The Dynamic Interplay between Loss of Semantic Memory and Semantic Learning Capacity: Insight from Neologisms Learning in Semantic Variant Primary Progressive Aphasia
Abstract
1. Introduction
2. Materials and Methods
2.1. Participants
- -
- Diagnosis of Primary Progressive Aphasia—semantic variant according to the current criteria [11];
- -
- Clinical history characterized by predominant and early anomia and language comprehension problems;
- -
- Predominant anterior left temporal atrophy detected by an MRI and/or predominant anterior left temporal hypoperfusion at the FDG-PET scan; potential participants who had anterior temporal atrophy or hypoperfusion that was comparable across the hemispheres were, however, also included in the study.
- -
- Absence of behaviocral problems that could interfere with adherence to the experimental battery.
- -
- Absence of neurological diseases, psychiatric problems, and systemic diseases (i.e., liver failure etc.) that could alter cognition. Partners and relatives of patients were not allowed to be part of the experimental battery as normal controls to avoid interference.
2.2. Neuropsychological Examination
2.2.1. General Neuropsychological Assessment
2.2.2. The Semantic Learning Experimental Battery
- (1)
- “Provide the novel words associated to novel abstract figures” test: the individual is presented with 20 non-real figures; each figure is placed in the centre of an A4 sheet; the individual is asked to name (i.e., provide the neologism associated with) the figure. Only the answers with all phonemes produced were considered correct. The maximum score is 20.
- (2)
- “Novel words to novel abstract figures (abstract distractors)” matching test: the individual is presented with 20 sheets. Each sheet contains 5 of the abstract learned figures arranged vertically; the figures are presented in random order but each stimulus appears the same number of times as all the others. One of the 5 figures represents the target and the others are distractors. The examiner reads out the novel word and asks the individual to indicate the corresponding figure. The maximum score is 20.
- (3)
- “Matching black and white versions of novel abstract figures to arbitrary colours” test: the individual is presented with the black and white versions of the 20 novel figures. These figures are presented one at a time along with 4 coloured rectangles (red, green, yellow, and blue); the individual is asked to match the colour to the novel figure. The maximum score is 20.
- (4)
- “Novel words to novel abstract figures (concrete distractors)” matching test: the test is structurally similar to the previous test; the difference is that distractors are formed by figures of real objects. As in the previous test, the individual is asked to indicate the figure corresponding to the neologism read by the examiner.
2.3. Study Design
2.3.1. Formal Training
- Presentation of stimuli in a fixed, predetermined order: The order of presentation was selected according to the difficulty and complexity of the neologisms and their respective figures. First the red group was presented, which mainly consisted of disyllabic and—only occasionally—trisyllabic words with the same initial letter (“soro”, “polve”, “scepa”, “venopa”, “vocalla”), then the yellow group (“neole”, “braze”, “curango”, “celtollo”, “chefrotta”) with two disyllabic and three trisyllabic words, then the blue group (“nace”, “fogu”, “bigliotta”, “giuttagra”, “tillobore”) with words of different length (two to four syllables). Finally, the green group was presented (“ganno”, “guonta”, “micacia”, “afelente”, “panilanto”): it was the most complex group, as it included two words with four syllables. During the presentation, an attempt was made to memorize the characteristics of the individual figures without asking to recall the corresponding neologism. For example, the “soro” figure was shown and the individual was invited to pay attention to the different triangles that formed this figure.
- Association between written targets and the corresponding abstract figures: Cards with the names of figures were given to the individual, who was asked to correctly associate each card with the corresponding image.
- Naming abstract figures by colour category: the individual was asked to name all the images belonging to the same colour-category presented, without the aid of cards with the respective neologisms.
- Matching neologisms with abstract figures belonging to the same colour category: All the images of the same colour were placed on the table and the individual was asked to indicate the figure corresponding to the verbal target.
- Identification of the colour category to which each abstract figure belongs: The black and white figures were presented. A sheet of paper containing four coloured rectangles (red, yellow, green, and blue) was presented as well. The individual was asked to point to the colour corresponding to each figure.
