Flow Characteristics and Loss Mechanism of Tip Leakage Flow in Mining Contra-Rotating Axial Flow Fan
Abstract
1. Introduction
2. Numerical Calculation Methodology
2.1. Mining Contra-Rotating Axial Fan Model
2.2. Numerical Schemes and Boundary Conditions
2.3. Grid Generation and Independent Validation
2.4. Dissipation Loss Theory
3. Results and Discussion
3.1. Experimental Validation
3.2. Tip Leakage Flow Pattern and Vortex Trajectory
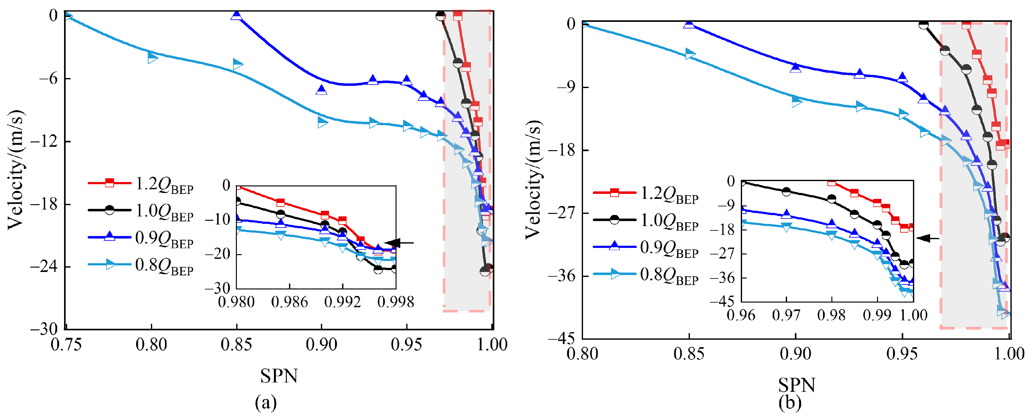
3.3. Backflow Velocity Distribution of Tip Clearance
3.4. Loss Mechanism of Tip Clearance Leakage Flow
4. Conclusions
- (1)
- Due to the clearance between the blade tip and the shroud, leakage flow occurs within this gap. When the flow rate surpasses 1.0 QBEP, the complex flow field near the blade tip is mainly caused by the tip leakage flow. The interaction between the tip leakage flow and the mainstream in the impeller flow passage forms a long helical leakage vortex. Under small flow rates, the tip leakage flow and the leading edge overflow are the main causes of the flow field disturbance within the impeller flow passage.
- (2)
- The flow rate has a significant impact on the structure and trajectory of the leakage vortex. For the front impeller, under large flow rates, the initial position of the vortex core is close to the middle of the blade tip. As the flow rate decreases, the initial position of the vortex core gradually moves towards the leading edge of the blade. During the propagation of the vortex from its initial position downstream, it gradually approaches the pressure side of the next stage blade, and the vortex structure evolves from an initially circular shape into a flattened elliptical shape. As the flow rate decreases, the distance between the vortex trajectory line and the blade pressure surface becomes increasingly smaller. Under the flow rates ranging from 1.0 QBEP to 1.2 QBEP, the vortex structure and vortex core trajectory line of the rear impeller are relatively similar to those of the front impeller. However, at 0.9 QBEP, for the front impeller, the direction of the vortex core trajectory line changes near the leading edge of the next stage blade and ultimately extends downstream along the pressure surface of the next stage blade. In contrast, the trajectory line of the rear impeller still shows an overall linear trend and ultimately extends towards the suction surface of the next stage blade.
- (3)
- The tip leakage flow and leading edge overflow form backflow within the impeller. When the flow rate exceeds 1.0 QBEP, backflow primarily occurs in the area near the leakage vortex. As the flow rate decreases, the region of tip backflow significantly increases. For the front impeller, the backflow mainly appears in the region from the inlet of the impeller to the blade trailing edge, which is entirely covered by backflow. Additionally, the backflow velocity in the region near the impeller outlet is generally high. For the rear impeller, the region from the inlet of the impeller to the blade trailing edge is almost entirely covered by backflow, and this backflow will enter the flow passage of the front impeller, thereby causing backflow in the outlet region of the front impeller.
- (4)
- Under large flow rates, the spiral vortex caused by the tip leakage flow is the main cause of energy loss. However, under low flow rates, the combined action of backflow, tip leakage flow, and leading edge overflow are the key factors for the increased energy loss. Moreover, the backflow of fluid from the rear impeller inlet to the front impeller outlet will further intensify the generation of energy loss.
