Comparison of Modified Lund–Kennedy Endoscopic Score and Nasal Polyp Score in the Follow-Up of Patients with Severe Uncontrolled CRSwNP During Biological Therapy
Abstract
1. Introduction
2. Materials and Methods
2.1. Population
2.2. Statistical Analysis
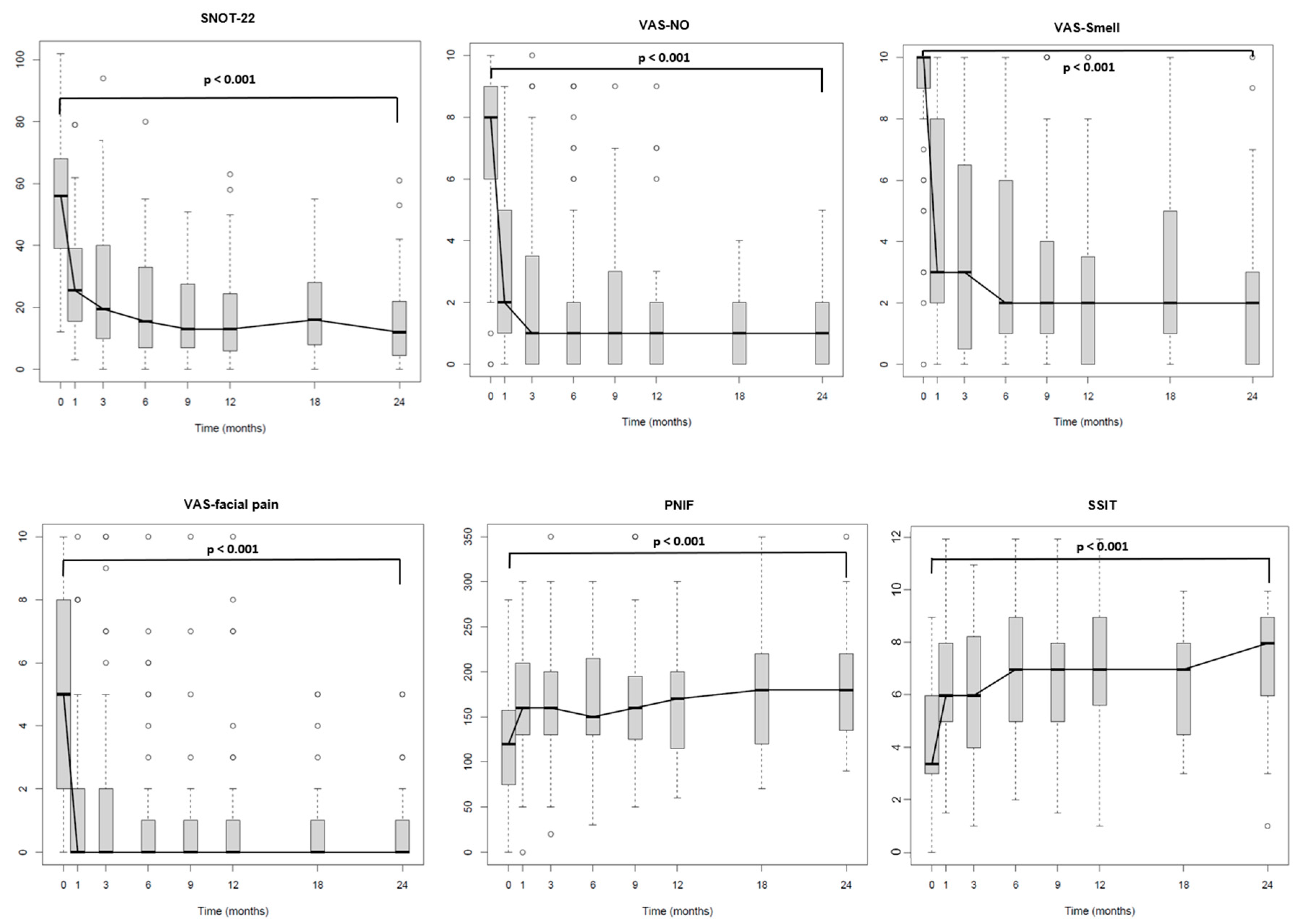
3. Results
4. Discussion
Limitations
5. Conclusions
Author Contributions
Funding
Institutional Review Board Statement
Informed Consent Statement
Data Availability Statement
Acknowledgments
Conflicts of Interest
Abbreviations
| CRSwNP | Chronic rhinosinusitis with nasal polyps |
| NPS | Nasal polyps score |
| M-LKS | Modified Lund–Kennedy endoscopic score |
| PROMs | Patient-reported outcomes |
| CROMs | Clinician-reported outcomes |
| PNIF | Peak nasal inspiratory flow |
| CRS | Chronic rhinosinusitis |
| QoL | Quality of life |
| INCS | Intra-nasal corticosteroids |
| OCS VAS | Oral corticosteroids Visual analog scale |
| VAS-NO | Visual analog scale for nasal obstruction |
| SSIT | Sniffin’ Sticks test |
| NP | Nasal polyps |
References
- Bayar Muluk, N.; Cingi, C.; Scadding, G.K.; Scadding, G. Chronic Rhinosinusitis-Could Phenotyping or Endotyping Aid Therapy? Am. J. Rhinol. Allergy 2019, 33, 83–93. [Google Scholar] [CrossRef] [PubMed]
- Seys, S.F.; Schneider, S.; de Kinderen, J.; Reitsma, S.; Cavaliere, C.; Tomazic, P.V.; Morgenstern, C.; Mortuaire, G.; Wagenmann, M.; Bettio, G.; et al. Real-World Effectiveness of Dupilumab in a European Cohort of Chronic Rhinosinusitis with Nasal Polyps (CHRINOSOR). J. Allergy Clin. Immunol. 2025, 155, 451–460. [Google Scholar] [CrossRef] [PubMed]
- De Corso, E.; Pasquini, E.; Trimarchi, M.; La Mantia, I.; Pagella, F.; Ottaviano, G.; Garzaro, M.; Pipolo, C.; Torretta, S.; Seccia, V.; et al. Dupilumab in the Treatment of Severe Uncontrolled Chronic Rhinosinusitis with Nasal Polyps (CRSwNP): A Multicentric Observational Phase IV Real-life Study (DUPIREAL). Allergy 2023, 78, 2669–2683. [Google Scholar] [CrossRef]
- Fokkens, W.J.; Lund, V.J.; Hopkins, C.; Hellings, P.W.; Kern, R.; Reitsma, S.; Toppila-Salmi, S.; Bernal-Sprekelsen, M.; Mullol, J.; Alobid, I.; et al. European Position Paper on Rhinosinusitis and Nasal Polyps 2020. Rhinol. J. 2020, 58 (Suppl. S29), 1–464. [Google Scholar] [CrossRef] [PubMed]
- Ottaviano, G.; De Corso, E.; Saccardo, T.; D’Auria, L.M.; Zampollo, S.; D’Agostino, G.; Mairani, E.; De Maio, G.; Scarpa, B.; Bacci, C.; et al. Effectiveness of Dupilumab in the Treatment of Adult and Older Adult Patients with Severe, Uncontrolled CRSwNP. J. Pers. Med. 2023, 13, 1241. [Google Scholar] [CrossRef]
