Research on Robotic Peg-in-Hole Assembly Method Based on Variable Admittance
Abstract
1. Introduction
2. Materials and Methods
2.1. Task Analysis of Peg-in-Hole Assembly
2.2. Admittance Control Design
2.2.1. Pose Solving Based on Admittance
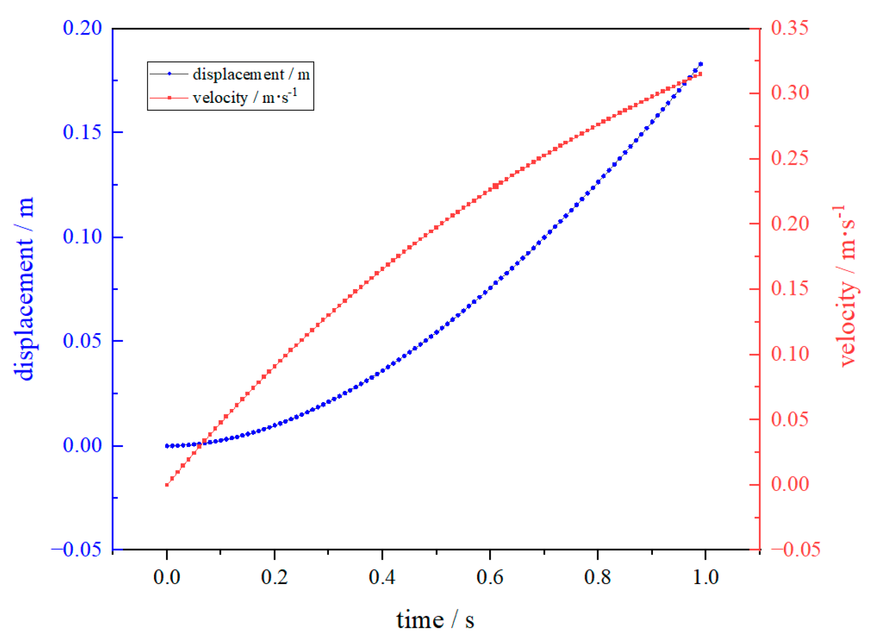
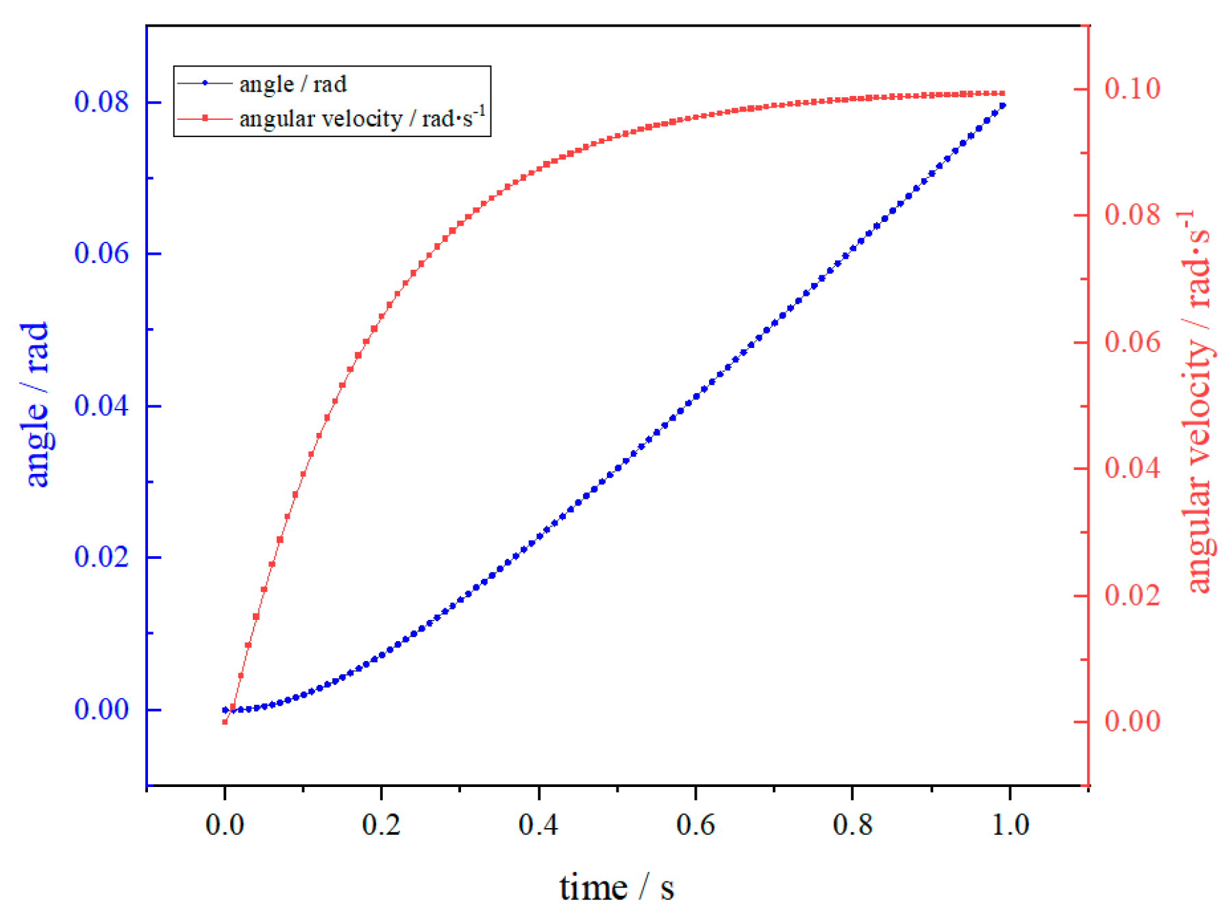
2.2.2. Admittance Control Simulation
2.3. TD3 Algorithm Design
2.3.1. Introduction to TD3 Algorithm
2.3.2. State and Action Design
2.3.3. Design of Reward Reward Function
3. Results and Discussion
3.1. Experimental Verification and Analysis
3.1.1. Experiment Validation
3.1.2. Experimental Analysis
3.2. Comparison of Achievements and Analysis of Advantages
4. Conclusions
Author Contributions
Funding
Institutional Review Board Statement
Informed Consent Statement
Data Availability Statement
Conflicts of Interest
References
- Li, Y.; Xu, D. Skill Learning for Robotic Insertion Based on One-shot Demonstration and Reinforcement Learning. Int. J. Autom. Comput. 2021, 18, 457–467. [Google Scholar] [CrossRef]
- Cao, X.; Wu, W. Research on impact resistance and active–passive compliance control of rope-driven joint unit. J. Braz. Soc. Mech. Sci. Eng. 2021, 43, 417. [Google Scholar] [CrossRef]
- Cavenago, F.; Voli, L.; Massari, M. Adaptive hybrid system framework for unified impedance and admittance control. J. Intell. Robot. Syst. 2018, 91, 569–581. [Google Scholar] [CrossRef]
- Ibarz, J.; Tan, J.; Finn, C.; Kalakrishnan, M.; Pastor, P.; Levine, S. How to train your robot with deep reinforcement learning: Lessons we have learned. Int. J. Robot. Res. 2021, 40, 698–721. [Google Scholar] [CrossRef]
- Jiang, J.; Huang, Z.; Bi, Z.; Ma, X.; Yu, G. State-of-the-Art control strategies for robotic PiH assembly. Robot. Comput.-Integr. Manuf. 2020, 65, 101894. [Google Scholar] [CrossRef]
- Wang, Z.; Li, F.; Men, Y.; Fu, T.; Yang, X.; Song, R. Deep deterministic policy gradient with reward function based on fuzzy logic for robotic peg-in-hole assembly tasks. Appl. Sci. 2022, 12, 3181. [Google Scholar] [CrossRef]
- Tirmizi, A.; De Cat, B.; Janssen, K.; Pane, Y.; Leconte, P.; Witters, M. User-friendly programming of flexible assembly applications with collaborative robots. In Proceedings of the 2019 20th International Conference on Research and Education in Mechatronics (REM), Wels, Austria, 23–24 May 2019; pp. 1–7. [Google Scholar]
- Liu, S.; Liu, G.; Zhang, X. High-Precision Peg-in-Hole Assembly with Flexible Components Based on Deep Reinforcement Learning. Machines 2024, 12, 287. [Google Scholar] [CrossRef]