2.3.2. Home Training
3. Results
3.1. Quantitative Analysis
3.1.1. Post-Treatment Evaluation
- -
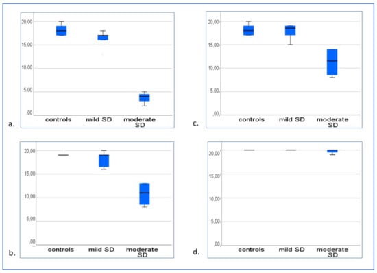
- − In the “Provide the novel words associated to novel abstract figures” test, patients with mild svPPA gave fewer correct responses than controls (W = 44; p = 0.03), and so did patients with moderate svPPA (W = 28; p < 0.001). Patients with moderate svPPA gave fewer correct responses than patients with mild svPPA (W = 10; p = 0.004; Figure 2a).
- -
- In the “Novel words to novel abstract figures (abstract distractors)” matching test, there was no difference between controls and patients with mild svPPA (W = 65.5; p = 0.36); however, there was a significant difference between controls and patients with moderate svPPA (W = 28; p < 0.001), as well as between patients with mild and moderate svPPA (W = 10; p = 0.004; Figure 2b).
- -
- In the “Matching black and white versions of novel abstract figures to arbitrary colours” test, no difference was detected between patients with mild svPPA and controls (W = 76; p = 1); however, patients with moderate svPPA gave fewer correct responses than controls (W = 28; p < 0.001) and fewer correct responses than patients with mild svPPA (W = 10; p = 0.004; Figure 2c).
- -
- In the “Novel words to novel abstract figures (concrete distractors)” matching test, there was no difference between controls and patients with mild svPPA (W = 76; p = 1), between controls and patients with moderate svPPA (W = 43; p = 0.055), and between patients with mild and moderate svPPA (W = 22; p = 0.57; Figure 2d).
3.1.2. Three-Month Follow-Up
- -
- In the “Provide the novel words associated to novel abstract figures” test, patients with mild svPPA gave fewer correct responses than controls (W = 39.5; p < 0.001), and so did patients with moderate svPPA (W = 28; p < 0.0.001); patients with moderate svPPA gave fewer correct responses than patients with mild svPPA (W = 10; p = 0.01; Figure 4a).
- -
- In the “Novel words to novel abstract figures (abstract distractors)” matching test, there was a significant difference between controls and patients with mild svPPA (W = 52; p = 0.03), and between controls and patients with moderate svPPA (W = 28; p < 0.001), as well as between patients with mild and moderate svPPA (W = 10; p = 0.01; Figure 4b).
- -
- In the “Matching black and white versions of novel abstract figures to arbitrary colours” test, no difference was present between patients with mild svPPA and controls (W = 63.5; p = 0.27); patients with moderate svPPA gave fewer correct responses than controls (W = 28; p < 0.001) and patients with mild svPPA (W = 10; p = 0.014; Figure 4c).
- -
- In the “Novel words to novel abstract figures (concrete distractors)” matching test, there was no difference between controls and patients with mild svPPA (W = 76; p = 1), whereas patients with moderate svPPA produced fewer correct responses than controls (W = 43, p = 0.009) and patients with mild svPPA (W = 10; p = 0.01: Figure 4d).