- De Corso, E.; Pipolo, C.; Caminati, M.; Cantone, E.; Seccia, V.; Cecchi, L.; Nettis, E.; Garzaro, M.; Ottaviano, G.; Gelardi, M.; et al. Multidisciplinary Decision-Making-ITAlian Consensus After Two Years of Real Practice on the Management of Severe Uncontrolled CRSwNP by Biologics (ITACA Study). Curr. Allergy Asthma Rep. 2024, 24, 143–154. [Google Scholar] [CrossRef]
- Bai, J.; Huang, J.H.; Price, C.P.E.; Schauer, J.M.; Suh, L.A.; Harmon, R.; Conley, D.B.; Welch, K.C.; Kern, R.C.; Shintani-Smith, S.; et al. Prognostic Factors for Polyp Recurrence in Chronic Rhinosinusitis with Nasal Polyps. J. Allergy Clin. Immunol. 2022, 150, 352–361.e7. [Google Scholar] [CrossRef]
- Gevaert, P.; De Craemer, J.; Bachert, C.; Blauwblomme, M.; Chaker, A.; Cingi, C.; Hellings, P.W.; Hopkins, C.; Hox, V.; Fokkens, W.J.; et al. European Academy of Allergy and Clinical Immunology Position Paper on Endoscopic Scoring of Nasal Polyposis. Allergy 2023, 78, 912–922. [Google Scholar] [CrossRef]
- Psaltis, A.J.; Li, G.; Vaezeafshar, R.; Cho, K.; Hwang, P.H. Modification of the Lund-kennedy Endoscopic Scoring System Improves Its Reliability and Correlation with Patient-reported Outcome Measures. Laryngoscope 2014, 124, 2216–2223. [Google Scholar] [CrossRef]
- Zhang, L.; Zhang, L.H. Comparison of Different Endoscopic Scoring Systems in Patients with Chronic Rhinosinusitis: Reliability, Validity, Responsiveness and Correlation. Rhinology 2017, 55, 363–368. [Google Scholar] [CrossRef]
- Ottaviano, G.; Saccardo, T.; Roccuzzo, G.; Bernardi, R.; Chicco, A.D.; Pendolino, A.L.; Scarpa, B.; Mairani, E.; Nicolai, P. Effectiveness of Dupilumab in the Treatment of Patients with Uncontrolled Severe CRSwNP: A “Real-Life” Observational Study in Naïve and Post-Surgical Patients. J. Pers. Med. 2022, 12, 1526. [Google Scholar] [CrossRef] [PubMed]
- Ottaviano, G.; Roccuzzo, G.; Lora, L.; Bison, E.; Tosin, E.; Calvanese, L.; Cestaro, W.; Locatello, L.G.; Corlianò, F.; Stellin, M.; et al. The Impact of Dupilumab on Work Productivity and Emotional Health in CRSwNP: A Multicentric Study in Northeast Italy. J. Pers. Med. 2024, 14, 468. [Google Scholar] [CrossRef] [PubMed]
- Fokkens, W.J.; Viskens, A.-S.; Backer, V.; Conti, D.; De Corso, E.; Gevaert, P.; Scadding, G.K.; Wagemann, M.; Bernal-Sprekelsen, M.; Chaker, A.; et al. EPOS/EUFOREA Update on Indication and Evaluation of Biologics in Chronic Rhinosinusitis with Nasal Polyps 2023. Rhinology 2023, 61, 194–202. [Google Scholar] [CrossRef]
