Experimental Study of a Novel Prototype of Dual-Cycle Two-Phase Cooling System for a Data Cabinet
Abstract
Featured Application
Abstract
1. Introduction
2. Description of the Dual-Cycle Two-Phase Cooling System
3. Results and Discussion
3.1. Chip Temperature Distribution and Heat Transfer Temperature Difference
3.2. The Effects of the Flow Rate of Each Loop on the Cooling System
3.2.1. The Effects of PCTCS Internal Loop Flow Rate
3.2.2. The Effects of PCTCS External Loop Flow Rate
3.2.3. The Effects of PBTCS Flow Rate
3.3. Cooling System Energy Consumption Analysis
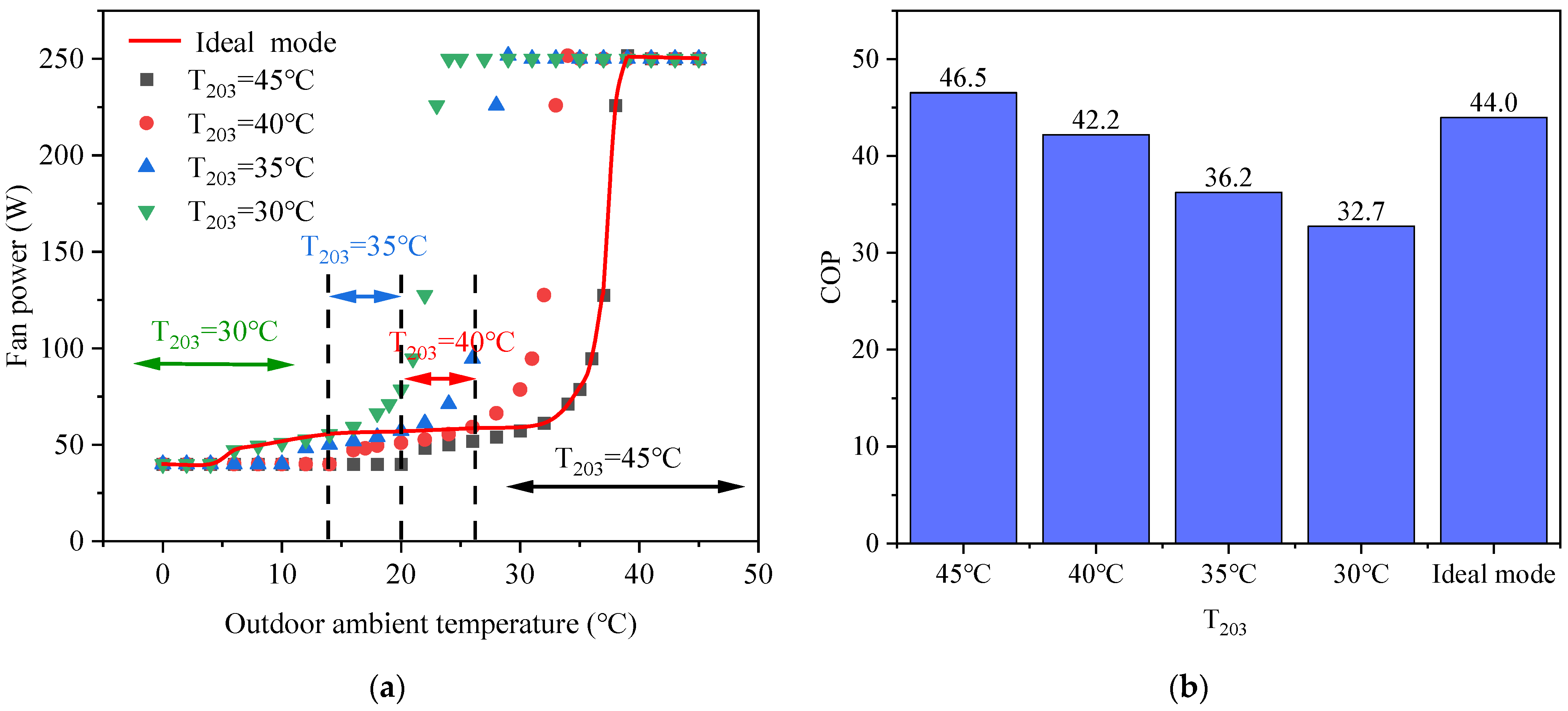
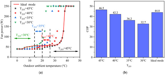
3.3.1. Energy Consumption Analysis of the PCTCS
3.3.2. Energy Consumption Analysis of the PBTCS
3.4. Data Room Overall Energy Consumption Analysis
3.4.1. The Effect of Data Room Temperature on IT Power
3.4.2. The Effect of Cooling System Control Temperature on the Overall Energy Consumption of Data Room
3.5. Application Analysis
4. Conclusions
- (1)
- Even under extreme conditions where the outdoor temperature reaches 42 °C, the chip cooling system can still stabilize the chip core temperature at 76 °C, enabling uninterrupted natural cooling throughout the year. In addition, this study found that appropriately increasing the control temperature can significantly reduce the heat transfer temperature difference at the system level, thereby improving cooling efficiency.
