Next Article in Journal
Comparison of Modified Lund–Kennedy Endoscopic Score and Nasal Polyp Score in the Follow-Up of Patients with Severe Uncontrolled CRSwNP During Biological Therapy
Previous Article in Journal
An Improved Genetic Algorithm for Solving the Semi-Soft Clustered Vehicle Routing Problem
 
 
Font Type:
Arial Georgia Verdana
Font Size:
Aa Aa Aa
Line Spacing:
Column Width:
Background:
Article

Experimental and Numerical Study of the Jib Connection Frame of a Wheeled Crane

Institute of Mechanical and Aerospace Engineering, Jilin University, Changchun 130022, China
*
Author to whom correspondence should be addressed.
Appl. Sci. 2025, 15(9), 4872; https://doi.org/10.3390/app15094872
Submission received: 27 March 2025 / Revised: 22 April 2025 / Accepted: 24 April 2025 / Published: 27 April 2025

Abstract

This study focuses on structural damage to the connecting frame of a wheeled crane lifting arm, with the connecting frame between the main boom and the fixed jib of a crane as the research object. Research was systematically conducted on the stress feature extraction and failure mechanism under the loading condition. First, the beam and solid finite element model of the connecting frame were constructed, and the ultimate load-carrying capacity and failure mode of the structure were determined using the finite element method, according to which the strain gauge array test program was designed. Subsequently, two sets of composite load failure tests were carried out on the connecting frame specimens, and the strain response history of the key nodes was recorded. A comparison between the experimental data and the finite element analysis results shows that the two are highly consistent in terms of failure load and damage location, revealing the mechanical characteristics of the transverse connection interface as a new type of failure-sensitive region. Moreover, in this study, we constructed a theoretical calculation model of the structure, which provides a reliable engineering application method for the lightweight design of crane connecting frames and for checking the strength of similar short-lifting-arm structures.

1. Introduction

The continuous development of society has led to an increased reliance on cranes in a variety of contexts. From the construction industry to the petrochemical sector, cranes have become indispensable construction machines. Among the numerous types of cranes, wheeled cranes are particularly flexible, high-speed, and can be transferred quickly, making them well suited to workplaces with large mobility and instability. The boom is the primary bearing component of a crane, and its bearing capacity directly determines the crane’s lifting performance. The truss boom is a lattice structure with a low self-weight and a high bearing capacity. However, because the boom is generally used at certain heights, as shown in Figure 1, safety is an issue of paramount importance. Ensuring the overall stability and local stability of the truss boom has become a key research issue. The connecting frame, which connects the jib and the main boom, transfers the force of the jib to the main boom. The connecting frame serves as a transitional element, and thus the stability of this component is crucial.
The main arm and the jib are connected through the connecting joint, which is subjected to tensile and compressive loads simultaneously during operation, and as a load transfer hub, the instability problem caused by local damage will be particularly serious. Existing research on the overall stability of the lifting arm is relatively extensive, but there is a lack of in-depth research on the mechanical behavior of the connecting frame, which is a key transition component. To avoid the risk of local damage, it is necessary to study the connecting frame, which also provides a new entry point for studying the stability of similar short-arm structures.
Currently, the research methods for stability problems are mainly divided into two categories: computational analysis and experimental verification. The computational methods can be further subdivided into canonical [1,2,3,4,5], theoretical analysis [6,7,8,9], and finite element analysis methods [10,11,12,13]. Among them, the canonical method is widely used, but there are some limitations when dealing with complex and variable structural forms; the theoretical analysis method is still at the stage of continuous exploration, for example, the accurate finite element method proposed by Prof. Lu Nianli of Harbin Institute of Technology based on second-order theory [14,15]. Although this method has been used to analyze the typical structure of cranes and other typical structures effectively, the relevant theoretical model often relies on idealized assumptions, and it is difficult to fully reflect nonlinear behavior in actual engineering. In contrast, finite element analysis is currently the most commonly used method due to its ability to accurately simulate complex geometry and material properties. However, the computational efficiency of this method needs to be improved when dealing with large-scale complex structures. Li et al. [16] derived theoretical formulations and carried out Ansys analysis for three-dimensional structures. Poulsen et al. [17] dealt with the overall stability in truss optimization by introducing semidefinite constraints and analyzed the local stability by combining with Eulerian critical buckling loads. Weldeyesus et al. [18] converted the truss layout optimization problem with overall stability constraints into a linear semidefinite programming problem. Liu et al. [19] optimized the structural parameters of crane outriggers using the finite element method. However, most of the existing studies focus on independent components, such as outriggers and main booms, and there are still deficiencies in the cooperative force analysis of such subassemblies as connecting frames.
Since the theoretical analysis methods are still at the continuous exploration stage, some theoretical models provide insufficient accuracy when dealing with nonlinear factors and complex boundary conditions in actual structures. The accuracy of finite element analysis is highly dependent on the reasonableness of modeling, such as the selection of cell types, mesh density, and other factors, which may have a significant impact on the results, and some of the studies may have been ill considered in terms of the model-building process. Therefore, experiments are of great significance to the study of structural stability and form the basis and benchmark for evaluating the accuracy and reliability of various computational methods. To verify the accuracy of each method, many researchers have adopted the approach of mutual verification between calculation and experiment, and have achieved good results [20,21,22,23,24]. For example, Zhao et al. studied the swing leg of a pump truck and verified the feasibility of finite element analysis through linear elastic bifurcation analysis and nonlinear finite element analysis combined with experiments [25]. However, some of the experimental studies are limited by the experimental conditions, and there are certain errors, or the simulation of some extreme working conditions may also be insufficient. For the failure mechanism of connecting frames under composite loads, relevant experimental studies are still relatively scarce, and systematic experimental data support is urgently needed.
In this study, based on a stability analysis of the core structural components of the crane, focusing on the less involved connection frame of the key transition components, in the model construction, we fully consider the complex force characteristics and geometric features of the connection frame, for a more accurate simulation of the actual working conditions, through the comparison of finite element calculations and experimental results, to verify the correctness of the analytical method, and ascertain the reasons for the failure to propose a calculation method to provide a direction for the theoretical analysis of similar structures. At the same time, a structural improvement program is proposed to provide ideas for solving practical problems, ensure that the connected frame structure meets the engineering requirements, and further promote research progress in this field.