- Mozzanica, F.; Preti, A.; Gera, R.; Gallo, S.; Bulgheroni, C.; Bandi, F.; Ottaviani, F.; Castelnuovo, P. Cross-Cultural Adaptation and Validation of the SNOT-22 into Italian. Eur. Arch. Otorhinolaryngol. 2017, 274, 887–895. [Google Scholar] [CrossRef] [PubMed]
- Sedaghat, A.R.; Campbell, R.G.; Douglas, R.G.; Fokkens, W.J.; Hamizan, A.W.; Korban, Z.R.; Lee, V.S.; Macias-Valle, L.; Romano, F.R.; Snidvongs, K.; et al. Outcome Measures for Chronic Rhinosinusitis with Nasal Polyps. Rhinol. J. 2024, 62, 1–37. [Google Scholar] [CrossRef]
- Timperley, D.; Srubisky, A.; Stow, N.; Marcells, G.N.; Harvey, R.J. Minimal Clinically Important Differences in Nasal Peak Inspiratory Flow. Rhinol. J. 2011, 49, 37–40. [Google Scholar] [CrossRef]
- Whitcroft, K.L.; Altundag, A.; Balungwe, P.; Boscolo-Rizzo, P.; Douglas, R.; Enecilla, M.L.B.; Fjaeldstad, A.W.; Fornazieri, M.A.; Frasnelli, J.; Gane, S.; et al. Position Paper on Olfactory Dysfunction: 2023. Rhinology 2023, 61, 1–108. [Google Scholar] [CrossRef]
- R Core Team. R: A Language and Environment for Statistical Computing, Version 4.5.0; R Foundation for Statistical Computing: Vienna, Austria, 2020. [Google Scholar]
- Ottaviano, G.; De Corso, E.; Cantone, E.; Ciofalo, A.; Saccardo, T.; Bernardi, R.; Mairani, E.; Montuori, C.; Roccuzzo, G.; Soldati, L.; et al. Measuring Nasal Patency and the Sense of Smell in CRSwNP Patients Treated with Dupilumab. J. Pers. Med. 2023, 13, 234. [Google Scholar] [CrossRef]
- Bachert, C.; Han, J.K.; Desrosiers, M.; Hellings, P.W.; Amin, N.; Lee, S.E.; Mullol, J.; Greos, L.S.; Bosso, J.V.; Laidlaw, T.M.; et al. Efficacy and Safety of Dupilumab in Patients with Severe Chronic Rhinosinusitis with Nasal Polyps (LIBERTY NP SINUS-24 and LIBERTY NP SINUS-52): Results from Two Multicentre, Randomised, Double-Blind, Placebo-Controlled, Parallel-Group Phase 3 Trials. Lancet 2019, 394, 1638–1650. [Google Scholar] [CrossRef]
- Maza-Solano, J.; Callejon-Leblic, A.; Martin-Jimenez, D.; Moreno-Luna, R.; Gonzalez-Garcia, J.; Cuvillo, A.; Sanchez-Gomez, S. Omalizumab Treatment in Uncontrolled Asthma and CRSwNP Patients, with Previous Endoscopic Sinus Surgery, to Improve Quality of Life and Endoscopic Outcomes: A Two-Year Real-Life Study. Curr. Allergy Asthma Rep. 2023, 23, 555–566. [Google Scholar] [CrossRef]
