Insight into Physiological and Biochemical Determinants of Salt Stress Tolerance in Tetraploid Citrus
Abstract
1. Introduction
2. Materials and Methods
2.1. Plant Material
2.2. Salt Stress Experiment
2.3. Determination of Physiological Characteristics
2.4. Determination of Major Cations and Chloride Concentrations
2.5. Determination of Biochemical Characteristics
2.6. Statistical Analysis
3. Results
3.1. Physiological and Biochemical Parameters Explaining the Differences between the Diploid PO and CL Genotypes (PO2x and CL2x) and Their 4x Counterparts (PO4x and CL4x) under Control Conditions
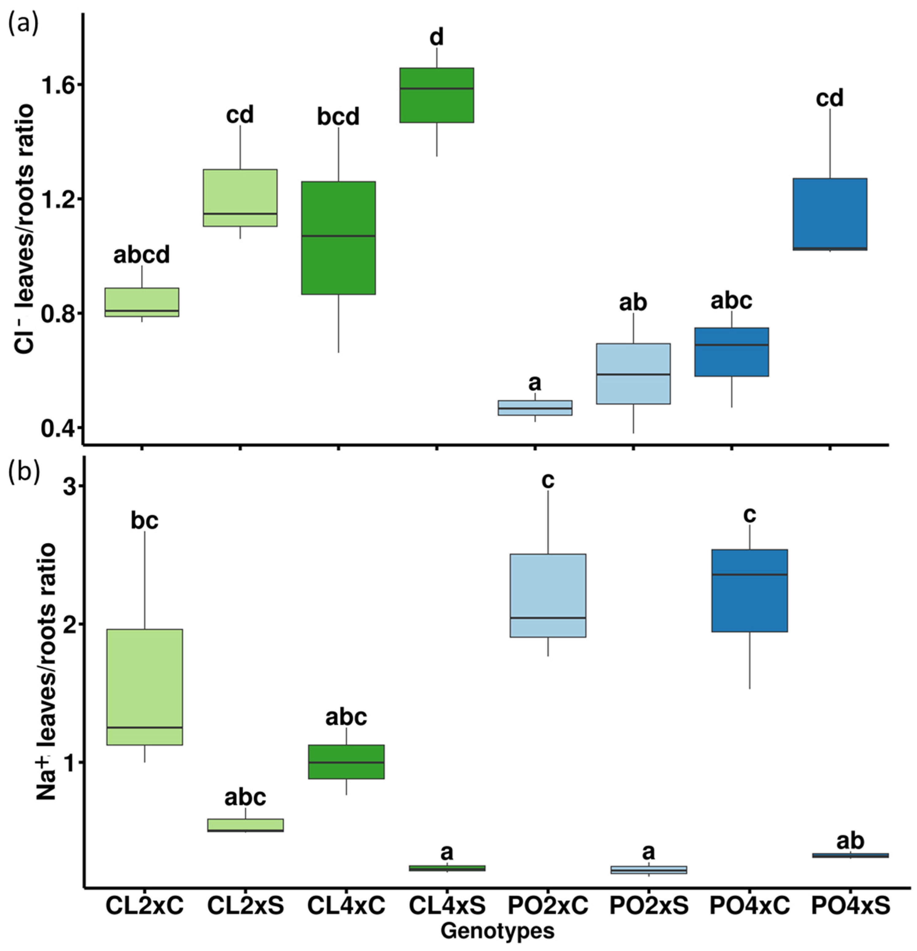
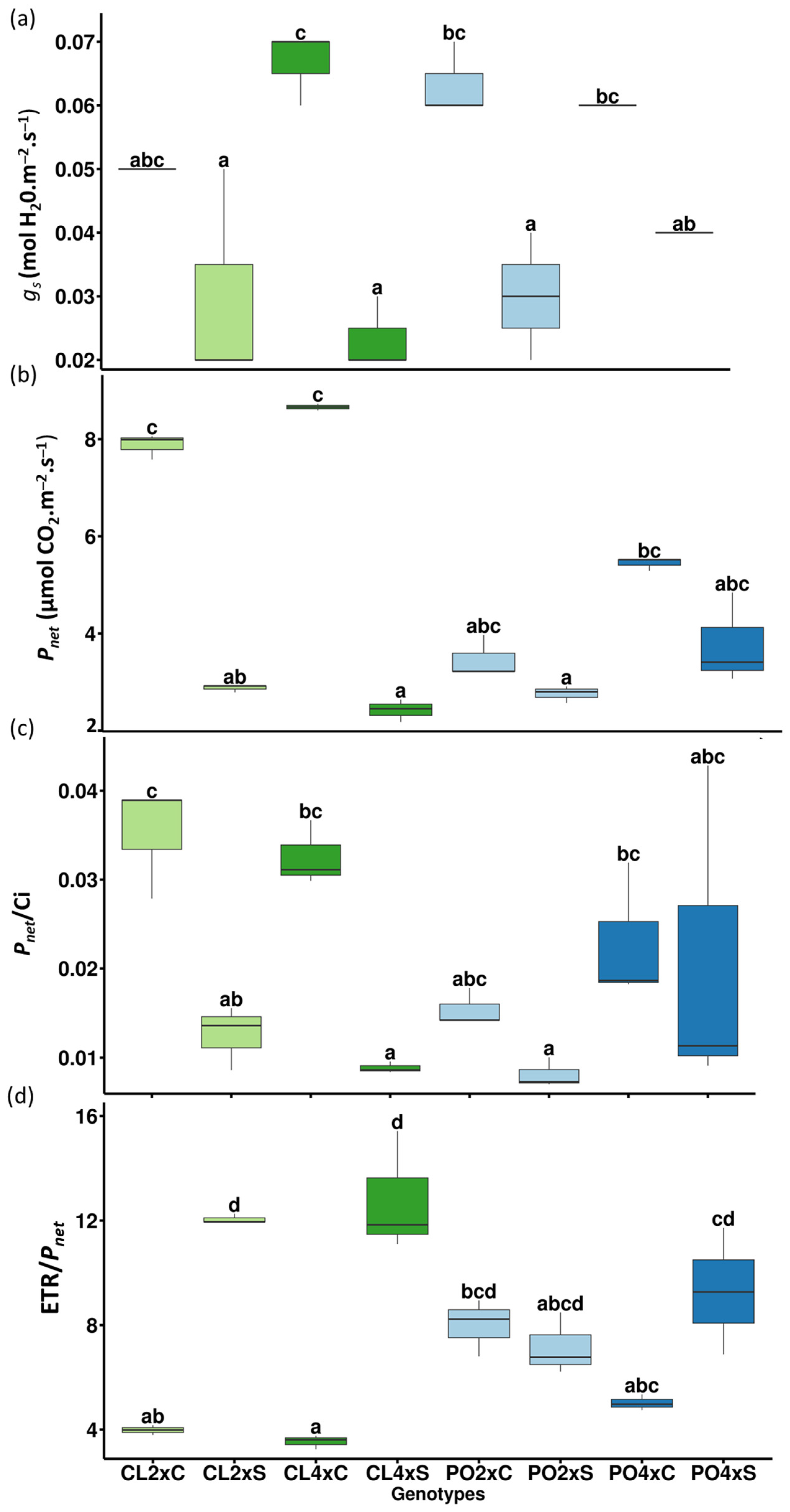
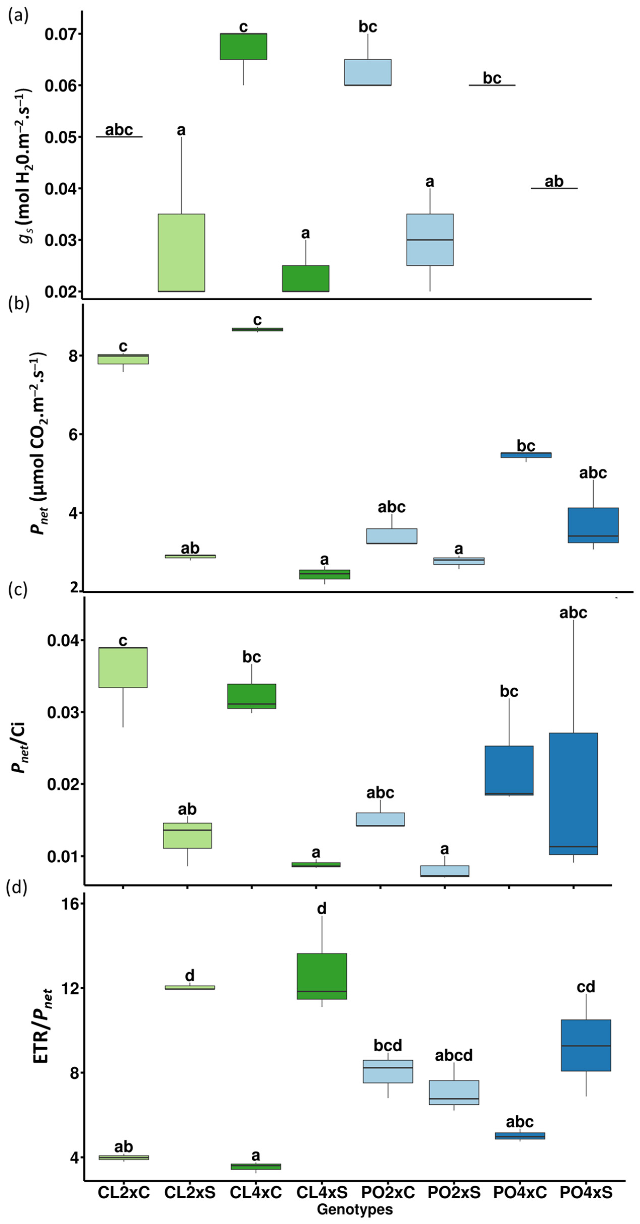
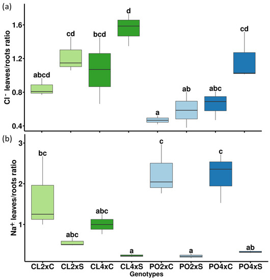
3.2. Physiological and Biochemical Parameters Related to the Differences between the Diploid PO and CL Genotypes (PO2x and CL2x) and Their 4x Counterparts (PO4x and CL4x) under Salt Stress Conditions
