A Survey of IEEE 802.11ax WLAN Temporal Duty Cycle for the Assessment of RF Electromagnetic Exposure
Abstract
1. Introduction
1.1. Duty Cycle
1.2. Wi-Fi 6 and Objectives
- 1.
- Determining the DC of Wi-Fi 6 networks for seven commonly used internet applications under different bandwidths and different radio-quality conditions in single-user device (UD) scenarios;
- 2.
- Investigating the variations in DC in multi-UD scenarios with up to four UDs;
- 3.
- Examining the EMF exposure levels of Wi-Fi 6 devices under various configurations (e.g., bandwidth, location, and device count) and weighting with DC results to accurately evaluate compliance with international exposure guidelines.
| Wi-Fi 6 [2] | Wi-Fi 5 [1] | Remarks [19,20,21] |
|---|---|---|
| OFDMA 1 | OFDM 2 | Higher throughput, high spectral efficiency |
| Longer PHY symbol | - | High time-domain efficiency, multipath robustness |
| 1024-QAM 3 | 256-QAM | 25% data rate improvement |
| MU-MIMO 4 | Donwlink MIMO | Up to 8× increase in uplink throughput |
| Spatial reuse | - | Improved network capacity and efficiency |
2. Materials and Methods
2.1. Experimental Setup
Network Configuration
2.2. Duty Cycle Measurement
2.2.1. Equipment and Configurations
2.2.2. Single-User DC Measurement
- 1.
- YouTube video streaming: A single video was streamed at two resolutions, 2160p (i.e., so-called 4K video, 4096×2160 pixels) and 1080p (1920×1080 pixels);
- 2.
- WhatsApp communication: Both voice and video calls were conducted;
- 3.
- File Transfer Protocol (FTP): File download (DL) and upload (UL) were tested;
- 4.
- Online gaming: Overwatch 2 (OW2) was involved;
- 5.
- Web browsing: The Edge browser was used to randomly access MSN news (www.msn.com);
- 6.
- Audio streaming: Spotify was used for music streaming;