- Ta, N.H.; Gao, J.; Philpott, C. A systematic review to examine the relationship between objective and patient-reported outcome measures in sinonasal disorders: Recommendations for use in research and clinical practice. Int. Forum Allergy Rhinol. 2021, 11, 910–923. [Google Scholar] [CrossRef] [PubMed]
- Takeuchi, H. Olfactory Cilia, Regulation and Control of Olfaction. Physiol. Rep. 2024, 12, e70057. [Google Scholar] [CrossRef] [PubMed]
- Cantone, E.; De Corso, E.; Ricciardiello, F.; Di Nola, C.; Grimaldi, G.; Allocca, V.; Motta, G. Olfaction Recovery Following Dupilumab Is Independent of Nasal Polyp Reduction in CRSwNP. J. Pers. Med. 2022, 12, 1215. [Google Scholar] [CrossRef]
- Saraswathula, A.; Liu, M.M.; Kulaga, H.; Lane, A.P. Chronic Interleukin-13 Expression in Mouse Olfactory Mucosa Results in Regional Aneuronal Epithelium. Int. Forum Allergy Rhinol. 2023, 13, 230–241. [Google Scholar] [CrossRef]
- Pace, G.M.; Giombi, F.; Pirola, F.; Cerasuolo, M.; Heffler, E.; Paoletti, G.; Puggioni, F.; Mercante, G.; Spriano, G.; Malvezzi, L. Prediction of Clinical Response to Dupilumab for CRSwNP Based on the Amsterdam Classification of Completeness of Endoscopic Sinus Surgery (ACCESS) Score. Ann. Otol. Rhinol. Laryngol. 2024, 134, 201–210. [Google Scholar] [CrossRef]
- Giombi, F.; Pace, G.M.; Nappi, E.; Giunta, G.; Muci, G.; Pirola, F.; Ferreli, F.; Heffler, E.; Paoletti, G.; Giannitto, C.; et al. Radiological Versus Clinical 1-Year Outcomes of Dupilumab in Refractory CRSwNP: A Real-Life Study. Laryngoscope 2024, 134, 2626–2633. [Google Scholar] [CrossRef] [PubMed]
- Orlando, P.; Licci, G.; Kuitche, D.; Matucci, A.; Vultaggio, A.; Gallo, O.; Maggiore, G. Effectiveness of Dupilumab versus Endoscopic Sinus Surgery for the Treatment of Type-2 Chronic Rhinosinusitis with Nasal Polyps: A Preliminary Report. Eur. Arch. Oto-Rhino-Laryngol. 2024, 281, 1317–1324. [Google Scholar] [CrossRef]
- Trimarchi, M.; Vinciguerra, A.; Rampi, A.; Tanzini, U.; Nonis, A.; Yacoub, M.R.; Bussi, M. A Prospective Study on the Efficacy of Dupilumab in Chronic Rhinosinusitis with Type 2 Inflammation. Acta Otorhinolaryngol. Ital. 2022, 42, 538–544. [Google Scholar] [CrossRef]
- Miglani, A.; Soler, Z.M.; Smith, T.L.; Mace, J.C.; Schlosser, R.J. A Comparative Analysis of Endoscopic Sinus Surgery versus Biologics for Treatment of Chronic Rhinosinusitis with Nasal Polyposis. Int. Forum Allergy Rhinol. 2023, 13, 116–128. [Google Scholar] [CrossRef]
- Orlando, P.; Vivarelli, E.; Minzoni, A.; Licci, G.; Accinno, M.; Brugnoli, B.; Matucci, A.; Vultaggio, A.; Maggiore, G. Effects of Mepolizumab in the treatment of type 2 CRSwNP: A real-life clinical study. Eur. Arch. Otorhinolaryngol. 2025, 282, 265–272. [Google Scholar] [CrossRef]
