The Concordance Between the Clínica Universidad de Navarra Body Adiposity Estimator and a Bioelectrical Impedance Analysis in Assessing the Body Fat of Athletes
Abstract
Featured Application
Abstract
1. Introduction
2. Materials and Methods
2.1. Study Design
2.2. Variables and Measurements
2.3. Statistical Analysis
3. Results
3.1. The Bivariate Analysis
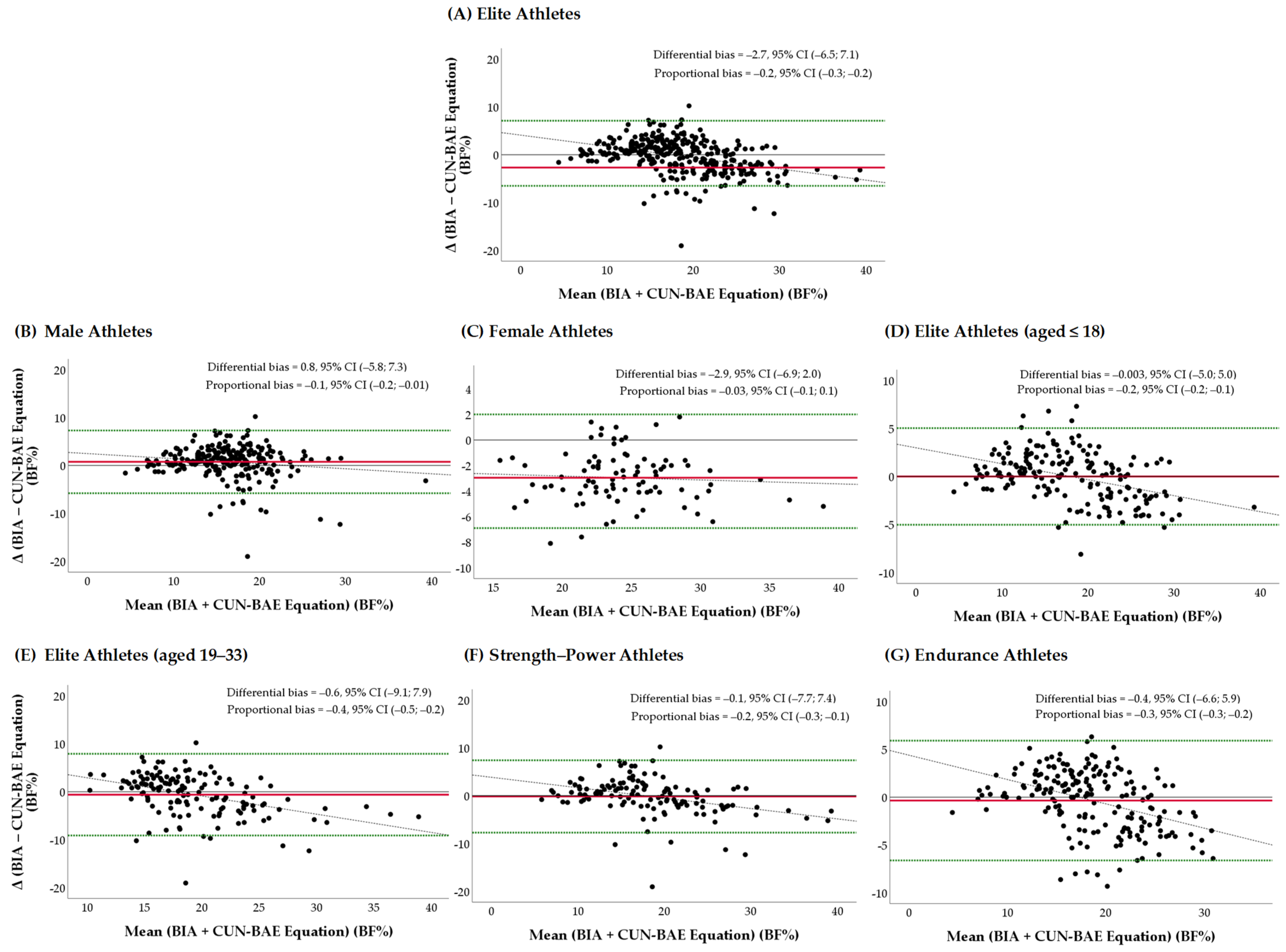
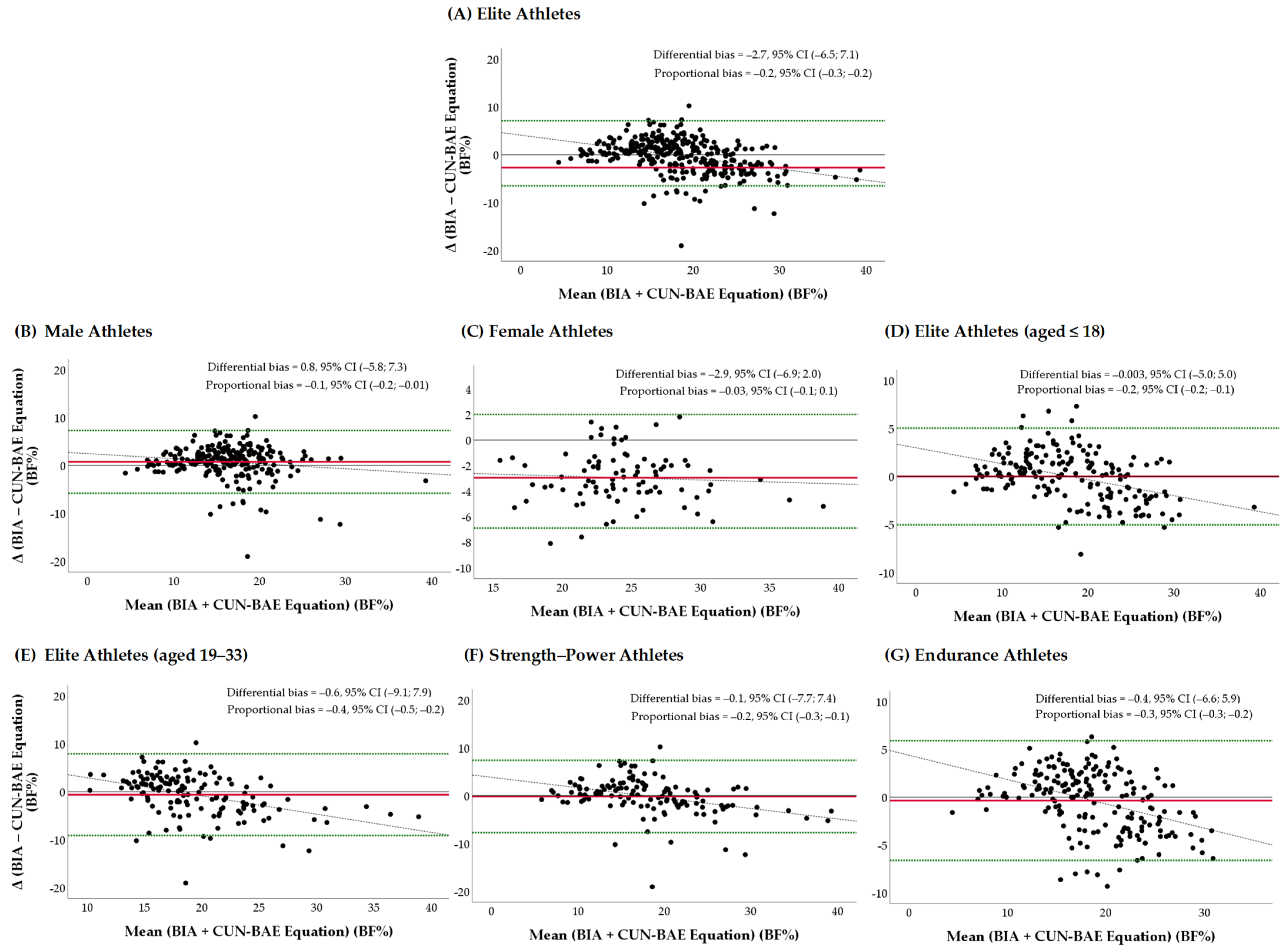
3.2. The Bland–Altman Analysis
4. Discussion
4.1. The CUN-BAE for Intervention Goals
4.2. The CUN-BAE for Population-Based Goals
4.3. Limitations
5. Conclusions
Author Contributions
Funding
Institutional Review Board Statement
Informed Consent Statement
Data Availability Statement
Conflicts of Interest
References
- Padwal, R.; Majumdar, S.R.; Leslie, W.D. Relationship among body fat percentage, body mass index, and all-cause mortality. Ann. Intern. Med. 2016, 165, 604. [Google Scholar] [CrossRef] [PubMed]
- Ackland, T.R.; Lohman, T.G.; Sundgot-Borgen, J.; Maughan, R.J.; Meyer, N.L.; Stewart, A.D.; Müller, W. Current status of body composition assessment in sport: Review and position statement on behalf of the ad hoc research working group on body composition health and performance, under the auspices of the I.O.C. Medical Commission. Sports Med. 2012, 42, 227–249. [Google Scholar] [CrossRef] [PubMed]
- Lukaski, H.; Raymond-Pope, C.J. New frontiers of body composition in sport. Int. J. Sports Med. 2021, 42, 588–601. [Google Scholar] [CrossRef]
- Mathisen, T.F.; Ackland, T.; Burke, L.M.; Constantini, N.; Haudum, J.; Macnaughton, L.S.; Meyer, N.L.; Mountjoy, M.; Slater, G.; Sundgot-Borgen, J. Best practice recommendations for body composition considerations in sport to reduce health and performance risks: A critical review, original survey and expert opinion by a subgroup of the IOC consensus on Relative Energy Deficiency in Sport (REDs). Br. J. Sports Med. 2023, 57, 1148–1158. [Google Scholar] [CrossRef]
- Franchini, E.; Brito, C.J.; Artioli, G.G. Weight loss in combat sports: Physiological, psychological and performance effects. J. Int. Soc. Sports Nutr. 2012, 9, 52. [Google Scholar] [CrossRef] [PubMed]
