Dynamic Cerebral Autoregulation Post Endovascular Thrombectomy in Acute Ischemic Stroke
Abstract
1. Introduction
2. Material and Methods
2.1. Data Acquisition and Analysis
2.2. Statistical Analysis
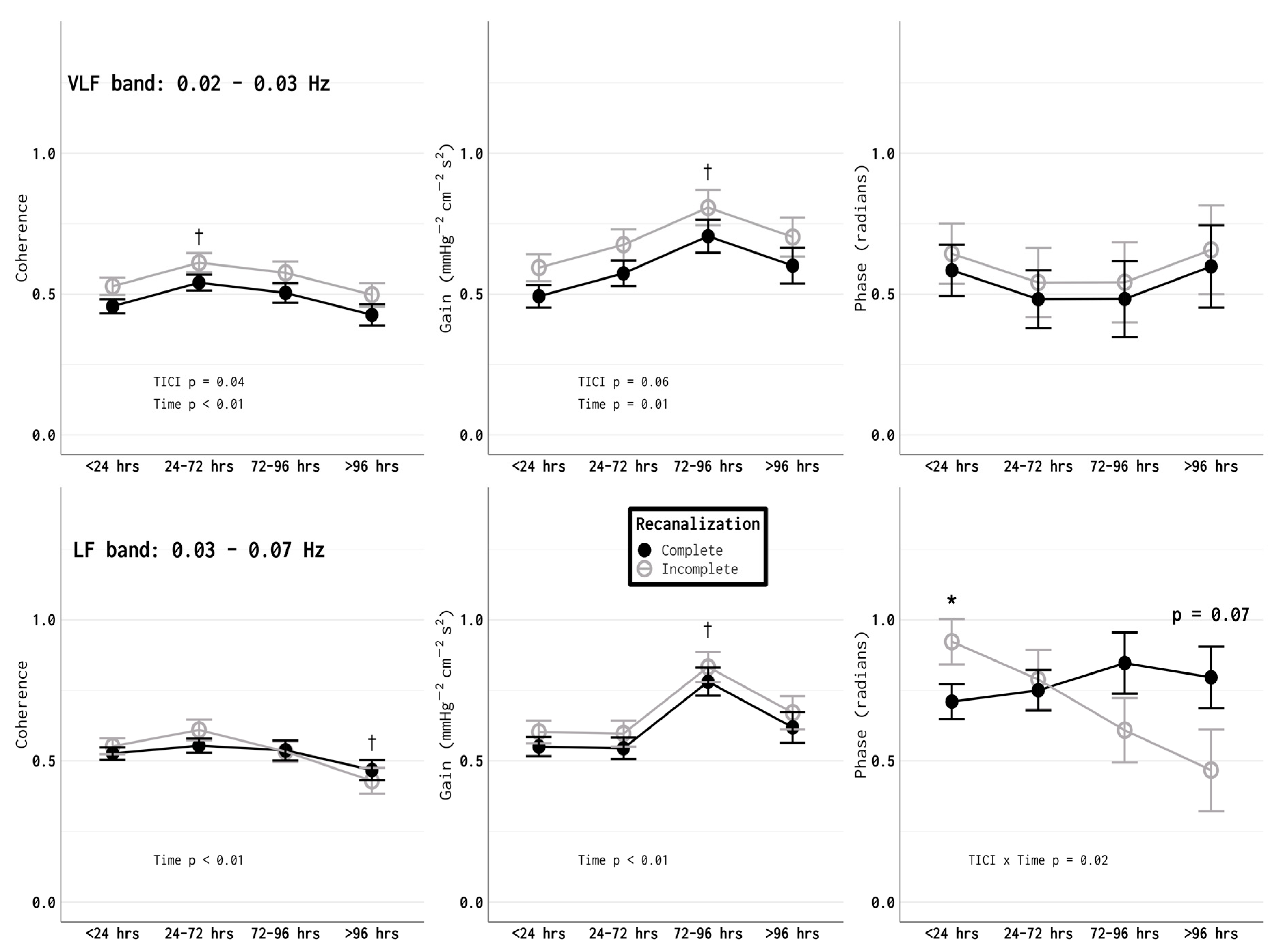
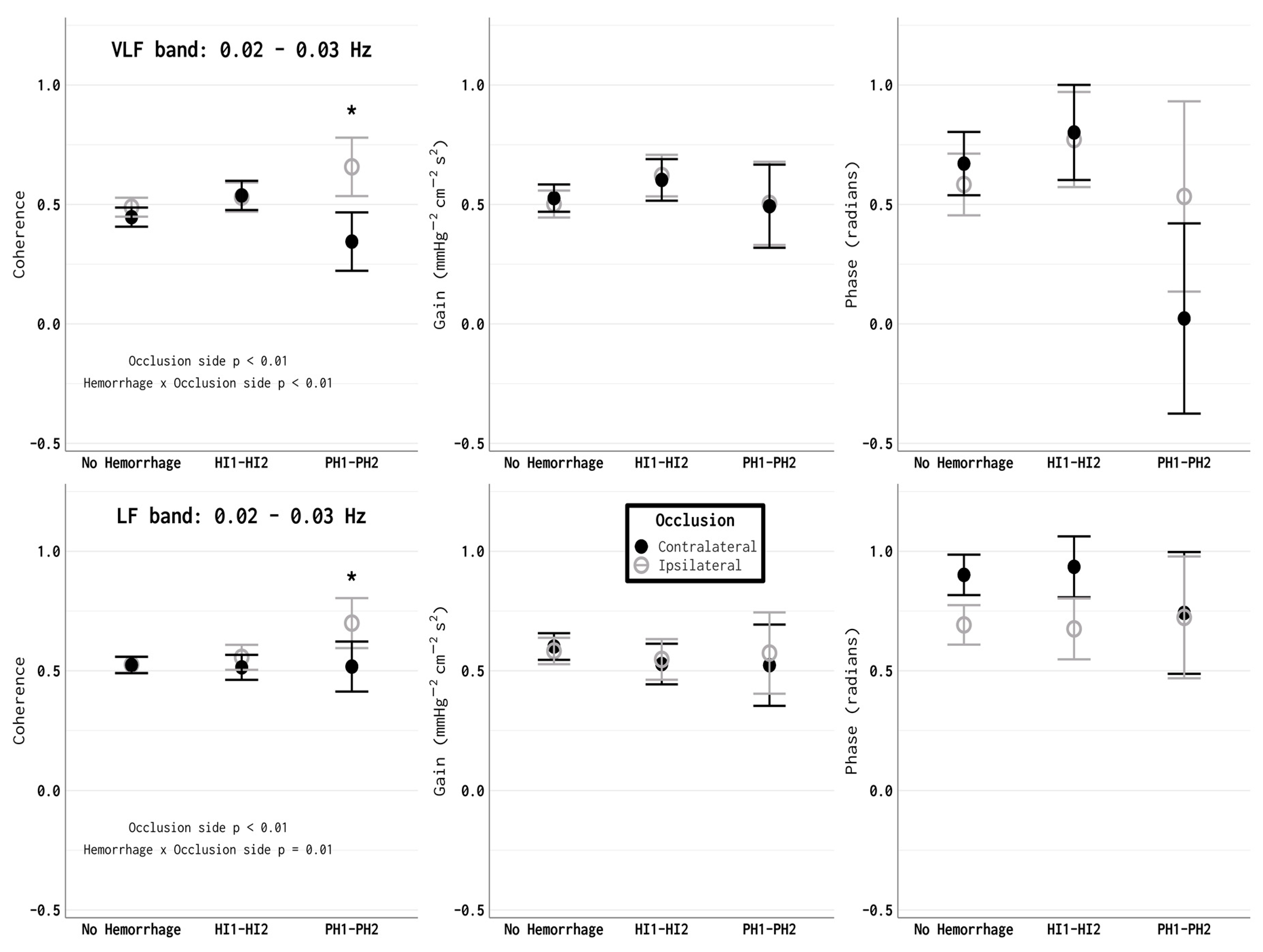
3. Results
4. Discussion
Supplementary Materials
Author Contributions
Funding
Acknowledgments
Conflicts of Interest
References
- Berkhemer, O.A.; Fransen, P.S.; Beumer, D.; Berg, L.A.V.D.; Lingsma, H.; Yoo, A.J.; Schonewille, W.J.; Vos, J.A.; Nederkoorn, P.J.; Wermer, M.J.; et al. A Randomized Trial of Intraarterial Treatment for Acute Ischemic Stroke. N. Engl. J. Med. 2015, 372, 11–20. [Google Scholar] [PubMed]
- Campbell, B.C.; Mitchell, P.J.; Kleinig, T.J.; Dewey, H.M.; Churilov, L.; Yassi, N.; Yan, B.; Dowling, R.J.; Parsons, M.W.; Oxley, T.J.; et al. Endovascular Therapy for Ischemic Stroke with Perfusion-Imaging Selection. N. Engl. J. Med. 2015, 372, 1009–1018. [Google Scholar] [PubMed]
- Goyal, M.; Demchuk, A.; Menon, B.K.; Eesa, M.; Rempel, J.L.; Thornton, J.; Roy, D.; Jovin, T.G.; Willinsky, R.A.; Sapkota, B.L.; et al. Randomized Assessment of Rapid Endovascular Treatment of Ischemic Stroke. N. Engl. J. Med. 2015, 372, 1019–1030. [Google Scholar] [CrossRef] [PubMed]
- Jovin, T.G.; Chamorro, Á.; Cobo, E.; De Miquel, M.A.; Molina, C.A.; Rovira, À.; Román, L.S.; Serena, J.; Abilleira, S.; Ribo, M.; et al. Thrombectomy within 8 Hours after Symptom Onset in Ischemic Stroke. N. Engl. J. Med. 2015, 372, 2296–2306. [Google Scholar]
- Saver, J.L.; Goyal, M.; Bonafé, A.; Diener, H.-C.; Levy, E.I.; Pereira, V.M.; Albers, G.W.; Cognard, C.; Cohen, D.J.; Hacke, W.; et al. Stent-Retriever Thrombectomy after Intravenous t-PA vs. t-PA Alone in Stroke. N. Engl. J. Med. 2015, 372, 2285–2295. [Google Scholar]
- Goyal, M.; Menon, B.K.; Van Zwam, W.H.; Dippel, D.W.J.; Mitchell, P.J.; Demchuk, A.M.; Dávalos, A.; Majoie, C.B.L.M.; Van Der Lugt, A.; A De Miquel, M.; et al. Endovascular thrombectomy after large-vessel ischaemic stroke: A meta-analysis of individual patient data from five randomised trials. Lancet 2016, 387, 1723–1731. [Google Scholar]