- Pirola, F.; Giombi, F.; Pace, G.M.; Cerasuolo, M.; Zuppardo, J.; Sebastiani, M.; Giunta, G.; Mercante, G.; Spriano, G.; Malvezzi, L. Non-Mucosa Sparing (Reboot) Surgery as a Possible Rescue Therapy in Patients Locally Unresponsive to Biologics. Ear Nose Throat J. 2024, 19, 1455613241282566. [Google Scholar] [CrossRef] [PubMed]
- Watelet, J.B.; Dogne, J.M.; Mullier, F. Remodeling and Repair in Rhinosinusitis. Curr. Allergy Asthma Rep. 2015, 15, 34. [Google Scholar] [CrossRef] [PubMed]



| Demographics | Sex | Median Age, yr [IQR] | BMI, Median [IQR] | Asthma, n (%) | N-ERD, n (%) | Allergy to Inhalants, n (%) | Smokers, n (%) | OCS *, Median [IQR] | ESS, Median [IQR |
| 54 M (82%) 12 F (18%) | 58 (47–65) | 25.3 (23.2–27.8) | 41 (62.1%) | 17 (25.8%) | 33 (50%) | 7 (10.6%) | 2 (1.7–2.2) | 1 (1–2) | |
| PROMs and CROMs | VAS-NO, median [IQR] | VAS-smell, median [IQR] | VAS- facial pain, median [IQR] | VAS-sleep, median [IQR] | SNOT-22, median [IQR] | PNIF, median [IQR] | SSIT, median [IQR] | NPS, median [IQR] | LKS, median [IQR] |
| 7.5 (6–9) | 10 (9–10) | 5 (2–8) | 6 (2.5–7.5] | 56 (39.2–68) | 120 (75–157.5) | 3 (3–6) | 6 (5–6) | 6 (4–8) |
| M-LKS | NPS | |||
|---|---|---|---|---|
| Correlation | p Value | Correlation | p Value | |
| SNOT-22 | 0.002 | 0.773 | 0.003 | 0.587 |
| VAS-NO | 0.036 | 0.399 | 0.067 | 0.038 |
| VAS-smell | 0.042 | 0.249 | 0.100 | <0.001 |
| VAS-facial pain | −0.019 | 0.692 | −0.035 | 0.331 |
| VAS-sleep | 0.016 | 0.719 | 0.023 | 0.500 |
| SSIT | −0.997 | 0.06 | −0.833 | 0.041 |
| PNIF | −0.005 | 0.009 | −0.006 | <0.001 |
| ACT | −0.035 | 0.171 | −0.009 | 0.640 |
| Estimate | Std. Error | df | t Value | Pr (>|t|) | |
|---|---|---|---|---|---|
| (Intercept) | 6.316710 | 0.314369 | 223.349543 | 20.093 | p < 0.001 |
| T1 | −0.804958 | 0.249023 | 400.737638 | −3.232 | p = 0.001 |
| T2 | −1.556601 | 0.225303 | 399.689226 | −6.909 | p < 0.001 |
| T3 | −2.019193 | 0.229423 | 400.105491 | −8.801 | p < 0.001 |
| T4 | −2.151421 | 0.232079 | 400.476848 | −9.270 | p < 0.001 |
| T5 | −2.474594 | 0.237109 | 401.021467 | −10.437 | p < 0.001 |
| T6 | −3.014599 | 0.238966 | 398.860924 | −12.615 | p < 0.001 |
| PNIF | −0.005714 | 0.001532 | 455.698477 | −3.731 | p < 0.001 |
| Estimate | Std. Error | df | t Value | Pr (>|t|) | |
|---|---|---|---|---|---|
| (Intercept) | 6.782008 | 0.370056 | 273.111323 | 18.327 | p < 0.001 |
| T1 | −1.129586 | 0.386729 | 351.734044 | −2.921 | p = 0.003 |
