Silicon Meets Graphene for a New Family of Near-Infrared Schottky Photodetectors
Abstract
1. Introduction
2. Theoretical Background
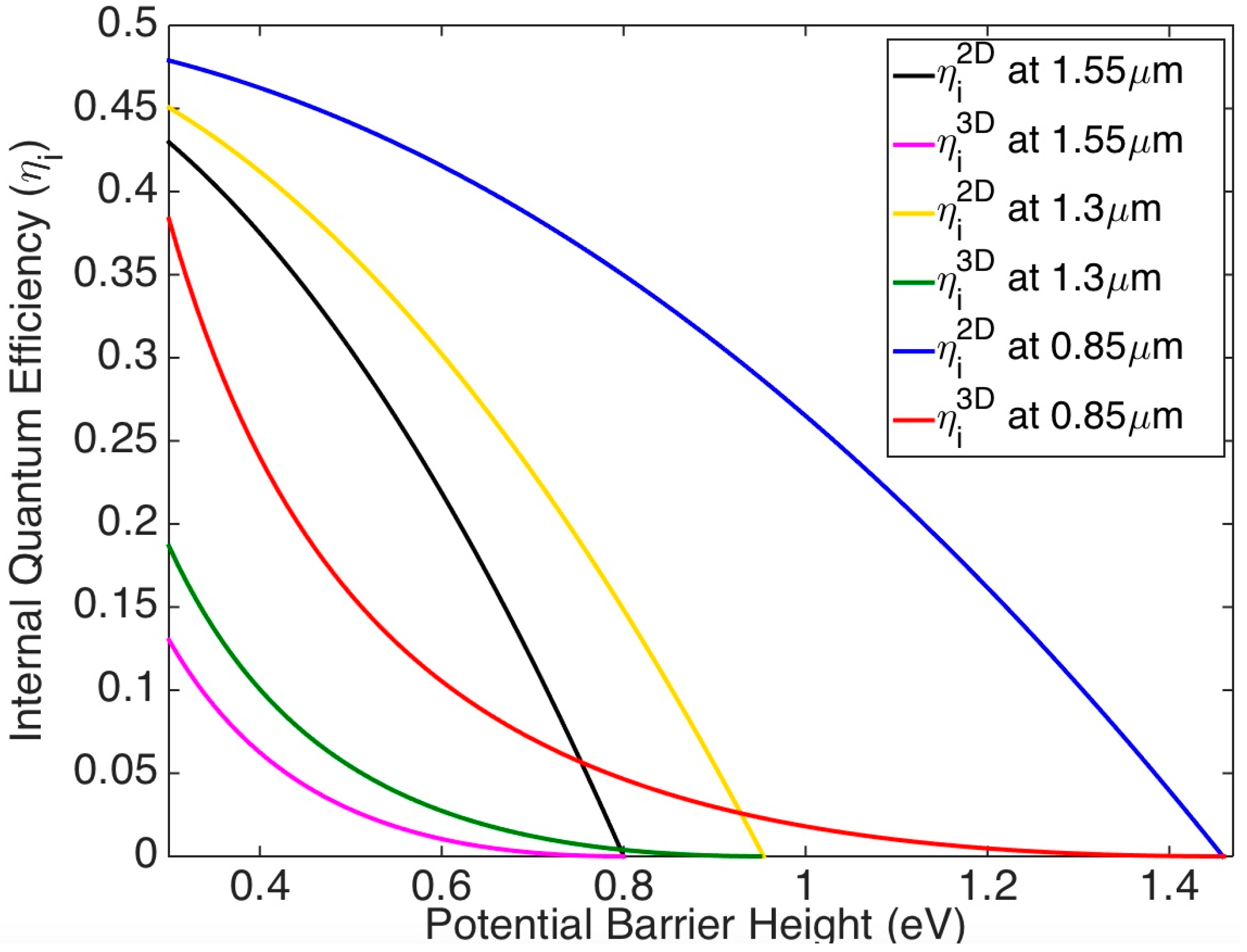
3. IPE-Based Silicon Photodetectors Based on Graphene Schottky Junctions
4. Conclusions
Funding
Conflicts of Interest
References
- Yole Dèvelop. Available online: https://www.i-micronews.com/category-listing/product/silicon-photonics-2018.html (accessed on 28 June 2019).
