Valorization of Grape Pomace as a Renewable Source of Techno-Functional and Antioxidant Pectins
Abstract
1. Introduction
2. Material and Methods
2.1. Material and Samples
2.2. Pectin Obtainment and Characterisation
2.3. Structural Characterisation
2.3.1. Estimation of Molecular Weight Distribution
2.3.2. Monosaccharide Composition
2.3.3. Degree of Methyl Esterification (DM)
2.4. Techno-Functional and Bioactive Properties
2.5. Statistical Analysis
3. Results and Discussion
3.1. Yields and Physicochemical Characterisation of Pectin
3.2. Structural Characterisation
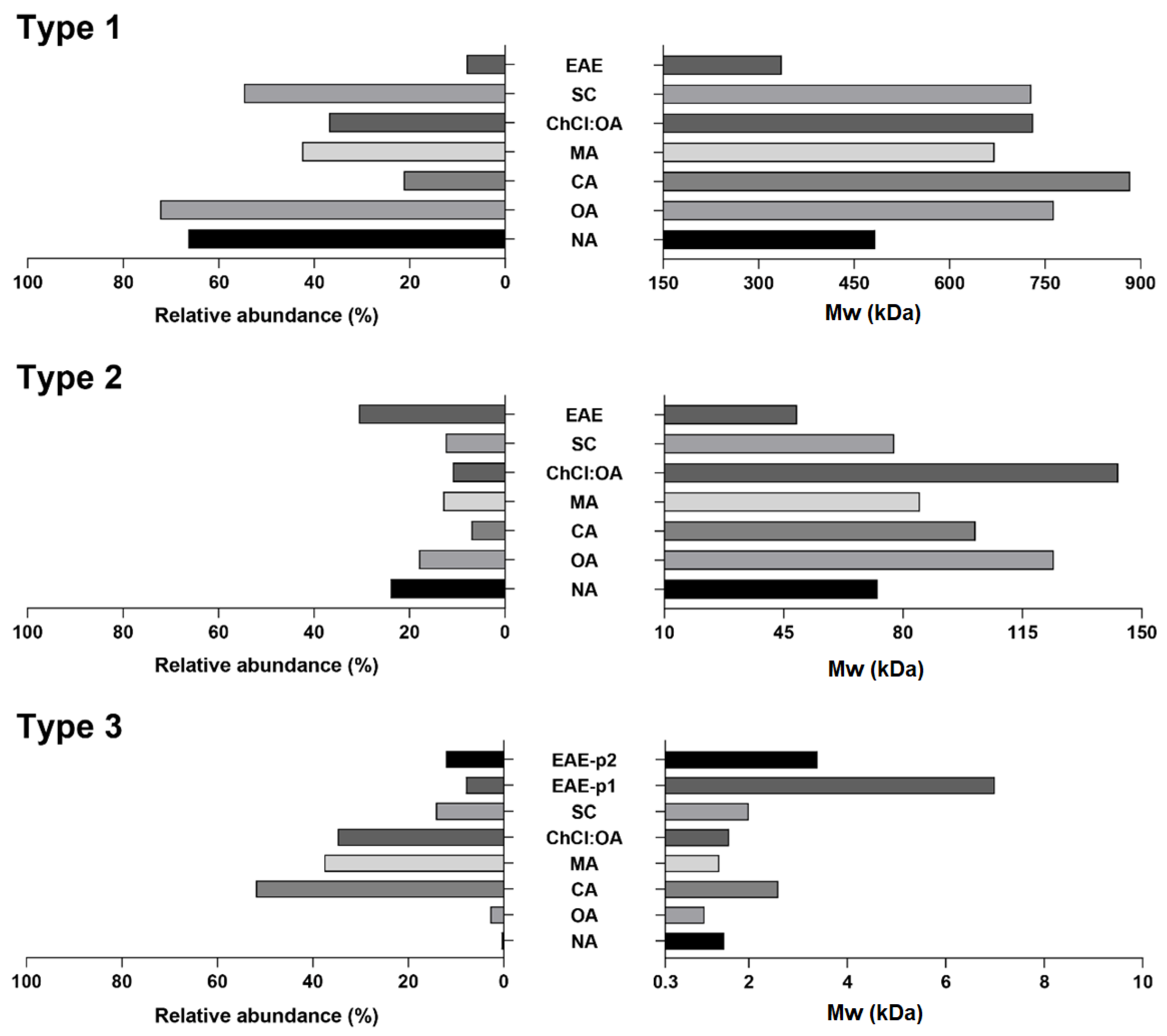
3.2.1. Molecular Weight Distribution
3.2.2. Monomeric Composition
3.3. Pectin Characterisation by ATR-FTIR
3.4. Techno-Functional and Antioxidant Properties
4. Conclusions
Supplementary Materials
Author Contributions
Funding
Institutional Review Board Statement
Informed Consent Statement
Data Availability Statement
Acknowledgments
Conflicts of Interest
Abbreviations
| GP | Grape Pomace |
| CT | Conventional Treatments |
| NA | Nitric Acid |
| MA | Malic Acid |
| OA | Oxalic Acid |
| CA | Citric Acid |
| SC | Sodium Citrate |
| ChCl | Choline Chloride |
| GalA | Galacturonic Acid |
| Mw | Molecular weight |
| DM | Degree of Methyl esterification |
| OHC | Oil-Holding Capacity |
| WRC | Water Retention Capacity |
| DB | Degree of Branching |
| EB | Extent of Branching |
| LP | Linearity Pectin |
| N-PP | Non-Pectic Polysaccharides |
| GalA | Galacturonic Acid |
| Rha | Rhamnose |
| Xyl | Xylose |
| Ara | Arabinose |
| Gal | Galactose |
| Glc | Glucose |
| Man | Mannose |
| HPSEC-ELSD | High-Performance Size-Exclusion Chromatography (HPSEC) coupled to Evaporative Light Scattering Detector (ELSD) |
References
- Villamiel, M. What We Know about Pectin? ES Food Agrofor. 2021, 3, 27–30. [Google Scholar] [CrossRef]
- Caffall, K.H.; Mohnen, D. The structure, function, and biosynthesis of plant cell wall pectic polysaccharides. Carbohydr. Res. 2009, 344, 1879–1900. [Google Scholar] [CrossRef] [PubMed]
- Minzanova, S.T.; Mironov, V.F.; Arkhipova, D.M.; Khabibullina, A.V.; Mironova, L.G.; Zakirova, Y.M.; Milyukov, V.A. Biological activity and pharmacological application of pectic polysaccharides: A review. Polymers 2018, 10, 1407. [Google Scholar] [CrossRef]
- Belkheiri, A.; Forouhar, A.; Ursu, A.V.; Dubessay, P.; Pierre, G.; Delattre, C.; Djelveh, G.; Abdelkafi, S.; Hamdami, N.; Michaud, P. Extraction, characterization, and applications of pectins from plant by-products. Appl. Sci. 2021, 11, 6596. [Google Scholar] [CrossRef]