- Martinsen, M.; Sundgot-Borgen, J. Higher prevalence of eating disorders among adolescent elite athletes than controls. Med. Sci. Sports. Exerc. 2013, 45, 1188–1197. [Google Scholar] [CrossRef]
- Sundgot-Borgen, J.; Torstveit, M.K. Aspects of disordered eating continuum in elite high-intensity sports. Scand. J. Med. Sci. Sports 2010, 20, 112–121. [Google Scholar] [CrossRef]
- Heymsfield, S.; Lohman, T.; Wang, Z.; Going, S.B. Human Body Composition; Human Kinetics: Champaign, IL, USA, 2005; Volume 918. [Google Scholar]
- MacDonald, A.J.; Greig, C.A.; Baracos, V. The advantages and limitations of cross-sectional body composition analysis. Curr. Opin. Support. Palliat. Care 2011, 5, 342–349. [Google Scholar] [CrossRef]
- Bentzur, K.M.; Kravitz, L.; Lockner, D.W. Evaluation of the BOD POD for estimating percent body fat in collegiate track and field female athletes: A comparison of four methods. J. Strength Cond. Res. 2008, 22, 1985–1991. [Google Scholar] [CrossRef]
- Borga, M.; West, J.; Bell, J.; Harvey, N.; Romu, T.; Heymsfield, S.B.; Leinhard, O.D. Advanced body composition assessment: From body mass index to body composition profiling. J. Investig. Med. 2018, 66, 1–9. [Google Scholar] [CrossRef] [PubMed]
- Liao, Y.-S.; Li, H.-C.; Lu, H.-K.; Lai, C.-L.; Wang, Y.-S.; Hsieh, K.-C. Comparison of bioelectrical impedance analysis and dual energy x-ray absorptiometry for total and segmental bone mineral content with a three-compartment model. Int. J. Environ. Res. Public Health 2020, 17, 2595. [Google Scholar] [CrossRef] [PubMed]
- Pietrobelli, A.; Formica, C.; Wang, Z.; Heymsfield, S.B. Dual-energy x-ray absorptiometry body composition model: Review of physical concepts. Am. J. Physiol. 1996, 27, E941–E951. [Google Scholar] [CrossRef] [PubMed]
- Moon, J.R. Body composition in athletes and sports nutrition: An examination of the bioimpedance analysis technique. Eur. J. Clin. Nutr. 2013, 67, S54–S59. [Google Scholar] [CrossRef] [PubMed]
- Belarmino, G.; Horie, L.; Sala, P.; Torrinhas, R.; Heymsfield, S.; Waitzberg, D. Body adiposity index performance in estimating body fat in a sample of severely obese Brazilian patients. Nutr. J. 2015, 14, 130. [Google Scholar] [CrossRef]