- Kloner, R.A.; King, K.S.; Harrington, M.G. No-reflow phenomenon in the heart and brain. Am. J. Physiol. Circ. Physiol. 2018, 315, H550–H562. [Google Scholar] [CrossRef]
- Strandgaard, S.; Paulson, O.B. Cerebral autoregulation. Stroke 1984, 15, 413–416. [Google Scholar]
- Jordan, J.D.; Powers, W.J. Cerebral Autoregulation and Acute Ischemic Stroke. Am. J. Hypertens. 2012, 25, 946–950. [Google Scholar]
- Salinet, A.S.M.; Panerai, R.B.; Robinson, T.G. The Longitudinal Evolution of Cerebral Blood Flow Regulation after Acute Ischaemic Stroke. Cerebrovasc. Dis. Extra 2014, 4, 186–197. [Google Scholar]
- Reinhard, M.; Wihler, C.; Roth, M.; Harloff, A.; Niesen, W.-D.; Timmer, J.; Weiller, C.; Hetzel, A. Cerebral Autoregulation Dynamics in Acute Ischemic Stroke after rtPA Thrombolysis. Cerebrovasc. Dis. 2008, 26, 147–155. [Google Scholar] [CrossRef] [PubMed]
- Reinhard, M.; Rutsch, S.; Hetzel, A. Cerebral autoregulation in acute ischemic stroke. Perspect. Med. 2012, 1, 194–197. [Google Scholar] [CrossRef][Green Version]
- Castro, P.; Serrador, J.M.; Rocha, I.; Sorond, F.; Azevedo, E. Efficacy of Cerebral Autoregulation in Early Ischemic Stroke Predicts Smaller Infarcts and Better Outcome. Front. Neurol. 2017, 8, 6–10. [Google Scholar] [CrossRef]
- Petersen, N.H.; Ortega-Gutierrez, S.; Reccius, A.; Masurkar, A.; Huang, A.; Marshall, R.S. Dynamic cerebral autoregulation is transiently impaired for one week after large-vessel acute ischemic stroke. Cerebrovasc. Dis. 2015, 39, 144–150. [Google Scholar] [CrossRef]
- Male, S.; Nickele, C.; Elijovich, L. Critical Care of Brain Reperfusion. Curr. Neurol. Neurosci. Rep. 2016, 16, 1–9. [Google Scholar] [CrossRef]
- Mistry, E.A.; Mistry, A.M.; Nakawah, M.O.; Khattar, N.K.; Fortuny, E.M.; Cruz, A.S.; Froehler, M.T.; Chitale, R.V.; James, R.F.; Fusco, M.R.; et al. Systolic Blood Pressure Within 24 Hours After Thrombectomy for Acute Ischemic Stroke Correlates with Outcome. J. Am. Hear. Assoc. 2017, 6. [Google Scholar] [CrossRef]