- Muñoz-Almagro, N.; Rico-Rodriguez, F.; Wilde, P.J.; Montilla, A.; Villamiel, M. Structural and technological characterization of pectin extracted with Sodium Citrate and Nitric Acid from sunflower heads. Electrophoresis 2018, 39, 1984–1992. [Google Scholar] [CrossRef] [PubMed]
- Shafie, M.H.; Yusof, R.; Gan, C.-Y. Deep eutectic solvents (DES) mediated extraction of pectin from Averrhoa bilimbi: Optimization and characterization studies. Carbohydr. Polym. 2019, 216, 303–311. [Google Scholar] [CrossRef]
- Adetunji, L.R.; Adekunle, A.; Orsat, V.; Raghavan, V. Advances in the pectin production process using novel extraction techniques: A review. Food Hydrocoll. 2017, 62, 239–250. [Google Scholar] [CrossRef]
- Spinei, M.; Oroian, M. The potential of grape pomace varieties as a dietary source of pectic substances. Foods 2021, 10, 867. [Google Scholar] [CrossRef]
- Minjares-Fuentes, R.; Femenia, A.; Garau, M.C.; Meza-Velázquez, J.A.; Simal, S.; Rosselló, C. Ultrasound-assisted extraction of pectins from grape pomace using Citric Acid: A response surface methodology approach. Carbohydr. Polym. 2014, 106, 179–189. [Google Scholar] [CrossRef]
- Colodel, C.; Vriesmann, L.C.; Teófilo, R.F.; de Oliveira Petkowicz, C.L. Optimization of acid-extraction of pectic fraction from grape (Vitis vinifera cv. Chardonnay) pomace, a Winery Waste. Int. J. Biol. Macromol. 2020, 161, 204–213. [Google Scholar] [CrossRef]
- Canalejo, D.; Guadalupe, Z.; Martínez-Lapuente, L.; Ayestarán, B.; Pérez-Magariño, S. Optimization of a method to extract polysaccharides from white grape pomace by-products. Food Chem. 2021, 365, 130445. [Google Scholar] [CrossRef]
- Spinei, M.; Oroian, M. Microwave—Assisted extraction of pectin from grape pomace. Sci. Rep. 2022, 12, 1–17. [Google Scholar] [CrossRef] [PubMed]
- Gutiérrez, M.C.; Ferrer, M.L.; Mateo, C.R.; Monte, F.D. Freeze-drying of aqueous solutions of deep eutectic solvents: A suitable approach to deep eutectic suspensions of self-assembled structures. Langmuir 2009, 25, 5509–5515. [Google Scholar] [CrossRef]
- Muñoz-Almagro, N.; Rico-Rodriguez, F.; Villamiel, M.; Montilla, A. Pectin characterisation using size exclusion chromatography: A comparison of ELS and RI detection. Food Chem. 2018, 252, 271–276. [Google Scholar] [CrossRef]