- (2)
- For two pump-driven cooling systems, excessive flow rates can lead to a significant increase in resistance in the two-phase zone. This increased two-phase resistance will widen the evaporation–condensation temperature difference of the system, adversely affecting overall efficiency. This phenomenon is particularly pronounced in low-pressure pump-driven two-phase cooling systems.
- (3)
- While ensuring stable server operation, precisely controlling the chip temperature, and appropriately increasing the ambient temperature of the data center can significantly reduce the energy consumption of the cooling system, thereby decreasing the overall energy consumption of the data room.
- (4)
- The DTCS demonstrates excellent cooling performance, with an annual average pPUE of 1.078. In most cities in China, the pPUE of this system can be maintained below 1.1, fully demonstrating its enormous potential and application value in energy conservation and emission reduction in data centers.
5. Patents
Author Contributions
Funding
Institutional Review Board Statement
Informed Consent Statement
Data Availability Statement
Acknowledgments
Conflicts of Interest
Abbreviations
| CPU | Central processing unit |
| DTCS | Dual-cycle two-phase cooling system |
| PCTCS | Pump-driven chip-level two-phase cooling system |
| PBTCS | Pump-driven backplane-level two-phase cooling system |
| PHE | Plate heat exchanger |
| FC | Finned-tube condenser |
| CDU | Coolant distribution unit |
| PFHE | Parallel flow heat exchanger |
| PUE | Power usage effectiveness |
| COP | Coefficient of performance |
References
- Nadjahi, C.; Louahlia, H.; Lemasson, S. A review of thermal management and innovative cooling strategies for data center. Sustain. Comput. Inform. Syst. 2018, 19, 14–28. [Google Scholar] [CrossRef]
- Wang, X.; Wen, Q.; Yang, J.; Xiang, J.; Wang, Z.; Weng, C.; Chen, F.; Zheng, S. A review on data centre cooling system using heat pipe technology. Sustain. Comput. Inform. Syst. 2022, 35, 100774. [Google Scholar] [CrossRef]
- Anka, S.K.; Lamptey, N.B.; Choi, J.M. Comparative analysis and optimization of the annual performance for a novel internet data center cooling system. system. J. Build. Eng. 2023, 67, 106064. [Google Scholar] [CrossRef]
- Dayarathna, M.; Wen, Y.; Fan, R. Data Center Energy Consumption Modeling: A Survey. IEEE Commun. Surv. Tutor. 2016, 18, 732–794. [Google Scholar] [CrossRef]
- Yin, Z.; Zhiyuan, W.; Mingshan, Z. Free cooling technologies for data centers: Energy saving mechanism and applications. Energy Procedia 2017, 143, 410–415. [Google Scholar]
- Cho, J.; Lim, T.; Kim, B.S. Viability of datacenter cooling systems for energy efficiency in temperate or subtropical regions: Case study. Energy Build. 2012, 55, 189–197. [Google Scholar] [CrossRef]
- Sun, X.; Zhang, C.; Han, Z.; Dong, J.; Zhang, Y.; Li, M.; Li, X.; Wang, Q.; Wen, Z.; Zheng, B. Experimental study on a novel pump-driven heat pipe/vapor compression system for rack-level cooling of data centers. Energy 2023, 274, 127335. [Google Scholar] [CrossRef]
- Zhang, K.; Zhang, Y.; Liu, J.; Niu, X. Recent advancements on thermal management and evaluation for data centers. Appl. Therm. Eng. 2018, 142, 215–231. [Google Scholar] [CrossRef]
- Cho, J.; Yang, J.; Park, W. Evaluation of air distribution system’s airflow performance for cooling energy savings in high-density data centers. Energy Build. 2014, 68, 270–279. [Google Scholar] [CrossRef]
- Deng, Z.; Zhang, S.; Ma, K.; Jia, C.; Sun, Y.; Chen, X.; Luo, Y.; Li, B.; Li, T. Numerical and experimental study on cooling high power chips of data centers using double-side cooling module based on mini-channel heat sink. Appl. Therm. Eng. 2023, 227, 120282. [Google Scholar] [CrossRef]