- Petersen, N.H.; Ortega-Gutierrez, S.; Wang, A.; Lopez, G.V.; Strander, S.; Kodali, S.; Silverman, A.; Zheng-Lin, B.; Dandapat, S.; Sansing, L.H.; et al. Decreases in Blood Pressure During Thrombectomy Are Associated with Larger Infarct Volumes and Worse Functional Outcome. Stroke 2019, 50, 1797–1804. [Google Scholar] [CrossRef]
- Salinet, A.S.; Minhas, J.S.; Panerai, R.B.; Bor-Seng-Shu, E.; Robinson, T.G. Do acute stroke patients develop hypocapnia? A systematic review and meta-analysis. J. Neurol. Sci. 2019, 402, 30–39. [Google Scholar] [CrossRef]
- Minhas, J.S.; Rook, W.; Panerai, R.B.; Hoiland, R.L.; Ainslie, P.N.; Thompson, J.P.; Mistri, A.K.; Robinson, T.G. Pathophysiological and clinical considerations in the perioperative care of patients with a previous ischaemic stroke: A multidisciplinary narrative review. Br. J. Anaesth. 2020, 124, 183–196. [Google Scholar] [CrossRef]
- Higashida, R.T.; Furlan, A.J. Trial Design and Reporting Standards for Intra-Arterial Cerebral Thrombolysis for Acute Ischemic Stroke. Stroke 2003, 34, 109–137. [Google Scholar] [CrossRef]
- Kothari, R.; Brott, T.; Broderick, J.P.; Barsan, W.G.; Sauerbeck, L.R.; Zuccarello, M.; Khoury, J. The ABCs of Measuring Intracerebral Hemorrhage Volumes. Stroke 1996, 27, 1304–1305. [Google Scholar] [CrossRef] [PubMed]
- Tan, I.; Demchuk, A.; Hopyan, J.; Zhang, L.; Gladstone, D.J.; Wong, K.-K.; Martin, M.; Symons, S.; Fox, A.; Aviv, R. CT Angiography Clot Burden Score and Collateral Score: Correlation with Clinical and Radiologic Outcomes in Acute Middle Cerebral Artery Infarct. Am. J. Neuroradiol. 2009, 30, 525–531. [Google Scholar] [CrossRef] [PubMed]
- Hacke, W.; Kaste, M.; Fieschi, C.; Toni, D.; Lesaffre, E.; Von Kummer, R.; Boysen, G.; Bluhmki, E.; Höxter, G.; Mahagne, M.-H.; et al. Intravenous Thrombolysis with Recombinant Tissue Plasminogen Activator for Acute Hemispheric Stroke. JAMA 1995, 274, 1017–1025. [Google Scholar] [CrossRef] [PubMed]
- Petersen, N.H.; Ortega-Gutierrez, S.; Reccius, A.; Masurkar, A.; Huang, A.; Marshall, R.S. Comparison of Non-invasive and Invasive Arterial Blood Pressure Measurement for Assessment of Dynamic Cerebral Autoregulation. Neurocritical Care 2014, 20, 60–68. [Google Scholar] [CrossRef]
