Effects of Hooked-End Steel Fiber Geometry and Volume Fraction on the Flexural Behavior of Concrete Pedestrian Decks
Abstract
:1. Introduction
2. Research Objective and Design Process of Novel Pedestrian Decks
3. Experimental Program
3.1. Mix Proportion and Steel Fiber
3.2. Compressive and Bending Tests
3.3. Structural Test for Concrete Pedestrian Decks
4. Experimental Results and Discussions
4.1. Mechanical Properties
4.2. Flexural Performance of Concrete Pedestrian Decks
4.2.1. Effects of End-Hook Geometry and Volume Fraction of Hooked-End Steel Fibers on the Overall Flexural Behavior
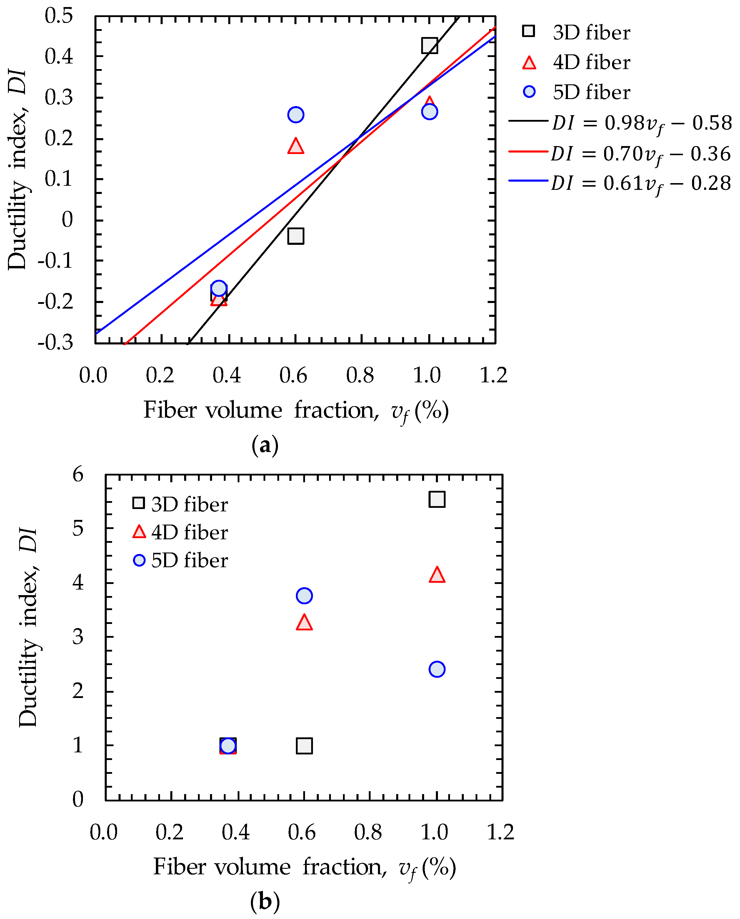
4.2.2. Ductility Evaluation
4.2.3. Cracking Response
5. Numerical Simulation
5.1. Suggestion of Compressive and Tensile Stress Blocks
5.2. Procedure for Sectional Analysis
5.3. Comparison of Experimental and Numerical Results
6. Conclusions
- (1)
- For the high-strength concrete with a compressive strength of approximately 50 MPa, all the uniaxial beams with a low fiber volume fraction of 0.37% showed a deflection-softening behavior, whereas others with a higher volume fraction of 0.6% or 1.0% exhibited a deflection-hardening behavior. Regardless of the steel fiber type, the flexural performance of SFRC was improved by increasing the amounts of fibers.
- (2)
- Increasing the number of hook ends in hooked-end steel fibers can effectively increase the flexural strength and induce ductile flexural behavior of SFRC beams. Therefore, the specimens with 5D hooked-end steel fibers resulted in the greatest flexural strengths and flexural strength margins (= fMOR/fLOP − 1) at all volume fractions, followed by the 4D and 3D hooked-end fibers.
- (3)
- To guarantee a ductile flexural behavior and replace the minimum longitudinal steel rebars of concrete pedestrian decks based on ACI 318 code, 0.6% of 4D and 5D hooked-end fibers and 1.0% of 3D hooked-end fibers were required to be incorporated. Furthermore, in order to satisfy the DI value of 0.39 for the minimum reinforcement ratio given by Fantilli et al. [1], the required amount of all the hooked-end fibers (i.e., 3D, 4D, and 5D) was approximately 0.98%‒1.10%.
- (4)
- Regardless of the number of hook ends, a multiple cracking behavior was observed only when the fiber volume fraction is 1.0%.