- Beltran-Hernandez, C.C.; Petit, D.; Ramirez-Alpizar, I.G.; Harada, K. Variable compliance control for robotic peg-in-hole assembly: A deep-reinforcement-learning approach. Appl. Sci. 2020, 10, 6923. [Google Scholar] [CrossRef]
- Zhao, X.; Zhao, H.; Chen, P.; Ding, H. Model accelerated reinforcement learning for high precision robotic assembly. Int. J. Intell. Robot. Appl. 2020, 4, 202–216. [Google Scholar] [CrossRef]
- Yan, C.; Wu, J.; Zhu, Q. Learning-based contact status recognition for peg-in-hole assembly. In Proceedings of the 2021 IEEE/RSJ International Conference on Intelligent Robots and Systems (IROS), Prague, Czech Republic, 27 September–1 October 2021; pp. 6003–6009. [Google Scholar]
- Lin, H.-I. Design of an intelligent robotic precise assembly system for rapid teaching and admittance control. Robot. Comput.-Integr. Manuf. 2020, 64, 101946. [Google Scholar] [CrossRef]
- Park, H.; Park, J.; Lee, D.-H.; Park, J.-H.; Bae, J.-H. Compliant peg-in-hole assembly using partial spiral force trajectory with tilted peg posture. IEEE Robot. Autom. Lett. 2020, 5, 4447–4454. [Google Scholar] [CrossRef]
- Zeng, F.; Xiao, J.; Liu, H. Force/torque sensorless compliant control strategy for assembly tasks using a 6-DOF collaborative robot. IEEE Access 2019, 7, 108795–108805. [Google Scholar] [CrossRef]
- Gai, Y.; Guo, J.; Wu, D.; Chen, K. Feature-based compliance control for precise peg-in-hole assembly. IEEE Trans. Ind. Electron. 2021, 69, 9309–9319. [Google Scholar] [CrossRef]
- Marvel, J.A.; Bostelman, R.; Falco, J. Multi-robot assembly strategies and metrics. ACM Comput. Surv. (CSUR) 2018, 51, 1–32. [Google Scholar] [CrossRef] [PubMed]
- Fujimoto, S.; Hoof, H.; Meger, D. Addressing function approximation error in actor-critic methods. In Proceedings of the International Conference on Machine Learning, Stockholm, Sweden, 10–15 July 2018; pp. 1587–1596. [Google Scholar]
- Hou, Z.; Li, Z.; Hsu, C.; Zhang, K.; Xu, J. Fuzzy logic-driven variable time-scale prediction-based reinforcement learning for robotic multiple peg-in-hole assembly. IEEE Trans. Autom. Sci. Eng. 2020, 19, 218–229. [Google Scholar] [CrossRef]
- Zang, Y.; Wang, P.; Zha, F.; Guo, W.; Ruan, S.; Sun, L. Geometric-feature representation based pre-training method for reinforcement learning of peg-in-hole tasks. IEEE Robot. Autom. Lett. 2023, 8, 3478–3485. [Google Scholar] [CrossRef]
