
- Ayed, L.; Ben Abid, S.; Hamdi, M. Development of a beverage from red grape juice fermented with the Kombucha consortium. Ann. Microbiol. 2017, 67, 111–121. [Google Scholar] [CrossRef]
- Nummer, B.A. Kombucha brewing under the Food and Drug Administration model Food Code: Risk analysis and processing guidance. J. Environ. Health 2013, 76, 8–11. [Google Scholar]
- Rukman, M.S.; Haerussana, A.N.E.M. The effect of different sweeteners on the free radical scavenging activities, alcohol contents, sugar reductions, and hedonic properties of green tea kombucha. Pharm. Sci. Asia 2023, 50, 51–58. [Google Scholar] [CrossRef]
- Jang, S.S.; McIntyre, L.; Chan, M.; Brown, P.N.; Finley, J.; Chen, S.X. Ethanol concentration of kombucha teas in British Columbia, Canada. J. Food Prot. 2021, 84, 1878–1883. [Google Scholar] [CrossRef]
- Ansari, F.; Pourjafar, H.; Kangari, A.; Homayouni, A. Evaluation of the glucuronic acid production and antibacterial properties of kombucha black tea. Curr. Pharm. Biotechnol. 2019, 20, 985–990. [Google Scholar] [CrossRef]
- Aboulwafa, M.M.; Youssef, F.S.; Gad, H.A.; Altyar, A.E.; Al-Azizi, M.M.; Ashour, M.L. A Comprehensive insight on the health benefits and phytoconstituents of Camellia sinensis and recent approaches for its quality control. Antioxidants 2019, 8, 455. [Google Scholar] [CrossRef]
- Cardoso, R.R.; Neto, R.O.; Dos Santos D’Almeida, C.T.; do Nascimento, T.P.; Pressete, C.G.; Azevedo, L.; Martino, H.S.D.; Cameron, L.C.; Ferreira, M.S.L.; Barros, F.A.R. Kombuchas from green and black teas have different phenolic profile, which impacts their antioxidant capacities, antibacterial and antiproliferative activities. Food Res. Int. 2020, 128, 108782. [Google Scholar] [CrossRef] [PubMed]
- Vina, I.; Semjonovs, P.; Linde, R.; Patetko, A. Glucuronic acid containing fermented functional beverages produced by natural yeasts and bacteria associations. Int. J. Res. Rev. Appl. 2013, 14, 17–25. [Google Scholar]
- Hammel, R.; Karakilic, V.; Shaw, F. The affect of temperature and pH on the food safety of kombucha tea. BCIT Environ. Public. Health J. 2016. [Google Scholar] [CrossRef]
- Soh, H.-S.; Lee, S.-P. Production of microbial cellulose and acids in Kombucha. Prev. Nutr. Food Sci. 2002, 7, 37–42. [Google Scholar] [CrossRef]
- Li, R.; Xu, Y.; Chen, J.; Wang, F.; Zou, C.; Yin, J. Enhancing the proportion of gluconic acid with a microbial community reconstruction method to improve the taste quality of Kombucha. LWT-Food Sci. Technol. 2022, 155, 112937. [Google Scholar] [CrossRef]
- Wang, X.; Wang, D.; Wang, H.; Jiao, S.; Wu, J.; Hou, Y.; Sun, J.; Yuan, J. Chemical profile and antioxidant capacity of kombucha tea by the pure cultured kombucha. LWT-Food Sci. Technol. 2022, 168, 113931. [Google Scholar] [CrossRef]
- Muhialdin, B.; Osman, F.A.; Muhamad, R.; Sapawi, C.W.N.S.C.; Anzian, A.; Voon, W.; Meor Hussin, A.S. Effects of sugar sources and fermentation time on the properties of tea fungus (kombucha) beverage. Int. Food Res. J. 2019, 26, 481–487. [Google Scholar]
- Yang, J.; Lagishetty, V.; Kurnia, P.; Henning, S.M.; Ahdoot, A.I.; Jacobs, J.P. Microbial and chemical profiles of commercial kombucha products. Nutrients 2022, 14, 670. [Google Scholar] [CrossRef]
- Morales, D.; Gutiérrez-Pensado, R.; Bravo, F.I.; Muguerza, B. Novel kombucha beverages with antioxidant activity based on fruits as alternative substrates. LWT-Food Sci. Technol. 2023, 189, 115482. [Google Scholar] [CrossRef]
- Lin, S.-P.; Calvar, I.L.; Catchmark, J.M.; Liu, J.-R.; Demirci, A.; Cheng, K.-C. Biosynthesis, production and applications of bacterial cellulose. Cellulose 2013, 20, 2191–2219. [Google Scholar] [CrossRef]







| Factors | Symbol | Coded Variable Level | ||
|---|---|---|---|---|
| −1 | 0 | 1 | ||
| Glucose (% (w/v)) | X1 | 5 | 12.5 | 20 |
| Black tea (% (w/v)) | X2 | 3 | 10 | 17 |