Author Contributions
Funding
Institutional Review Board Statement
Informed Consent Statement
Data Availability Statement
Acknowledgments
Conflicts of Interest
References
- Zhou, F.B.; Xin, H.H.; Wei, L.J. Research progress of mine intelligent ventilation theory and technology. Coal Sci. Technol. 2023, 51, 313–328. [Google Scholar]
- Zhang, Q.H.; Yao, Y.H.; Zhao, J.Y. Status of mine ventilation technology in China and prospects for intelligent development. Coal Sci. Technol. 2020, 48, 97–103. [Google Scholar]
- Hao, H.Q.; Jiang, S.G.; Wu, Z.G.; Wang, K.; Xi, X. Experimental study on precise control air quantity on demand by the cooperation of multiple main fans in mine. J. Clean. Prod. 2023, 414, 137626. [Google Scholar] [CrossRef]
- Chen, Q.G.; Xu, Y.H.; Guo, W. Influence of axial spacing on stall development of FBCDZ-10-No20 mode contra-rotating fan. Coal Sci. Technol. 2023, 51, 229–236. [Google Scholar]
- Ai, Z.J.; Qin, G.L.; Lin, J.X. Variable-speed method for improving the performance of a mine counter-rotating fan. Energy Sci. Eng. 2020, 8, 2412–2425. [Google Scholar] [CrossRef]
- Sun, X.B.; Meng, D.W.; Liu, B.W.; Wang, Q. Numerical investigation of differential speed operation of two impellers of contra-rotating axial-flow fan. Adv. Mech. Eng. 2017, 9, 1687814017720083. [Google Scholar] [CrossRef]
- Jung, H.J.; Joo, W. Effect of tip clearance, winglets, and shroud height on the tip leakage in axial flow fans. Int. J. Refrig. 2018, 93, 195–204. [Google Scholar] [CrossRef]
- Mostafa, M.; Chao, Z.; Site, H. Effect of tip geometry on the performance of low-speed axial flow fan. Int. J. Refrig. 2022, 134, 16–23. [Google Scholar]
- Li, B.; Lu, Q.; Jiang, B.Y.; Yang, J.W.; Wang, J.; Xie, J.L. Effects of outer edge bending on the aerodynamic and noise characters of axial fan for air conditioners. Processes 2022, 10, 686. [Google Scholar] [CrossRef]
- Ye, X.; Li, P.; Li, C. Numerical investigation of blade tip grooving effect on performance and dynamics of an axial flow fan. Energy 2015, 82, 556–569. [Google Scholar] [CrossRef]
- Guo, Q.; Zhu, X.C.; Hu, D.M.; Du, Z.H. The investigation of tip leakage flow of an axial fan by PIV. Exp. Meas. Fluid. Mech. 2004, 18, 33–37. [Google Scholar]
- Lee, H.; Park, K.; Choi, H. Experimental investigation of tip-leakage flow in an axial flow fan at various flow rates. J. Mech. Sci. Technol. 2019, 33, 1271–1278. [Google Scholar] [CrossRef]
- Jin, Y.G.; Ouyang, H.; Wu, D.Y. Experimental and numerical investigations of the tip leakage flow of axial fans with circumferential skewed blades under off-design conditions. Proc. Inst. Mech. Eng. Part C J. Mech. Eng. Sci. 2010, 224, 1203–1216. [Google Scholar] [CrossRef]
- Wang, J.; Yao, R.F.; Liu, J.; Yu, W.W.; Qiu, X. Influence of tip clearance on external performance and tip leakage vortex of low-pressure axial fan. Fluid Mach. 2011, 39, 26–29+5. [Google Scholar]
- Luo, B.; Chu, W.; Zhang, H. Tip leakage flow and aeroacoustics analysis of a low-speed axial fan. Aerosp. Sci. Technol. 2020, 98, 105700. [Google Scholar] [CrossRef]
- Adrián, G.V.; Andrés, F.M.; Manuel, J.F. Stator–rotor interaction in the tip leakage flow of an inlet vaned low-speed axial fan. Int. J. Numer. Methods Heat Fluid Flow 2020, 30, 4425–4452. [Google Scholar]
- Ye, X.M.; Cui, J.G.; Li, C.X. Optimization of Tip Clearance Patterns of Variable-pitch Axial Flow Fan. J. Syst. Simul. 2018, 30, 3939–3948. [Google Scholar]
- Park, K.; Choi, H.; Choi, S. Effect of a casing fence on the tip-leakage flow of an axial flow fan. Int. J. Heat Fluid Flow 2019, 77, 157–170. [Google Scholar] [CrossRef]