3.1.3. Correlation between Performance in the Experimental Battery and Language Performance
3.2. Qualitative Analysis of Specific Cognitive and General Psychological Problems
4. Discussion
5. Conclusions
Author Contributions
Funding
Institutional Review Board Statement
Informed Consent Statement
Data Availability Statement
Conflicts of Interest
References
- Shallice, T. Impairments of semantic processing: Multiple dissociations. In The Cognitive Neuropsychology of Language; Coltheart, M., Sartori, G., Job, R., Eds.; Erlbaum: London, UK, 1987. [Google Scholar]
- Warrington, E.K.; Cipolotti, L. Word comprehension: The distinction between refractory and storage impairments. Brain 1996, 119, 611–625. [Google Scholar] [CrossRef]
- Gainotti, G.; Silveri, M.C.; Villa, G.P.; Miceli, G. Anomia with and without lexical comprehension disorders. Brain Lang. 1986, 29, 18–33. [Google Scholar] [CrossRef] [PubMed]
- Forde, E.; Humphreys, G.W. Refractory semantics in global aphasia: On semantic organisation and the Access–Storage distinction in neuropsychology. Memory 1995, 3, 265–307. [Google Scholar] [CrossRef]
- Thompson, H.E.; Robson, H.; Lambon Ralph, M.A.; Jefferies, E. Varieties of semantic ‘access’ deficit in Wernicke’s aphasia and semantic aphasia. Brain 2015, 138, 3776–3792. [Google Scholar] [CrossRef]
- Huff, F.J.; Corkin, S.; Growdon, J.H. Semantic impairment and anomia in Alzheimer’s disease. Brain Lang. 1986, 28, 235–249. [Google Scholar] [CrossRef] [PubMed]
- Salmon, D.P.; Butters, N.; Chan, A.S. The deterioration of semantic memory in Alzheimer’s disease. Can. J. Exp. Psychol. 1999, 53, 108–117. [Google Scholar] [CrossRef] [PubMed]
- Snowden, J.S.; Goulding, P.J.; Neary, D. Semantic dementia: A form of circumscribed cerebral atrophy. Behav. Neurol. 1989, 2, 167–182. [Google Scholar] [CrossRef]
- Hodges, J.R.; Patterson, K.; Oxbury, S.; Funnell, E. Semantic dementia: Progressive fluent aphasia with temporal-lobe atrophy. Brain 1992, 115, 1783–1806. [Google Scholar] [CrossRef]
- Jefferies, E.; Lambon-Ralph, M.A. Semantic impairment in stroke aphasia versus semantic dementia: A case-series comparison. Brain 2006, 129, 2132–2147. [Google Scholar] [CrossRef] [PubMed]
- Gorno-Tempini, M.L.; Hillis, A.E.; Weintraub, S.; Kertesz, A.; Mendez, M.; Cappa, S.; Ogar, J.; Rohrer, J.; Black, S.; Boeve, B.F.; et al. Classification of primary progressive aphasia and its variants. Neurology 2011, 76, 1006–1014. [Google Scholar] [CrossRef] [PubMed]
- Snowden, J.S.; Thompson, J.C.; Neary, D. Knowledge of famous faces and names in semantic dementia. Brain 2004, 127, 860–872. [Google Scholar] [CrossRef] [PubMed]
- Gainotti, G. The organization and dissolution of semantic-conceptual knowledge: Is the ‘amodal hub’ the only plausible model? Brain Cogn. 2011, 75, 299–309. [Google Scholar] [CrossRef]
- Gainotti, G. The format of conceptual representations disrupted in semantic dementia: A position paper. Cortex 2012, 48, 521–529. [Google Scholar] [CrossRef] [PubMed]
- Woollams, A.M.; Patterson, K. Cognitive consequences of the left-right asymmetry of atrophy in semantic dementia. Cortex 2018, 107, 64–77. [Google Scholar] [CrossRef]