- Koester, S.J.; Schaub, J.D.; Dehlinger, G.; Chu, J.O. Germanium-on-SOI infrared detectors for integrated photonic applications. IEEE J. Sel. Top. Quantum Electron. 2006, 12, 1489–1502. [Google Scholar] [CrossRef]
- Harame, D.L.; Koester, S.J.; Freeman, G.; Cottrel, P.; Rim, K.; Dehlinger, G.; Ahlgren, D.; Dunn, J.S.; Greenberg, D.; Joseph, A.; et al. The revolution in SiGe: Impact on device electronics. Appl. Surf. Sci. 2004, 224, 9–17. [Google Scholar] [CrossRef]
- Wang, J.; Lee, S. Ge-Photodetectors for Si-Based Optoelectronic Integration. Sensors 2011, 11, 696–718. [Google Scholar] [CrossRef]
- Casalino, M. Internal photoemission theory: Comments and theoretical limitations on the performance of near-infrared silicon schottky photodetectors. IEEE J. Quantum Electron. 2016, 52, 1–10. [Google Scholar] [CrossRef]
- Scales, C.; Berini, P. Thin-Film Schottky Barrier Photodetector Models. IEEE J. Quantum Electron. 2010, 46, 633–643. [Google Scholar] [CrossRef]
- Elabd, H.; Villani, T.; Kosonocky, W.F. Palladium-Silicide Schottky-Barrier IR-CCD for SWIR Applications at Intermediate Temperatures. IEEE ED Lett. 1982, 3, 89. [Google Scholar] [CrossRef]
- Elabd, H.; Villani, T.S.; Tower, J.R. High density Schottky-barrier IRCCD sensors for SWIR applications at intermediated temperature. In Proceedings of the SPIE’s Technical Symposium East, Arlington, VA, USA, 3–7 May 1982. [Google Scholar]
- Kosonocky, W.F.; Elabd, H.; Erhardt, H.G.; Shallcross, F.V.; Villani, T.; Meray, G.; Cantella, M.J.; Klein, J.; Roberts, N. 64 × 128-Elements High-Performance PtSi IR-CCD Image Sensor. In Proceedings of the 1981 International Electron Devices Meeting, Washington, DC, USA, 7–9 December 1981. [Google Scholar]
- Kosonocky, W.F.; Elabd, H.; Erhardt, H.G.; Shallcross, F.V.; Meray, G.M.; Villani, T.S.; Groppe, J.V.; Miller, R.; Frantz, V.L.; Cantella, M.J.; et al. Design and performance of 64 × 128-element PtSi Schottky-barrier IR-CCD focal plane array. In Proceedings of the SPIE’s Technical Symposium East, Arlington, VA, USA, 3–7 May 1982. [Google Scholar]
- Wang, W.-L.; Winzenread, R.; Nguyen, B.; Murrin, J.J. High fill factor 512 x 512 PtSi focal plane array. In Proceedings of the SPIE’s 33rd Annual Technical Symposium, San Diego, CA, USA, 22 December 1989. [Google Scholar]
- Casalino, M.; Sirleto, L.; Moretti, L.; Della Corte, F.; Rendina, I. Design of a silicon resonant cavity enhanced photodetector based on the internal photoemission effect at 1.55 µm. J. Opt. A Pure Appl. Opt. 2006, 8, 909–913. [Google Scholar] [CrossRef]
- Casalino, M.; Sirleto, L.; Moretti, L.; Gioffrè, M.; Coppola, G.; Rendina, I. Silicon resonant cavity enhanced photodetector based on the internal photoemission effect at 1.55 micron: Fabrication and characterization. Appl. Phys. Lett. 2008, 92, 251104. [Google Scholar] [CrossRef]
- Zhu, S.; Chu, H.S.; Lo, G.Q.; Bai, P.; Kwong, D.L. Waveguide-integrated near-infrared detector with self-assembled metal silicide nanoparticles embedded in a silicon p-n junction. Appl. Phys. Lett. 2012, 100, 61109. [Google Scholar] [CrossRef]
- Berini, P.; Olivieri, A.; Chen, C. Thin Au surface plasmon waveguide Schottky detectors on p-Si. Nanotechnology 2012, 23, 444011. [Google Scholar] [CrossRef]