| T2 | −1.629318 | 0.319488 | 346.085347 | −5.100 | p < 0.001 |
| T3 | −1.743885 | 0.329099 | 347.207783 | −5.299 | p < 0.001 |
| T4 | −2.150819 | 0.321590 | 349.366157 | −6.688 | p < 0.001 |
| T5 | −2.190922 | 0.326068 | 351.438568 | −6.719 | p < 0.001 |
| T6 | −2.468237 | 0.328056 | 348.364357 | −7.524 | p = 0.009 |
| PNIF | −0.005115 | 0.001955 | 345.166486 | −2.616 | p < 0.001 |
Disclaimer/Publisher’s Note: The statements, opinions and data contained in all publications are solely those of the individual author(s) and contributor(s) and not of MDPI and/or the editor(s). MDPI and/or the editor(s) disclaim responsibility for any injury to people or property resulting from any ideas, methods, instructions or products referred to in the content. |
© 2025 by the authors. Licensee MDPI, Basel, Switzerland. This article is an open access article distributed under the terms and conditions of the Creative Commons Attribution (CC BY) license (https://creativecommons.org/licenses/by/4.0/).
Share and Cite
Roccuzzo, G.; Saccardo, T.; Zampollo, S.; Tessari, N.; Fontana, A.; Manildo, P.; Scarpa, B.; Nicolai, P.; Ottaviano, G. Comparison of Modified Lund–Kennedy Endoscopic Score and Nasal Polyp Score in the Follow-Up of Patients with Severe Uncontrolled CRSwNP During Biological Therapy. Appl. Sci. 2025, 15, 4873. https://doi.org/10.3390/app15094873
Roccuzzo G, Saccardo T, Zampollo S, Tessari N, Fontana A, Manildo P, Scarpa B, Nicolai P, Ottaviano G. Comparison of Modified Lund–Kennedy Endoscopic Score and Nasal Polyp Score in the Follow-Up of Patients with Severe Uncontrolled CRSwNP During Biological Therapy. Applied Sciences. 2025; 15(9):4873. https://doi.org/10.3390/app15094873
Chicago/Turabian StyleRoccuzzo, Giuseppe, Tommaso Saccardo, Sonny Zampollo, Nicola Tessari, Alessandro Fontana, Paolo Manildo, Bruno Scarpa, Piero Nicolai, and Giancarlo Ottaviano. 2025. "Comparison of Modified Lund–Kennedy Endoscopic Score and Nasal Polyp Score in the Follow-Up of Patients with Severe Uncontrolled CRSwNP During Biological Therapy" Applied Sciences 15, no. 9: 4873. https://doi.org/10.3390/app15094873
APA StyleRoccuzzo, G., Saccardo, T., Zampollo, S., Tessari, N., Fontana, A., Manildo, P., Scarpa, B., Nicolai, P., & Ottaviano, G. (2025). Comparison of Modified Lund–Kennedy Endoscopic Score and Nasal Polyp Score in the Follow-Up of Patients with Severe Uncontrolled CRSwNP During Biological Therapy. Applied Sciences, 15(9), 4873. https://doi.org/10.3390/app15094873