4. Discussion
4.1. Photosynthetic Disturbances Reveal the Relative Sensibility of the Four Genotypes to Salt Stress
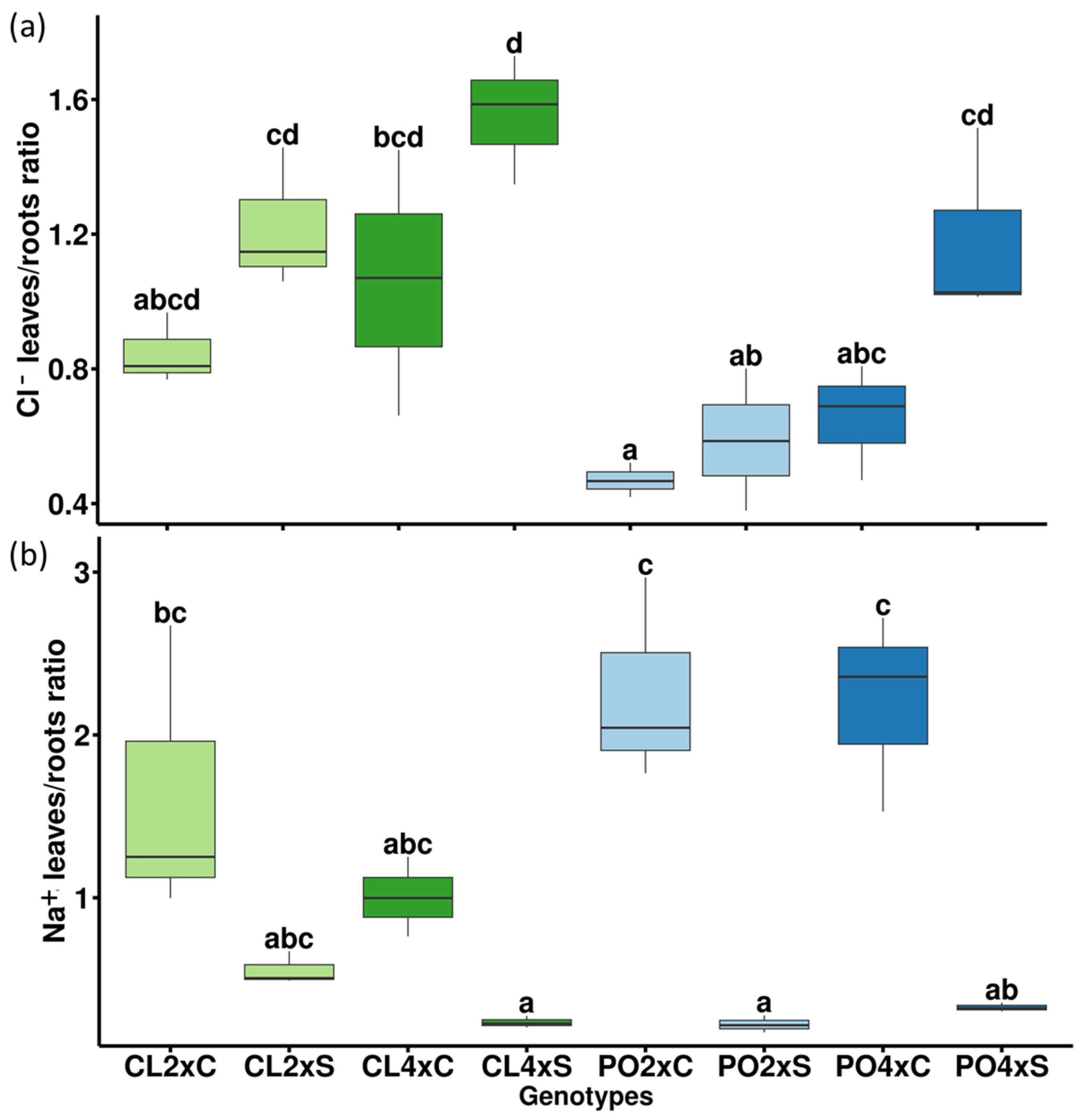
4.2. Ion Metabolism Is Differentially Affected by Salt Stress in the 4 Genotypes
4.3. Could a Better Osmoregulation and a Better Antioxidant Capacity Explain Better Tolerance to Salt Stress?
5. Conclusions
Supplementary Materials
Author Contributions
Funding
Institutional Review Board Statement
Informed Consent Statement
Data Availability Statement
Acknowledgments
Conflicts of Interest
References
- Hussain, S.; Morillon, R.; Anjum, M.A.; Ollitrault, P.; Costantino, G.; Luro, F. Genetic Diversity Revealed by Physiological Behavior of Citrus Genotypes Subjected to Salt Stress. Acta Physiol. Plant 2015, 10, 1740. [Google Scholar] [CrossRef]
- Maas, E.; Grattan, S. Crop Yields as Affected by Salinity. In Agricultural Drainage; American Society of Agronomy, Inc.: Madison, WI, USA, 1999; Volume 38, pp. 55–108. [Google Scholar]
- Brumós, J.; Talón, M.; Bouhlal, R.; Colmenero-Flores, J.M. Cl- Homeostasis in Includer and Excluder Citrus Rootstocks: Transport Mechanisms and Identification of Candidate Genes: Cl- Homeostasis in Citrus. Plant Cell Environ. 2010, 33, 2012–2027. [Google Scholar] [CrossRef] [PubMed]
- Maas, E.V. Salinity and Citriculture. Tree Physiol. 1993, 12, 195–216. [Google Scholar] [CrossRef] [PubMed]
- Munns, R. Comparative Physiology of Salt and Water Stress. Plant Cell Environ. 2002, 25, 239–250. [Google Scholar] [CrossRef]
- Moya, J.L.; Gómez-Cadenas, A.; Primo-Millo, E.; Talon, M. Chloride Absorption in Salt-Sensitive Carrizo Citrange and Salt-Tolerant Cleopatra Mandarin Citrus Rootstocks Is Linked to Water Use. J. Exp. Bot. 2003, 54, 825–833. [Google Scholar] [CrossRef]
- Aleza, P.; Froelicher, Y.; Schwarz, S.; Agustí, M.; Hernández, M.; Juárez, J.; Luro, F.; Morillon, R.; Navarro, L.; Ollitrault, P. Tetraploidization Events by Chromosome Doubling of Nucellar Cells Are Frequent in Apomictic Citrus and Are Dependent on Genotype and Environment. Ann. Bot. 2011, 108, 37–50. [Google Scholar] [CrossRef] [PubMed]
- Ruiz, M.; Oustric, J.; Santini, J.; Morillon, R. Synthetic Polyploidy in Grafted Crops. Front. Plant Sci. 2020, 11, 540894. [Google Scholar] [CrossRef] [PubMed]
- Oustric, J.; Morillon, R.; Francois, L.; Herbette, S.; Lourkisti, R.; Giannettini, J.; Berti, L.; Santini, J. Tetraploid Carrizo Citrange Rootstock (Citrus sinensis Osb. × Poncirus trifoliata L. Raf.) Enhances Natural Chilling Stress Tolerance of Common Clementine (Citrus clementina Hort. Ex Tan). J. Plant Physiol. 2017, 214, 108–115. [Google Scholar] [CrossRef]
- Oustric, J.; Morillon, R.; Luro, F.; Herbette, S.; Martin, P.; Giannettini, J.; Berti, L.; Santini, J. Nutrient Deficiency Tolerance in Citrus Is Dependent on Genotype or Ploidy Level. Front. Plant Sci. 2019, 10, 127. [Google Scholar] [CrossRef]