- Chambers, A.; Parise, E.; Mccrory, J.; Cham, R. A comparison of prediction equations for the estimation of body fat percentage in non-obese and obese older Caucasian adults in the United States. J. Nutr. Health Aging 2014, 18, 586–590. [Google Scholar] [CrossRef]
- Heyward, V.H.; Wagner, D.R. Applied Body Composition Assessment; Human Kinetics: Champaign, IL, USA, 2004. [Google Scholar]
- Campa, F.; Toselli, S.; Mazzilli, M.; Gobbo, L.A.; Coratella, G. Assessment of body composition in athletes: A narrative review of available methods with special reference to quantitative and qualitative bioimpedance analysis. Nutrients 2021, 13, 1620. [Google Scholar] [CrossRef] [PubMed]
- Jackson, A.S.; Pollock, M.L.; Ward, A. Generalized equations for predicting body density of women. Med. Sci. Sports Exerc. 1980, 12, 175–181. [Google Scholar] [CrossRef] [PubMed]
- Holmes, C.J.; Racette, S.B. The utility of body composition assessment in nutrition and clinical practice: An overview of current methodology. Nutrients 2021, 13, 2493. [Google Scholar] [CrossRef]
- Woolcott, O.O.; Bergman, R.N. Relative fat mass (RFM) as a new estimator of whole-body fat percentage—A cross-sectional study in American adult individuls. Sci. Rep. 2018, 8, 10980. [Google Scholar] [CrossRef] [PubMed]
- Mill-Ferreyra, E.; Cameno-Carrillo, V.; Saúl-Gordo, H.; Camí-Lavado, M.C. Estimación del porcentaje de grasa corporal en función del índice de masa corporal y perímetro abdominal: Fórmula Palafolls. Semergen 2019, 45, 101–108. [Google Scholar] [CrossRef] [PubMed]
- Molina-Luque, R.; Romero-Saldaña, M.; Álvarez-Fernández, C.; Bennasar-Veny, M.; Álvarez-López, A.; Molina-Recio, G. Equation Córdoba: A simplified method for estimation of body fat (ECORE-BF). Int. J. Environ. Res. Public Health 2019, 16, 4529. [Google Scholar] [CrossRef] [PubMed]
- Cui, Z.; Truesdale, K.P.; Cai, J.; Stevens, J. Evaluation of anthropometric equations to assess body fat in adults. Med. Sci. Sport. Exerc. 2014, 46, 1147–1158. [Google Scholar] [CrossRef]