- (5)
- The flexural strength ratios of experiments and simulations, based on RILEM recommendation [15] and sectional analyses, were found to be 0.75, 0.81, and 0.93 on average for the 3D, 4D, and 5D hooked-end fiber specimens, respectively. The numerical results indicated that to guarantee a deflection-hardening response of pedestrian decks, the fiber volume fraction needs to be 1.0%, regardless of the steel fiber type.
- (6)
- Consequently, a volume fraction of 1.0% of hooked-end steel fibers is recommended to replace the minimum longitudinal steel rebars and guarantee a ductile flexural behavior with multiple cracks for concrete pedestrian decks.
Author Contributions
Funding
Conflicts of Interest
References
- Fantilli, A.P.; Cavallo, A.D.; Pistone, G. Fiber-reinforced lightweight concrete slabs for the maintenance of the Soleri Viaduct. Eng. Struct. 2015, 99, 184–191. [Google Scholar] [CrossRef]
- Chiaia, B.; Fantilli, A.P.; Vallini, P. Evaluation of minimum reinforcement ratio in FRC members and application to tunnel linings. Mater. Struct. 2007, 40, 593–604. [Google Scholar] [CrossRef]
- ACI Committee 318. Building Code Requirements for Structural Concrete (ACI 318-14) and Commentary (318R-14); American Concrete Institute: Farmington Hills, MI, USA, 2014. [Google Scholar]
- Eurocode 2. Eurocode 2: Design of Concrete Structures—Part 1: General Rules and Rules for Buildings; EN 1992-1-1; European Committee for Standardization: Brussels, Belgium, 2004. [Google Scholar]
- Barros, J.A.; Cunha, V.M.; Ribeiro, A.F.; Antunes, J.A.B. Post-cracking behaviour of steel fibre reinforced concrete. Mater. Struct. 2005, 38, 47–56. [Google Scholar] [CrossRef]
- Yoo, D.Y.; Yoon, Y.S.; Banthia, N. Predicting the post-cracking behavior of normal-and high-strength steel-fiber-reinforced concrete beams. Constr. Build. Mater. 2015, 93, 477–485. [Google Scholar] [CrossRef]
- Bindiganavile, V.; Banthia, N. Polymer and steel fiber-reinforced cementitious composites under impact loading—Part 2: Flexural toughness. ACI Mater. J. 2001, 98, 17–24. [Google Scholar]
- Banthia, N.; Trottier, J.F. Concrete reinforced with deformed steel fibers—Part II: Toughness characterization. ACI Mater. J. 1995, 92, 146–154. [Google Scholar]
- Aslani, F.; Samali, B. Flexural toughness characteristics of self-compacting concrete incorporating steel and polypropylene fibres. Aust. J. Struct. Eng. 2014, 15, 269–286. [Google Scholar] [CrossRef]
- Abdallah, S.; Fan, M. Anchorage mechanisms of novel geometrical hooked-end steel fibres. Mater. Struct. 2017, 50, 139. [Google Scholar] [CrossRef]
- Abdallah, S.; Rees, D.W.; Ghaffar, S.H.; Fan, M. Understanding the effects of hooked-end steel fibre geometry on the uniaxial tensile behaviour of self-compacting concrete. Constr. Build. Mater. 2018, 178, 484–494. [Google Scholar] [CrossRef]
- Venkateshwaran, A.; Tan, K.H.; Li, Y. Residual flexural strengths of steel fiber reinforced concrete with multiple hooked-end fibers. Struct. Concr. 2018, 19, 352–365. [Google Scholar] [CrossRef]
- Abdallah, S.; Fan, M.; Rees, D.W. Analysis and modelling of mechanical anchorage of 4D/5D hooked end steel fibres. Mater. Des. 2016, 112, 539–552. [Google Scholar] [CrossRef]
- Venkateshwaran, A.; Tan, K.H. Load-carrying capacity of steel fiber reinforced concrete beams at large deflections. Struct. Concr. 2018, 19, 670–683. [Google Scholar] [CrossRef]