- Allario, T.; Brumos, J.; Colmenero-Flores, J.M.; Tadeo, F.; Froelicher, Y.; Talon, M.; Navarro, L.; Ollitrault, P.; Morillon, R. Large Changes in Anatomy and Physiology between Diploid Rangpur Lime (Citrus Limonia) and Its Autotetraploid Are Not Associated with Large Changes in Leaf Gene Expression. J. Exp. Bot. 2011, 62, 2507–2519. [Google Scholar] [CrossRef]
- Ben Yahmed, J.; de Oliveira, T.M.; Novillo, P.; Quinones, A.; Forner, M.-A.; Salvador, A.; Froelicher, Y.; Ben Mimoun, M.; Talon, M.; Ollitrault, P.; et al. A Simple, Fast and Inexpensive Method to Assess Salt Stress Tolerance of Aerial Plant Part: Investigations in the Mandarin Group. J. Plant Physiol. 2016, 190, 36–43. [Google Scholar] [CrossRef] [PubMed]
- Cuenca, J.; Aleza, P.; Navarro, L.; Ollitrault, P. Assignment of SNP Allelic Configuration in Polyploids Using Competitive Allele-Specific PCR: Application to Citrus Triploid Progeny. Ann. Bot. 2013, 111, 731–742. [Google Scholar] [CrossRef][Green Version]
- Cuppen, E. Genotyping by Allele-Specific Amplification (KASPar). Cold Spring Harb. Protoc. 2007, 2007, pdb.prot4841. [Google Scholar] [CrossRef]
- Sivager, G.; Calvez, L.; Bruyere, S.; Boisne-Noc, R.; Brat, P.; Gros, O.; Ollitrault, P.; Morillon, R. Specific Physiological and Anatomical Traits Associated With Polyploidy and Better Detoxification Processes Contribute to Improved Huanglongbing Tolerance of the Persian Lime Compared with the Mexican Lime. Front. Plant Sci. 2021, 12, 685679. [Google Scholar] [CrossRef]
- Tan, F.-Q.; Tu, H.; Liang, W.-J.; Long, J.-M.; Wu, X.-M.; Zhang, H.-Y.; Guo, W.-W. Comparative Metabolic and Transcriptional Analysis of a Doubled Diploid and Its Diploid Citrus Rootstock (C. Junos Cv. Ziyang Xiangcheng) Suggests Its Potential Value for Stress Resistance Improvement. BMC Plant Biol. 2015, 15, 89. [Google Scholar] [CrossRef] [PubMed]
- Lourkisti, R.; Froelicher, Y.; Herbette, S.; Morillon, R.; Tomi, F.; Gibernau, M.; Giannettini, J.; Berti, L.; Santini, J. Triploid Citrus Genotypes Have a Better Tolerance to Natural Chilling Conditions of Photosynthetic Capacities and Specific Leaf Volatile Organic Compounds. Front. Plant Sci. 2020, 11, 330. [Google Scholar] [CrossRef] [PubMed]
- Lourkisti, R.; Froelicher, Y.; Herbette, S.; Morillon, R.; Giannettini, J.; Berti, L.; Santini, J. Triploidy in Citrus Genotypes Improves Leaf Gas Exchange and Antioxidant Recovery From Water Deficit. Front. Plant Sci. 2021, 11, 2311. [Google Scholar] [CrossRef] [PubMed]
- Genty, B.; Briantais, J.-M.; Baker, N.R. The Relationship between the Quantum Yield of Photosynthetic Electron Transport and Quenching of Chlorophyll Fluorescence. Biochim. Biophys. Acta (BBA)—Gen. Subj. 1989, 990, 87–92. [Google Scholar] [CrossRef]