- 7.
- Live streaming: Twitch was used to stream video content at 1080p resolution and 30 frames per second (fps).
2.2.3. Low Radio Quality Conditions
2.2.4. Multi-User DC Measurement
2.3. EMF Exposure Assessment
- 1.
- At the AP: The three-axis antenna’s center was placed 35 cm from the AP antennas (as illustrated in Figure 1b);
- 2.
- At the UD: The three-axis antenna’s center was placed 30 cm from the UD’s screen or antennas (as illustrated in Figure 1a);
- 3.
- At the center: The three-axis antenna was positioned equidistantly between the AP and UD in the LOS path, as shown in Figure 1c.
3. Results
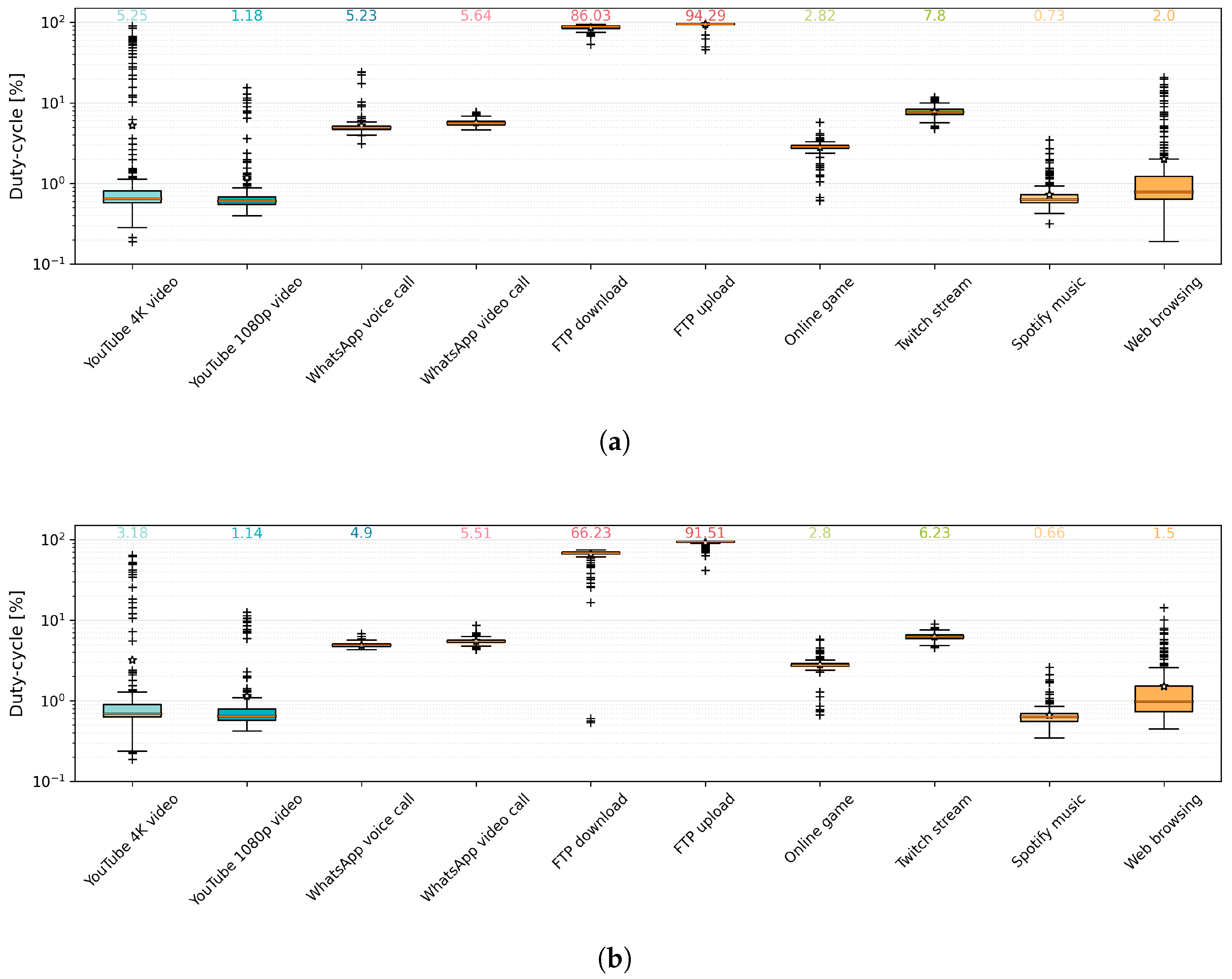
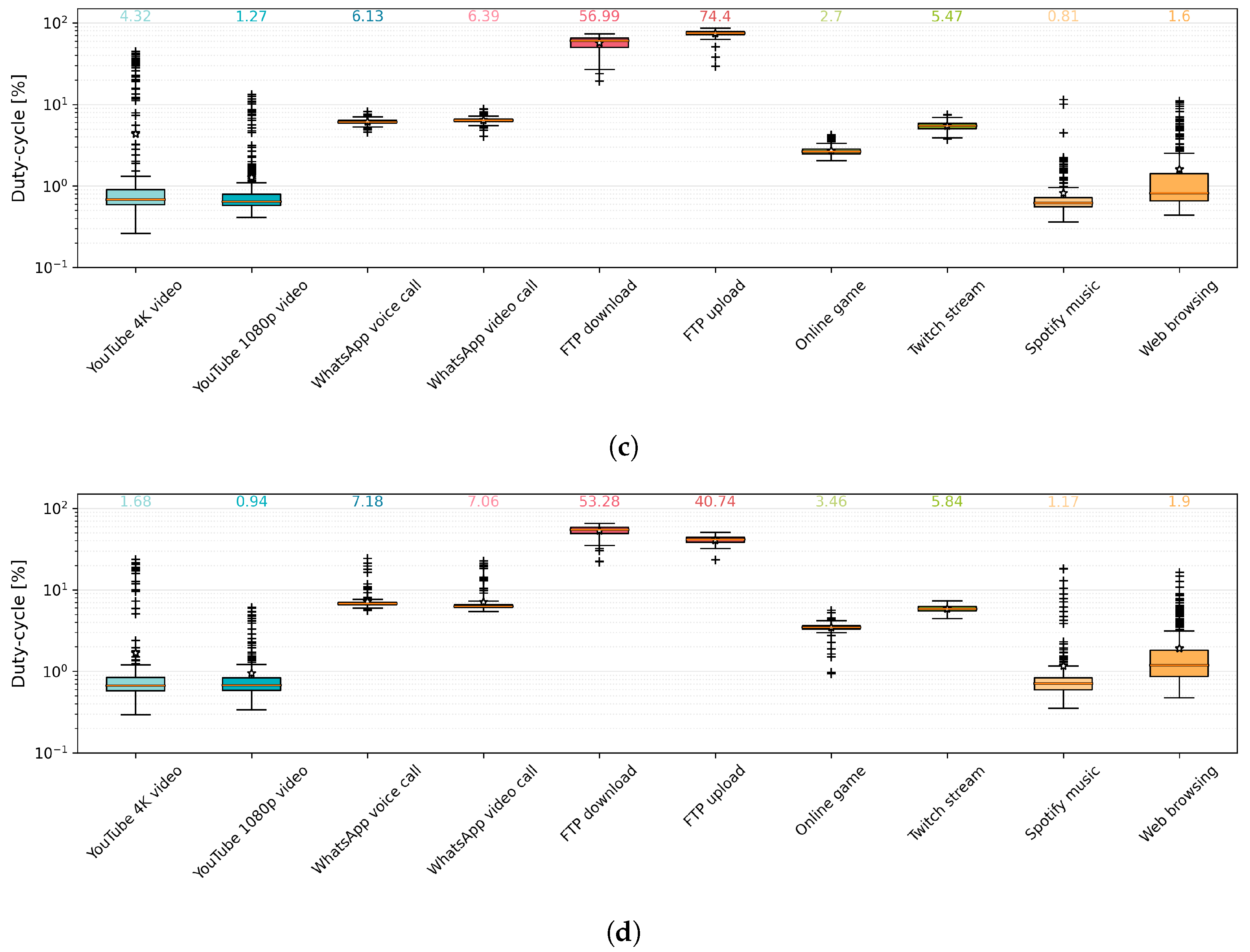
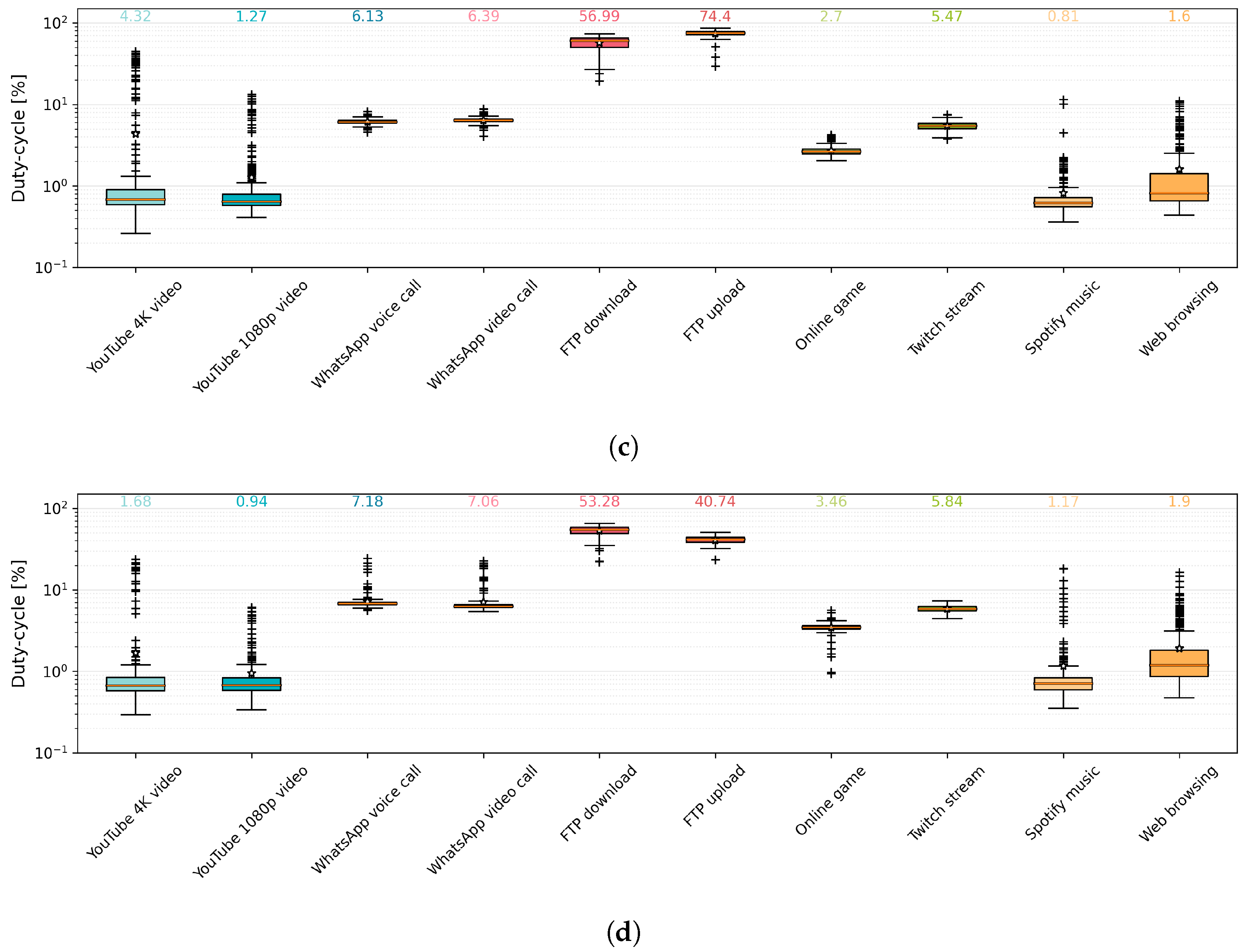
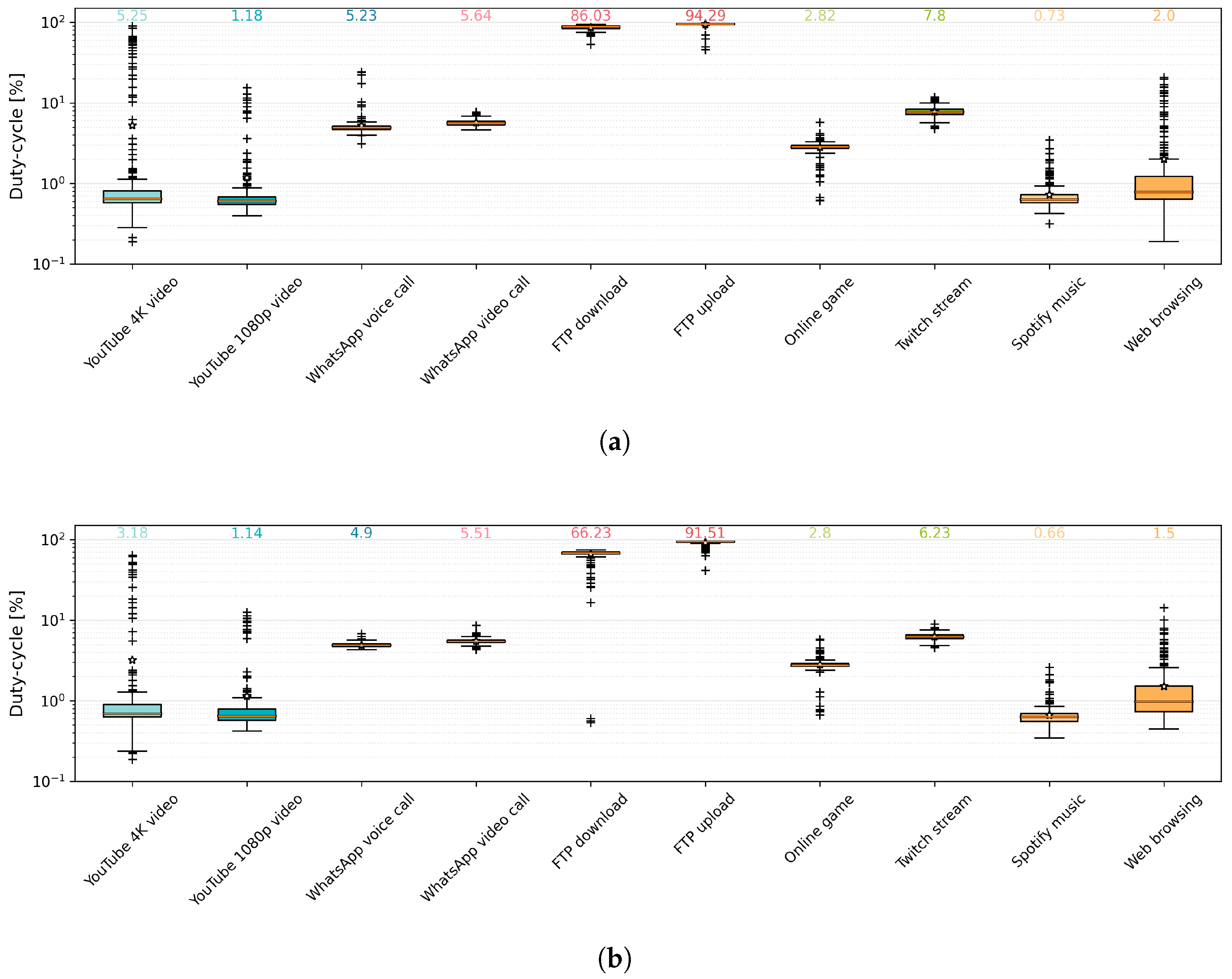
3.1. Difference in DC for Internet Activities
- YouTube 4K video streaming follows a cyclic behavior characterized by periods of preloading (buffering) and silence. As shown in Figure 5, DC peaks during buffering, reaching approximately 40%, followed by periods of minimal activity with low DC as only control frames are transmitted;
- FTP file downloading, as a high-bandwidth, continuous transmission application, exhibits the stable and highest DC, with an average of approximately 57%;
- WhatsApp video calling: This real-time interactive application requires continuous up and downlink traffic. However, since the data are transmitted in small packets (i.e., low data rate), it maintains a relatively low yet stable DC of around 6%;
- Web browsing, on the other hand, alternates between AP active and idle due to the intermittent nature of the user’s activity, and DC exhibits burstiness with a CF of 12.9 dB, reflecting the sporadic nature of the traffic.