- Calvete-Torre, I.; Muñoz-Almagro, N.; Pacheco, M.T.; Antón, M.J.; Dapena, E.; Ruiz, L.; Margolles, A.; Villamiel, M.; Moreno, F.J. Apple pomaces derived from mono-varietal Asturian ciders production are potential source of pectins with appealing functional properties. Carbohydr. Polym. 2021, 264, 117980. [Google Scholar] [CrossRef]
- van Audenhove, J.; Bernaerts, T.; de Smet, V.; Delbaere, S.; van Loey, A.M.; Hendrickx, M.E. The structure and composition of extracted pectin and residual cell wall material from processing tomato: The role of a stepwise approach versus high-pressure homogenization-facilitated acid extraction. Foods 2021, 10, 1064. [Google Scholar] [CrossRef] [PubMed]
- Soria, A.C.; Corzo-Martínez, M.; Montilla, A.; Riera, E.; Gamboa-Santos, J.; Villamiel, M. Chemical and physicochemical quality parameters in carrots dehydrated by power ultrasound. J. Agric. Food Chem. 2010, 58, 7715–7722. [Google Scholar] [CrossRef]
- Spinei, M.; Oroian, M. Characterization of Pectin from Grape Pomace: A Comparison of Conventional and Pulsed Ultrasound-Assisted Extraction Techniques. Foods 2022, 11, 2274. [Google Scholar] [CrossRef]
- Xu, F.; Zhang, S.; Waterhouse, G.I.N.; Zhou, T.; Du, Y.; Sun-Waterhouse, D.; Wu, P. Yeast fermentation of apple and grape pomaces affects subsequent aqueous pectin extraction: Composition, structure, functional and antioxidant properties of pectins. Food Hydrocoll. 2022, 133, 107945. [Google Scholar] [CrossRef]
- Vásquez, P.; Vega-Gálvez, A.; Bernal, C. Production of antioxidant pectin fractions, drying pretreatment methods and physicochemical properties: Towards pisco grape pomace revalue. J. Food Meas. Charact. 2022, 16, 3722–3734. [Google Scholar] [CrossRef]
- Sousa, E.C.; Uchôa-Thomaz, A.M.A.; Carioca, J.O.B.; de Morais, S.M.; de Lima, A.; Martins, C.G.; Alexandrino, C.D.; Ferreira, P.A.T.; Rodrigues, A.L.M.; Rodrigues, S.P.; et al. Chemical composition and bioactive compounds of grape pomace (Vitis vinifera L.), Benitaka variety, grown in the semiarid region of Northeast Brazil. Food Sci. Technol. 2014, 34, 135–142. [Google Scholar] [CrossRef]
- Deng, Q.; Penner, M.H.; Zhao, Y. Chemical composition of dietary fiber and polyphenols of five different varieties of wine grape pomace skins. Food Res. Int. 2011, 44, 2712–2720. [Google Scholar] [CrossRef]
- Ferreira, C.S.; Pinho, M.; Cabral, L.C. Solid-Liquid Extraction and Concentration with Processes of Membrane Technology of Soluble Fibers from Wine Grape Pomace; Técnico Lisboa: Lisbon, Portugal, 2013. [Google Scholar]