2. Finite Element Analysis

2.1. Finite Element Model

This research was modeled using the finite element analysis software Ansys 2022. Since the main part of the structure in this study is a hollow steel tube, a beam model and a solid model of the connection frame are each created as shown in Figure 2. The beam model is simulated using the BEAM188 element and the solid model is simulated using the SOLID185 element. The narrow end of the connector frame is fixed, and the X, Y, Z directions, which limit the translational degrees of freedom, are constrained. The rotational degrees of freedom around the X axis are also constrained. For ease of differentiation, we numbered the chords 1–4 as shown in Figure 2a.
The connecting frame material is S890 steel, which is a type of high-strength low-alloy structural steel that belongs to steel products that comply with European standards. The production of S890 steel generally follows relevant standards such as the European standard EN 10149-2 [26]. This material has a yield strength of 890 MPa, with a tensile strength of 940–1100 MPa. The material used in the model is defined as a bilinear isotropic hardening elastic–plastic material. The tangent modulus after yielding is 0.001 of E, as shown in Figure 3 and Table 1 [27].

2.2. Finite Element Analysis

The beam model comprises BEAM188, consisting of 3035 elements, with a total mass of 680.3 kg. The solid model comprises SOLID185, consisting of 157,287 elements, with a total mass of 681.7 kg. The discrepancy in mass between the two models is 0.2%. In the actual force, the lifting weight is transferred to the jib through the pulley block at the top of the jib. The force is transmitted along the jib structure to the connecting joint. The axial load ratios transferred to the four chords of the connecting section in the actual lifting of the weight are −0.55, −1, 0.29, and 0.78. The narrow end is a fixed constraint, and loads of −0.55, −1, 0.29, and 0.78 are applied at chord 1, chord 2, chord 3, and chord 4, respectively, at the stressed end. Additionally, certain lateral loads are applied to chord 1 and chord 4. The boundary conditions and forces are shown in Figure 4. Where chord 1 exerts a pressure of 431.8 kN and a lateral force of 39.3 kN, chord 2 exerts a pressure of 785 kN, chord 3 exerts a tension of 612.3, and chord 4 exerts a tension of 227.7 kN and a lateral force of 39.3 kN. The results of the static analysis of the model, which demonstrate the displacement changes obtained, are presented in Figure 5. It can be observed that the maximum displacement obtained with the beam model is 16.15 mm, and the maximum displacement obtained with the solid model is 15.96 mm. Notably, the maximum displacement occurs at the same location, with an error of approximately 1.2%.
A buckling analysis was conducted on the model, and the results are presented in Figure 6. The ultimate load error is 3.98%. According to the analysis results, it can be observed that chord 1 and the transverse connection may be unstable in the plane of amplitude variation, with chord 2 identified as the primary destabilizing member. Accordingly, chord 2 should be the primary focus of the new structural design experimental program for this project. This will facilitate an analysis of the strain gauge arrangement location and extraction of the stress at this arrangement. The results of the comparison demonstrate that the beam model is an effective substitute for the solid model.