- Xu, J.; Tan, C.; Chen, H. Influence of tip clearance on performance of a contra-rotating fan. J. Therm. Sci. 2009, 18, 207–214. [Google Scholar] [CrossRef]
- Luan, H.; Chen, Q.; Weng, L. Effect of counter-rotating fan’s speed matching on stall inception and characteristics of tip clearance flow. J. Vibroeng. 2017, 19, 4630–4643. [Google Scholar] [CrossRef][Green Version]
- Gao, G.J.; You, Q.S.; Kou, Z.M.; Zhang, X.; Gao, X.Q. Simulation of the influence of wing angle blades on the performance of counter-rotating axial fan. Appl. Sci. 2022, 12, 1968. [Google Scholar] [CrossRef]
- Jung, J.H.; Joo, W.G. The effect of the entrance hub geometry on the efficiency in an axial flow fan. Int. J. Refrig. 2019, 101, 90–97. [Google Scholar] [CrossRef]
- Tian, C.Y.; Liu, X.M.; Wang, J.H. Effects of bionic blades inspired by the butterfly wing on the aerodynamic performance and noise of the axial flow fan used in air conditioner. Int. J. Refrig. 2022, 140, 17–28. [Google Scholar] [CrossRef]
- Xie, H.; Luo, X.; Feng, J. Energy performance and flow characteristics of a pump-turbine under pump mode at different guide vane openings. J. Energy Storage 2024, 97, 112743. [Google Scholar] [CrossRef]
- Kock, F.; Herwig, H. Local entropy production in turbulent shear flows: A high-Reynolds number model with wall functions. Int. J. Heat. Mass. Transf. 2004, 47, 2205–2215. [Google Scholar] [CrossRef]
- Herwig, H.; Kock, F. Direct and indirect methods of calculating entropy generation rates in turbulent convective heat transfer problems. Heat. Mass. Transf. 2007, 43, 207–215. [Google Scholar] [CrossRef]
- Herwig, H.; Kock, F. Local entropy production in turbulent shear flows: A tool for evaluating heat transfer performance. J. Therm. Sci. 2006, 15, 159–167. [Google Scholar] [CrossRef]
















| Parameters | Value |
|---|---|
| Front impeller blade number | 14 |
| Rear impeller blade number | 13 |
| Blade tip clearance | 1.5 mm |
| Front impeller angular velocity | 2960 r/min |
| Rear impeller angular velocity | 2960 r/min |
| Impeller diameter | 710 mm |
| Hub diameter | 387 mm |
Disclaimer/Publisher’s Note: The statements, opinions and data contained in all publications are solely those of the individual author(s) and contributor(s) and not of MDPI and/or the editor(s). MDPI and/or the editor(s) disclaim responsibility for any injury to people or property resulting from any ideas, methods, instructions or products referred to in the content. |
© 2025 by the authors. Licensee MDPI, Basel, Switzerland. This article is an open access article distributed under the terms and conditions of the Creative Commons Attribution (CC BY) license (https://creativecommons.org/licenses/by/4.0/).
Share and Cite
Chen, Y.; Liu, R.; Peng, W.; Chen, S. Flow Characteristics and Loss Mechanism of Tip Leakage Flow in Mining Contra-Rotating Axial Flow Fan. Appl. Sci. 2025, 15, 2232. https://doi.org/10.3390/app15042232
Chen Y, Liu R, Peng W, Chen S. Flow Characteristics and Loss Mechanism of Tip Leakage Flow in Mining Contra-Rotating Axial Flow Fan. Applied Sciences. 2025; 15(4):2232. https://doi.org/10.3390/app15042232
Chicago/Turabian StyleChen, Yongping, Ronghua Liu, Wenqing Peng, and Shiqiang Chen. 2025. "Flow Characteristics and Loss Mechanism of Tip Leakage Flow in Mining Contra-Rotating Axial Flow Fan" Applied Sciences 15, no. 4: 2232. https://doi.org/10.3390/app15042232
APA StyleChen, Y., Liu, R., Peng, W., & Chen, S. (2025). Flow Characteristics and Loss Mechanism of Tip Leakage Flow in Mining Contra-Rotating Axial Flow Fan. Applied Sciences, 15(4), 2232. https://doi.org/10.3390/app15042232