- RILEM TC162-TDF. Test and design methods for steel fibre reinforced concrete: Bending test. Mater. Struct. 2000, 33, 75–81. [Google Scholar]
- Carpinteri, A.; Cadamuro, E.; Corrado, M. Minimum flexural reinforcement in rectangular and T-section concrete beams. Struct. Concr. 2014, 15, 361–372. [Google Scholar] [CrossRef]
- ASTM C1611/C1611M–14. Standard Test Method for Slump Flow of Self-Consolidating Concrete; ASTM International: West Conshohocken, PA, USA, 2014; pp. 1–6. [Google Scholar]
- Yoo, D.Y.; Kim, S.; Park, G.J.; Park, J.J.; Kim, S.W. Effects of fiber shape, aspect ratio, and volume fraction on flexural behavior of ultra-high-performance fiber-reinforced cement composites. Compos. Struct. 2017, 174, 375–388. [Google Scholar] [CrossRef]
- BS EN 14651:2005. Test Method for Metallic Fibered Concrete—Measuring the Flexural Tensile Strength (Limit of Proportionality [LOP], Residual); British Standards Institution: London, UK, 2005; 17p. [Google Scholar]
- ASTM C39/C39M. Standard Test Method for Compressive Strength of Cylindrical Concrete Specimens; ASTM International: West Conshohocken, PA, USA, 2014; pp. 1–7. [Google Scholar]
- Yoo, D.Y.; Kang, S.T.; Yoon, Y.S. Effect of fiber length and placement method on flexural behavior, tension-softening curve, and fiber distribution characteristics of UHPFRC. Constr. Build. Mater. 2014, 64, 67–81. [Google Scholar] [CrossRef]
- Hsu, L.S.; Hsu, C.T.T. Stress–strain behavior of steel-fiber high-strength concrete under compression. ACI Struct. J. 1994, 91, 448–457. [Google Scholar]
- Banthia, N.; Gupta, R. Hybrid fiber reinforced concrete (HyFRC): Fiber synergy in high strength matrices. Mater. Struct. 2004, 37, 707–716. [Google Scholar] [CrossRef]
- Banthia, N.; Nandakumar, N. Crack growth resistance of hybrid fiber reinforced cement composites. Cem. Concr. Compos. 2003, 25, 3–9. [Google Scholar] [CrossRef]
- Yoo, D.Y.; Kang, S.T.; Banthia, N.; Yoon, Y.S. Nonlinear finite element analysis of ultra-high-performance fiber-reinforced concrete beams. Int. J. Damage Mech. 2017, 26, 735–757. [Google Scholar] [CrossRef]
- di Prisco, M.; Colombo, M.; Dozio, D. Fibre-reinforced concrete in fib Model Code 2010: Principles, models and test validation. Struct. Concr. 2013, 14, 342–361. [Google Scholar] [CrossRef]
- Fédération Internationale du Béton. fib Model Code for Concrete Structures 2010; Ernst & Sohn: Lausanne, Switzerland, 2013. [Google Scholar]
- Banthia, N.; Sappakittipakorn, M. Toughness enhancement in steel fiber reinforced concrete through fiber hybridization. Cem. Concr. Res. 2007, 37, 1366–1372. [Google Scholar] [CrossRef]
- Shin, S.W.; Ghosh, S.K.; Moreno, J. Flexural ductility of ultra-high-strength concrete members. ACI Struct. J. 1989, 86, 394–400. [Google Scholar]
- Yoo, D.Y.; Yuan, T.; Yang, J.M.; Yoon, Y.S. Feasibility of replacing minimum shear reinforcement with steel fibers for sustainable high-strength concrete beams. Eng. Struct. 2017, 147, 207–222. [Google Scholar] [CrossRef]
- Kim, J.; Kim, D.J.; Park, S.H.; Zi, G. Investigating the flexural resistance of fiber reinforced cementitious composites under biaxial condition. Compos. Struct. 2015, 122, 198–208. [Google Scholar] [CrossRef]
- Yoo, D.Y.; Banthia, N.; Kang, S.T.; Yoon, Y.S. Size effect in ultra-high-performance concrete beams. Eng. Fract. Mech. 2016, 157, 86–106. [Google Scholar] [CrossRef]