- Suliga, E.; Ciesla, E.; Gluszek-Osuch, M.; Rogula, T.; Gluszek, S.; Koziel, D. The usefulness of anthropometric indices to identify the risk of metabolic syndrome. Nutrients 2019, 11, 2598. [Google Scholar] [CrossRef] [PubMed]
- de Moraes, A.M.; Vidal-Espinoza, R.; Bergamo, R.R.; Gómez-Campos, R.; de Lazari, E.; de Campos, L.F.C.C.; Sulla-Torres, J.; Cossio-Bolaños, M. Prediction of fat-free mass from body surface area in young basketball players. BMC Sports Sci. Med. Rehabil. 2024, 16, 65. [Google Scholar] [CrossRef] [PubMed]
- Serafini, S.; Charrier, D.; Izzicupo, P.; Esparza-Ros, F.; Vaquero-Cristóbal, R.; Petri, C.; Mecherques-Carini, M.; Baglietto, N.; Holway, F.; Tinsley, G.; et al. Anthropometric-based predictive equations developed with multi-component models for estimating body composition in athletes. Eur. J. Appl. Physiol. 2024. [Google Scholar] [CrossRef]
- Gómez-Ambrosi, J.; Silva, C.; Catalán, V.; Rodríguez, A.; Galofré, J.C.; Escalada, J.; Valentí, V.; Rotellar, F.; Romero, S.; Ramírez, B.; et al. Clinical usefulness of a new equation for estimating body fat. Diabetes Care 2012, 35, 383–388. [Google Scholar] [CrossRef] [PubMed]
- Gómez-Ambrosi, J.; Silva, C.; Galofré, J.C.; Escalada, J.; Santos, S.; Millán, D.; Vila, N.; Ibañez, P.; Gil, M.J.; Valentí, V.; et al. Body mass index classification misses subjects with increased cardiometabolic risk factors related to elevated adiposity. Int. J. Obes. 2012, 36, 286–294. [Google Scholar] [CrossRef]
- Davila-Batista, V.; Gómez-Ambrosi, J.; Fernández-Villa, T.; Molina, A.J.; Frühbeck, G.; Martín, V. Escala colorimétrica del porcentaje de grasa corporal según el estimador de adiposidad CUN-BAE. Aten. Prim. 2016, 48, 422–423. [Google Scholar] [CrossRef] [PubMed]
- Muntean, P.; Popa, A.; Miclos-Balica, M.; Schick, F.; Munteanu, O.; Pupazan, V.; Neagu, A.; Neagu, M. Learning effects in air displacement plethysmography. Life 2023, 13, 1315. [Google Scholar] [CrossRef] [PubMed]
- Martín, V.; Dávila-Batista, V.; Castilla, J.; Godoy, P.; Delgado-Rodríguez, M.; Soldevila, N.; Molina, A.J.; Fernandez-Villa, T.; Astray, J.; Castro, A.; et al. Comparison of body mass index (BMI) with the CUN-BAE body adiposity estimator in the prediction of hypertension and type 2 diabetes. BMC Public Health 2016, 16, 82. [Google Scholar] [CrossRef]