3.2. Impact of Radio Conditions on DC
3.3. DC in Multi-User Scenarios
- 4K Video Streaming: The mean DC increases progressively as the number of UDs grows, ranging from 4.3% to 12.9%. Unlike other applications, the IQR significantly increases, indicating a more dispersed distribution of DC values. This is attributed to the higher frequency of buffering behaviors as more users are added, leading to more frequent bursts of data transmission. This trend is confirmed by Figure 9, which shows an increasing number of peaks in the DC versus time-series curve for video streaming as the number of users grows;
- FTP File Downloading: The mean DC stabilizes at approximately 85% after the first UD (57%) and remains consistent as additional UDs connect. The IQR remains minimal, indicating a highly stable and concentrated distribution;
- Web Browsing: The mean DC stays at around 7% once the number of UDs increases to two. While the IQR slightly increases, its variation is smaller compared to 4K video streaming. This is because web browsing generates lower total traffic demands, leading to less pronounced increases in traffic variability even as UDs are added;
- Video Calling: The mean DC increases almost linearly with the number of UDs, from 6.4% to 17.5% as the number of UDs grows from one to four. The IQR remains low, reflecting the consistent and stable uplink/downlink traffic required to meet the high QoS demands of video call.

3.4. Wi-Fi 6 EMF Exposure Assessment
4. Discussion
5. Conclusions
Author Contributions
Funding
Institutional Review Board Statement
Informed Consent Statement
Data Availability Statement
Conflicts of Interest
References
- IEEE Std 802.11ac-2013 (Amendment to IEEE Std 802.11-2012, as amended by IEEE Std 802.11ae-2012, IEEE Std 802.11aa-2012, and IEEE Std 802.11ad-2012); IEEE Standard for Information Technology—Telecommunications and Information Exchange Between Systems Local and Metropolitan Area Networks—Specific Requirements–Part 11: Wireless LAN Medium Access Control (MAC) and Physical Layer (PHY) Specifications–Amendment 4: Enhancements for Very High Throughput for Operation in Bands Below 6 GHz. IEEE: Piscataway, NJ, USA, 2013; pp. 1–425. [CrossRef]
- IEEE Standard for Information Technology—Telecommunications and Information Exchaneg between Systems Local and Metropolitan Area Networks- Specific Requirements Part 11: Wireless LAN Medium Access Control (MAC) and Physical Layer (PHY) Specifications Amendment 1: Enhancements for High-Efficiency WLAN. 2021. Available online: https://ieeexplore.ieee.org/document/9363693 (accessed on 27 February 2021).
- IEEE 802.11ax: The Sixth Generation of Wi-Fi White Paper. Available online: https://www.cisco.com/c/en/us/products/collateral/wireless/white-paper-c11-740788.html (accessed on 3 April 2020).