- Akbari, A.; Tait, R.N.; Berini, P. Surface plasmon waveguide Schottky detector. Opt. Express 2010, 18, 8505–8514. [Google Scholar] [CrossRef] [PubMed]
- Sobhani, A.; Knight, M.W.; Wang, Y.; Zheng, B.; King, N.S.; Brown, L.V.; Fang, Z.; Nordlander, P.; Halas, N.J. Narrowband photodetection in the near-infrared with a plasmon-induced hot electron device. Nat. Commun. 2013, 4, 1643. [Google Scholar] [CrossRef] [PubMed]
- Knight, M.W.; Sobhani, H.; Nordlander, P.; Halas, N.J. Photodetection with active optical antennas. Science 2011, 332, 702–704. [Google Scholar] [CrossRef]
- Desiatov, B.; Goykhman, I.; Mazurski, N.; Shappir, J.; Khurgin, J.B.; Levy, U. Plasmonic enhanced silicon pyramids for internal photoemission Schottky detectors in the near-infrared regime. Optica 2015, 2, 335–338. [Google Scholar] [CrossRef]
- Elabd, H.; Kosonocky, W.F. Theory and measurements of photoresponse of thin film Pd2Si and PtSi Schottky-barrier detectors with optical cavity. RCA Rev. 1982, 43, 569. [Google Scholar]
- Vickers, V.E. Model of Schottky barrier hot-electron-mode photodetection. Appl. Opt. 1971, 10, 2190. [Google Scholar] [CrossRef] [PubMed]
- Wang, X.; Gan, X. Graphene integrated photodetectors and opto-electronic devices—A review. Chin. Phys. B 2017, 26, 34201. [Google Scholar] [CrossRef]
- Koppens, F.H.L.; Mueller, T.; Avouris, P.; Ferrari, A.C.; Vitiello, M.S.; Polini, M. Photodetectors based on graphene, other two-dimensional materials and hybrid systems. Nat. Nanotechnol. 2014, 9, 780–793. [Google Scholar] [CrossRef]
- Lee, E.J.; Balasubramanian, K.; Weitz, R.T.; Burghard, M.; Kern, K. Contact and edge effects in graphene devices. Nat. Nanotechnol. 2008, 3, 486–490. [Google Scholar] [CrossRef]
- Fowler, R.H. The analysis of photoelectric sensitivity curves for clean metals at various temperatures. Phys. Rev. 1931, 38, 45–56. [Google Scholar] [CrossRef]
- Cohen, J.; Vilms, J.; Archer, R.J. Investigation of Semiconductor Schottky Barriers for Optical Detection and Cathodic Emission; Report No. 68-0651; Air Force Cambridge Research Labs: Force Base, OH, USA, 1968; p. 133. [Google Scholar]
- Amirmazlaghani, M.; Raissi, F.; Habibpour, O.; Vukusic, J.; Stake, J. Graphene-Si Schottky IR detector. IEEE J. Quant. Elect. 2013, 49, 2589. [Google Scholar] [CrossRef]
- Casalino, M.; Russo, R.; Russo, C.; Ciajolo, A.; Di Gennaro, E.; Iodice, M. Free-Space Schottky Graphene/Silicon Photodetectors operating at 2 μm. ACS Photonics 2018, 5, 4577–4585. [Google Scholar] [CrossRef]
- Goncalves, P.A.D.; Peres, N.M.R. Electromagnetic properties of solids in a nutshell. In An Introduction to Graphene Plasmonics; World Scientific: Singapore, 2016; pp. 17–24. ISBN 978-981-4749-97-8. [Google Scholar]
- Van Tuan, D. Electronic and Transport Properties of Graphene. In Charge and Spin Transport in Disordered Graphene-Based Materials; Springer: Cham, Switzerland, 2016; p. 10. [Google Scholar]
- Novoselov, K.S.; Fal’ko, V.I.; Colombo, L.; Gellert, P.R.; Schwab, M.G.; Kim, K. A roadmap for graphene. Nature 2012, 490, 192–200. [Google Scholar] [CrossRef] [PubMed]
- Dawlaty, J.; Shivaraman, S.; Strait, J.; George, P.; Chandrashekhar, M.; Rana, F.; Spencer, M.G.; Veksler, D.; Chen, Y. Measurement of the optical absorption spectra of epitaxial graphene from terahertz to visible. Appl. Phys. Lett. 2008, 93, 131905. [Google Scholar] [CrossRef]