| Temperature (°C) | X3 | 21 | 28 | 35 |
| Run Order | X1 | X2 | X3 | X1 Glucose (%, w/v) | X2 Black Tea (%, w/v) | X3 Temp. (°C) | Actual Value (g/L) | Theoretical Value (g/L) |
|---|---|---|---|---|---|---|---|---|
| 1 | 1 | 0 | 1 | 20 | 10 | 35 | 34.61 | 38.08 |
| 2 | −1 | 0 | 1 | 5 | 10 | 35 | 23.37 | 24.85 |
| 3 | 0 | 1 | 1 | 12.5 | 17 | 35 | 35.66 | 36.28 |
| 4 | 1 | 0 | −1 | 20 | 10 | 21 | 14.52 | 13.04 |
| 5 | 0 | 0 | 0 | 12.5 | 10 | 28 | 77.26 | 81.09 |
| 6 | −1 | 1 | 0 | 5 | 17 | 28 | 41.06 | 38.97 |
| 7 | 0 | 0 | 0 | 12.5 | 10 | 28 | 87.26 | 81.09 |
| 8 | 1 | −1 | 0 | 20 | 3 | 28 | 32.73 | 34.83 |
| 9 | 0 | 1 | −1 | 12.5 | 17 | 21 | 11.31 | 16.96 |
| 10 | −1 | −1 | 0 | 5 | 3 | 28 | 23.72 | 27.79 |
| 11 | 0 | 0 | 0 | 12.5 | 10 | 28 | 82.5 | 81.09 |
| 12 | 0 | −1 | −1 | 12.5 | 3 | 21 | 29.95 | 29.32 |
| 13 | 1 | 1 | 0 | 20 | 17 | 28 | 27.01 | 22.93 |
| 14 | −1 | 0 | −1 | 5 | 10 | 21 | 38.74 | 35.26 |
| 15 | 0 | −1 | 1 | 12.5 | 3 | 35 | 30.28 | 24.63 |
| 16 | 0 | 0 | 0 | 12.5 | 10 | 28 | 80.5 | 81.09 |
| 17 | 0 | 0 | 0 | 12.5 | 10 | 28 | 77.92 | 81.09 |
| Factors | df | Sum of Squares | Mean Square | F Value | p Value |
|---|---|---|---|---|---|
| Linear | |||||
| X1 | 1 | 40.6 | 40.6 | 1.42 | 0.272 |
| X2 | 1 | 0.3 | 0.34 | 0.01 | 0.917 |
| X3 | 1 | 108.1 | 108.08 | 3.78 | 0.093 |
| Square | |||||
| X1X1 | 1 | 2521.7 | 2521.75 | 88.25 | 0.000 |
| X2X2 | 1 | 2734.7 | 2734.74 | 95.7 | 0.000 |
| X3X3 | 1 | 3493.6 | 3493.6 | 122.26 | 0.000 |
| Interaction | |||||
| X1X2 | 1 | 133 | 133.04 | 4.66 | 0.068 |
| X1X3 | 1 | 314.2 | 314.23 | 11 | 0.013 |
| X2X3 | 1 | 144.2 | 144.19 | 5.05 | 0.060 |
| Lack-of-Fit | 3 | 134.9 | 44.98 | 2.76 | 0.175 |
| coefficient δ | |||||
| R2 | 0.9813 | ||||
| Adjusted R2 | 0.9573 |
| Glucose (%, w/v) | Black Tea (%, w/v) | Temp. (°C) | Glucuronic Acid (g/L) | ||
|---|---|---|---|---|---|
| Actual Value | Theoretical Value | ||||
| Kombucha | 10 | 1 | 28 | 33.49 | ---- |
| Optimized kombucha | 12.27 | 10.07 | 28.4 | 80.16 | 81.24 |
Disclaimer/Publisher’s Note: The statements, opinions and data contained in all publications are solely those of the individual author(s) and contributor(s) and not of MDPI and/or the editor(s). MDPI and/or the editor(s) disclaim responsibility for any injury to people or property resulting from any ideas, methods, instructions or products referred to in the content. |
© 2024 by the authors. Licensee MDPI, Basel, Switzerland. This article is an open access article distributed under the terms and conditions of the Creative Commons Attribution (CC BY) license (https://creativecommons.org/licenses/by/4.0/).
Share and Cite
Chou, Y.-C.; Lin, H.-W.; Wang, C.-Y.; Hsieh, C.-C.; Santoso, S.P.; Lin, S.-P.; Cheng, K.-C. Enhancing Antioxidant Benefits of Kombucha Through Optimized Glucuronic Acid by Selected Symbiotic Fermentation Culture. Antioxidants 2024, 13, 1323. https://doi.org/10.3390/antiox13111323
Chou Y-C, Lin H-W, Wang C-Y, Hsieh C-C, Santoso SP, Lin S-P, Cheng K-C. Enhancing Antioxidant Benefits of Kombucha Through Optimized Glucuronic Acid by Selected Symbiotic Fermentation Culture. Antioxidants. 2024; 13(11):1323. https://doi.org/10.3390/antiox13111323
Chicago/Turabian StyleChou, Yu-Chieh, Hui-Wen Lin, Chung-Yi Wang, Chen-Che Hsieh, Shella Permatasari Santoso, Shin-Ping Lin, and Kuan-Chen Cheng. 2024. "Enhancing Antioxidant Benefits of Kombucha Through Optimized Glucuronic Acid by Selected Symbiotic Fermentation Culture" Antioxidants 13, no. 11: 1323. https://doi.org/10.3390/antiox13111323
APA StyleChou, Y.-C., Lin, H.-W., Wang, C.-Y., Hsieh, C.-C., Santoso, S. P., Lin, S.-P., & Cheng, K.-C. (2024). Enhancing Antioxidant Benefits of Kombucha Through Optimized Glucuronic Acid by Selected Symbiotic Fermentation Culture. Antioxidants, 13(11), 1323. https://doi.org/10.3390/antiox13111323