- Truijen, J.; Rasmussen, L.S.; Kim, Y.S.; Stam, J.; Stok, W.J.; Pott, F.C.; Van Lieshout, J.J. Cerebral autoregulatory performance and the cerebrovascular response to head-of-bed positioning in acute ischaemic stroke. Eur. J. Neurol. 2018, 25, 1365-e117. [Google Scholar] [CrossRef]
- Zhang, R.; Zuckerman, J.H.; Giller, C.A.; Levine, B.D. Transfer function analysis of dynamic cerebral autoregulation in humans. Am. J. Physiol. Content 1998, 274, H233–H241. [Google Scholar] [CrossRef]
- Claassen, J.; Meel-van den Abeelen, A.S.; Simpson, D.M.; Panerai, R.B.; International Cerebral Autoregulation Research Network (CARNet). Transfer function analysis of dynamic cerebral autoregulation: A white paper from the International Cerebral Autoregulation Research Network. J. Cereb. Blood Flow Metab. 2016, 36, 665–680. [Google Scholar] [CrossRef]
- Meel-van den Abeelen, A.S.; Simpson, D.M.; Wang, L.J.; Slump, C.H.; Zhang, R.; Tarumi, T.; Rickards, C.A.; Payne, S.; Mitsis, G.D.; Kostoglou, K.; et al. Between-centre variability in transfer function analysis, a widely used method for linear quantification of the dynamic pressure-flow relation: The CARNet study. Med Eng. Phys. 2014, 36, 620–627. [Google Scholar] [CrossRef]
- Hamner, J.W.; Ishibashi, K.; Tan, C.O. Revisiting human cerebral blood flow responses to augmented blood pressure oscillations. J. Physiol. 2019, 597, 1553–1564. [Google Scholar] [CrossRef]
- Simpson, D.; Claassen, J. CrossTalk opposing view: Dynamic cerebral autoregulation should be quantified using induced (rather than spontaneous) blood pressure fluctuations. J. Physiol. 2017, 596, 7–9. [Google Scholar] [CrossRef]
- Tan, C.O. Defining the characteristic relationship between arterial pressure and cerebral flow. J. Appl. Physiol. 2012, 113, 1194–1200. [Google Scholar] [CrossRef] [PubMed]
- Tan, C.O.; Taylor, J.A. Integrative physiological and computational approaches to understand autonomic control of cerebral autoregulation. Exp. Physiol. 2013, 99, 3–15. [Google Scholar] [CrossRef] [PubMed]
- Hamner, J.W.; Tan, C.O.; Lee, K.; Cohen, M.A.; Taylor, J.A. Sympathetic Control of the Cerebral Vasculature in Humans. Stroke 2010, 41, 102–109. [Google Scholar] [CrossRef] [PubMed]