- Kaspar, M.; Osorio, J.D.M.; Bock, J. Sim2real transfer for reinforcement learning without dynamics randomization. In Proceedings of the 2020 IEEE/RSJ International Conference on Intelligent Robots and Systems (IROS), Las Vegas, NV, USA, 24 October 2020–24 January 2021; pp. 4383–4388. [Google Scholar]
- Ren, T.; Dong, Y.; Wu, D.; Chen, K. Learning-based variable compliance control for robotic assembly. J. Mech. Robot. 2018, 10, 061008. [Google Scholar] [CrossRef]
- Xu, J.; Hou, Z.; Wang, W.; Xu, B.; Zhang, K.; Chen, K. Feedback deep deterministic policy gradient with fuzzy reward for robotic multiple peg-in-hole assembly tasks. IEEE Trans. Ind. Inform. 2018, 15, 1658–1667. [Google Scholar] [CrossRef]
- Li, S.; Yuan, X.; Niu, J. Robotic peg-in-hole assembly strategy research based on reinforcement learning algorithm. Appl. Sci. 2022, 12, 11149. [Google Scholar] [CrossRef]
- Yazar, O.; Coskun, S.; Li, L.; Zhang, F.; Huang, C. Actor-critic TD3-based deep reinforcement learning for energy management strategy of HEV. In Proceedings of the 2023 5th International Congress on Human-Computer Interaction, Optimization and Robotic Applications (HORA), Istanbul, Turkey, 8–10 June 2023; pp. 1–6. [Google Scholar]
- Zhao, X.; Zheng, S. Robot Trajectory Planning Optimization Algorithm Based on Improved TD3 Algorithm. In Proceedings of the 2023 International Conference on Intelligent Communication and Networking (ICN), Changzhou, China, 10–12 November 2023; pp. 281–285. [Google Scholar]
- Eschmann, J. Reward function design in reinforcement learning. Reinf. Learn. Algorithms Anal. Appl. 2021, 25–33. [Google Scholar]
- Zang, Y.; Wang, Z.; Pan, M.; Hou, Z.; Ding, Z.; Zhao, M. Safe peg-in-hole automatic assembly using virtual guiding force: A deep reinforcement learning solution. Robot. Auton. Syst. 2025, 185, 104894. [Google Scholar] [CrossRef]
- Yang, Q.; Durr, A.; Topp, E.A.; Stork, J.A.; Stoyanov, T. Variable Impedance Skill Learning for Contact-Rich Manipulation. IEEE Robot. Autom. Lett. 2022, 7, 8391–8398. [Google Scholar] [CrossRef]
- Zou, P.; Zhu, Q.; Wu, J.; Xiong, R. Learning-Based Optimization Algorithms Combining Force Control Strategies for Peg-in-Hole Assembly. In Proceedings of the 2020 IEEE/RSJ International Conference on Intelligent Robots and Systems (IROS), Las Vegas, NV, USA, 24 October 2020–24 January 2021. [Google Scholar]
- Feng, X.; Shi, T.; Li, W.; Lu, P.; Pan, Y. Reinforcement Learning-Based Impedance Learning for Robot Admittance Control in Industrial Assembly. In Proceedings of the 2022 International Conference on Advanced Robotics and Mechatronics (ICARM), Guilin, China, 9–11 July 2022. [Google Scholar]