- Sivager, G.; Calvez, L.; Bruyere, S.; Boisne-Noc, R.; Hufnagel, B.; Cebrian-Torrejon, G.; Doménech-Carbó, A.; Gros, O.; Ollitrault, P.; Morillon, R. Better Tolerance to Huanglongbing Is Conferred by Tetraploid Swingle Citrumelo Rootstock and Is Influenced by the Ploidy of the Scion. Front. Plant Sci. 2022, 13, 1030862. [Google Scholar] [CrossRef]
- Bradford, M.M. A Rapid and Sensitive Method for the Quantitation of Microgram Quantities of Protein Utilizing the Principle of Protein-Dye Binding. Anal. Biochem. 1976, 72, 248–254. [Google Scholar] [CrossRef]
- Lê Cao, K.-A.; Rossouw, D.; Robert-Granié, C.; Besse, P. A Sparse PLS for Variable Selection When Integrating Omics Data. Stat. Appl. Genet. Mol. Biol. 2008, 7, 35. [Google Scholar] [CrossRef]
- Dunn, O.J. Multiple Comparisons among Means. J. Am. Stat. Assoc. 1961, 56, 52–64. [Google Scholar] [CrossRef]
- Santini, J.; Giannettini, J.; Pailly, O.; Herbette, S.; Ollitrault, P.; Berti, L.; Luro, F. Comparison of Photosynthesis and Antioxidant Performance of Several Citrus and Fortunella Species (Rutaceae) under Natural Chilling Stress. Trees 2013, 27, 71–83. [Google Scholar] [CrossRef]
- Dinelli, G.; Segura-Carretero, A.; Di Silvestro, R.; Marotti, I.; Arráez-Román, D.; Benedettelli, S.; Ghiselli, L.; Fernadez-Gutierrez, A. Profiles of Phenolic Compounds in Modern and Old Common Wheat Varieties Determined by Liquid Chromatography Coupled with Time-of-Flight Mass Spectrometry. J. Chromatogr. A 2011, 1218, 7670–7681. [Google Scholar] [CrossRef] [PubMed]
- Sandhu, D.; Kaundal, A.; Acharya, B.R.; Forest, T.; Pudussery, M.V.; Liu, X.; Ferreira, J.F.S.; Suarez, D.L. Linking Diverse Salinity Responses of 14 Almond Rootstocks with Physiological, Biochemical, and Genetic Determinants. Sci. Rep. 2020, 10, 21087. [Google Scholar] [CrossRef] [PubMed]
- Scholes, D.R.; Paige, K.N. Plasticity in Ploidy: A Generalized Response to Stress. Trends Plant Sci. 2015, 20, 165–175. [Google Scholar] [CrossRef] [PubMed]
- Determining the Limitations and Regulation of Photosynthetic Energy Transduction in Leaves—BAKER—2007—Plant, Cell & Environment—Wiley Online Library. Available online: https://onlinelibrary.wiley.com/doi/full/10.1111/j.1365-3040.2007.01680.x (accessed on 30 June 2023).
- Ribeiro, R.V.; Machado, E.C.; Santos, M.G.; Oliveira, R.F. Photosynthesis and Water Relations of Well-Watered Orange Plants as Affected by Winter and Summer Conditions. Photosynthetica 2009, 47, 215–222. [Google Scholar] [CrossRef]
- SciELO—Brazil—Salt Stress Induced Damages on the Photosynthesis of Physic Nut Young Plants Salt Stress Induced Damages on the Photosynthesis of Physic Nut Young Plants. Available online: https://www.scielo.br/j/sa/a/8nv5WcVHFHJTLVzzLc9PcJk/abstract/?lang=en (accessed on 30 June 2023).
- Photosynthetic Response of Citrus Grown under Reflective Aluminized Polypropylene Shading Nets—ScienceDirect. Available online: https://www.sciencedirect.com/science/article/pii/S0304423802000857 (accessed on 30 June 2023).