- Li, X.; Zhang, C.; Dong, J.; Shan, K.; Han, Z. Feasibility Investigation on a Novel Rack-Level Cooling System for Energy-Saving Retrofit of Medium and Small Data Centers. Appl. Therm. Eng. 2023, 229, 120644. [Google Scholar] [CrossRef]
- Zou, S.; Zhang, Q.; Yue, C.; Wang, J.; Du, S. Study on the performance and free cooling potential of a R32 loop thermosyphon system used in data center. Energy Build. 2022, 256, 111682. [Google Scholar] [CrossRef]
- Yue, C.; Zhang, Q.; Zhai, Z.; Ling, L. Numerical investigation on thermal characteristics and flow distribution of a parallel micro-channel separate heat pipe in data center. Int. J. Refrig. 2019, 98, 150–160. [Google Scholar] [CrossRef]
- Cao, H.; Ding, T.; He, Z.; Li, Z. Research on the refrigerant column height in the downcomer of a two-phase loop thermosyphon. Int. J. Refrig. 2018, 94, 40–48. [Google Scholar] [CrossRef]
- Ding, T.; Chen, X.; Cao, H.; He, Z.; Wang, J.; Li, Z. Principles of loop thermosyphon and its application in data center cooling systems: A review. Renew. Sustain. Energy Rev. 2021, 150, 111389. [Google Scholar] [CrossRef]
- Zhang, P.; Li, X.; Shi, W.; Wang, B.; Rong, X. Experimentally comparative study on two-phase natural and pump-driven loop used in HVAC systems. Appl. Therm. Eng. 2018, 142, 321–333. [Google Scholar] [CrossRef]
- Zhang, P.; Li, X.; Li, R.; Shi, W.; Wang, B. Comparative study of two-phase natural circulation and gas-side mechanically driven loop used in air-conditioning systems. Appl. Therm. Eng. 2019, 153, 848–860. [Google Scholar] [CrossRef]
- Cao, H.; Li, H.; Ding, T.; He, Z.; Li, Z. Research on the refrigerant distribution and distinctive flow phenomena in a two-phase loop thermosyphon through a holistic visualization method. Int. J. Refrig. 2021, 125, 64–74. [Google Scholar] [CrossRef]
- Liu, Y.; Ma, G.; Xue, L.; Zhou, F.; Wang, L. Energy-saving effect of integrated cooling unit with rotary booster and compressor for data center. Int. J. Refrig. 2020, 119, 366–375. [Google Scholar] [CrossRef]
- Xue, L.; Ma, G.; Zhou, F.; Wang, L.; Li, F. Operating characteristics of all-year cooling system integrated with rotary booster and compressor. Appl. Therm. Eng. 2020, 167, 114711. [Google Scholar] [CrossRef]
- Ma, Y.; Ma, G.; Zhang, S.; Xu, S. Experimental investigation on a novel integrated system of vapor compression and pump-driven two phase loop for energy saving in data centers cooling. Energy Convers. Manag. 2015, 106, 194–200. [Google Scholar] [CrossRef]
- Wang, B.; Wang, F.; Yang, M.; Bao, Y.; Geng, X.; Shao, S. Investigation on the two-phase loop cooling system composed of maglev compressor and liquid pump for data centers. Appl. Therm. Eng. 2023, 218, 119377. [Google Scholar] [CrossRef]
- Marcinichen, J.B.; Olivier, J.A.; Thome, J.R. On-chip two-phase cooling of datacenters: Cooling system and energy recovery evaluation. Appl. Therm. Eng. 2012, 41, 36–51. [Google Scholar] [CrossRef]
- Xiang, L.; Cheng, Y.; Yu, X.; Fan, Y.; Yang, X.; Zhang, X.; Xie, B.; Luo, X. High-performance thermal management system for high-power LEDs based on double-nozzle spray cooling. Appl. Therm. Eng. 2023, 231, 121005. [Google Scholar] [CrossRef]
- Dhuchakallaya, I.; Saechan, P. Enhancing the cooling efficiency of the air cooling system for electric vehicle battery modules through liquid spray integration. J. Energy Storage 2023, 72, 108751. [Google Scholar] [CrossRef]