- Gorno-Tempini, M.L.; Dronkers, N.F.; Rankin, K.P.; Ogar, J.; Rosen, H.; Johnson, J.; Weiner, M.; Miller, B.L. Cognition and anatomy in three variants of primary progressive aphasia. Ann. Neurol. 2004, 55, 335–346. [Google Scholar] [CrossRef]
- Gorno-Tempini, M.L.; Brambati, S.M.; Ginex, V.; Ogar, J.; Dronkers, N.F.; Marcone, A.; Perani, D.; Garibotto, V.; Cappa, S.F.; Miller, B.L. The logopenic/phonological variant of primary progressive aphasia. Neurology 2008, 71, 1227–1234. [Google Scholar] [CrossRef]
- Leyton, C.E.; Hodges, J.R.; McLean, C.A.; Kril, J.J.; Piguet, O.; Ballard, K.J. Is the logopenic-variant of primary progressive aphasia a unitary disorder? Cortex 2015, 67, 122–133. [Google Scholar] [CrossRef]
- Roncero, C.; Nikelski, J.; Probst, S.; Fernandez, A.; Thiel, A.; Chertkow, H. The semantic storage loss score: An algorithm for measuring an individual’s level of semantic storage loss due to temporal lobe damage in neurodegenerative disease. PLoS ONE 2020, 15, e0235810. [Google Scholar] [CrossRef] [PubMed]
- Gainotti, G.; Daniele, A.; Nocentini, U.; Silveri, M.C. The nature of lexical-semantic impairment in Alzheimer’s Disease. J. Neurolinguist. 1989, 4, 449–460. [Google Scholar] [CrossRef]
- Chertkow, H.; Bub, D. Semantic memory loss in dementia of Alzheimer’s type. What do various measures measure? Brain 1990, 113, 397–417. [Google Scholar] [CrossRef]
- Hornberger, M.; Bell, B.; Graham, K.S.; Rogers, T.T. Are judgments of semantic relatedness systematically impaired in Alzheimer’s disease? Neuropsychologia 2009, 47, 3084–3094. [Google Scholar] [CrossRef] [PubMed]
- Greenberg, D.L.; Verfaellie, M. Interdependence of episodic and semantic memory: Evidence from neuropsychology. J. Int. Neuropsychol. Soc. 2010, 16, 748–753. [Google Scholar] [CrossRef]
- Reilly, J.; Peelle, J.E.; Antonucci, S.M.; Grossman, M. Anomia as a marker of distinct semantic memory impairments in Alzheimer’s disease and semantic dementia. Neuropsychology 2011, 25, 413–426. [Google Scholar] [CrossRef] [PubMed]
- Pobric, G.; Jefferies, E.; Lambon-Ralph, M.A. Anterior temporal lobes mediate semantic representation: Mimicking semantic dementia by using rTMS in normal participants. Proc. Natl. Acad. Sci. USA 2007, 104, 20137–20141. [Google Scholar] [CrossRef]
- Swales, M.; Johnson, R. Patients with semantic memory loss: Can they relearn lost concepts? Neuropsychol. Rehabil. 1992, 2, 295–305. [Google Scholar] [CrossRef]
- Graham, K.S.; Patterson, K.; Pratt, K.H.; Hodges, J.R. Relearning and subsequent forgetting of semantic category exemplars in a case of semantic dementia. Neuropsychology 1999, 13, 359–380. [Google Scholar] [CrossRef]
- Graham, K.S.; Patterson, K.; Pratt, K.H.; Hodges, J.R. Can repeated exposure to “forgotten” vocabulary help alleviate word-finding difficulties in semantic dementia? An illustrative case study. Neuropsychol. Rehabil. 2001, 11, 429–454. [Google Scholar] [CrossRef]
- Freedman, M.L.; Martin, R.C. Dissociable components of short-term memory and their relation to long-term learning. Cogn. Neuropsychol. 2001, 18, 193–226. [Google Scholar] [CrossRef]
- Snowden, J.S.; Neary, D. Relearning of verbal labels in semantic dementia. Neuropsychologia 2002, 40, 1715–1728. [Google Scholar] [CrossRef]