3. Experiment

Prior to the experiment, the axial compression stability coefficient of the S890 high-strength steel tube was evaluated, and a group of chords with varying lengths was tested. The specifications of the chords were ϕ82.5 × 5, that is, an outer diameter of 82.5 mm and a wall thickness of 5 mm, as illustrated in Figure 7. To ascertain the true yield strength of the S890 material, the mechanical properties of standard specimens were tested. The tensile specimen of this test was executed in accordance with the sampling location and sample preparation for the mechanical properties test of steel and steel products (GB/T 2975-1998) [28]. The specimen size and test process were carried out in accordance with the standardized method for the tensile testing of metallic materials at room temperature (GB/T 228-2002) [29]. A total of six specimens were extracted from the S890 steel tube (Figure 8), and the mechanical properties of these specimens were obtained through mechanical testing, as illustrated in Table 2.
The higher stability coefficient of steel represents its stronger ability to resist external forces, and it can withstand greater external forces both in the manufacturing process and in the use process. Stability coefficient refers to the ratio of the bearing capacity of the long column to that of the short column under the same conditions, which reflects the degree of reduction in the bearing capacity of the long column, where the length-to-finish ratio is the most important influencing factor affecting the stability coefficient. Therefore, in this study, experiments were conducted on different lengths of the same specification of the steel pipe, and the length–load results of the calculated destructive load and the experimental destructive load are as shown in Figure 9.
The stability factor of axial compression members is an important parameter used to assess the stability performance of axial compression members. The axial pressure stability coefficient in the crane design specification [3] is based on Q235 material, and the stability coefficients of different materials are obtained by conversion using the length-to-slenderness ratio lookup table. The stability coefficient of the S890 steel pipe calculated using the test destructive load is compared with the specification curve, as shown in Figure 10. It can be seen that the magnitude of the difference between the test value and the normative value decreases with the increase in the canonical length-to-slenderness ratio.
To ensure the accuracy of the experimental data, two groups of connecting frame specimens were tested; both sets of specimens were installed as shown in Figure 11. In the context of actual working conditions, the connecting frame is subjected to both axial and lateral loads. To apply a lateral load along the y-axis during the experiment, the test piece was rotated 90° clockwise and installed. We connected the axial actuator to the tooling wall, the connecting frame to the tooling wall, and the lateral actuator to the tooling wall. The connection of both sets of specimens to the tooling wall is shown schematically in Figure 12.
The test was conducted by applying axial and lateral loads simultaneously. Firstly, 10% of the ultimate load was applied as the initial stage under simultaneous axial and lateral loads. Subsequently, the load was unloaded, repeated three times, and then continued to be loaded at 10% of the ultimate load up to 80% of the ultimate load. Finally, the load was increased to the ultimate load at a rate of 5% of the first stage until failure. A 120 s interval was observed between each loading stage to permit the completion of the strain data recording.

3.1. Measuring Points

We ensured that the load applied to the specimen was the same as the force applied in the finite element calculation. The proportions of the loads received by each chord were obtained based on the forces transmitted from the boom to the connecting joints of the truck crane, and the force ratios of chords 1–4 were −0.55, −1, 0.29, and 0.78, respectively. The results of the finite element analysis indicated that chord 2 was the weakest part; thus, the strain gauges were placed mainly on chord 2, with four strain gauges uniformly placed in a circle around the chord. Four strain gauges were positioned in a uniform manner around the chords, with labels corresponding to the numbers 2–1 to 2–7. A limited number of placement locations were allocated on chords 1, 3, and 4. As illustrated in Figure 13, the designated placement positions are numbered 1–1 to 4–1, with the number indicating the chord designation and order.

3.2. Test Results

All the strain gauge data were collected by averaging the results of four strain gauges under one number and recording the results step by step according to the loading scheme; the results of the two sets of specimens, 1 and 2, are shown in Figure 14a,b, respectively. The figure shows the strain curves of patches 1–1 to 4–1 measured under the same stress conditions for both sets of connected frames. Upon careful analysis, it can be observed that the points corresponding to the most significant peaks and troughs are located approximately at 2–4 and 4–1. Since the main focus of this study is to investigate the buckling behavior of bars, it should be clarified that tensile forces are outside the scope of this study. These findings strongly suggest that the 2–4 location is the weakest part of the structure. It is important to note that strain gauges 1–2 and 2–6 in the first set of specimens were damaged during the course of the experiments, resulting in no data being recorded at all for these particular strain gauges. While this lack of data is unfortunate, it does not diminish the overall validity of the key observations made in this study regarding the critical points of strain change.
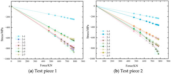
Based on the outcomes of prior calculations, chord 2 was identified as a critical weak beam within the frame structure. To comprehensively understand its mechanical behavior, the pertinent data of chord 2 were meticulously extracted and subjected to a thorough analytical process. Figure 15 distinctly illustrates the stress–load relationship curves at measurement points 2–1 to 2–7 on chord 2 of the two sets of connected frames. When a load of 549.5 kN was applied to the first specimen, a discernible inflection point emerged on the stress–load curve, marking the onset of changes in the structural mechanical properties. Correspondingly, upon applying a load exceeding 550 kN to the second specimen, the curve underwent a pronounced abrupt transition, indicative of a crucial shift in its mechanical response. Notably, the results of the two sets of tests exhibit an exceptional level of congruence, with the trends of the curves aligning closely at key inflection points. This remarkable consistency not only attests to the reliability and repeatability of the experimental findings, thereby offering an invaluable reference for future research, but also validates the accuracy and efficacy of the finite element calculation results obtained in this study.
However, the experimental results show that in addition to the area we focused on, the transverse node (shown in Figure 16), located on the side of the fixed end, between chord 1 and chord 2, was also slightly deformed in a concave and convex manner. This unexpected phenomenon, albeit of small deformation magnitude, suggests the existence of additional stress distribution patterns that deserve focused attention, which may affect the overall structural integrity and load-carrying performance of the frame.