- Chaves, M.M.; Flexas, J.; Pinheiro, C. Photosynthesis under Drought and Salt Stress: Regulation Mechanisms from Whole Plant to Cell. Ann. Bot. 2009, 103, 551–560. [Google Scholar] [CrossRef]
- Farquhar, G.D.; O’Leary, M.H.; Berry, J.A. On the Relationship Between Carbon Isotope Discrimination and the Intercellular Carbon Dioxide Concentration in Leaves. Funct. Plant Biol. 1982, 9, 121–137. [Google Scholar] [CrossRef]
- Zhang, Q.; Ficklin, D.L.; Manzoni, S.; Wang, L.; Way, D.; Phillips, R.P.; Novick, K.A. Response of Ecosystem Intrinsic Water Use Efficiency and Gross Primary Productivity to Rising Vapor Pressure Deficit. Environ. Res. Lett. 2019, 14, 074023. [Google Scholar] [CrossRef]
- van Zelm, E.; Zhang, Y.; Testerink, C. Salt Tolerance Mechanisms of Plants. Annu. Rev. Plant Biol. 2020, 71, 403–433. [Google Scholar] [CrossRef] [PubMed]
- Brumós, J.; Colmenero-Flores, J.M.; Conesa, A.; Izquierdo, P.; Sánchez, G.; Iglesias, D.J.; López-Climent, M.F.; Gómez-Cadenas, A.; Talón, M. Membrane Transporters and Carbon Metabolism Implicated in Chloride Homeostasis Differentiate Salt Stress Responses in Tolerant and Sensitive Citrus Rootstocks. Funct. Integr. Genom. 2009, 9, 293. [Google Scholar] [CrossRef] [PubMed]
- Yi, K.; Maxwell, J.T.; Wenzel, M.K.; Roman, D.T.; Sauer, P.E.; Phillips, R.P.; Novick, K.A. Linking Variation in Intrinsic Water-Use Efficiency to Isohydricity: A Comparison at Multiple Spatiotemporal Scales. New Phytol. 2019, 221, 195–208. [Google Scholar] [CrossRef] [PubMed]
- Gallé, A.; Haldimann, P.; Feller, U. Photosynthetic Performance and Water Relations in Young Pubescent Oak (Quercus pubescens) Trees during Drought Stress and Recovery. New Phytol. 2007, 174, 799–810. [Google Scholar] [CrossRef] [PubMed]
- Parida, A.K.; Das, A.B. Salt Tolerance and Salinity Effects on Plants: A Review. Ecotoxicol. Environ. Saf. 2005, 60, 324–349. [Google Scholar] [CrossRef] [PubMed]
- López-Climent, M.F.; Arbona, V.; Pérez-Clemente, R.M.; Gómez-Cadenas, A. Relationship between Salt Tolerance and Photosynthetic Machinery Performance in Citrus. Environ. Exp. Bot. 2008, 62, 176–184. [Google Scholar] [CrossRef]
- Ottow, E.A.; Brinker, M.; Teichmann, T.; Fritz, E.; Kaiser, W.; Brosché, M.; Kangasjärvi, J.; Jiang, X.; Polle, A. Populus Euphratica Displays Apoplastic Sodium Accumulation, Osmotic Adjustment by Decreases in Calcium and Soluble Carbohydrates, and Develops Leaf Succulence under Salt Stress. Plant Physiol. 2005, 139, 1762–1772. [Google Scholar] [CrossRef]
- Hao, S.; Wang, Y.; Yan, Y.; Liu, Y.; Wang, J.; Chen, S. A Review on Plant Responses to Salt Stress and Their Mechanisms of Salt Resistance. Horticulturae 2021, 7, 132. [Google Scholar] [CrossRef]
- Patade, V.Y.; Suprasanna, P.; Bapat, V.A. Effects of Salt Stress in Relation to Osmotic Adjustment on Sugarcane (Saccharum officinarum L.) Callus Cultures. Plant Growth Regul. 2008, 55, 169–173. [Google Scholar] [CrossRef]
- Cirillo, C.; De Micco, V.; Arena, C.; Carillo, P.; Pannico, A.; De Pascale, S.; Rouphael, Y. Biochemical, Physiological and Anatomical Mechanisms of Adaptation of Callistemon Citrinus and Viburnum Lucidum to NaCl and CaCl2 Salinization. Front. Plant Sci. 2019, 10, 742. [Google Scholar] [CrossRef]
- Syvertsen, J.P.; Goñi, C.; Otero, A. Fruit Load and Canopy Shading Affect Leaf Characteristics and Net Gas Exchange of “Spring” Navel Orange Trees. Tree Physiol. 2003, 23, 899–906. [Google Scholar] [CrossRef]
- Hussain, S.; Luro, F.; Costantino, G.; Ollitrault, P.; Morillon, R. Physiological Analysis of Salt Stress Behaviour of Citrus Species and Genera: Low Chloride Accumulation as an Indicator of Salt Tolerance. South Afr. J. Bot. 2012, 81, 103–112. [Google Scholar] [CrossRef]