- Jokel, R.; Rochon, E.; Leonard, C. Therapy for Anomia in Semantic Dementia. Brain Cogn. 2002, 49, 241–244. [Google Scholar] [CrossRef]
- Jokel, R.; Rochon, E.; Leonard, C. Treating anomia in semantic dementia: Improvement, maintenance, or both? Neuropsychol. Rehabil. 2006, 16, 241–256. [Google Scholar] [CrossRef]
- Breitenstein, C.; Kamping, S.; Jansen, A.; Schomacher, M.; Knecht, S. Word learning can be achieved without feedback: Implications for aphasia therapy. Restor. Neurol. Neurosci. 2004, 22, 445–458. [Google Scholar]
- Tuomiranta, L.; Gronholm-Nyman, P.; Kohen, F.; Rautakoski, P.; Laine, M.; Martin, N. Learning and maintaining new vocabulary in persons with aphasia: Two controlled case studies. Aphasiology 2011, 25, 1030–1052. [Google Scholar] [CrossRef]
- Tuomiranta, L.; Rautakoski, P.; Rinne, J.O.; Martin, N.; Laine, M. Long-term maintenance of novel vocabulary in persons with chronic aphasia. Aphasiology 2012, 26, 1053–1073. [Google Scholar] [CrossRef]
- Dignam, J.; Copland, D.; Rawlings, A.; O’Brien, K.; Burfein, P.; Rodriguez, A.D. The relationship between novel word learning and anomia treatment success in adults with chronic aphasia. Neuropsychologia 2016, 81, 186–197. [Google Scholar] [CrossRef] [PubMed]
- Gupta, P.; Martin, N.; Abbs, B.; Schwartz, M.; Lipinski, J. New word learning in aphasic patients: Dissociating phonological and semantic components. Brain Lang. 2006, 99, 8–9. [Google Scholar] [CrossRef]
- Kelly, H.; Armstrong, L. New word learning in people with aphasia. Aphasiology 2009, 23, 1398–1417. [Google Scholar] [CrossRef]
- Hofman, P.; Clarke, N.; Jones, R.W.; Noonan, K.A. Vocabulary relearning in semantic dementia: Positive and negative consequences of increasing variability in the learning experience. Neuropsychologia 2015, 76, 240–253. [Google Scholar] [CrossRef] [PubMed]
- Suárez-González, A.; Green Heredia, C.; Savage, S.A.; Gil-Néciga, E.; García-Casares, N.; Franco-Macías, E.; Berthier, M.L.; Caine, D. Restoration of conceptual knowledge in a case of semantic dementia. Neurocase 2015, 21, 309–321. [Google Scholar] [CrossRef]
- Hodges, J.R.; Patterson, K. Semantic dementia: A unique clinicopathological syndrome. Lancet Neurol. 2007, 6, 1004–1014. [Google Scholar] [CrossRef]
- Julien, C.L.; Thompson, J.C.; Neary, D.; Snowden, J.S. Arithmetic knowledge in semantic dementia: Is it invariably preserved? Neuropsychologia 2008, 46, 2732–2744. [Google Scholar] [CrossRef]
- Folstein, M.; Folstein, S.; McHugh, P. Mini-mental state. A practical method for grading the cognitive status of patients for the clinician. J. Psychiat. Res. 1975, 12, 189–198. [Google Scholar] [CrossRef]
- Raven, J.C. Guide to Using the Coloured Progressive Matrices Sets A, Ab, B.; H.K. Lewis Press: London, UK, 1965. [Google Scholar]
- Caltagirone, C.; Gainotti, G.; Masullo, C.; Miceli, G. Validity of some neuropsychological tests in the assessment of mental deterioration. Acta Psychiatr. Scand. 1979, 60, 50–56. [Google Scholar] [CrossRef]
- Spinnler, H.; Tognoni, G. Standardizzazione e taratura italiana di test neuropsicologici. Ital. J. Neurol. Sci. 1987, 6, 21–120. [Google Scholar]
- Luzzi, S.; Pesallaccia, M.; Luzzi, S.; Muti, M.; Viticchi, G.; Provinciali, L.; Piccirilli, M. Non-verbal memory measured by Rey-Osterrieth Complex Figure B: Normative data. Neurol. Sci. 2011, 32, 1081–1089. [Google Scholar] [CrossRef]