3.3. A Comparative Analysis of the Results of Finite Element Analysis and the Test Results

To fully analyze the structural performance, it is important to extract the stress values corresponding to each test point. Since the beam model lacks the physical geometry of the actual structure, it is not possible to obtain the real stress data directly. To solve this problem, we first extracted the maximum and minimum values of the surface stresses, and then calculated the average value of the two to characterize the stresses at the corresponding locations of the beam model. During the experiment, some of the strain gauges in specimen 1 were damaged, resulting in missing data. Therefore, we selected the results of specimen 2 for comparison. Figure 17 shows in detail the experimental data and calculation results for specimen 2, as well as the stress values extracted from the beam model and the solid model. The analysis shows that the results of the different methods are essentially the same for most of the test points, but there is a significant difference at locations 2–4, whose error is the most prominent among all the test points. Further study confirmed that this location is the critical failure point of the structure. It is worth noting that the finite element results are relatively conservative.
After calculation, it was found that when the load was applied up to 99%, the member had problems at 2–4; excluding this error solution, the maximum errors of the beam model analysis, solid model analysis, and test results were about 6.9% and 5.2%, respectively. Although the finite element analysis and test data meet the engineering requirements in terms of error, there are still non-negligible uncertainties. The material properties, boundary conditions, and other parameters in the finite element model are usually based on idealized assumptions, which are somewhat different from the actual material properties and structural boundary constraints; on the other hand, the accuracy of the measuring instruments and the differences in the specimen fabrication process during the test process can lead to errors in the test results. In addition, the beam model has inherent limitations in describing the complex stress state due to the simplified three-dimensional characteristics of the structure; on the other hand, the solid model, although closer to the actual structure, faces constraints in terms of computational resources and efficiency in terms of mesh delineation and computational scale. Overall, finite element analysis can effectively simulate the actual structure to a certain extent, and the accuracy of solid model analysis is better than that of beam model analysis. For this structure, although both types of analysis can meet the requirements of engineering applications, in practical applications, it is necessary to fully consider the above uncertainty factors and combine finite element simulation with experimental research to achieve a more accurate assessment of the structural performance.

4. Calculation Method

The preceding analysis revealed that in addition to chord 2, the transverse connection of the slewing plane is also susceptible to instability in this design scheme. This study proposes a structural treatment for the structure that is analogous to that described in Figure 18, which is simplified into the form shown in Figure 19. The direct connection is reduced to a hinged connection at both extremities, while the intermediate diagonal connection is transformed into an elastic support. Figure 20 illustrates the local deformation. The modulus of elasticity of the chord is designated as E, while the moment of inertia is represented by I. The chord is then supported in a straightforward manner.
The chord may be simplified as a compression rod with an elastic support in the middle. If the chord exhibits a buckling behavior under pressure, the reaction force Q , generated by the support at hinge point C, will be proportional to the deflection δ , thereby representing the spring constant.
Q = α δ
To obtain the reaction forces, both spans are considered to be simply supported beams.
Q = P δ l 1 + P δ l 2 + M 1 l 1 + M 2 l 2
We define k 2 = P E I , which is substituted into Equation (2), yielding:
Q = k 2 E I δ l 1 + k 2 E I δ l 2 + M 1 l 1 + M 2 l 2
According to Timoshenko [30], the deflection curve of two force couples acting on both ends of the rod is:
y = M 2 P sin k x sin k l x l + M 1 P sin k l x sin k l l x l
The deflection curve equation for a transverse load Q is
y = Q sin k l 2 P k sin k l sin k x Q l 2 P l x , 0 x l 1 Q sin k l 1 P k sin k l sin k l x Q l 1 P l l x , l 1 x l
The deflection equation of the simplified model presented in this article can be obtained by employing Formulas (4) and (5), as illustrated in Formula (6):
y = M 2 P sin k x sin k l x l + M 1 P sin k l x sin k l l x l Q sin k l 2 P k sin k l sin k x + Q l 2 P l x
At the elastic support y x = l 1 = δ
M 2 P sin k l 1 sin k l l 1 l + M 1 P sin k l l 1 sin k l l l 1 l Q sin k l 2 P k sin k l sin k l 1 + Q l 2 P l l 1 = Q α
To proceed, it is necessary to substitute the spring constant α = 48 E I l 3 .
The force point C in this article is the midpoint of the chord, and the special case l 1 = l 2 = l 2 is substituted into Formulas (3) and (7):
M 1 + M 2 + k 2 l 3 24 l 2 Q = 0 sin k l / 2 sin k l 1 2 M 1 + M 2 k 2 E I sin 2 k l / 2 k 3 sin k l l 4 k 2 + l 3 48 Q E I = 0
For the two simultaneous formulations in Equation (8) to hold true, it is necessary that their determinant is equal to zero.
1 k 2 l 3 24 l 2 sin k l / 2 sin k l 1 2 / k 2 E I sin 2 k l / 2 k 3 sin k l l 4 k 2 + l 3 48 / E I = 0
The stable equation is obtained as:
sin 2 k l / 2 k 3 sin k l l 4 k 2 + l 3 48 / E I k 2 l 3 24 l 2 sin k l / 2 sin k l 1 2 / k 2 E I = 0
Introducing symbolm u = k l , it can be determined that:
sin 2 u / 2 u sin u 1 4 + u 2 48 u 2 24 1 2 sin u / 2 sin u 1 2 = 0