- Liu, P.; Kandasamy, R.; Ho, J.Y.; Wong, T.N.; Toh, K.C. Dynamic performance analysis and thermal modelling of a novel two-phase spray cooled rack system for data center cooling. Energy 2023, 269, 126835. [Google Scholar] [CrossRef]
- Wang, J.-X.; Guo, W.; Xiong, K.; Wang, S.-N. Review of aerospace-oriented spray cooling technology. Prog. Aerosp. Sci. 2020, 116, 100635. [Google Scholar] [CrossRef]
- Kandasamy, R.; Ho, J.Y.; Liu, P.; Wong, T.N.; Toh, K.C.; Chua, S., Jr. Two-phase spray cooling for high ambient temperature data centers: Evaluation of system performance. Appl. Energy 2022, 305, 117816. [Google Scholar] [CrossRef]
- Taddeo, P.; Romaní, J.; Summers, J.; Gustafsson, J.; Martorell, I.; Salom, J. Experimental and numerical analysis of the thermal behaviour of a single-phase immersion-cooled data centre. Appl. Therm. Eng. 2023, 234, 121260. [Google Scholar] [CrossRef]
- Kim, J.; Choi, H.; Lee, S.; Lee, H. Computational study of single-phase immersion cooling for high-energy density server rack for data centers. Appl. Therm. Eng. 2025, 264, 125476. [Google Scholar] [CrossRef]
- Muneeshwaran, M.; Lin, Y.-C.; Wang, C.-C. Performance analysis of single-phase immersion cooling system of data center using FC-40 dielectric fluid. Int. Commun. Heat Mass Transf. 2023, 145, 106843. [Google Scholar] [CrossRef]
- Wu, X.; Yang, J.; Liu, Y.; Zhuang, Y.; Luo, S.; Yan, Y.; Xiao, L.; Han, X. Investigations on heat dissipation performance and overall characteristics of two-phase liquid immersion cooling systems for data center. Int. J. Heat Mass Transf. 2025, 239, 126575. [Google Scholar] [CrossRef]
- Madhour, Y.; Olivier, J.; Costa-Patry, E.; Paredes, S.; Michel, B.; Thome, J.R. Flow Boiling of R134a in a Multi-Microchannel Heat Sink With Hotspot Heaters for Energy-Efficient Microelectronic CPU Cooling Applications. IEEE Trans. Compon. Packag. Manuf. Technol. 2011, 1, 873–883. [Google Scholar] [CrossRef]
- Pan, M.; Hu, M.; Wang, H. Study of the performance of an integrated liquid cooling heat sink for high-power IGBTs. Appl. Therm. Eng. 2021, 190, 116827. [Google Scholar] [CrossRef]
- Xue, Z.H.; Ai, B.C.; Qu, W. Data center energy conservation study utilizing loop heat pipes as a chip-level cooling technique and its industrial application. Appl. Therm. Eng. 2023, 220, 119715. [Google Scholar] [CrossRef]
- Wang, L.; Cheng, H.; Yang, T.; Yuan, W.; Ren, K. Experimental study of pump-driven chip-level two-phase cooling system for data centres. Indoor Built Environ. 2024, 33, 57–73. [Google Scholar] [CrossRef]
- Díaz, A.J.; Cáceres, R.; Torres, R.; Cardemil, J.M.; Silva-Llanca, L. Effect of climate conditions on the thermodynamic performance of a data center cooling system under water-side economization. Energy Build. 2020, 208, 109634. [Google Scholar] [CrossRef]
- Cho, J.; Park, B.; Jang, S. Development of an independent modular air containment system for high-density data centers: Experimental investigation of row-based cooling performance and PUE. Energy 2022, 258, 124787. [Google Scholar] [CrossRef]
- Sultan, H.; Sarangi, S.R. Exhibition A fast leakage aware thermal simulator for 3D chips. In Proceedings of the 2017 Design, Automation & Test in Europe Conference & Exhibition (DATE), Lausanne, Switzerland, 27–31 March 2017; pp. 1733–1738. [Google Scholar]
















| Parameter | Regular Cold Plate | Microchannel Cold Plate |
|---|---|---|
| Wc (mm) | 1 | 0.1 |
| Wf (mm) | 1 | 0.1 |
| Hc (mm) | 2 | 3 |
| Hb (mm) | 2 | 2 |
| Instrumentation | Brand | Model | Range | Precision |
|---|---|---|---|---|
| PID controller | Hongrun | E300 | −150–150 °C | ±0.1 °C |
| Chiller | Changhong | AL-300 | 5 HP | - |
| Server | IBM | X5680 | 0–100 °C | ±1.0 °C |