- Liu, L.; Huang, B.; Lu, Y.; Zhao, Y.; Tang, X.; Shi, Y. Interactions between Electromagnetic Radiation and Biological Systems. iScience 2024, 27, 109201. [Google Scholar] [CrossRef] [PubMed]
- Dongus, S.; Jalilian, H.; Schürmann, D.; Röösli, M. Health effects of WiFi radiation: A review based on systematic quality evaluation. Crit. Rev. Environ. Sci. Technol. 2022, 52, 3547–3566. [Google Scholar] [CrossRef]
- Guidelines for Limiting Exposure to Electromagnetic Fields (100 kHz to 300 GHz). Health Phys. 2020, 118, 483–524. [CrossRef] [PubMed]
- C95. 1-2019; IEEE Standard for Safety Levels with Respect to Human Exposure to Electric, Magnetic, and Electromagnetic Fields, 0 Hz to 300 GHz. IEEE: Piscataway, NJ, USA, 2019. [CrossRef]
- Verloock, L.; Joseph, W.; Vermeeren, G.; Martens, L. Procedure for assessment of general public exposure from wlan in offices and in wireless sensor network testbed. Health Phys. 2010, 98, 628–638. [Google Scholar] [CrossRef] [PubMed]
- Joseph, W.; Pareit, D.; Vermeeren, G.; Naudts, D.; Verloock, L.; Martens, L.; Moerman, I. Determination of the duty cycle of WLAN for realistic radio frequency electromagnetic field exposure assessment. Prog. Biophys. Mol. Biol. 2013, 111, 30–36. [Google Scholar] [CrossRef] [PubMed]
- Khalid, M.; Mee, T.; Peyman, A.; Addison, D.; Calderon, C.; Maslanyj, M.; Mann, S. Exposure to radio frequency electromagnetic fields from wireless computer networks: Duty factors of Wi-Fi devices operating in schools. Prog. Biophys. Mol. Biol. 2011, 107, 412–420. [Google Scholar] [CrossRef] [PubMed]
- Verloock, L.; Joseph, W.; Goeminne, F.; Martens, L.; Verlaek, M.; Constandt, K. Temporal 24-hour assessment of radio frequency exposure in schools and homes. Measurement 2014, 56, 50–57. [Google Scholar] [CrossRef]
- Joseph, W.; Verloock, L.; Goeminne, F.; Vermeeren, G.; Martens, L. Assessment of RF Exposures from Emerging Wireless Communication Technologies in Different Environments. Health Phys. 2012, 102, 161–172. [Google Scholar] [CrossRef] [PubMed]
- Yang, W.; Hu, Y.; Gao, X.; Hu, K.; Xiao, F.; Cao, C. The Duty Cycle Analysis for Electromagnetic Field Exposure From WLAN in a Busy Period. IEEE Trans. Electromagn. Compat. 2016, 58, 1772–1775. [Google Scholar] [CrossRef]
- Koprivica, M.; Slavkovic, V.; Popovic, M.; Milinkovic, J.; Neskovic, A. Experimental analysis of duty factor for WLAN user devices. In Proceedings of the 2015 23rd Telecommunications Forum Telfor (TELFOR), Belgrade, Serbia, 24–26 November2015; pp. 145–148. [Google Scholar] [CrossRef]
- Bechet, A.C.; Helbet, R.; Miclaus, S.; Bouleanu, I.; Sarbu, A.; Bechet, P. Assesing the Electric Field Strength in the Vicinity of Devices Emitting Signals in the IEEE 802.11ac Standard of Communication. In Proceedings of the 2019 International Symposium on Electromagnetic Compatibility—EMC EUROPE, Barcelona, Spain, 2–6 September 2019; pp. 1025–1029. [Google Scholar] [CrossRef]
- Sârbu, A.; Miclăuș, S.; Digulescu, A.; Bechet, P. Comparative Analysis of User Exposure to the Electromagnetic Radiation Emitted by the Fourth and Fifth Generations of Wi-Fi Communication Devices. Int. J. Environ. Res. Public Health 2020, 17, 8837. [Google Scholar] [CrossRef] [PubMed]