5. Improvement Program

In accordance with Section 2.2, the beam model can serve as an effective substitute for both the solid model and the solids. Consequently, the improvement scheme presented in this section is modeled as a beam unit, allowing for a streamlined and impactful improvement process without compromising the integrity of the results.

5.1. Improvement Program 1

The deformation of the structure under examination can be modified by means of strengthening the transverse joint, which may be achieved by increasing the thickness of the joint. This improvement demonstrates that the ultimate load has been augmented, as shown in Figure 21; however, the effect is not substantial, amounting to a mere 2%. Nevertheless, the mass has increased by 22.5 kg. The weight increase will directly affect the mobility of the crane, requiring a larger drive train to achieve the same degree of movement, which may limit the operating range when the impact is too great. Furthermore, strengthening the boom will directly lead to an increase in the consumption of materials, which will increase the cost; therefore, taking into account the rate of performance improvement and the rate of cost consumption, this type of optimization is not considered.

5.2. Improvement Program 2

To modify the stress concentration at the transverse connection, it is recommended to alter the strategy of the diagonal web arrangement in the variable amplitude plane. This can be achieved by arranging the diagonal webs in the form of two X-shaped connections, as illustrated in Figure 22. The results of the finite element analysis indicate that the ultimate load is increased by 13%, and that the transverse connection is no longer a weak region.
As illustrated in Figure 23, the diagonal web can be configured as a W-shaped connection. The findings of the finite element analysis indicate that the ultimate load has increased by 4.6%, thereby demonstrating that the transverse connection is no longer a potential weak area.
As illustrated in Figure 24, the diagonal web can be configured as a Z-shaped connection. The findings of the finite element analysis indicate that the ultimate load has increased by 2%, thereby demonstrating that the transverse connection is no longer a potential weak area.
Of the above arrangements, the double-X arrangement has the most significant effect on increasing the ultimate load. However, it is also likely to result in the greatest weight increase for any of these options. However, according to the analyses, the mass increment of all three improvement modes is within the acceptable range, and taking into account the cost-effectiveness and the work tasks, the double-X arrangement improvement is chosen as the most effective one.

5.3. Improvement Program 3

To improve the stability of the transverse connection, the lifting plane can also be strengthened, as shown in Figure 25, and a diagonal connection structure can be added to the lifting plane. It can be seen that there is almost no deformation at the damage location and the problem is substantially improved. While this method of strengthening is effective in improving the stability of the lateral connection, it also adds extra weight to the structure due to the addition of a web. Its impact on maneuverability and energy efficiency should not be underestimated. This method of improvement solves this type of problem to an extent, but it is no longer applicable for booms that span more in this direction.