- Koopmans, L. The Spectral Analysis of Time Series, 2nd ed.; Birnbaum, Z., Lukacs, E., Eds.; Academic Press: New York, NY, USA, 1995. [Google Scholar]
- Albers, G.W.; Marks, M.P.; Kemp, S.; Christensen, S.; Tsai, J.P.; Ortega-Gutierrez, S.; McTaggart, R.A.; Torbey, M.T.; Kim-Tenser, M.; Leslie-Mazwi, T.; et al. Thrombectomy for Stroke at 6 to 16 Hours with Selection by Perfusion Imaging. N. Engl. J. Med. 2018, 378, 708–718. [Google Scholar] [CrossRef]
- Hacke, W.; Kaste, M.; Fieschi, C.; Von Kummer, R.; Dávalos, A.; Meier, D.; Larrue, V.; Bluhmki, E.; Davis, S.; Donnan, G.; et al. Randomised double-blind placebo-controlled trial of thrombolytic therapy with intravenous alteplase in acute ischaemic stroke (ECASS II). Lancet 1998, 352, 1245–1251. [Google Scholar] [CrossRef]
- Xiong, L.; Tian, G.; Lin, W.; Wang, W.; Wang, L.; Leung, T.; Mok, V.; Liu, J.; Chen, X.Y.; Wong, K.S.L. Is Dynamic Cerebral Autoregulation Bilaterally Impaired after Unilateral Acute Ischemic Stroke? J. Stroke Cerebrovasc. Dis. 2017, 26, 1081–1087. [Google Scholar] [CrossRef]
- Chen, Q.; Cichon, J.; Wang, W.; Qiu, L.; Lee, S.-J.R.; Campbell, N.R.; DeStefino, N.; Goard, M.J.; Fu, Z.; Yasuda, R.; et al. Imaging neural activity using Thy1-GCaMP transgenic mice. Neuron 2012, 76, 297–308. [Google Scholar] [CrossRef]
- Guo, Z.-N.; Xing, Y.; Wang, S.; Ma, H.; Liu, J.; Yang, Y. Characteristics of dynamic cerebral autoregulation in cerebral small vessel disease: Diffuse and sustained. Sci. Rep. 2015, 5, 15269. [Google Scholar]
- Castro, P.; Azevedo, E.; Serrador, J.M.; Rocha, I.; Sorond, F. Hemorrhagic transformation and cerebral edema in acute ischemic stroke: Link to cerebral autoregulation. J. Neurol. Sci. 2016, 372, 256–261. [Google Scholar] [CrossRef]
- McDowall, D.G. Drugs and cerebral autoregulation. Eur. J. Clin. Investig. 1982, 12, 377–378. [Google Scholar] [CrossRef]
- Donnelly, J.; Budohoski, K.P.; Smielewski, P.; Czosnyka, M. Regulation of the cerebral circulation: Bedside assessment and clinical implications. Crit. Care 2016, 20, 169. [Google Scholar] [CrossRef]



| Demographic/ Clinical Variable | TICI 2a/2b (n = 39) | TICI 3 (n = 68) | p-Value † | |
