Experimental Study on the Influence of Permeation Deformation of Limestone with Different Moisture Contents in Deep-Water Environments
Abstract
1. Introduction
2. Materials and Methods
2.1. Experimental Equipment
2.2. Preparation of Experimental Specimens
2.3. Experimental Methods
- Step 1:
- Dry condition. First, a cyclic pressurization and depressurization test is carried out on the dry core. During this process, the strain law of the core in the anhydrous state is carefully observed and recorded in detail.
- Step 2:
- 50% water content condition. For the core with a water content of 50%, the above-mentioned pressurization and depressurization cyclic process is repeated to deeply analyze the strain characteristics of the core under this water content.
- Step 3:
- 80% water content condition. The same pressurization and depressurization cyclic process is performed on the core with a water content of 80%, aiming to analyze the strain characteristics of the core under this water content condition.
- Step 4:
- 100% water content condition. The same pressurization and depressurization cyclic test is again carried out on the core with a water content of 100% to explore the strain law of the core in the fully saturated water state. During each stress–stable stage, the specimen needs to be maintained for 60 s to ensure the accuracy of the obtained data. Strain gauges are arranged on the top of the core to monitor its deformation in real-time. Through the detailed recording and in-depth analysis of these data, the deformation law and internal mechanism of the core during the cyclic pressurization and depressurization process under different water content conditions can be comprehensively studied.
Experimental Results and Analysis
3. Conclusions
3.1. Influence of Moisture Content on Water Absorption, Expansion, and Strain of Core
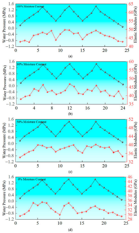
3.2. Relationship Between Water Pressure and Rock Elastic Modulus and Strain Rate
3.3. Influence of Moisture Content on Rock Deformation Characteristic Parameters
Author Contributions
Funding
Institutional Review Board Statement
Informed Consent Statement
Data Availability Statement
Acknowledgments
Conflicts of Interest
References
- Yuan, D.; Wei, B.; Xie, B.; Zhong, Z. Modified Dam Deformation Monitoring Model Considering Periodic Component Contained in Residual Sequence. Struct. Control. Health Monit. 2020, 27, e2633. [Google Scholar] [CrossRef]
- Yuan, R.; Su, C.; Cao, E.; Hu, S.; Zhang, H. Exploration of Multi-Scale Reconstruction Framework in Dam Deformation Prediction. Appl. Sci. 2021, 11, 7334. [Google Scholar] [CrossRef]
- Ren, Q.; Li, M.; Song, L.; Liu, H. An Optimized Combination Prediction Model for Concrete Dam Deformation Considering Quantitative Evaluation and Hysteresis Correction. Adv. Eng. Inform. 2020, 46, 101154. [Google Scholar] [CrossRef]
- Yang, Q.; Pan, W.Z.; Cheng, L.; Liu, Y.B.; Zhou, Z.Q.; Xue, L.J. Mechanism of valley deformation of high arch dam and effective stress principle for unsaturated fractured rock mass. Chin. J. Rock Mech. Eng. 2015, 34, 2258–2269. [Google Scholar] [CrossRef]
- Cheng, H.; Zhang, G.; Liao, J.; Zhou, Q.; Liu, Y.; Li, H.; Quan, Y. A Analysis on characteristics and influencing factors of valley deformation of high arch dam. Water Resour. Hydropower Eng. 2020, 51, 65–70. [Google Scholar] [CrossRef]
- Xu, J.R.; Wang, X.W.; Wang, J.X.; He, M.J.; Zhang, W.D.; Liu, Y.R.; Yang, Q. Mechanism of reservoir bank deformation during initial impoundment of Baihetan arch dam. J. Hydroelectr. Eng. 2022, 41, 31–41. [Google Scholar]
- Gu, Z.; Shen, R.; Liu, Z.; Zhou, X.; Wang, X. Study on Energy Consumption and Failure Mechanism of Water-Saturated Coal Sample during Impact Cracking. Geomech. Energy Environ. 2024, 40, 100593. [Google Scholar] [CrossRef]