- De Renzi, E.; Motti, F.; Nichelli, P. Imitating gestures. A quantitative approach to ideomotor apraxia. Arch. Neurol. 1980, 37, 6–10. [Google Scholar] [CrossRef] [PubMed]
- Luzzi, S.; Piccirilli, M.; Pesallaccia, M.; Fabi, K.; Provinciali, L. Dissociation apraxia secondary to right premotor stroke. Neuropsychologia 2010, 48, 68–76. [Google Scholar] [CrossRef] [PubMed]
- Laiacona, M.; Barbarotto, R.; Trivelli, C.; Capitani, E. Dissociazioni semantiche intercategoriali: Descrizione di una batteria standardizzata e dati normativi. Arch. Psicol. Neurol. Psichiatr. 1993, 53, 113–154. [Google Scholar]
- Laiacona, M.; Capitani, E.; Barbarotto, R. Semantic category dissociations: A longitudinal study of two cases. Cortex 1997, 33, 441–461. [Google Scholar] [CrossRef]
- Howard, D.; Patterson, K. Pyramis and Palm Trees: Access from Pictures and Words; Thames Valley Test Company: Bury St Edmunds, UK, 1992. [Google Scholar]
- Warrington, E.K.; James, M. The Visual Object and Space Perception Battery (VOSP); Thames Valley Test Company: Bury St. Edmunds, UK, 1991. [Google Scholar]
- Tulving, E. Elements of Episodic Memory; Oxford University Press: New York, NY, USA, 1983. [Google Scholar]
- Snowden, J.S.; Griffiths, H.; Neary, D. Semantic dementia: Autobiographical contribution to preservation of meaning. Cognitive Neuropsychology 1994, 11, 265–288. [Google Scholar] [CrossRef]
- Snowden, J.S.; Griffiths, H.; Neary, D. Semantic-Episodic Memory Interactions in Semantic Dementia: Implications for Retrograde Memory Function. Cogn. Neuropsychol. 1996, 13, 1101–1139. [Google Scholar] [CrossRef]
- Hodges, J.R.; Graham, K.S. Episodic Memory: Insights from Semantic Dementia. Phil. Trans. R. Soc. Lond. B 2001, 356, 1423–1434. [Google Scholar] [CrossRef]
- Corbett, F.; Jefferies, E.; Eshan, S.; Lambon Ralph, M.A. Different impairments of semantic cognition in semantic dementia and semantic aphasia: Evidence from the non-verbal domain. Brain 2009, 132, 2593–2608. [Google Scholar] [CrossRef] [PubMed]
- Lambon Ralph, M.A. Neurocognitive insights on conceptual knowledge and its breakdown. Philos. Trans. R. Soc. B Biol. Sci. 2014, 369, 1634. [Google Scholar] [CrossRef]
- Rogers, T.T.; Patterson, K.; Jefferies, E.; Lambon Ralph, M.A. Disorders of representation and control in semantic cognition: Effects of familiarity, typicality, and specificity. Neuropsychologia 2015, 76, 220–239. [Google Scholar] [CrossRef] [PubMed]





| Test (Maximum Score) | Mild SD | Moderate SD |
|---|---|---|
| General Abilities | ||
| MMSE (30) | 27 (0.02) | 18.25 (2.98) * |
| Memory | ||
| Digit span | 5.25 (0.47) | 4.5 (0.57) |
| Corsi blocks | 5.62 (0.46) | 5.25 (0.5) |
| Rey figure B:delayed recall (31) | 23.87 (1.8) | 20.5 (1.91) |
| Perceptuo-spatial skills | ||
| VOSP battery | ||
| -Shape detection test (20) | 19.87 (0.35) | 19.5 (1) |
| -Incomplete letters (20) | 17.3 (2.5) | 14.5 (3.8) * |
| -Silhouettes (30) | 9.5 (2.67) * | 0 (0) * |
| -Object decision (20) | 15.87 (1.45) | 10 (2.94) * |
| -Dot counting (10) | 10 (0) | 9.87 (0.35) |
| -Number location (10) | 9.1 (0.8) | 8.6 (2.3) |
| -Position discrimination (20) | 19.75 (0.46) | 19 (0.81) |