- Ben Yahmed, J.; Novillo, P.; Garcia-Lor, A.; Salvador, A.; Ben Mimoun, M.; Luro, F.; Talon, M.; Ollitrault, P.; Morillon, R. Salt Tolerance Traits Revealed in Mandarins (Citrus Reticulata Blanco) Are Mainly Related to Root-to-Shoot Cl− Translocation Limitation and Leaf Detoxification Processes. Sci. Hortic. 2015, 191, 90–100. [Google Scholar] [CrossRef]
- Matysik, J.; Alia; Bhalu, B.; Mohanty, P. Molecular Mechanisms of Quenching of Reactive Oxygen Species by Proline under Stress in Plants. Curr. Sci. 2002, 82, 525–532. [Google Scholar]
- Ahmad, P.; Azooz, M.M.; Prasad, M.N.V. (Eds.) Salt Stress in Plants; Springer: New York, NY, USA, 2013; ISBN 978-1-4614-6107-4. [Google Scholar]
- Ben Ahmed, C.; Ben Rouina, B.; Sensoy, S.; Boukhriss, M.; Ben Abdullah, F. Exogenous Proline Effects on Photosynthetic Performance and Antioxidant Defense System of Young Olive Tree. J. Agric. Food Chem. 2010, 58, 4216–4222. [Google Scholar] [CrossRef]
- Miller, G.; Suzuki, N.; Ciftci-Yilmaz, S.; Mittler, R. Reactive Oxygen Species Homeostasis and Signalling during Drought and Salinity Stresses. Plant Cell Environ. 2010, 33, 453–467. [Google Scholar] [CrossRef]
- Lourkisti, R.; Froelicher, Y.; Morillon, R.; Berti, L.; Santini, J. Enhanced Photosynthetic Capacity, Osmotic Adjustment and Antioxidant Defenses Contribute to Improve Tolerance to Moderate Water Deficit and Recovery of Triploid Citrus Genotypes. Antioxidants 2022, 11, 562. [Google Scholar] [CrossRef]
- Mittler, R. Oxidative Stress, Antioxidants and Stress Tolerance. Trends Plant Sci. 2002, 7, 405–410. [Google Scholar] [CrossRef] [PubMed]
- Qiu, T.; Wang, Y.; Geng, X.N.; Zhang, Y.; Li, Y.; Kang, X.Y. Growth, Photosynthesis, and Reactive Oxygen System Responses of Allotriploid Populus Cathayana to Salt Stress. Photosynthetica 2020, 58, 944–950. [Google Scholar] [CrossRef]
- Caverzan, A.; Passaia, G.; Rosa, S.B.; Ribeiro, C.W.; Lazzarotto, F.; Margis-Pinheiro, M. Plant Responses to Stresses: Role of Ascorbate Peroxidase in the Antioxidant Protection. Genet. Mol. Biol. 2012, 35, 1011–1019. [Google Scholar] [CrossRef] [PubMed]








| Common Name | Scientific Name | Status | Ploidy Level | ICVN/SRA |
|---|---|---|---|---|
| Cleopatra mandarin | C. reshni | Parent | 2x | ICVN-0110274 |
| Trifoliate Orange | P. trifoliata | Parent | 2x | ICVN-0110081 |
| Cleopatra mandarin | C. reshni | doubled diploid | 4x | ICVN-0101110 |
| Trifoliate Orange | P. trifoliata | doubled diploid | 4x | ICVN-01011106 |
| Root Variables | X (PC1) | Y(PC2) |
|---|---|---|
| Na+ | −0.87 | 0.27 |
| K+/Na+ | 0.84 | −0.27 |
| P | −0.20 | 0.85 |
| Cl− | 0.00 | 0.90 |
| Ca2+ | 0.00 | 0.86 |
| CAT | −0.81 | 0.34 |
| Proline | −0.83 | −0.30 |
| Leaf Variables | X (PC1) | Y (PC2) |
| K+ | 0.25 | −0.75 |
| Na+ | −0.09 | 0.86 |
| ETR | 0.21 | 0.56 |
| SPAD | 0.93 | −0.10 |
| ETR/Pnet | −0.76 | −0.13 |
| gs | −0.90 | 0.21 |
| Proline | −0.88 | 0.24 |
| MDA | −0.92 | 0.08 |
| DHAR | 0.81 | −0.42 |
| APX | −0.92 | 0.08 |
| Pairwise Comparison | |||||||||||
|---|---|---|---|---|---|---|---|---|---|---|---|
| Tissu | Variable | Pvalue | Size Effect | CL2xC | CL2xS | CL4xC | CL4xS | PO2xC | PO2xS | PO4xC | PO4xS |
| Roots | Na+ | 3.44 × 10−3 | 0.89 | 4.68 ab | 10.76 bcd | 6.71 abc | 21.30 d | 2.39 ab | 12.79 bcd | 2.03 a | 18.37 cd |
| Cl− | 3.22 × 10−3 | 0.90 | 50.63 abc | 68.44 bc | 53.96 abc | 85.26 c | 22.42 a | 39.93 ab | 26.39 a | 76.58 c | |
| Ca2+ | 4.30 × 10−3 | 0.86 | 10.92 abcd | 6.67 ab | 11.36 bcd | 6.39 a | 9.12 abc | 12.37 cd | 7.01 ab | 15.42 d | |
| K+/Na+ | 2.89 × 10−3 | 0.91 | 5.33 cde | 1.12 ab | 4.29 bcde | 0.85 a | 13.17 e | 2.54 abcd | 9.34 de | 2.25 abc | |
| P | 1.03 × 10−3 | 0.71 | 3.32 abcd | 2.05 a | 2.56 bcd | 2.52 ab | 3.01 abc | 4.70 cd | 2.89 ab | 5.14 d | |
