Switching between the Forest and the Trees: The Contribution of Global to Local Switching to Spatial Constructional Abilities in Typically Developing Children
Abstract
1. Introduction
2. Materials and Methods
2.1. Participants
2.2. Tasks
2.2.1. Global/Local Switching Task
2.2.2. Rey–Osterrieth Complex Figure
2.2.3. Block Design
2.3. Procedure
2.4. Statistical Analysis
3. Results
3.1. Regression Analysis
3.2. Global/Local Switching and Spatial Construction Tasks as a Function of Sex
4. Discussion
5. Conclusions
Author Contributions
Funding
Acknowledgments
Conflicts of Interest
References
- Stiles, J.; Akshoomoff, N.; Haist, F. The Development of Visuospatial Processing. Comprehensive Developmental Neuroscience: Neural Circuit Development and Function in the Brain; Rubenstein, J.L.R., Rakic, P., Eds.; Elsevier: Amsterdam, The Netherlands, 2013; Volume 3, pp. 271–296. [Google Scholar]
- Stiles, J.; Akshoomoff, N.; Haist, F. The Development of Visuospatial Processing. Comprehensive Developmental Neuroscience: Neural Circuit Development and Function in the Brain, 2nd ed.; Rubenstein, J.L.R., Rakic, P., Eds.; Elsevier: Amsterdam, The Netherlands, 2020; Volume 3, pp. 359–393. [Google Scholar]
- Del Giudice, E.; Grossi, D.; Angelini, R.; Crisanti, A.F.; Latte, F.; A Fragassi, N.; Trojano, L. Spatial cognition in children. I. Development of drawing-related (visuospatial and constructional) abilities in preschool and early school years. Brain Dev. 2000, 22, 362–367. [Google Scholar] [CrossRef]
- Dilworth, J.E.; Greenberg, M.T.; Kusché, C. Early Neuropsychological Correlates of Later Clock Drawing and Clock Copying Abilities Among School Aged Children. Child Neuropsychol. 2004, 10, 24–35. [Google Scholar] [CrossRef] [PubMed]
- Drake, J.E. Knowing how to look predicts the ability to draw realistically. Br. J. Dev. Psychol. 2014, 32, 397–414. [Google Scholar] [CrossRef] [PubMed]
- La Femina, F.; Senese, V.P.; Grossi, D.; Venuti, P.; Senese, V.P. A Battery for The Assessment of Visuo-Spatial Abilities Involved in Drawing Tasks. Clin. Neuropsychol. 2009, 23, 691–714. [Google Scholar] [CrossRef] [PubMed]
- Toomela, A. Drawing as a verbally mediated activity: A study of relationships between verbal, motor, and visuospatial skills and drawing in children. Int. J. Behav. Dev. 2002, 26, 234–247. [Google Scholar] [CrossRef]
- Senese, V.P.; De Lucia, N.; Conson, M. Cognitive Predictors of Copying and Drawing from Memory of the Rey-Osterrieth Complex Figure in 7- to 10-Year-Old Children. Clin. Neuropsychol. 2015, 29, 118–132. [Google Scholar] [CrossRef]
- Senese, V.P.; Zappullo, I.; Baiano, C.; Zoccolotti, P.; Monaco, M.; Conson, M. Identifying neuropsychological predictors of drawing skills in elementary school children. Child Neuropsychol. 2020, 26, 345–361. [Google Scholar] [CrossRef]
- Watanabe, K.; Ogino, T.; Nakano, K.; Hattori, J.; Kado, Y.; Sanada, S.; Ohtsuka, Y. The Rey-Osterrieth Complex Figure as a measure of executive function in children. Brain Develop. 2005, 27, 564–569. [Google Scholar] [CrossRef]
- Weber, R.C.; Riccio, C.A.; Cohen, M.J. Does Rey Complex Figure Copy Performance Measure Executive Function in Children? Appl. Neuropsychol. Child 2013, 2, 6–12. [Google Scholar] [CrossRef]