- Sensale-Rodriguez, B.; Yan, R.; Kelly, M.M.; Fang, T.; Tahy, K.; Hwang, W.S.; Jena, D.; Liu, L.; Xing, H.G. Efficient terahertz electro-absorption modulation employing graphene plasmonic structures. Appl. Phys. Lett. 2012, 101, 261115. [Google Scholar] [CrossRef]
- Chen, C.-C.; Aykol, M.; Chang, C.-C.; Levi, A.F.J.; Cronin, S.B. Graphene-silicon Schottky diodes. Nano Lett. 2011, 11, 1863–1867. [Google Scholar] [CrossRef] [PubMed]
- Levy, U.; Grajower, M.; Goncalves, P.A.D.; Mortensen, N.A.; Khurgin, J.B. Plasmonic silicon Schottky photodetectors: The physics behind graphene enhanced internal photoemission. APL Photonics 2017, 2, 26103. [Google Scholar] [CrossRef]
- Goykhman, I.; Sassi, U.; Desiatov, B.; Mazurski, N.; Milana, S.; De Fazio, D.; Eiden, A.; Khurgin, J.; Shappir, J.; Levy, U.; et al. On-Chip Integrated, Silicon–Graphene Plasmonic Schottky Photodetector with High Responsivity and Avalanche Photogain. Nano Lett. 2016, 16, 3005–3013. [Google Scholar] [CrossRef]
- Padovani, F.A.; Stratton, R. Field and thermionic-field emission in Schottky barriers. Solid State Electron. 1966, 9, 695–707. [Google Scholar] [CrossRef]
- Casalino, M.; Sassi, U.; Goykhman, I.; Eiden, A.; Lidorikis, E.; Milana, S.; De Fazio, D.; Tomarchio, F.; Iodice, M.; Coppola, G.; et al. Vertically Illuminated, Resonant Cavity Enhanced, Graphene-Silicon Schottky Photodetectors. ACS Nano 2017, 11, 10955–10963. [Google Scholar] [CrossRef]
- Casalino, M. Design of Resonant Cavity-Enhanced Schottky Graphene/Silicon Photodetectors at 1550 nm. J. Ligthwave Technol. 2018, 36, 1766–1774. [Google Scholar] [CrossRef]








| Ref. | Responsivity | Dark Current | Bandwidth | SBH (eV) | Type | Conf. |
|---|---|---|---|---|---|---|
| [27] | 9.9 mA/W at 1550 nm and −16 V | ~2.4 μA at −16 V | - | 0.44–0.46 | Exfol | Free-space |
| [36] | 370 mA/W at 1550 nm and −3 V | ~3 μA at −3 V | - | 0.34 | CVD | Waveguide |
| [38] | 20 mA/W at 1550 nm and −10 V | ~147 at μA at −10 V | 120 MHz (Estimated) | 0.46 | CVD | Free-space |
| [39] * | 0.43 A/W at 1550 nm and 0 V | 561 nA if graphene radius (gr) <15 μm | GHz regime (gr <15 μm) | 0.45 | - | Free-space |
| [28] | 0.16 mA/W at 2000 nm and 0 V | ~3 μA at −6 V | KHz regime (Estimated) | 0.62 | CVD | Free-space |
© 2019 by the author. Licensee MDPI, Basel, Switzerland. This article is an open access article distributed under the terms and conditions of the Creative Commons Attribution (CC BY) license (http://creativecommons.org/licenses/by/4.0/).
Share and Cite
Casalino, M. Silicon Meets Graphene for a New Family of Near-Infrared Schottky Photodetectors. Appl. Sci. 2019, 9, 3677. https://doi.org/10.3390/app9183677
Casalino M. Silicon Meets Graphene for a New Family of Near-Infrared Schottky Photodetectors. Applied Sciences. 2019; 9(18):3677. https://doi.org/10.3390/app9183677
Chicago/Turabian StyleCasalino, Maurizio. 2019. "Silicon Meets Graphene for a New Family of Near-Infrared Schottky Photodetectors" Applied Sciences 9, no. 18: 3677. https://doi.org/10.3390/app9183677
APA StyleCasalino, M. (2019). Silicon Meets Graphene for a New Family of Near-Infrared Schottky Photodetectors. Applied Sciences, 9(18), 3677. https://doi.org/10.3390/app9183677