6. Conclusions

This article presents a study of the stress and deformation to the jib joint frame of a wheeled crane, employing a combination of numerical simulation and experimentation. Furthermore, a methodology for calculating similar structures is proposed.
(1)
A comparison of the numerical simulation with the test results and the calculation results reveals that the test results are largely consistent with the analysis results, thereby verifying the feasibility of the analysis method and allowing us to conclude that the damage to the connecting frame is a local stability damage.
(2)
A novel calculation method is put forth for the analogous K-type structure.
(3)
Finite element analysis is employed to examine the beam element and solid element models. It is determined that the beam element model is not as accurate as the solid model, yet it also meets the engineering requirements. Furthermore, the beam model and the solid model are consistent in terms of damage form and ultimate load. Therefore, the beam model can be utilized to enhance the efficiency of the improvement program.
(4)
Three improvement schemes are proposed for similar short-arm structures, including strengthening the transverse connection, changing the arrangement of the web in the luffing plane, and changing the arrangement of the web in the lifting plane. It is found that the double-X arrangement scheme can achieve the best results; however, given the increased material consumption that would result from it, the Z arrangement can be chosen as an alternative, which can also achieve good results.
However, this study has some limitations. The current analysis is mainly based on static loading conditions, and the effects of dynamic loading (e.g., vibration and impact loading) on structural damage have not yet been considered. Future research can further explore the response characteristics of the structure under dynamic loading, evaluate the durability of the improved scheme in combination with fatigue testing, and consider expanding the research method to more complex coupled systems to provide a more comprehensive theoretical basis for the safe design and optimization of wheeled cranes.

Author Contributions

Conceptualization, E.Z. and B.G.; methodology, B.G.; software, B.G.; validation, B.G.; formal analysis, B.G.; investigation, E.Z.; resources, K.C.; data curation, B.G.; writing—original draft preparation, B.G.; writing—review and editing, K.C., E.Z. and B.G.; visualization, B.G.; supervision, K.C. and E.Z. All authors have read and agreed to the published version of the manuscript.

Funding

This research received no external funding.

Institutional Review Board Statement

Not applicable.

Informed Consent Statement

Not applicable.

Data Availability Statement

The raw data supporting the conclusions of this article will be made available by the authors on request.

Conflicts of Interest

The authors declare no conflicts of interest.