- Navon, D. Forest before trees—Precedence of global features in visual-perception. Cogn. Psychol. 1977, 9, 353–383. [Google Scholar] [CrossRef]
- Navon, D. The forest revisited: More on global precedence. Psychol. Res. 1981, 43, 1–32. [Google Scholar] [CrossRef]
- Dukette, D.; Stiles, J. The effects of stimulus density on children’s analysis of hierarchical patterns. Dev. Sci. 2001, 4, 233–251. [Google Scholar] [CrossRef]
- Kimchi, R.; Hadad, B.; Behrmann, M.; Palmer, S.E. Microgenesis and ontogenesis of perceptual organization: Evidence from global and local processing of hierarchical patterns. Psychol. Sci. 2005, 16, 282–290. [Google Scholar] [CrossRef] [PubMed]
- Poirel, N.; Mellet, E.; Houdé, O.; Pineau, A. First came the trees, then the forest: Developmental changes during childhood in the processing of visual local-global patterns according to the meaningfulness of the stimuli. Dev. Psychol. 2008, 44, 245–253. [Google Scholar] [CrossRef] [PubMed]
- Scherf, K.S.; Behrmann, M.; Kimchi, R.; Luna, B. Emergence of global shape processing continues through adolescence. Child Dev. 2009, 80, 162–177. [Google Scholar] [CrossRef] [PubMed]
- Martens, R.; Hurks, P.P.M.; Jolles, J. Organizational Strategy Use in Children Aged 5–7: Standardization and Validity of the Rey Complex Figure Organizational Strategy Score (RCF-OSS). Clin. Neuropsychol. 2014, 28, 954–973. [Google Scholar] [CrossRef]
- Osterrieth, P.A. Le test de copie d’une figure complexe: Contribution a l’etude de la perception et de la memoire. Arch. Psychol. 1944, 30, 206–356. [Google Scholar]
- Rey, A. L’examen psychologique dans les cas d’encephalopathie traumatique. Arch. Psychol. 1941, 28, 286–340. [Google Scholar]
- Akshoomoff, N.A.; Stiles, J. Developmental trends in visuospatial analysis and planning: I. Copying a complex figure. Neuropsychology 1995, 9, 364–377. [Google Scholar] [CrossRef]
- Drake, J.E. Is superior local processing in the visuospatial domain a function of drawing talent rather than autism spectrum disorder? Psychol. Aesthet. Creat. Arts 2013, 7, 203–209. [Google Scholar] [CrossRef][Green Version]
- Drake, J.E.; Redash, A.; Coleman, K.; Haimson, J.; Winner, E. ‘Autistic’ Local Processing Bias Also Found in Children Gifted in Realistic Drawing. J. Autism Dev. Disord. 2010, 40, 762–773. [Google Scholar] [CrossRef] [PubMed]
- Caron, M.-J.; Mottron, L.; Berthiaume, C.; Dawson, M. Cognitive mechanisms, specificity and neural underpinnings of visuospatial peaks in autism. Brain 2006, 129, 1789–1802. [Google Scholar] [CrossRef] [PubMed]
- Chamberlain, R.; Wagemans, J. Visual arts training is linked to flexible attention to local and global levels of visual stimuli. Acta Psychol. 2015, 161, 185–197. [Google Scholar] [CrossRef] [PubMed]
- Chamberlain, R.; Swinnen, L.; Heeren, S.; Wagemans, J. Perceptual flexibility is coupled with reduced executive inhibition in students of the visual arts. Br. J. Psychol. 2017, 109, 244–258. [Google Scholar] [CrossRef]
- Rowe, E.W.; Dandridge, J.L.; Pawlush, A.; Thompson, D.F. Factor Structure of the Wechsler Intelligence Scale for Children (4th ed.) Among Gifted Students; American Psychological Association (APA): Washington, DC, USA, 2013. [Google Scholar]