| -Cube analysis (10) | 9.5 (0.75) | 8.75 (1.5) |
| Ideomotor praxis | ||
| Left upper limb (20) | 20 (0) | 20 (0) |
| Right upper limb (20) | 20 (0) | 20 (0) |
| Constructional praxis | ||
| Rey Figure B Copy (31) | 30.87 (0.35) | 30.5 (0.57) |
| Executive functions | ||
| Raven’s Coloured Progressive Matrices (36) | 28.25 (2.1) | 21.25 (2.75) * |
| Letter Fluency (F,A,S) | 39.62 (14.17) | 6.75 (4.11) * |
| Luria’s motor sequences (50) | 49.5 (7.56) | 43 (2.51) * |
| Stroop test (time first part) | 34.37 (6.63) | 42.25 (3.86) |
| Stroop test (time second part) | 57.25 (8.64) | - |
| Stroop test (errors first part) | 0(0) | 0 (0) |
| Stroop test (errors second part) | 5.8 (4.8) | - |
| Language | ||
| Verbal fluency (3 categories 1 min each) | 19.9 (9.4) * | 2.5 (1.04) * |
| ‘‘Easy’’ picture naming (40) | 27.37 (4.3) | 1.75 (1.7) * |
| ‘‘Easy’’ picture reading (40) | 39.87 (0.35) | 36.5 (1.29) * |
| ‘‘Easy’’ word-picture matching (40) | 37.62 (1.76) * | 18.75 (2.98) * |
| Laiacona’s Battery | ||
| -Naming (80) | 43.25(5) * | 3.25 (2.62) * |
| -Verbal comprehension (within category) (80) | 67.25 (2.9) * | (4.9) * |
| -Verbal comprehension (inter-category)(80) | 77(1.19) | 54.75 (8.99)* |
| PPTT (verbal version) (30) | 19.87 (3.9) * | 8.5 (6.35) * |
| PPTT (non-verbal version) (30) | 27.25 (3.45) | 18.5(6.65) * |
Disclaimer/Publisher’s Note: The statements, opinions and data contained in all publications are solely those of the individual author(s) and contributor(s) and not of MDPI and/or the editor(s). MDPI and/or the editor(s) disclaim responsibility for any injury to people or property resulting from any ideas, methods, instructions or products referred to in the content. |
© 2023 by the authors. Licensee MDPI, Basel, Switzerland. This article is an open access article distributed under the terms and conditions of the Creative Commons Attribution (CC BY) license (https://creativecommons.org/licenses/by/4.0/).
Share and Cite
Luzzi, S.; Baldinelli, S.; Fiori, C.; Morelli, M.; Gainotti, G. The Dynamic Interplay between Loss of Semantic Memory and Semantic Learning Capacity: Insight from Neologisms Learning in Semantic Variant Primary Progressive Aphasia. Brain Sci. 2023, 13, 788. https://doi.org/10.3390/brainsci13050788
Luzzi S, Baldinelli S, Fiori C, Morelli M, Gainotti G. The Dynamic Interplay between Loss of Semantic Memory and Semantic Learning Capacity: Insight from Neologisms Learning in Semantic Variant Primary Progressive Aphasia. Brain Sciences. 2023; 13(5):788. https://doi.org/10.3390/brainsci13050788
Chicago/Turabian StyleLuzzi, Simona, Sara Baldinelli, Chiara Fiori, Mauro Morelli, and Guido Gainotti. 2023. "The Dynamic Interplay between Loss of Semantic Memory and Semantic Learning Capacity: Insight from Neologisms Learning in Semantic Variant Primary Progressive Aphasia" Brain Sciences 13, no. 5: 788. https://doi.org/10.3390/brainsci13050788
APA StyleLuzzi, S., Baldinelli, S., Fiori, C., Morelli, M., & Gainotti, G. (2023). The Dynamic Interplay between Loss of Semantic Memory and Semantic Learning Capacity: Insight from Neologisms Learning in Semantic Variant Primary Progressive Aphasia. Brain Sciences, 13(5), 788. https://doi.org/10.3390/brainsci13050788