| DHAR | 7.39 × 10−3 | 0.77 | 0.21 cd | 0.20 bcd | 0.01 a | 0.21 cd | 0.02 ab | 0.29 d | 0.15 abc | 0.20 bcd | |
| CAT | 6.01 × 10−3 | 0.80 | 1.57 ab | 2.90 abc | 1.15 a | 3.49 bc | 0.88 a | 3.79 bc | 1.26 ab | 5.52 c | |
| Proline | 8.88 × 10−3 | 0.74 | 22.92 a | 33.93 bc | 26.31 ab | 44.72 c | 16.57 a | 26.67 abc | 24.98 ab | 26.57 abc | |
| MDA | 6.01 × 10−2 | 0.41 | 3.14 ab | 4.43 bc | 1.58 a | 4.63 bc | 3.57 abc | 6.62 c | 3.12 ab | 4.33 bc | |
| Asa | 1.61 × 10−2 | 0.64 | 3.21 ab | 3.99 b | 1.87 a | 4.53 b | 1.73 a | 5.15 b | 3.11 ab | 3.41 ab | |
| APX | 1.61 × 10−2 | 0.64 | 0.47 cd | 0.46 bcd | 0.02 a | 0.49 cd | 0.05 ab | 0.67 d | 0.35 abc | 0.45 bcd | |
| Leaves | Na+ | 2.35 × 10−3 | 0.57 | 6.37 c | 5.77 bc | 6.48 c | 5.07 abc | 5.15 abc | 2.81 a | 4.33 ab | 5.99 bc |
| K+ | 6.34 × 10−3 | 0.73 | 16.39 ab | 19.06 abcd | 17.79 abc | 14.62 a | 23.88 bcd | 28.54 d | 28.34 cd | 15.60 a | |
| ETR | 5.36 × 10−3 | 0.81 | 31.37 bcd | 34.67 d | 32.73 cd | 26.20 ab | 27.43 abc | 19.63 a | 27.33 abc | 33.63 cd | |
| SPAD | 2.77 × 10−3 | 0.92 | 71.9 abc | 58.57 ab | 69.33 ab | 72.80 bc | 76.20 bc | 38.03 a | 80.57 c | 80.33 c | |
| gs | 4.94 × 10−3 | 0.83 | 0.05 abc | 0.03 a | 0.07 c | 0.02 a | 0.06 bc | 0.03 a | 0.06 bc | 0.04 ab | |
| ETR/Pnet | 2.90 × 10−3 | 0.92 | 3.98 ab | 12.05 d | 3.54 a | 12.79 d | 7.99 bcd | 7.16 abcd | 5.02 abc | 9.29 cd | |
| MDA | 9.78 × 10−3 | 0.72 | 5.97 abc | 10.78 bc | 4.99 ab | 4.99 ab | 1.55 a | 29.54 c | 3.81 a | 5.97 abc | |
| Proline | 3.22 × 10−3 | 0.90 | 29.15 bcd | 40.78 cd | 13.81 ab | 50.05 d | 19.40 abc | 27.36 abcd | 10.37 a | 35.15 cd | |
| DHAR | 2.90 × 10−3 | 0.92 | 0.17 abc | 0.20 bc | 0.05 a | 0.21 bc | 0.06 a | 0.26 c | 0.11 ab | 0.16 abc | |
| APX | 2.90 × 10−3 | 0.92 | 0.38 abc | 0.46 bc | 0.11 a | 0.49 bc | 0.26 ab | 0.35 abc | 0.14 a | 0.58 c | |
Disclaimer/Publisher’s Note: The statements, opinions and data contained in all publications are solely those of the individual author(s) and contributor(s) and not of MDPI and/or the editor(s). MDPI and/or the editor(s) disclaim responsibility for any injury to people or property resulting from any ideas, methods, instructions or products referred to in the content. |
© 2023 by the authors. Licensee MDPI, Basel, Switzerland. This article is an open access article distributed under the terms and conditions of the Creative Commons Attribution (CC BY) license (https://creativecommons.org/licenses/by/4.0/).
Share and Cite
Bonnin, M.; Favreau, B.; Soriano, A.; Leonhardt, N.; Oustric, J.; Lourkisti, R.; Ollitrault, P.; Morillon, R.; Berti, L.; Santini, J. Insight into Physiological and Biochemical Determinants of Salt Stress Tolerance in Tetraploid Citrus. Antioxidants 2023, 12, 1640. https://doi.org/10.3390/antiox12081640
Bonnin M, Favreau B, Soriano A, Leonhardt N, Oustric J, Lourkisti R, Ollitrault P, Morillon R, Berti L, Santini J. Insight into Physiological and Biochemical Determinants of Salt Stress Tolerance in Tetraploid Citrus. Antioxidants. 2023; 12(8):1640. https://doi.org/10.3390/antiox12081640
Chicago/Turabian StyleBonnin, Marie, Bénédicte Favreau, Alexandre Soriano, Nathalie Leonhardt, Julie Oustric, Radia Lourkisti, Patrick Ollitrault, Raphaël Morillon, Liliane Berti, and Jérémie Santini. 2023. "Insight into Physiological and Biochemical Determinants of Salt Stress Tolerance in Tetraploid Citrus" Antioxidants 12, no. 8: 1640. https://doi.org/10.3390/antiox12081640
APA StyleBonnin, M., Favreau, B., Soriano, A., Leonhardt, N., Oustric, J., Lourkisti, R., Ollitrault, P., Morillon, R., Berti, L., & Santini, J. (2023). Insight into Physiological and Biochemical Determinants of Salt Stress Tolerance in Tetraploid Citrus. Antioxidants, 12(8), 1640. https://doi.org/10.3390/antiox12081640