- Celus, M.; Kyomugasho, C.; van Loey, A.M.; Grauwet, T.; Hendrickx, M.E. Influence of Pectin Structural Properties on Interactions with Divalent Cations and Its Associated Functionalities. Compr. Rev. Food Sci. 2018, 17, 1576–1594. [Google Scholar] [CrossRef]
- Ürüncüoğlu, Ş.; Alba, K.; Morris, G.A.; Kontogiorgos, V. Influence of cations, pH and dispersed phases on pectin emulsification properties. Curr. Res. Food Sci. 2021, 4, 398–404. [Google Scholar] [CrossRef]
- Fan, C.; Chen, X.; He, J. Effect of calcium chloride on emulsion stability of methyl-esterified citrus pectin. Food Chem. 2020, 332, 127366. [Google Scholar] [CrossRef] [PubMed]
- Ralet, M.-C.; Dronnet, V.; Buchholt, H.C.; Thibault, J.-F. Enzymatically and chemically de-esterified lime pectins: Characterisation, polyelectrolyte behaviour and calcium binding properties. Carbohydr. Res. 2001, 336, 117–125. [Google Scholar] [CrossRef] [PubMed]
- Megías-Pérez, R.; Gamboa-Santos, J.; Soria, A.C.; Villamiel, M.; Montilla, A. Survey of quality indicators in commercial dehydrated fruits. Food Chem. 2014, 150, 41–48. [Google Scholar] [CrossRef]
- Muñoz-Almagro, N.; Ruiz-Torralba, A.; Méndez-Albiñana, P.; Guerra-Hernández, E.; García-Villanova, B.; Moreno, R.; Villamiel, M.; Montilla, A. Berry fruits as source of pectin: Conventional and non-conventional extraction techniques. Int. J. Biol. Macromol. 2021, 186, 962–974. [Google Scholar] [CrossRef]
- Ngouémazong, E.D.; Christiaens, S.; Shpigelman, A.; van Loey, A.; Hendrickx, M. The Emulsifying and Emulsion-Stabilizing Properties of Pectin: A Review. Compr. Rev. Food Sci. 2015, 14, 705–718. [Google Scholar] [CrossRef]
- Larsen, L.R.; van der Weem, J.; Caspers-Weiffenbach, R.; Schieber, A.; Weber, F. Effects of ultrasound on the enzymatic degradation of pectin. Ultrason. Sonochem. 2021, 72, 105465. [Google Scholar] [CrossRef]
- Kermani, Z.J.; Shpigelman, A.; Kyomugasho, C.; Buggenhout, S.V.; Ramezani, M.; Loey, A.M.V.; Hendrickx, M.E. The impact of extraction with a chelating agent under acidic conditions on the cell wall polymers of mango peel. Food Chem. 2014, 161, 199–207. [Google Scholar] [CrossRef] [PubMed]
- Morales-Contreras, B.E.; Wicker, L.; Rosas-Flores, W.; Contreras-Esquivel, J.C.; Gallegos-Infante, J.A.; Reyes-Jaquez, D.; Morales-Castro, J. Apple pomace from variety “Blanca de Asturias” as sustainable source of pectin: Composition, rheological, and thermal properties. LWT 2020, 117, 108641. [Google Scholar] [CrossRef]