|---|---|---|---|---|
| Age, mean ± SD | 68.6 ± 13.4 | 70.2 ± 12.8 | 0.76 | |
| Male sex | 22 (56.4%) | 36 (52.9%) | 0.34 | |
| Received tPA | 15 (38.5%) | 30 (44.1%) | 0.57 | |
| LSW to tPA time (min), mean ± SD | 156.5 ± 63.7 | 185.4 ± 93.4 | 0.34 | |
| LSW to EVT time (min), mean ± SD | 424.7 ± 286.5 | 456.0 ± 230.5 | 0.35 | |
| LVO location | L MCA | 15 (38.4%) M1: 15, M2: 0 | 25 (36.8%) M1: 19, M2: 6 | 0.67 |
| R MCA | 20 (51.3%) M1: 18, M2: 2 | 34 (50%) M1: 29, M2: 5 | ||
| L ICA | 1 (2.6%) | 6 (8.8%) | ||
| R ICA | 3 (7.7%) | 3 (4.4%) | ||
| ASPECTS score, median (IQR) | 9.0 (7–10) | 9.0 (7–10) | 0.89 | |
| Collateral grading, median (IQR) | 2.0 (2–3) | 2.0 (2–3) | 0.56 | |
| NIHSS on admission, median (IQR) | 13.0 (9–16) | 15.0 (11–18) | 0.45 | |
| NIHSS on discharge, median (IQR) | 7.0 (2–17) | 5.0 (2–11) | 0.58 | |
| Early neurological recovery * | 21 (53.8%) | 51 (73.9%) | 0.03 | |
| MRS at 30 days, median (IQR) | 3.0 (2–5) | 3.0 (2–4) | 0.87 | |
| MRS at 90 days, median (IQR) | 2.0 (2–4) | 3.0 (2–4) | 0.43 | |
| Infarct volume (mL), mean ± SD | 74.5 ± 89.9 | 34.3 ± 63.6 | <0.01 | |
| Significant hemorrhage | 6 (15.4%) | 6 (8.8%) | 0.30 | |
| Midline shift | 1 (10.3%) | 1 (7.3%) | 0.67 | |
| LSW to TCD time, <24h, mean ± SD | 13.9 ± 3.3 | 13.9 ± 5.2 | 0.78 | |
| LSW to TCD time, 24–72 h, mean ± SD | 37.9 ± 9.5 | 44.0 ± 13.5 | 0.13 | |
| LSW to TCD time, 72–96 h, mean ± SD | 85.6 ± 6.5 | 86.6 ± 7.3 | 0.46 | |
| LSW to TCD time, 96 h +, mean ± SD | 155.5 ± 36.0 | 120.8 ± 19.8 | <0.01 | |
| End-tidal CO2, <24 h, mean ± SD | 34.0 ± 4.7 | 33.0 ± 5.1 | 0.01‡ | |
| End-tidal CO2, 24–72 h, mean ± SD | 33.6 ± 4.9 | 33.2 ± 3.6 | ||
| End-tidal CO2, 72–96 h, mean ± SD | 35.3 ± 4.7 | 33.8 ± 4.5 | ||
| End-tidal CO2, >96 h, mean ± SD | 36.9 ± 3.3 | 34.9 ± 3.0 | ||
| VLF (0.02–0.03 Hz) | |||
|---|---|---|---|
| Parameter of autoregulation | Stroke Volume < 70 mL | Stroke Volume > 70 mL | p-Value |
| Ipsilateral coherence | 0.497 (0.251) | 0.606 (0.219) | 0.027 |
| Contralateral coherence | 0.473 (0.236) | 0.532 (0.256) | 0.221 |
| Ipsilateral gain | 0.602 (0.394) | 0.495 (0.281) | 0.147 |
| Contralateral gain | 0.644 (0.400) | 0.625 (0.415) | 0.81 |