- Giorgi, A.; Vicini, M.; Pollastri, L.; Lombardi, E.; Magni, E.; Andreazzoli, A.; Orsini, M.; Bonifazi, M.; Lukaski, H.; Gatterer, H. Bioimpedance patterns and bioelectrical impedance vector analysis (BIVA) of road cyclists. J. Sports Sci. 2018, 36, 2608–2613. [Google Scholar] [CrossRef] [PubMed]
- Carrasco-Marginet, M.; Castizo-Olier, J.; Rodríguez-Zamora, L.; Iglesias, X.; Rodríguez, F.A.; Chaverri, D.; Brotons, D.; Irurtia, A. Bioelectrical impedance vector analysis (BIVA) for measuring the hydration status in young elite synchronized swimmers. PLoS ONE 2017, 12, e0178819. [Google Scholar] [CrossRef]
- Pourhoseingholi, M.A.; Vahedi, M.; Rahimzadeh, M. Sample size calculation in medical studies. Gastroenterol. Hepatol. Bed Bench 2013, 6, 14–27. [Google Scholar]
- Sullivan, K.M. Open Source Statistics for Public Health. Available online: http://www.openepi.com/SampleSize/SSCohort.htm (accessed on 5 October 2024).
- Skernevičius, J.; Milašius, K.; Raslanas, A.; Dadelienė, R. Sporto treniruotė (Sports training). In Sportininkų Gebėjimai ir jų Ugdymas (Skills and Training of Athletes), 1st ed.; Čepulėnas, A., Saplinskas, J., Paulauskas, R., Eds.; Lithuanian University of Educational Sciences Press: Vilnius, Lithuania, 2011; pp. 165–217. [Google Scholar]
- A Healthy Lifestyle—WHO Recommendations. Available online: https://www.who.int/europe/news-room/fact-sheets/item/a-healthy-lifestyle---who-recommendations (accessed on 6 September 2024).
- Okorodudu, D.O.; Jumean, M.F.; Montori, V.M.; Romero-Corral, A.; Somers, V.K.; Erwin, P.J.; Lopez-Jimenez, F. Diagnostic performance of body mass index to identify obesity as defined by body adiposity: A systematic review and meta-analysis. Int. J. Obes. 2010, 34, 791–799. [Google Scholar] [CrossRef]
- EN ISO 13488:2000; Quality Systems—Medical Devices—Particular Requirements for the Application of EN ISO 9002 (Revision of EN 46002:1996) (Identical to ISO 13488:1996). ISO: Geneva, Switzerland, 2000.