- Chountala, C.; Chareau, J.M.; Baldini, G.; Bonavitacola, F. Experimental assessment of electromagnetic field exposure from 802.11ax devices. In Proceedings of the 2022 9th International Conference on Wireless Networks and Mobile Communications (WINCOM), Rabat, Morocco, 26–29 October 2022; pp. 1–6. [Google Scholar] [CrossRef]
- Fernández, M.; Guerra, D.; Gil, U.; Trigo, I.; Peña, I.; Arrinda, A. Measurements and analysis of temporal and spatial variability of WiFi exposure levels in the 2.4 GHz frequency band. Measurement 2020, 149, 106970. [Google Scholar] [CrossRef]
- Wang, J.; Huang, G.; Shao, Z. Performance Evaluation of Wi-Fi 6 and Technology Prospects of Wi-Fi. In Proceedings of the 2022 International Conference on Information Processing and Network Provisioning (ICIPNP), Beijing, China, 15–16 September 2022; pp. 91–95. [Google Scholar] [CrossRef]
- Mozaffariahrar, E.; Theoleyre, F.; Menth, M. A Survey of Wi-Fi 6: Technologies, Advances, and Challenges. Future Internet 2022, 14, 293. [Google Scholar] [CrossRef]
- Daldoul, Y.; Meddour, D.E.; Ksentini, A. Performance evaluation of OFDMA and MU-MIMO in 802.11ax networks. Comput. Netw. 2020, 182, 107477. [Google Scholar] [CrossRef]
- Lee, K.H. Performance Analysis of the IEEE 802.11ax MAC Protocol for Heterogeneous Wi-Fi Networks in Non-Saturated Conditions. Sensors 2019, 19, 1540. [Google Scholar] [CrossRef] [PubMed]












| AP Configuration | |
|---|---|
| Band | 5 GHz |
| Channel | 36, 46, 58, or 114 |
| Center Frequency | 5.18, 5.23, 5.29, or 5.57 GHz |
| Bandwidth | 20, 40, 80, or 160 MHz |
| Wireless Mode | 802.11ax only |
| Waveform | DL/UL OFDMA + MU-MIMO |
| Beamforming | Enabled |
| Max MCS 1 | 11 (1024-QAM, 5/6 code rate) |
| Max TX Power | 23 dBm |
| User Device | Model |
|---|---|
| Mobile phone | iPhone 14 Pro |
| Tablet | Samsung Galaxy Tab S8+ |
| Laptop | Dell Latitude 5430 |
| USB Wi-Fi adapter | Asus USB-AX56 Dual-band |
| Parameter 1 | Time Domain | Frequency Domain |
|---|---|---|
| CF [GHz] | 5.18, 5.23, 5.29, or 5.57 | 5.18, 5.23, 5.29, or 5.57 |
| Span [MHz] | 0 | 40, 60, 100, or 200 |
| RBW [MHz] | 20 | 1 |
| VBW [MHz] | 40 | 10 |
| SWT [ms] | 10 | 6.2 |
| Points | 2401 | 455 |
| Detector | RMS | RMS |
| Trace Mode | Clear/Write | Max-hold |
| Applicaiton | BW [MHz] | Mean [%] | Median [%] | [%] | Max [%] | SD [%] |
|---|---|---|---|---|---|---|
| YouTube 4K video | 20 | 5.25 | 0.64 | 45.29 | 89.19 | 14.97 |
| YouTube 1080p video | 20 | 1.18 | 0.61 | 5.01 | 15.42 | 2.26 |
| WhatsApp voice call | 20 | 5.23 | 4.91 | 5.88 | 24.24 | 2.24 |
| WhatsApp video call | 20 | 5.64 | 5.61 | 6.48 | 7.69 | 0.53 |
| FTP download | 20 | 86.03 | 87.53 | 92.42 | 94.20 | 5.55 |
| FTP upload | 20 | 94.29 | 95.10 | 95.68 | 96.17 | 5.27 |
| Online game | 20 | 2.82 | 2.84 | 3.43 | 5.72 | 0.51 |
| Twitch stream | 20 | 7.80 | 7.72 | 9.56 | 11.81 | 1.00 |
| Spotify audio | 20 | 0.73 | 0.63 | 1.37 | 3.44 | 0.35 |
| Web browsing | 20 | 2.00 | 0.78 | 10.22 | 20.65 | 3.45 |
| YouTube 4K video | 80 | 4.32 | 0.68 | 33.84 | 44.74 | 10.04 |
| YouTube 1080p video | 80 | 1.27 | 0.64 | 5.84 | 13.31 | 2.10 |
| WhatsApp voice call | 80 | 6.13 | 6.10 | 6.80 | 8.14 | 0.45 |
| WhatsApp video call | 80 | 6.39 | 6.38 | 7.06 | 8.81 | 0.49 |
| FTP download | 80 | 56.99 | 60.29 | 69.37 | 73.38 | 11.23 |