- Li, X.F.; Li, X.; Li, H.B.; Zhang, Q.B.; Zhao, J. Dynamic Tensile Behaviours of Heterogeneous Rocks: The Grain Scale Fracturing Characteristics on Strength and Fragmentation. Int. J. Impact Eng. 2018, 118, 98–118. [Google Scholar] [CrossRef]
- Torok, A.; Vasarhelyi, B. The Influence of Fabric and Water Content on Selected Rock Mechanical Parameters of Travertine, Examples from Hungary. Eng. Geol. 2010, 115, 237–245. [Google Scholar] [CrossRef]
- Hashiba, K.; Fukui, K. Effect of Water on the Deformation and Failure of Rock in Uniaxial Tension. Rock Mech. Rock Eng. 2015, 48, 1751–1761. [Google Scholar] [CrossRef]
- Cai, X.; Zhou, Z.; Du, X. Water-Induced Variations in Dynamic Behavior and Failure Characteristics of Sandstone Subjected to Simulated Geo-Stress. Int. J. Rock Mech. Min. Sci. 2020, 130, 104339, Corrigendum in Int. J. Rock Mech. Min. Sci. 2020, 135, 104451. [Google Scholar] [CrossRef]
- Roy, D.G.; Singh, T.N.; Kodikara, J.; Das, R. Effect of Water Saturation on the Fracture and Mechanical Properties of Sedimentary Rocks. Rock Mech. Rock Eng. 2017, 50, 2585–2600. [Google Scholar] [CrossRef]
- Kou, M.; Liu, X.; Tang, S.; Wang, Y. 3-D X-Ray Computed Tomography on Failure Characteristics of Rock-like Materials under Coupled Hydro-Mechanical Loading. Theor. Appl. Fract. Mech. 2019, 104, 102396. [Google Scholar] [CrossRef]
- Colback, P.; Wiid, B.L. The Influence of Moisture Content on the Compressive Strength of Rocks; Society of Exploration Geophysicists: Houston, TX, USA, 1965. [Google Scholar]
- Burshtein, L.S. Effect of moisture on the strength and deformability of sandstone. Sov. Min. Sci. 1969, 5, 573–576. [Google Scholar] [CrossRef]
- Chen, X.; Eichhubl, P.; Olson, J.E. Effect of Water on Critical and Subcritical Fracture Properties of Woodford Shale. J. Geophys. Res. Solid Earth 2017, 122, 2736–2750. [Google Scholar] [CrossRef]
- Tang, S.B.; Yu, C.Y.; Heap, M.J.; Chen, P.Z.; Ren, Y.G. The Influence of Water Saturation on the Short- and Long-Term Mechanical Behavior of Red Sandstone. Rock Mech. Rock Eng. 2018, 51, 2669–2687. [Google Scholar] [CrossRef]
- Kim, E.; Changani, H. Effect of Water Saturation and Loading Rate on the Mechanical Properties of Red and Buff Sandstones. Int. J. Rock Mech. Min. Sci. 2016, 88, 23–28. [Google Scholar] [CrossRef]
- Tian, N.C.; Wang, Z.L.; Xiong, F.; Liu, Z.Y. The Influence of Axial Influence of axial pressure on dynamic mechanical properties of granite under cyclic impact loading. J. Harbin Inst. Technol. 2021, 53, 156–164. [Google Scholar]
- Wang, Z.L.; Yang, H.; Tian, N.C. Mechanical Properties and Damage Evolution Mechanism of Granite under Uniaxial Cyclic Impact. J. Harbin Inst. Technol. 2020, 52, 59–66. [Google Scholar]
- Shen, R.; Wang, X.; Gu, Z.; Yan, S.; Tan, E.; Zhang, L.; Wang, E.; Zhao, E. Analysis of the Dynamic Impact Behavior and Fracture Mechanism of Coal Samples at Various Temperatures. Eng. Fract. Mech. 2024, 310, 110481. [Google Scholar] [CrossRef]
- Liu, X.; Cai, D.; Gu, Z.; Zhang, S.; Zhou, X.; Gao, A.; Lund, H.; Kaiser, M.J. Analysis of Progressive Damage and Energy Consumption Characteristics of Gas-Bearing Coal under Cyclic Dynamic Loads. Energy 2024, 306, 132419. [Google Scholar] [CrossRef]
- Zhang, J.; Xi, X.; Tan, W.; Wu, X.; Wu, X.; Guo, Q.; Cai, M. Experimental Investigation of Failure Mechanisms of Granites with Prefabricated Cracks Induced by Cyclic-Impact Disturbances. Energies 2022, 15, 3680. [Google Scholar] [CrossRef]
- Li, H.; Qiao, Y.; Shen, R.; He, M.; Cheng, T.; Xiao, Y.; Tang, J. Effect of Water on Mechanical Behavior and Acoustic Emission Response of Sandstone during Loading Process: Phenomenon and Mechanism. Eng. Geol. 2021, 294, 106386. [Google Scholar] [CrossRef]