- Kyle, U.G.; Bosaeus, I.; De Lorenzo, A.D.; Deurenberg, P.; Elia, M.; Gómez, J.M.; Heitmann, B.L.; Kent-Smith, L.; Melchior, J.C.; Pirlich, M.; et al. Bioelectrical impedance analysis–part I: Review of principles and methods. Clin. Nutr. 2004, 23, 1226–1243. [Google Scholar] [CrossRef] [PubMed]
- Lohman, T.G.; Roche, A.F.; Martorell, R. Anthropometric Standardization Reference Manual; Human Kinetics Books: Champaign, IL, USA, 1988. [Google Scholar]
- Brewer, G.J.; Blue, M.N.; Hirsch, K.R.; Saylor, H.E.; Gould, L.M.; Nelson, A.G.; Smith-Ryan, A.E. Validation of InBody 770 bioelectrical impedance analysis compared to a four-compartment model criterion in young adults. Clin. Physiol. Funct. Imaging 2021, 41, 317–325. [Google Scholar] [CrossRef]
- Shiose, K.; Yamada, Y.; Motonaga, K.; Sagayama, H.; Higaki, Y.; Tanaka, H.; Takahashi, H. Segmental extracellular and intracellular water distribution and muscle glycogen after 72-h carbohydrate loading using spectroscopic techniques. J. Appl. Physiol. 2016, 121, 205–211. [Google Scholar] [CrossRef] [PubMed]
- Giavarina, D. Understanding Bland Altman analysis. Biochem. Med. 2015, 25, 141–151. [Google Scholar] [CrossRef]
- Bland, J.M.; Altman, D.G. Statistical methods for assessing agreement between two methods of clinical measurement. Lancet 1986, 1, 307–310. [Google Scholar] [CrossRef] [PubMed]
- Bland, J.M.; Altman, D.G. Measuring agreement in method comparison studies. Stat. Methods Med. Res. 1999, 8, 135–160. [Google Scholar] [CrossRef] [PubMed]
- Al-Khelaifi, F.; Diboun, I.; Donati, F.; Botrè, F.; Alsayrafi, M.; Georgakopoulos, C.; Suhre, K.; Yousri, N.A.; Elrayess, M.A. A pilot study comparing the metabolic profiles of elite-level athletes from different sporting disciplines. Sports Med. Open 2018, 4, 2. [Google Scholar] [CrossRef] [PubMed]
- Karastergiou, K.; Smith, S.R.; Greenberg, A.S.; Fried, S.K. Sex differences in human adipose tissues—The biology of pear shape. Biol. Sex Differ. 2012, 3, 13. [Google Scholar] [CrossRef] [PubMed]
- Prijatmoko, D.; Alifiana, V.K.; Hernawati, S.; Dewi, L.R.; Sutjiati, R. Effect of energy intake on percentage body fat as measured by BIA and CUN-BAE equation formula: A comparative study of body fat measurement methods. Int. J. Med. Sci. Clin. Res. Studies 2023, 3, 461–465. [Google Scholar] [CrossRef]
- Endukuru, C.K.; Gaur, G.S.; Yerrabelli, D.; Sahoo, J.; Vairappan, B. Agreement between equation-derived body fat estimator and bioelectrical impedance analysis for body fat measurement in middle-aged southern Indians. Physiol. Rep. 2024, 12, e70095. [Google Scholar] [CrossRef]
- Gemmink, A.; Schrauwen, P.; Hesselink, M.K.C. Exercising your fat (metabolism) into shape: A muscle-centred view. Diabetologia 2020, 63, 1453–1463. [Google Scholar] [CrossRef]
- Bennett, J.P.; Cataldi, D.; Liu, Y.E.; Kelly, N.N.; Quon, B.K.; Gonzalez, M.C.; Heymsfield, S.B.; Shepherd, J.A. Variations in bioelectrical impedance devices impact raw measures comparisons and subsequent prediction of body composition using recommended estimation equations. Clin. Nutr. ESPEN 2024, 63, 540–550. [Google Scholar] [CrossRef] [PubMed]

| Variables | Total Athletes (n = 323) | Male Athletes (n = 234) | Female Athletes (n = 89) | p * | 
|---|---|---|---|---|
| Mean ± SD | ||||
| Age (in years) | 19.1 ± 3.4 | 19.2 ± 3.3 | 19.9 ± 3.8 | 0.608 | 
| Athletic experience (in years) | 7.9 ± 3.7 | 8.0 ± 3.9 | 7.6 ± 3.8 | 0.545 | 