- Aslani, F.; Natoori, M. Stress-strain relationships for steel fibre reinforced self-compacting concrete. Struct. Eng. Mech. 2013, 46, 295–322. [Google Scholar] [CrossRef]
- Lee, S.C.; Oh, J.H.; Cho, J.Y. Compressive behavior of fiber-reinforced concrete with end-hooked steel fibers. Materials 2015, 8, 1442–1458. [Google Scholar] [CrossRef]















| W/B [%] | s/a [%] | Gmax [mm] | Unite Weight [kg/m3] | AE Agent † [B × %] | Steel Fiber * [%] | |||||
|---|---|---|---|---|---|---|---|---|---|---|
| Water | Cement | Sand | Gravel | GGBFS | FA | |||||
| 35 | 48 | 25 | 165 | 282 | 796 | 859 | 141 | 47 | 1.0 | 0.37 0.60 1.00 |
| Type of Hooked Fiber | Statistical Parameter | vf [%] | fL [MPa] | fR,1 [MPa] | fR,2 [MPa] | fR,3 [MPa] | fR,4 [MPa] | fR1k [MPa] | fR3k [GPa] | fR3k/fR1k | Material Class * |
|---|---|---|---|---|---|---|---|---|---|---|---|
| 3D | Avg. | 0.37 | 6.92 | 5.53 | 6.38 | 6.25 | 5.81 | 5.04 | 5.93 | 1.18 | 5d |
| St. dev. | 0.201 | 0.259 | 0.185 | 0.172 | 0.343 | - | - | - | - | ||
| Avg. | 0.60 | 7.02 | 6.37 | 7.84 | 6.49 | 7.31 | 3.35 | 2.66 | 0.79 | 3b | |
| St. dev. | 0.203 | 1.600 | 2.373 | 2.025 | 2.000 | - | - | - | - | ||
| Avg. | 1.00 | 8.73 | 12.00 | 13.92 | 13.31 | 12.18 | 9.86 | 12.43 | 1.26 | 9d | |
| St. dev. | 0.445 | 1.129 | 1.073 | 0.462 | 0.212 | - | - | - | - | ||
| 4D | Avg. | 0.37 | 6.88 | 4.76 | 6.34 | 5.95 | 4.61 | 3.00 | 4.32 | 1.44 | 3e |
| St. dev. | 0.810 | 0.931 | 0.716 | 0.862 | 0.659 | - | - | - | - | ||
| Avg. | 0.60 | 7.43 | 6.23 | 8.75 | 7.49 | 5.56 | 2.80 | 3.33 | 1.19 | 2d | |
| St. dev. | 0.802 | 1.812 | 2.752 | 2.200 | 1.574 | - | - | - | - | ||
| Avg. | 1.00 | 7.72 | 11.26 | 14.66 | 13.57 | 11.57 | 8.02 | 11.12 | 1.39 | 8e | |
| St. dev. | 0.639 | 1.712 | 1.143 | 1.292 | 1.381 | - | - | - | - | ||
| 5D | Avg. | 0.37 | 6.78 | 4.48 | 6.56 | 7.49 | 7.31 | 2.25 | 3.71 | 1.65 | 2e |
| St. dev. | 0.694 | 1.182 | 1.799 | 1.997 | 1.617 | - | - | - | - | ||
| Avg. | 0.60 | 6.85 | 5.62 | 8.73 | 9.74 | 9.61 | 3.57 | 6.16 | 1.73 | 3e | |
| St. dev. | 0.603 | 1.084 | 1.628 | 1.892 | 1.732 | - | - | - | - | ||
| Avg. | 1.00 | 7.44 | 10.41 | 12.97 | 12.03 | 11.07 | 8.23 | 9.87 | 1.20 | 8d | |
| St. dev. | 1.150 | 1.155 | 1.740 | 1.145 | 1.433 | - | - | - | - |
© 2019 by the authors. Licensee MDPI, Basel, Switzerland. This article is an open access article distributed under the terms and conditions of the Creative Commons Attribution (CC BY) license (http://creativecommons.org/licenses/by/4.0/).
Share and Cite
Lee, S.-J.; Yoo, D.-Y.; Moon, D.-Y. Effects of Hooked-End Steel Fiber Geometry and Volume Fraction on the Flexural Behavior of Concrete Pedestrian Decks. Appl. Sci. 2019, 9, 1241. https://doi.org/10.3390/app9061241
Lee S-J, Yoo D-Y, Moon D-Y. Effects of Hooked-End Steel Fiber Geometry and Volume Fraction on the Flexural Behavior of Concrete Pedestrian Decks. Applied Sciences. 2019; 9(6):1241. https://doi.org/10.3390/app9061241
Chicago/Turabian StyleLee, Seung-Jung, Doo-Yeol Yoo, and Do-Young Moon. 2019. "Effects of Hooked-End Steel Fiber Geometry and Volume Fraction on the Flexural Behavior of Concrete Pedestrian Decks" Applied Sciences 9, no. 6: 1241. https://doi.org/10.3390/app9061241
APA StyleLee, S.-J., Yoo, D.-Y., & Moon, D.-Y. (2019). Effects of Hooked-End Steel Fiber Geometry and Volume Fraction on the Flexural Behavior of Concrete Pedestrian Decks. Applied Sciences, 9(6), 1241. https://doi.org/10.3390/app9061241