- Sabater, C.; Corzo, N.; Olano, A.; Montilla, A. Enzymatic extraction of pectin from artichoke (Cynara scolymus L.) by-products using Celluclast®1.5L. Carbohydr. Polym. 2018, 190, 43–49. [Google Scholar] [CrossRef]
- Apolinar-Valiente, R.; Romero-Cascales, I.; López-Roca, J.M.; Gómez-Plaza, E.; Ros-García, J.M. Application and comparison of four selected procedures for the isolation of cell-wall material from the skin of grapes cv. Monastrell. Anal. Chim. Acta 2010, 660, 206–210. [Google Scholar] [CrossRef]
- Chan, S.Y.; Choo, W.S.; Young, D.J.; Loh, X.J. Pectin as a rheology modifier: Origin, structure, commercial production and rheology. Carbohydr. Polym. 2017, 161, 118–139. [Google Scholar] [CrossRef] [PubMed]
- Schultink, A.; Liu, L.; Zhu, L.; Pauly, M. Structural diversity and function of xyloglucan sidechain substituents. Plants 2014, 3, 526–542. [Google Scholar] [CrossRef]
- Liu, X.; Renard, C.M.G.C.; Bureau, S.; le Bourvellec, C. Revisiting the contribution of ATR-FTIR spectroscopy to characterize plant cell wall polysaccharides. Carbohydr. Polym. 2021, 262, 117935. [Google Scholar] [CrossRef]
- Grassino, A.N.; Halambek, J.; Djaković, S.; Rimac Brnčić, S.; Dent, M.; Grabarić, Z. Utilization of tomato peel waste from canning factory as a potential source for pectin production and application as tin corrosion inhibitor. Food Hydrocoll. 2016, 52, 265–274. [Google Scholar] [CrossRef]
- Szymanska-Chargot, M.; Chylinska, M.; Kruk, B.; Zdunek, A. Combining FT-IR spectroscopy and multivariate analysis for qualitative and quantitative analysis of the cell wall composition changes during apples development. Carbohydr. Polym. 2015, 115, 93–103. [Google Scholar] [CrossRef]
- Montilla, A.; Muñoz-Almagro, N.; Villamiel, M. Chapter 6—A new approach of functional pectin and pectic oligosaccharides: Role as antioxidant and antiinflammatory compounds. In Current Advances for Development of Functional Foods Modulating Inflammation and Oxidative Stress; Hernández-Ledesma, B., Martinez-Villaluenga, C., Eds.; Academic Press: Cambridge, MA, USA, 2022; pp. 105–120. [Google Scholar]
- Gyawali, R.; Ibrahim, S.A. Effects of hydrocolloids and processing conditions on acid whey production with reference to Greek yogurt. Trends in Food Sci. Technol. 2016, 56, 61–76. [Google Scholar] [CrossRef]