- Shin, M.-S.; Park, S.-Y.; Park, S.-R.; Seol, S.-H.; Kwon, J.S. Clinical and empirical applications of the Rey–Osterrieth Complex Figure Test. Nat. Protoc. 2006, 1, 892–899. [Google Scholar] [CrossRef]
- Trojano, L. Constructional apraxia from the roots up: Kleist, Strauss, and their contemporaries. Neurol. Sci. 2019, 41, 981–988. [Google Scholar] [CrossRef]
- Douglas, G.; Riding, R.J. Cognitive Style and Gender Differences in Drawing from Memory Versus Copying in 11-year-old Children. Educ. Psychol. 1994, 14, 493–496. [Google Scholar] [CrossRef]
- Uttal, D.H.; Meadow, N.G.; Tipton, E.; Hand, L.L.; Alden, A.R.; Warren, C.; Newcombe, N.S. The malleability of spatial skills: A meta-analysis of training studies. Psychol. Bull. 2013, 139, 352–402. [Google Scholar] [CrossRef]
- Voyer, D.; Voyer, S.; Bryden, M.P. Magnitude of sex differences in spatial abilities: A meta-analysis and consideration of critical variables. Psychol. Bull. 1995, 117, 250–270. [Google Scholar] [CrossRef]
- Poirel, N.; Simon, G.; Cassotti, M.; Leroux, G.; Perchey, G.; Lanoë, C.; Lubin, A.; Turbelin, M.-R.; Rossi, S.; Pineau, A.; et al. The Shift from Local to Global Visual Processing in 6-Year-Old Children is Associated with Grey Matter Loss. PLoS ONE 2011, 6, e20879. [Google Scholar] [CrossRef]
- Poirel, N.; Leroux, E.; Pineau, A.; Houde, O.; Simon, G. Changes in Cortical Thickness in 6-Year-Old Children Open Their Mind to a Global Vision of the World. BioMed Res. Int. 2014, 2014, 1–7. [Google Scholar] [CrossRef] [PubMed]
- Raven, J.C. Matrici Progressive di Raven, Forma Colorata; Organizzazioni Speciali (O.S.): Firenze, Italy, 1976. [Google Scholar]
- Hollingshead, A. The Four-Factor Index of Social Status; Yale University, Department of Sociology: New Haven, CT, USA, 1975; Unpublished work. [Google Scholar]
- Venuti, P.; Senese, V.P. A questionnaire for self-assessment of parental styles: A study of an Italian sample. Italian J. Psychol. 2007, 34, 677–698. [Google Scholar]
- Conson, M.; Siciliano, M.; Baiano, C.; Zappullo, I.; Senese, V.P.; Santangelo, G. Normative data of the Rey-Osterrieth Complex Figure for Italian-speaking elementary school children. Neurol. Sci. 2019, 40, 2045–2050. [Google Scholar] [CrossRef] [PubMed]
- Rey, A. Reattivo Della Figura Complessa. Manuale; Organizzazioni Speciali (O.S.): Firenze, Italy, 1983. [Google Scholar]
- Orsini, A.; Pezzuti, L.; Picone, L. WISC-IV: Contributo alla Taratura Italiana; Organizzazioni Speciali (O.S.): Firenze, Italy, 2012. [Google Scholar]
- Casey, B.M.; Andrews, N.; Schindler, H.; Kersh, J.E.; Samper, A.; Copley, J. The Development of Spatial Skills Through Interventions Involving Block Building Activities. Cogn. Instr. 2008, 26, 269–309. [Google Scholar] [CrossRef]
- Ferrara, K.; Hirsh-Pasek, K.; Newcombe, N.S.; Golinkoff, R.M.; Lam, W.S. Block Talk: Spatial Language During Block Play. Mind Brain Educ. 2011, 5, 143–151. [Google Scholar] [CrossRef]
- Pruden, S.M.; Levine, S.C.; Huttenlocher, J. Children’s spatial thinking: Does talk about the spatial world matter? Dev. Sci. 2011, 14, 1417–1430. [Google Scholar] [CrossRef] [PubMed]