| Pump | Suofu | NP190 | 0–10 L/min | - |
| Flowmeter | Weill | WL-LWDN4 | 0.67–4.17 L/min | ±0.2% |
| Anemometer | Testo | 405-V1 | 0–10 m/s | ±0.1 m/s |
| Temperature sensor | Stars sensors | CWDZ11 | 0–100 °C | ±0.1 °C |
| Power monitor | Gcnzdes | DTS4921 | 10 kW | ±0.2% |
| Cooling System | Measurement Object | Symbol | Range (kPa) | Precision |
|---|---|---|---|---|
| PCTCS | Inlet of liquid phase manifold | p101 | 0–500 | ±0.1% |
| Middle of cold plate evaporators | p102 | |||
| Bottom of two-phase manifold | p103 | |||
| Reservoir of internal loop | p105 | |||
| Inlet of PHE | p201 | 0–1200 | ||
| Outlet of PHE | p202 | |||
| Reservoir of external loop | p203 | |||
| PBTCS | Inlet of PFHE | p301 | ||
| Outlet of PFHE | p302 | |||
| Inlet of FC | p303 | |||
| Inlet of PHE | p304 | |||
| Reservoir | p305 |
| Name | Parameter | Microchannel Cold Plate |
|---|---|---|
| Temperature | T | 0.14 °C |
| Differential pressure | Δp | 0.3% |
| Mass flow rate | 0.104 kg/s | |
| Cooling capacity | Q | 4.36% |
| Coefficient of performance | COP | 7.12% |
| Partial power usage effectiveness | pPUE | 0.26% |
| Models | PCTCS | PBTCS |
|---|---|---|
| External Loop Reservoir Temperature (°C) | Data Cabinet Outlet Air Temperature (°C) | |
| Model 1 | 35 | 24 |
| Model 2 | 27 | |
| Model 3 | 30 | |
| Model 4 | 33 | |
| Model 5 | 45 | 24 |
| Model 6 | 27 | |
| Model 7 | 30 | |
| Model 8 | 33 |
| City | Basis of Division | Latitude | Longitude | Climate Zone | |
|---|---|---|---|---|---|
| Mean Monthly Temperature | Daily Mean Temperature | ||||
| Harbin | Tmin,m ≤ −10 °C 1 | 145 ≤ d≤5°C 2 | 45.75 N | 126.77 E | Severe cold |
| Beijing | −10 °C < Tmin,m ≤ 0 °C | 90 ≤ d≤5°C ≤ 145 | 39.80 N | 116.47 E | Cold |
| Shanghai | 0 °C < Tmin,m ≤ 10 °C 25 °C < Tmax,m ≤ 30 °C 1 | 0 ≤ d≤5°C ≤ 90 40 ≤ d≥25°C < 110 2 | 31.40 N | 31.40 N | Hot summer and cold winter |
| Guangzhou | 0 °C < Tmin,m ≤ 10 °C 25 °C < Tmax,m ≤ 30 °C | 100 ≤ d≥25°C < 200 | 23.17 N | 113.33 E | Hot summer and warm winter |
Disclaimer/Publisher’s Note: The statements, opinions and data contained in all publications are solely those of the individual author(s) and contributor(s) and not of MDPI and/or the editor(s). MDPI and/or the editor(s) disclaim responsibility for any injury to people or property resulting from any ideas, methods, instructions or products referred to in the content. |
© 2025 by the authors. Licensee MDPI, Basel, Switzerland. This article is an open access article distributed under the terms and conditions of the Creative Commons Attribution (CC BY) license (https://creativecommons.org/licenses/by/4.0/).
Share and Cite
Cheng, H.; Yang, T.; Zhao, Y.; Wang, L.; Yuan, W.; Ren, K. Experimental Study of a Novel Prototype of Dual-Cycle Two-Phase Cooling System for a Data Cabinet. Appl. Sci. 2025, 15, 2386. https://doi.org/10.3390/app15052386
Cheng H, Yang T, Zhao Y, Wang L, Yuan W, Ren K. Experimental Study of a Novel Prototype of Dual-Cycle Two-Phase Cooling System for a Data Cabinet. Applied Sciences. 2025; 15(5):2386. https://doi.org/10.3390/app15052386
Chicago/Turabian StyleCheng, Hao, Tongzhi Yang, Yifan Zhao, Leixin Wang, Weixing Yuan, and Kexian Ren. 2025. "Experimental Study of a Novel Prototype of Dual-Cycle Two-Phase Cooling System for a Data Cabinet" Applied Sciences 15, no. 5: 2386. https://doi.org/10.3390/app15052386
APA StyleCheng, H., Yang, T., Zhao, Y., Wang, L., Yuan, W., & Ren, K. (2025). Experimental Study of a Novel Prototype of Dual-Cycle Two-Phase Cooling System for a Data Cabinet. Applied Sciences, 15(5), 2386. https://doi.org/10.3390/app15052386