| Ipsilateral phase | 0.620 (0.879) | 0.263 (0.578) | 0.03 |
| Contralateral phase | 0.599 (0.935) | 0.540 (0.701) | 0.742 |
| LF (0.03–0.07 Hz) | |||
| Parameter of autoregulation | Stroke Volume < 70mL | Stroke Volume > 70 mL | p-Value |
| Ipsilateral coherence | 0.537 (0.197) | 0.582 (0.207) | 0.254 |
| Contralateral coherence | 0.517 (0.193) | 0.489 (0.199) | 0.468 |
| Ipsilateral gain | 0.630 (0.357) | 0.475 (0.189) | 0.018 |
| Contralateral gain | 0.660 (0.324) | 0.579 (0.373) | 0.229 |
| Ipsilateral phase | 0.783 (0.502) | 0.338 (0.499) | <0.001 |
| Contralateral phase | 0.912 (0.508) | 0.561 (0.606) | 0.001 |
© 2020 by the authors. Licensee MDPI, Basel, Switzerland. This article is an open access article distributed under the terms and conditions of the Creative Commons Attribution (CC BY) license (http://creativecommons.org/licenses/by/4.0/).
Share and Cite
Sheriff, F.; Castro, P.; Kozberg, M.; LaRose, S.; Monk, A.; Azevedo, E.; Li, K.; Jafari, S.; Rao, S.; Otite, F.O.; et al. Dynamic Cerebral Autoregulation Post Endovascular Thrombectomy in Acute Ischemic Stroke. Brain Sci. 2020, 10, 641. https://doi.org/10.3390/brainsci10090641
Sheriff F, Castro P, Kozberg M, LaRose S, Monk A, Azevedo E, Li K, Jafari S, Rao S, Otite FO, et al. Dynamic Cerebral Autoregulation Post Endovascular Thrombectomy in Acute Ischemic Stroke. Brain Sciences. 2020; 10(9):641. https://doi.org/10.3390/brainsci10090641
Chicago/Turabian StyleSheriff, Faheem, Pedro Castro, Mariel Kozberg, Sarah LaRose, Andrew Monk, Elsa Azevedo, Karen Li, Sameen Jafari, Shyam Rao, Fadar Oliver Otite, and et al. 2020. "Dynamic Cerebral Autoregulation Post Endovascular Thrombectomy in Acute Ischemic Stroke" Brain Sciences 10, no. 9: 641. https://doi.org/10.3390/brainsci10090641
APA StyleSheriff, F., Castro, P., Kozberg, M., LaRose, S., Monk, A., Azevedo, E., Li, K., Jafari, S., Rao, S., Otite, F. O., Khawaja, A., Sorond, F., Feske, S., Tan, C. O., & Vaitkevicius, H. (2020). Dynamic Cerebral Autoregulation Post Endovascular Thrombectomy in Acute Ischemic Stroke. Brain Sciences, 10(9), 641. https://doi.org/10.3390/brainsci10090641