- Poirel, N.; Krakowski, C.S.; Sayah, S.; Pineau, A.; Houdé, O.; Borst, G. Do you want to see the tree? Ignore the forest: Inhibitory control during local processing: A negative priming study of local-global processing. Exp. Psychol. 2014, 61, 205–214. [Google Scholar] [CrossRef]
- Krakowski, C.-S.; Poirel, N.; Vidal, J.; Roëll, M.; Pineau, A.; Borst, G.; Houdé, O. The forest, the trees, and the leaves: Differences of processing across development. Dev. Psychol. 2016, 52, 1262–1272. [Google Scholar] [CrossRef]
- Posner, M.I.; Rothbart, M.K. Research on Attention Networks as a Model for the Integration of Psychological Science. Annu. Rev. Psychol. 2007, 58, 1–23. [Google Scholar] [CrossRef]
- Krakowski, C.-S.; Borst, G.; Vidal, J.; Houde, O.; Poirel, N. Children inhibit global information when the forest is dense and local information when the forest is sparse. J. Exp. Child Psychol. 2018, 173, 155–167. [Google Scholar] [CrossRef]
- Radel, R.; Davranche, K.; Fournier, M.; Dietrich, A. The role of (dis)inhibition in creativity: Decreased inhibition improves idea generation. Cognition 2015, 134, 110–120. [Google Scholar] [CrossRef] [PubMed]
- Mondloch, C.J.; Geldart, S.; Maurer, D.; De Schonen, S. Developmental changes in the processing of hierarchical shapes continue into adolescence. J. Exp. Child Psychol. 2003, 84, 20–40. [Google Scholar] [CrossRef]
- Porporino, M.; Iarocci, G.; I Shore, D.; Burack, J.A. A developmental change in selective attention and global form perception. Int. J. Behav. Dev. 2004, 28, 358–364. [Google Scholar] [CrossRef]
- Pletzer, B. Sex-specific strategy use and global-local processing: A perspective toward integrating sex differences in cognition. Front. Neurosci. 2014, 8, 425. [Google Scholar] [CrossRef]
- Roalf, D.; Lowery, N.; Turetsky, B.I. Behavioral and physiological findings of gender differences in global-local visual processing. Brain Cogn. 2006, 60, 32–42. [Google Scholar] [CrossRef]
- Conson, M.; The UNICAMPSY17 Group; Senese, V.P.; Baiano, C.; Zappullo, I.; Warrier, V.; Salzano, S.; Positano, M.; Baron-Cohen, S. The effects of autistic traits and academic degree on visuospatial abilities. Cogn. Process. 2020, 21, 127–140. [Google Scholar] [CrossRef]
- Groen, Y.; Fuermaier, A.B.M.; Tucha, L.; Koerts, J.; Tucha, O. How predictive are sex and empathizing-systemizing cognitive style for entry into the academic areas of social or physical sciences? Cogn. Process. 2018, 19, 95–106. [Google Scholar] [CrossRef]
- Levine, S.C.; Foley, A.; Lourenco, S.; Ehrlich, S.; Ratliff, K. Sex differences in spatial cognition: Advancing the conversation. WIREs Cogn. Sci. 2016, 7, 127–155. [Google Scholar] [CrossRef]
- Rodán-González, A.; Contreras-Alcalde, M.J.; Elosúa, M.R.; Gimeno-Galindo, P. Experimental but Not Sex Differences of a Mental Rotation Training Program on Adolescents. Front. Psychol. 2016, 7, 1050. [Google Scholar] [CrossRef]
- Eperdreau, F.; Cavanagh, P. The Artist’s Advantage: Better Integration of Object Information across Eye Movements. i-Perception 2013, 4, 380–395. [Google Scholar] [CrossRef]