- Bayar, N.; Friji, M.; Kammoun, R. Optimization of enzymatic extraction of pectin from Opuntia ficus indica cladodes after mucilage removal. Food Chem. 2018, 241, 127–134. [Google Scholar] [CrossRef] [PubMed]
- Spinei, M.; Oroian, M. Structural, functional and physicochemical properties of pectin from grape pomace as affected by different extraction techniques. Int. J. Biol. Macromol. 2022, 224, 739–753. [Google Scholar] [CrossRef] [PubMed]
- Shafie, M.H.; Gan, C.-Y. Could choline chloride-citric acid monohydrate molar ratio in deep eutectic solvent affect structural, functional and antioxidant properties of pectin? Int. J. Biol. Macromol. 2020, 149, 835–843. [Google Scholar] [CrossRef] [PubMed]
- He, P.; Zhang, A.; Zhang, F.; Linhardt, R.J.; Sun, P. Structure and bioactivity of a polysaccharide containing uronic acid from Polyporus umbellatus sclerotia. Carbohydr. Polym. 2016, 152, 222–230. [Google Scholar] [CrossRef]


| Treatment | Protein (%) | pH | aw |
|---|---|---|---|
| NA | 2.7 ± 0.3 c | 2.6 ± 0.0 a | 0.275 ± 0.013 b |
| OA | 5.4 ± 0.5 d | 3.2 ± 0.0 b | 0.259 ± 0.029 b |
| CA | 2.2 ± 0.1 b | 3.7 ± 0.0 c | 0.405 ± 0.060 c |
| MA | 3.1 ± 0.3 c | 3.8 ± 0.1 c | 0.335 ± 0.050 b,c |
| ChCl/OA | 3.2 ± 0.2 c | 3.7 ± 0.1 c | 0.371 ± 0.023 c |
| SC | 1.6 ± 0.2 a | 4.4 ± 0.1 d | 0.173 ± 0.018 a |
| EAE | 1.3 ± 0.1 a | 6.6 ± 0.1 e | 0.260 ± 0.013 b |
| Treatment | Xyl | Ara | Rha | Gal | Man | Glc | GalA |
|---|---|---|---|---|---|---|---|
| NA | 3.6 ± 0.4c,d | 3.2 ± 0.1 a | 5.3 ± 0.1 b | 12.8 ± 0.5 b | 1.7 ± 0.0 a | 20.8 ± 3.0 c | 52.5 ± 3.0 b,c |
| OA | 3.1 ± 0.2 c | 11.1 ± 1.0 b | 5.5 ± 0.4 b,c | 10.8 ± 1.4 a | 1.6 ± 0.1 a | 18.3 ± 0.9 b,c | 49.5 ± 2.8 b |
| CA | 3.0 ± 0.2 c | 14.7 ± 0.4 c | 4.6 ± 0.2 a | 11.5 ± 1.0 a,b | 2.4 ± 0.3 b | 16.2 ± 1.3 b | 47.4 ± 1.6 b |
| MA | 3.0 ± 0.4 c | 16.0 ± 1.1 c,d | 5.0 ± 0.5 a,b | 10.8 ± 1.3 a | 2.0 ± 0.3 a,b | 15.4 ± 0.7 b | 47.8 ± 1.4 b |
| SC | 4.4 ± 0.6 d | 18.4 ± 2.3 d | 5.9 ± 0.3 c | 10.9 ± 1.0 a | 2.2 ± 0.2 b | 12.0 ± 1.6 a | 46.2 ± 2.6 a,b |
| ChCl/OA | 2.3 ± 0.2 b | 16.4 ± 0.8 d | 4.3 ± 0.2 a | 13.9 ± 0.9 b,c | 3.4 ± 0.5 c | 16.4 ± 1.0 b | 43.2 ± 1.1 a |
| EAE | 1.8 ± 0.2 a | 16.7 ± 0.8 d | 5.9 ± 0.2 c | 12.6 ± 0.5 a,b | 7.1 ± 0.4 d | 13.7 ± 0.3 a | 42.3 ± 1.3 a |
| Treatment | HG (%) | RGI (%) | DB RGI | EB RGI | LP | PP | DM (%) |
|---|---|---|---|---|---|---|---|
| NA | 47.2 | 26.6 | 9.8 | 3.0 | 34.6 | 3.3 | 92 |