| FTP upload | 80 | 74.40 | 74.98 | 81.45 | 85.94 | 5.78 |
| Online game | 80 | 2.70 | 2.65 | 3.30 | 4.24 | 0.35 |
| Twitch stream | 80 | 5.47 | 5.47 | 6.46 | 7.47 | 0.63 |
| Spotify audio | 80 | 0.81 | 0.62 | 1.81 | 11.47 | 0.97 |
| Web browsing | 80 | 1.60 | 0.81 | 6.12 | 11.01 | 1.90 |
| Applicaiton | RC | Mean [%] | Median [%] | [%] | Max [%] | SD [%] |
|---|---|---|---|---|---|---|
| YouTube 4K video | poor | 18.99 | 0.83 | 90.51 | 92.28 | 33.30 |
| YouTube 1080p video | poor | 3.88 | 0.66 | 37.20 | 71.64 | 11.58 |
| WhatsApp voice call | poor | 4.59 | 4.90 | 5.67 | 7.45 | 0.94 |
| WhatsApp video call | poor | 8.80 | 8.65 | 10.63 | 13.12 | 1.06 |
| FTP download | poor | 88.59 | 90.50 | 92.10 | 93.12 | 8.41 |
| FTP upload | poor | 8.03 | 8.03 | 9.12 | 13.65 | 0.83 |
| Online game | poor | 5.75 | 5.57 | 8.72 | 11.62 | 1.43 |
| Twitch stream | poor | 6.02 | 5.96 | 7.17 | 7.91 | 0.64 |
| Spotify audio | poor | 11.47 | 11.00 | 16.70 | 87.54 | 7.50 |
| web browsing | poor | 4.94 | 0.63 | 27.65 | 87.38 | 12.92 |
| YouTube 4K video | good | 3.10 | 0.66 | 23.39 | 30.37 | 6.78 |
| YouTube 1080p video | good | 1.05 | 0.62 | 4.31 | 9.15 | 1.45 |
| WhatsApp voice call | good | 3.77 | 3.74 | 4.16 | 5.48 | 0.32 |
| WhatsApp video call | good | 3.76 | 3.74 | 4.22 | 5.55 | 0.32 |
| FTP download | good | 43.09 | 45.66 | 53.59 | 57.34 | 9.13 |
| FTP upload | good | 21.19 | 21.41 | 25.38 | 26.56 | 3.02 |
| Online game | good | 1.63 | 1.59 | 2.00 | 3.11 | 0.23 |
| Twitch stream | good | 2.96 | 2.93 | 3.55 | 4.26 | 0.37 |
| Spotify audio | good | 0.72 | 0.60 | 1.36 | 7.23 | 0.61 |
| web browsing | good | 1.17 | 0.71 | 3.84 | 6.85 | 1.14 |
Disclaimer/Publisher’s Note: The statements, opinions and data contained in all publications are solely those of the individual author(s) and contributor(s) and not of MDPI and/or the editor(s). MDPI and/or the editor(s) disclaim responsibility for any injury to people or property resulting from any ideas, methods, instructions or products referred to in the content. |
© 2025 by the authors. Licensee MDPI, Basel, Switzerland. This article is an open access article distributed under the terms and conditions of the Creative Commons Attribution (CC BY) license (https://creativecommons.org/licenses/by/4.0/).
Share and Cite
Yang, Y.; Vermeeren, G.; Verloock, L.; Guxens, M.; Joseph, W. A Survey of IEEE 802.11ax WLAN Temporal Duty Cycle for the Assessment of RF Electromagnetic Exposure. Appl. Sci. 2025, 15, 2858. https://doi.org/10.3390/app15052858
Yang Y, Vermeeren G, Verloock L, Guxens M, Joseph W. A Survey of IEEE 802.11ax WLAN Temporal Duty Cycle for the Assessment of RF Electromagnetic Exposure. Applied Sciences. 2025; 15(5):2858. https://doi.org/10.3390/app15052858
Chicago/Turabian StyleYang, Yizhen, Günter Vermeeren, Leen Verloock, Mònica Guxens, and Wout Joseph. 2025. "A Survey of IEEE 802.11ax WLAN Temporal Duty Cycle for the Assessment of RF Electromagnetic Exposure" Applied Sciences 15, no. 5: 2858. https://doi.org/10.3390/app15052858
APA StyleYang, Y., Vermeeren, G., Verloock, L., Guxens, M., & Joseph, W. (2025). A Survey of IEEE 802.11ax WLAN Temporal Duty Cycle for the Assessment of RF Electromagnetic Exposure. Applied Sciences, 15(5), 2858. https://doi.org/10.3390/app15052858