| Training regimen (workouts a week) | 5.9 ± 0.7 | 5.7 ± 0.6 | 5.9 ± 0.7 | 0.598 | 
| Training regimen (workouts a day) | 1.7 ± 0.5 | 1.6 ± 0.4 | 1.5 ± 0.6 | 0.089 | 
| Duration of exercise (minutes in a day) | 186 ± 62 | 178 ± 63 | 171 ± 54 | 0.498 | 
| Anthropometry | ||||
| Body weight (kg) | 72.2 ± 14.9 | 76.1 ± 14.5 | 61.9 ± 10.5 | <0.001 | 
| Standing height (cm) | 180 ± 12 | 183 ± 12 | 170 ± 8 | <0.001 | 
| BMI (kg/m2) | 22.1 ± 2.8 | 22.5 ± 2.9 | 21.3 ± 2.4 | <0.001 | 
| BIA | ||||
| BF (kg) a | 13.6 ± 5.7 | 13.2 ± 5.9 | 14.6 ± 5.1 | 0.038 | 
| BF% a | 18.4 ± 5.3 | 16.7 ± 4.7 | 22.9 ± 4.2 | <0.001 | 
| Fat-free mass (kg) a | 58.7 ± 11.1 | 62.9 ± 9.6 | 47.4 ± 6.1 | <0.001 | 
| Fat-free mass (%) a | 81.5 ± 5.4 | 83.2 ± 4.6 | 76.9 ± 4.2 | <0.001 | 
| CUN-BAE | ||||
| BF (kg) | 13.7 ± 6.5 | 12.7 ± 6.5 | 16.4 ± 5.6 | <0.001 | 
| BF% | 18.7 ± 6.6 | 15.9 ± 5.1 | 25.9 ± 4.3 | <0.001 | 
| Variables | n | BF% by BIA | BF% by CUN-BAE | ICC | 95% CI [LB; UB] | 
|---|---|---|---|---|---|
| Total athletes | 323 | 18.4 ± 5.3 | 18.7 ± 6.6 | 0.91 | [0.88; 0.93] | 
| Male athletes | 234 | 16.6 ± 4.7 | 15.9 ± 5.1 | 0.86 | [0.82; 0.90] | 
| Female athletes | 89 | 23.0 ± 4.2 | 25.9 ± 4.3 | 0.83 | [0.81; 0.95] | 
| Strength–power athletes | 130 | 18.3 ± 6.1 | 18.5 ± 7.5 | 0.92 | [0.88; 0.94] | 
| Endurance athletes | 193 | 18.5 ± 4.8 | 18.8 ± 6.0 | 0.91 | [0.88; 0.93] | 
| Junior athletes (aged ≤ 18) | 181 | 18.0 ± 0.6 | 18.0 ± 0.7 | 0.96 | [0.95; 0.97] | 
| Elite athletes (aged 19–33) | 142 | 19.0 ± 4.4 | 19.6 ± 6.1 | 0.80 | [0.72; 0.85] | 
| Disclaimer/Publisher’s Note: The statements, opinions and data contained in all publications are solely those of the individual author(s) and contributor(s) and not of MDPI and/or the editor(s). MDPI and/or the editor(s) disclaim responsibility for any injury to people or property resulting from any ideas, methods, instructions or products referred to in the content. | 
© 2025 by the authors. Licensee MDPI, Basel, Switzerland. This article is an open access article distributed under the terms and conditions of the Creative Commons Attribution (CC BY) license (https://creativecommons.org/licenses/by/4.0/).
Share and Cite
Baranauskas, M.; Kupčiūnaitė, I.; Lieponienė, J.; Stukas, R. The Concordance Between the Clínica Universidad de Navarra Body Adiposity Estimator and a Bioelectrical Impedance Analysis in Assessing the Body Fat of Athletes. Appl. Sci. 2025, 15, 2197. https://doi.org/10.3390/app15042197
Baranauskas M, Kupčiūnaitė I, Lieponienė J, Stukas R. The Concordance Between the Clínica Universidad de Navarra Body Adiposity Estimator and a Bioelectrical Impedance Analysis in Assessing the Body Fat of Athletes. Applied Sciences. 2025; 15(4):2197. https://doi.org/10.3390/app15042197
Chicago/Turabian StyleBaranauskas, Marius, Ingrida Kupčiūnaitė, Jurgita Lieponienė, and Rimantas Stukas. 2025. "The Concordance Between the Clínica Universidad de Navarra Body Adiposity Estimator and a Bioelectrical Impedance Analysis in Assessing the Body Fat of Athletes" Applied Sciences 15, no. 4: 2197. https://doi.org/10.3390/app15042197
APA StyleBaranauskas, M., Kupčiūnaitė, I., Lieponienė, J., & Stukas, R. (2025). The Concordance Between the Clínica Universidad de Navarra Body Adiposity Estimator and a Bioelectrical Impedance Analysis in Assessing the Body Fat of Athletes. Applied Sciences, 15(4), 2197. https://doi.org/10.3390/app15042197
 
        



 
       