| OA | 44.0 | 33.0 | 8.9 | 3.9 | 20.9 | 3.9 | 42 |
| CA | 42.8 | 35.5 | 10.2 | 5.6 | 19.3 | 4.2 | 10 |
| MA | 42.8 | 36.8 | 9.6 | 5.4 | 18.8 | 4.6 | 14 |
| SC | 40.3 | 41.1 | 7.8 | 5.0 | 19.3 | 5.7 | 24 |
| ChCl/OA | 38.9 | 39.0 | 10.0 | 6.9 | 20.9 | 3.9 | 27 |
| EAE | 36.4 | 41.1 | 7.2 | 5.0 | 22.0 | 3.7 | 1 |
| Treatment Type | WRC (mL/g) | OHC (g/g) | IC50 (mg/mL) | TPC (mg GAE/g Pectin) |
|---|---|---|---|---|
| NA | 2.4 ± 0.3 a | 24.2 ± 1.4 c | 6.9 ± 0.7 d | 10.1 ± 1.3 a |
| CA | 11.9 ± 1.7 b | 14.1 ± 2.0 a | 3.8 ± 0.3 b | 21.7 ± 0.3 d |
| MA | 15.7 ± 1.5 c | 19.7 ± 2.4 b | 4.4 ± 0.2 c | 21.8 ± 2.4 d,e |
| OA | 12.4 ± 1.2 b | 18.8 ± 0.6 b | 3.7 ± 0.4 b | 23.3 ± 0.7 e |
| SC | 21.3 ± 2.4 d | 20.6 ± 1.3 b | 3.8 ± 0.2 b | 17.7 ± 1.7 c |
| ChCl/OA | 14.4 ± 0.5 c | 20.3 ± 1.1 b | 3.1 ± 0.1 a | 23.9 ± 0.9 e |
| EAE | 10.7 ± 1.0 b | 25.4 ± 2.0 c | 4.7 ± 0.5 c | 11.8 ± 0.2 b |
Disclaimer/Publisher’s Note: The statements, opinions and data contained in all publications are solely those of the individual author(s) and contributor(s) and not of MDPI and/or the editor(s). MDPI and/or the editor(s) disclaim responsibility for any injury to people or property resulting from any ideas, methods, instructions or products referred to in the content. |
© 2023 by the authors. Licensee MDPI, Basel, Switzerland. This article is an open access article distributed under the terms and conditions of the Creative Commons Attribution (CC BY) license (https://creativecommons.org/licenses/by/4.0/).
Share and Cite
Megías-Pérez, R.; Ferreira-Lazarte, A.; Villamiel, M. Valorization of Grape Pomace as a Renewable Source of Techno-Functional and Antioxidant Pectins. Antioxidants 2023, 12, 957. https://doi.org/10.3390/antiox12040957
Megías-Pérez R, Ferreira-Lazarte A, Villamiel M. Valorization of Grape Pomace as a Renewable Source of Techno-Functional and Antioxidant Pectins. Antioxidants. 2023; 12(4):957. https://doi.org/10.3390/antiox12040957
Chicago/Turabian StyleMegías-Pérez, Roberto, Alvaro Ferreira-Lazarte, and Mar Villamiel. 2023. "Valorization of Grape Pomace as a Renewable Source of Techno-Functional and Antioxidant Pectins" Antioxidants 12, no. 4: 957. https://doi.org/10.3390/antiox12040957
APA StyleMegías-Pérez, R., Ferreira-Lazarte, A., & Villamiel, M. (2023). Valorization of Grape Pomace as a Renewable Source of Techno-Functional and Antioxidant Pectins. Antioxidants, 12(4), 957. https://doi.org/10.3390/antiox12040957