- Liu, L.; Han, H.; Yang, P.; Dai, Y.; Chen, N.; Xu, T. Geological Characteristics and Uses of Yangxin Formation Tuffs in Longmenshan Area, Sichuan. Geol. Resour. 2019, 28, 448–453. [Google Scholar] [CrossRef]
- Yan, Z.; Xu, J.; Zheng, L.; Peng, S.; Yang, R.; Liang, C. Study on Mechanical Properties and Stress-Strain Relationships of Rocks under Different Water Content States. Min. Res. Dev. 2023, 43, 86–90. [Google Scholar] [CrossRef]
- Abu Bakar, M.Z.; Majeed, Y.; Rostami, J. Effects of Rock Water Content on CERCHAR Abrasivity Index. Wear 2016, 368–369, 132–145. [Google Scholar] [CrossRef]
- Zhu, J.; Deng, J.; Chen, F.; Wang, F. Failure Analysis of Water-Bearing Rock under Direct Tension Using Acoustic Emission. Eng. Geol. 2022, 299, 106541. [Google Scholar] [CrossRef]
- Zhang, L. Evaluation of Rock Mass Deformability Using Empirical Methods—A Review. Undergr. Space 2017, 2, 1–15. [Google Scholar] [CrossRef]
- Zhu, J.; Deng, J.; Ma, Y.; Pak, R.Y.S.; Zhang, Z. Experimental Study on the Competing Effects of Strain Rate and Water Weakening on Compressive Strength of Saturated Rocks. Eng. Geol. 2022, 310, 106873. [Google Scholar] [CrossRef]
- Ying, F.; Yang, S.; Zhang, M.; Li, F.; Zhou, H. Application of Laser Scanning Confocal Microscope to the Measurement ofPore Texture in Reservoirs. Acta Sedimentol. Sin. 2002, 20, 75–79. [Google Scholar]













| Moisture Content (%) | Average Strain Mutation (10−6) | Average Strain Rate Amplitude (S−1) | Elastic Modulus (GPa) |
|---|---|---|---|
| 0 | 6.79 | 2.08 | 29.44 |
| 50 | 5.58 | 1.28 | 34.20 |
| 80 | 5.26 | 0.48 | 38.04 |
| 100 | 4.67 | 0.34 | 42.87 |
| Water Content % | Porosity % | Movable Fluid Saturation % | Permeability | |
|---|---|---|---|---|
| Pre-laboratory | 0 | 1.25 | 20.93742308 | 4.04775 × 10−5 |
| 50% | 1.29 | 16.56704005 | 3.95992 × 10−5 | |
| 80% | 1.53 | 12.05056763 | 4.75 × 10−6 | |
| 100% | 1.76 | 6.163999155 | 3.14 × 10−6 | |
| Post-experiment | 0 | 1.16 | 18.43742308 | 3.65992 × 10−5 |
| 50% | 1.21 | 15.36704005 | 3.14775 × 10−5 | |
| 80% | 1.49 | 11.25056763 | 3.88857 × 10−6 | |
| 100% | 1.68 | 5.763999155 | 2.03 × 10−6 |
Disclaimer/Publisher’s Note: The statements, opinions and data contained in all publications are solely those of the individual author(s) and contributor(s) and not of MDPI and/or the editor(s). MDPI and/or the editor(s) disclaim responsibility for any injury to people or property resulting from any ideas, methods, instructions or products referred to in the content. |
© 2025 by the authors. Licensee MDPI, Basel, Switzerland. This article is an open access article distributed under the terms and conditions of the Creative Commons Attribution (CC BY) license (https://creativecommons.org/licenses/by/4.0/).
Share and Cite
Hou, C.; Cheng, H.; Tan, D.; Lei, Y.; Jiang, C.; Zhao, Y.; Tian, J. Experimental Study on the Influence of Permeation Deformation of Limestone with Different Moisture Contents in Deep-Water Environments. Appl. Sci. 2025, 15, 2387. https://doi.org/10.3390/app15052387
Hou C, Cheng H, Tan D, Lei Y, Jiang C, Zhao Y, Tian J. Experimental Study on the Influence of Permeation Deformation of Limestone with Different Moisture Contents in Deep-Water Environments. Applied Sciences. 2025; 15(5):2387. https://doi.org/10.3390/app15052387
Chicago/Turabian StyleHou, Chunyao, Heng Cheng, Dawen Tan, Yanan Lei, Chenfang Jiang, Yuntian Zhao, and Jingjie Tian. 2025. "Experimental Study on the Influence of Permeation Deformation of Limestone with Different Moisture Contents in Deep-Water Environments" Applied Sciences 15, no. 5: 2387. https://doi.org/10.3390/app15052387
APA StyleHou, C., Cheng, H., Tan, D., Lei, Y., Jiang, C., Zhao, Y., & Tian, J. (2025). Experimental Study on the Influence of Permeation Deformation of Limestone with Different Moisture Contents in Deep-Water Environments. Applied Sciences, 15(5), 2387. https://doi.org/10.3390/app15052387