References

  1. GB 50017-2003; Code for Design of Steel Structures. Beijing Iron & Steel Design Institute: Beijing, China, 2003.
  2. NR NR/L2/RVE/0132 ISSUE 1; Design and Installation of Cranes. Network Rail: London, UK, 1970.
  3. GB/T 3811-2008; Design Rules for Cranes. Beijing Crane and Transport Machinery Research Institute: Beijing, China, 2008.
  4. FEM-1-001; Rules For the Design of Hoisting Appliances. European Handling Federation: Paris, France, 1998.
  5. ISO/TR 19661-2010; Cranes—Safety Code on Mobile Cranes. International Organization for Standardization: London, UK, 2010.
  6. Zhou, Y.L.; Lei, H.; Jia, X.J.; Zhao, E.F. Study on the axial compressive ultimate load-carrying capacity of high strength steel tubes with lattice boom. Vibroeng. Procedia 2022, 41, 148–153. [Google Scholar] [CrossRef]
  7. Auciello, N.M.; Ercolano, A. A general solution for dynamic response of axially loaded non-uniform Timoshenko beams. Int. J. Solids Struct. 2004, 41, 4861–4874. [Google Scholar] [CrossRef]
  8. Paimushin, V.N.; Shalashilin, V.I. The relations of deformation theory in the quadratic approximation and the problems of constructing improved versions of the geometrically non-Linear theory of laminated structures. J. Appl. Math. Mech. 2005, 69, 773–791. [Google Scholar] [CrossRef]
  9. Aouragh, M.D.; M’hamed, S.; Abdelaziz, S. Exponential stability and numerical computation for a nonlinear shear beam system. Acta Mech. 2024, 235, 2029–2040. [Google Scholar] [CrossRef]
  10. Bonjoebee, B.; Dela, C.O. Finite element simulation and analysis of Rc beams with modified stirrups. MATEC Web Conf. 2024, 397, 3002. [Google Scholar] [CrossRef]
  11. Fares, A.M.H.; Bakir, B.B. Parametric study on the flexural behavior of steel fiber reinforced concrete beams utilizing nonlinear finite element analysis. Structures 2024, 65, 106688. [Google Scholar] [CrossRef]
  12. Elsayed, M.E.A.; Crocker, G.F.; Ross, B.E.; Okumus, P.; Kleiss, M.C.; Elhami-Khorasani, N. Finite element modeling of tessellated beams. J. Build. Eng. 2022, 46, 103586. [Google Scholar] [CrossRef]
  13. Guang, Z. Stress and strain analysis and parameter optimization of pipe truss tower connection of super-large tower crane based on fem. Sci. Rep. 2024, 14, 3670. [Google Scholar] [CrossRef]
  14. Shi, M.; Meng, L.X.; Lu, N.L. Geometric nonlinear analysis of tapered beam with inertia moment vary quadratic. J. Harbin Inst. Technol. 2014, 46, 20–25. [Google Scholar]
  15. Du, L.; Lu, N.L.; Lan, P. Analysis of flexibility and stability of crane telescopic boom with elastic restraint and secon-order effect. Adv. Technol. Manuf. Eng. Mater. 2013, 774–776, 109–113. [Google Scholar] [CrossRef]
  16. Li, C.B.; Wang, L.N.; Weng, Y.M.; Qin, P.J.; Li, G.J. Nonlinear analysis of steel structure bent frame column bearing transverse concentrated force at the top in factory buildings. Metals 2020, 10, 1664. [Google Scholar] [CrossRef]
  17. Poulsen, P.N.; John, F.O.; Mads, B. Truss optimization applying finite element limit analysis including global and local stability. Struct. Multidiscip. Optim. 2020, 62, 41–54. [Google Scholar] [CrossRef]
  18. Weldeyesus, A.G.; Gondzio, J.; He, L.; Gilbert, M.; Shepherd, P.; Tyas, A. Adaptive solution of truss layout optimization problems with global stability constraints. Struct. Multidiscip. Optim. 2019, 60, 2093–2111. [Google Scholar] [CrossRef]
  19. Liu, Z.H.; Tian, S.L.; Zeng, Q.L.; Gao, K.D.; Cui, X.L.; Wang, C.L. Optimization design of curved outrigger structure based on buckling analysis and multi-island genetic algorithm. Sci. Prog. 2021, 104, 1–32. [Google Scholar] [CrossRef] [PubMed]
  20. Zhao, Y.Z.; Zhai, X.M.; Sun, L.J. Test and design method for the buckling behaviors of 6082-t6 aluminum alloy columns with box-type and l-type sections under eccentric compression. Thin-Walled Struct. 2016, 100, 62–80. [Google Scholar] [CrossRef]
  21. Yao, J.; Xing, F.; Fu, Y.; Qiu, X.; Zhou, Z.; Hou, J. Failure analysis of torsional buckling of all-terrain crane telescopic boom section. Engin. Fail. Anal. 2017, 73, 72–84. [Google Scholar] [CrossRef]
  22. Hamza, M.; Akhtar, K.; Khan, M.A. Modal and dynamic analysis of damaged steel column-beam frame structure subjected to seismic vibrations using experimental and finite element analysis approach. J. Braz. Soc. Mech. Sci. Eng. 2024, 46, 94. [Google Scholar] [CrossRef]
  23. Huang, Z.; Liu, H.; Zhang, J.; Li, Z.; Ohsaki, M.; Bai, Q. Experimental and numerical study on the effective length of tower cross bracing. Thin-Walled Struct. 2023, 182(Part B), 110296. [Google Scholar] [CrossRef]
  24. Qiu, X.B.; Yi, S.; Yuan, K.W.; Huang, B.S.; Xu, Z. Research on axial compressive behavior with circular steel tubes reinforced by sleeved tube. J. Constr. Steel Res. 2024, 220, 108866. [Google Scholar] [CrossRef]
  25. Zhao, E.; Lu, Y.; Cheng, K.; Zhou, L.; Sun, W.; Meng, G. Buckling failure analysis of swing outrigger used in pump truck. Eng. Fail. Anal. 2019, 105, 555–565. [Google Scholar] [CrossRef]
  26. DIN EN 10149-2; Hot Rolled Flat Products Made of High Yield Strength Steels for Cold Forming—Part 2: Technical Delivery Conditions for Thermomechanically Rolled Steels. German version EN 10149-2:2013::DIN EN 10149-2. 2013-12-01; BSI Standards Publication: London, UK, 2013.
  27. NS-EN 10025-6:2019; Hot Rolled Products of Structural Steels-Part 6: Technical Delivery Conditions for Flat Products of High Yield Strength Structural Steels in the Quenched and Tempered Condition. BSI Standards Publication: London, UK, 2019.