- Katagiri, M.; Kasai, T.; Kamio, Y.; Murohashi, H. Individuals with Asperger’s Disorder Exhibit Difficulty in Switching Attention from a Local Level to a Global Level. J. Autism Dev. Disord. 2013, 43, 395–403. [Google Scholar] [CrossRef] [PubMed][Green Version]
- Mervis, C.B.; Robinson, B.F.; Bertrand, J.; Morris, C.A.; Klein-Tasman, B.P.; Armstrong, S.C. The Williams Syndrome Cognitive Profile. Brain Cogn. 2000, 44, 604–628. [Google Scholar] [CrossRef] [PubMed]
- Soriano, M.F.; Ibáñez-Molina, A.; Paredes, N.; Macizo, P. Autism: Hard to Switch from Details to the Whole. J. Abnorm. Child Psychol. 2017, 46, 1359–1371. [Google Scholar] [CrossRef] [PubMed]



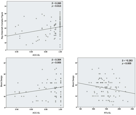
| B | β | T | p | |
|---|---|---|---|---|
| Constant | 12.24 | - | 3.97 | 0.001 |
| Sex | - | 0.131 | 1.26 | 0.210 |
| SES | - | 0.179 | 1.73 | 0.088 |
| ACC-GL * | 8.64 | 0.260 | 2.52 | 0.013 |
| ACC-LG | - | 0.048 | 0.41 | 0.681 |
| ACC-GG | - | 0.038 | 0.32 | 0.748 |
| ACC-LL | - | 0.057 | 0.39 | 0.696 |
| RTs-GL | - | −0.058 | −0.53 | 0.597 |
| RTs-LG | - | −0.01 | −0.06 | 0.955 |
| RTs-GG | - | −0.59 | −0.54 | 0.590 |
| RTs-LL | - | −0.080 | −0.75 | 0.458 |
| B | Β | T | p | |
|---|---|---|---|---|
| Constant | 14.49 | - | 3.04 | 0.003 |
| Sex | - | 0.138 | 1.29 | 0.200 |
| SES | - | 0.067 | 0.65 | 0.518 |
| ACC-GL * | 13.99 | 0.304 | 2.87 | 0.005 |
| ACC-LG | - | 0.080 | 0.69 | 0.491 |
| ACC-GG | - | 0.025 | 0.21 | 0.831 |
| ACC-LL | - | −0.021 | −0.15 | 0.883 |
| RTs-GL * | −0.007 | −0.283 | −2.66 | 0.009 |
| RTs-LG | - | 0.092 | 0.63 | 0.533 |
| RTs-GG | - | 0.016 | 0.11 | 0.911 |
| RTs-LL | - | −0.065 | −0.47 | 0.640 |
Publisher’s Note: MDPI stays neutral with regard to jurisdictional claims in published maps and institutional affiliations. |
© 2020 by the authors. Licensee MDPI, Basel, Switzerland. This article is an open access article distributed under the terms and conditions of the Creative Commons Attribution (CC BY) license (http://creativecommons.org/licenses/by/4.0/).
Share and Cite
Zappullo, I.; Trojano, L.; Cecere, R.; Raimo, G.; Positano, M.; Conson, M. Switching between the Forest and the Trees: The Contribution of Global to Local Switching to Spatial Constructional Abilities in Typically Developing Children. Brain Sci. 2020, 10, 955. https://doi.org/10.3390/brainsci10120955
Zappullo I, Trojano L, Cecere R, Raimo G, Positano M, Conson M. Switching between the Forest and the Trees: The Contribution of Global to Local Switching to Spatial Constructional Abilities in Typically Developing Children. Brain Sciences. 2020; 10(12):955. https://doi.org/10.3390/brainsci10120955
Chicago/Turabian StyleZappullo, Isa, Luigi Trojano, Roberta Cecere, Gennaro Raimo, Monica Positano, and Massimiliano Conson. 2020. "Switching between the Forest and the Trees: The Contribution of Global to Local Switching to Spatial Constructional Abilities in Typically Developing Children" Brain Sciences 10, no. 12: 955. https://doi.org/10.3390/brainsci10120955
APA StyleZappullo, I., Trojano, L., Cecere, R., Raimo, G., Positano, M., & Conson, M. (2020). Switching between the Forest and the Trees: The Contribution of Global to Local Switching to Spatial Constructional Abilities in Typically Developing Children. Brain Sciences, 10(12), 955. https://doi.org/10.3390/brainsci10120955