- Gai, Y.; Zhang, J.; Wu, D.; Chen, K. Local connection reinforcement learning method for efficient robotic peg-in-hole assembly. Eng. Appl. Artif. Intell. 2024, 133, 108520. [Google Scholar] [CrossRef]















| Joint | αi-1 (°) | ai-1 (mm) | θ (°) | d (mm) |
|---|---|---|---|---|
| 1 | 0 | 0 | θ1 | 121.5 |
| 2 | −90 | 0 | θ2 | 121.5 |
| 3 | 180 | 408 | θ3 | 0 |
| 4 | 180 | 376 | θ4 | 0 |
| 5 | −90 | 0 | θ5 | 102.5 |
| 6 | 90 | 0 | θ6 | 94 |
| Parameter Name | Parameter Values |
|---|---|
| Virtual damping B1 (N·s·m−1) | 0.1–0.8 |
| Virtual damping B2 (N·m·s·rad−1) | 0.010–0.030 |
| Learning rate | 0.01 |
| Discount factor | 0.95 |
| Buffer_size | 10,000 |
| Batch_size | 120 |
| Fixed Admittance Assembly | Variable Admittance Assembly | |
|---|---|---|
| Fx_max/N | 1.8 | 1.0 |
| Fy_max/N | 6.1 | 4.5 |
| Fz_max/N | 2.0 | 1.6 |
| Tx_max/N·m | 0.51 | 0.42 |
| Average assembly time/s | 25.2 | 23.0 |
| Standard Deviation of time/s | 0.53 | 0.66 |
| Coefficient of Variation | 2.10% | 2.87% |
Disclaimer/Publisher’s Note: The statements, opinions and data contained in all publications are solely those of the individual author(s) and contributor(s) and not of MDPI and/or the editor(s). MDPI and/or the editor(s) disclaim responsibility for any injury to people or property resulting from any ideas, methods, instructions or products referred to in the content. |
© 2025 by the authors. Licensee MDPI, Basel, Switzerland. This article is an open access article distributed under the terms and conditions of the Creative Commons Attribution (CC BY) license (https://creativecommons.org/licenses/by/4.0/).
Share and Cite
Zhang, S.; Wang, Y.; Liang, S.; Han, H.; Jiang, Z.; Zhang, M. Research on Robotic Peg-in-Hole Assembly Method Based on Variable Admittance. Appl. Sci. 2025, 15, 2143. https://doi.org/10.3390/app15042143
Zhang S, Wang Y, Liang S, Han H, Jiang Z, Zhang M. Research on Robotic Peg-in-Hole Assembly Method Based on Variable Admittance. Applied Sciences. 2025; 15(4):2143. https://doi.org/10.3390/app15042143
Chicago/Turabian StyleZhang, Shenglun, Youchen Wang, Shuo Liang, Haobing Han, Zhouxiang Jiang, and Meng Zhang. 2025. "Research on Robotic Peg-in-Hole Assembly Method Based on Variable Admittance" Applied Sciences 15, no. 4: 2143. https://doi.org/10.3390/app15042143
APA StyleZhang, S., Wang, Y., Liang, S., Han, H., Jiang, Z., & Zhang, M. (2025). Research on Robotic Peg-in-Hole Assembly Method Based on Variable Admittance. Applied Sciences, 15(4), 2143. https://doi.org/10.3390/app15042143