  28. GB/T 2975-1998; Steel and Steel Products—Location and Preparation of Test Pieces for Mechanical Testing. The State Bureau of Quality and Technical Supervision: Beijing, China, 1998.
  29. GB/T 228-2002; Metallic Materials Tensile Testing at Ambient Temperature. General Administration of Quality Supervision, Inspection and Quarantine of the People’s Republic of China: Beijing, China, 2002.
  30. Timoshenko, S.P. Theory of Elastic Stability; McGraw Hill Education: Noida, India, 2012. [Google Scholar]
Figure 1. Crane truss boom structure.
Figure 1. Crane truss boom structure.
Applsci 15 04872 g001
Figure 2. Finite element model.
Figure 2. Finite element model.
Applsci 15 04872 g002
Figure 3. Bilinear elastic–plastic behavior.
Figure 3. Bilinear elastic–plastic behavior.
Applsci 15 04872 g003
Figure 4. Boundary conditions and forces.
Figure 4. Boundary conditions and forces.
Applsci 15 04872 g004
Figure 5. Displacement of model.
Figure 5. Displacement of model.
Applsci 15 04872 g005
Figure 6. Buckling analysis.
Figure 6. Buckling analysis.
Applsci 15 04872 g006
Figure 7. Axial compression test of steel tube.
Figure 7. Axial compression test of steel tube.
Applsci 15 04872 g007
Figure 8. Specimens.
Figure 8. Specimens.
Applsci 15 04872 g008
Figure 9. Comparison of calculated failure load and test failure load.
Figure 9. Comparison of calculated failure load and test failure load.
Applsci 15 04872 g009
Figure 10. Comparison of test coefficients of specimens made of S890 material with the specification.
Figure 10. Comparison of test coefficients of specimens made of S890 material with the specification.
Applsci 15 04872 g010
Figure 11. Specimen of connecting frame.
Figure 11. Specimen of connecting frame.
Applsci 15 04872 g011
Figure 12. Schematic diagram of connections between actuators and tooling wall. (a) Schematic diagram of connection between axial actuator and tooling wall. (b) Schematic diagram of connection between connecting frame and tooling wall. (c) Schematic diagram of connection between lateral actuator and tooling wall.
Figure 12. Schematic diagram of connections between actuators and tooling wall. (a) Schematic diagram of connection between axial actuator and tooling wall. (b) Schematic diagram of connection between connecting frame and tooling wall. (c) Schematic diagram of connection between lateral actuator and tooling wall.
Applsci 15 04872 g012
Figure 13. Patch position.
Figure 13. Patch position.
Applsci 15 04872 g013
Figure 14. Strain curve.
Figure 14. Strain curve.
Applsci 15 04872 g014
Figure 15. Relationship between stress and load.
Figure 15. Relationship between stress and load.
Applsci 15 04872 g015
Figure 16. Failure form.
Figure 16. Failure form.
Applsci 15 04872 g016
Figure 17. Comparison of stress values corresponding to each method.
Figure 17. Comparison of stress values corresponding to each method.
Applsci 15 04872 g017
Figure 18. Structural sketch.
Figure 18. Structural sketch.
Applsci 15 04872 g018
Figure 19. Simplified model.
Figure 19. Simplified model.
Applsci 15 04872 g019
Figure 20. Local simplified model.
Figure 20. Local simplified model.
Applsci 15 04872 g020
Figure 21. Structures with increased wall thickness.
Figure 21. Structures with increased wall thickness.
Applsci 15 04872 g021
Figure 22. Double X-connection structure.
Figure 22. Double X-connection structure.
Applsci 15 04872 g022
Figure 23. W-connection structure.
Figure 23. W-connection structure.
Applsci 15 04872 g023
Figure 24. Z-connection structure.
Figure 24. Z-connection structure.
Applsci 15 04872 g024
Figure 25. Reinforced structure for lifting planes.
Figure 25. Reinforced structure for lifting planes.
Applsci 15 04872 g025
Table 1. The performance of S890.
Table 1. The performance of S890.
Reh/MPaRm/MPaA%E/MPaμ
S890≥890940–1100≥112.1 × 1050.3
Table 2. Mechanical properties of specimens with material S890.
Table 2. Mechanical properties of specimens with material S890.
Tensile Strength /MPaTensile Stress in Yield (Offset 0.2%)/MPa
1958.99889.63
2945878.45
3952.93884.27
4960.92885.06
5953.82877.99
61017.39933.03
Average964.8891.4
Disclaimer/Publisher’s Note: The statements, opinions and data contained in all publications are solely those of the individual author(s) and contributor(s) and not of MDPI and/or the editor(s). MDPI and/or the editor(s) disclaim responsibility for any injury to people or property resulting from any ideas, methods, instructions or products referred to in the content.

Share and Cite

MDPI and ACS Style

Guan, B.; Cheng, K.; Zhao, E. Experimental and Numerical Study of the Jib Connection Frame of a Wheeled Crane. Appl. Sci. 2025, 15, 4872. https://doi.org/10.3390/app15094872

AMA Style

Guan B, Cheng K, Zhao E. Experimental and Numerical Study of the Jib Connection Frame of a Wheeled Crane. Applied Sciences. 2025; 15(9):4872. https://doi.org/10.3390/app15094872

Chicago/Turabian Style

Guan, Bowen, Kai Cheng, and Erfei Zhao. 2025. "Experimental and Numerical Study of the Jib Connection Frame of a Wheeled Crane" Applied Sciences 15, no. 9: 4872. https://doi.org/10.3390/app15094872

APA Style

Guan, B., Cheng, K., & Zhao, E. (2025). Experimental and Numerical Study of the Jib Connection Frame of a Wheeled Crane. Applied Sciences, 15(9), 4872. https://doi.org/10.3390/app15094872

Note that from the first issue of 2016, this journal uses article numbers instead of page numbers. See further details here.

Article Metrics

Back to TopTop