A VFIFE-DKMT Formulation for Nonlinear Motion Analysis of Laminated Composite Thick Shells
Abstract
1. Introduction
2. Fundamentals of the VFIFE Method
2.1. Path Element, PVD, and CMF
2.2. Motion Analysis of the VFIFE Method
2.3. Synthetic Rotation by Quaternion
2.4. Deformation Coordinates
3. VFIFE-DKMT Element
3.1. Stress–Strain Relations and Shape Functions
3.2. Internal Forces in Deformation Coordinates
3.3. Internal Forces in Global Coordinates
4. Numerical Integration of the Governing Equation
5. Numerical Examples
5.1. Timoshenko Beam
5.2. Pendulum Motion of a Plate
5.3. Double Pendulum Motion
5.4. Post-Buckling Behavior of a Plate
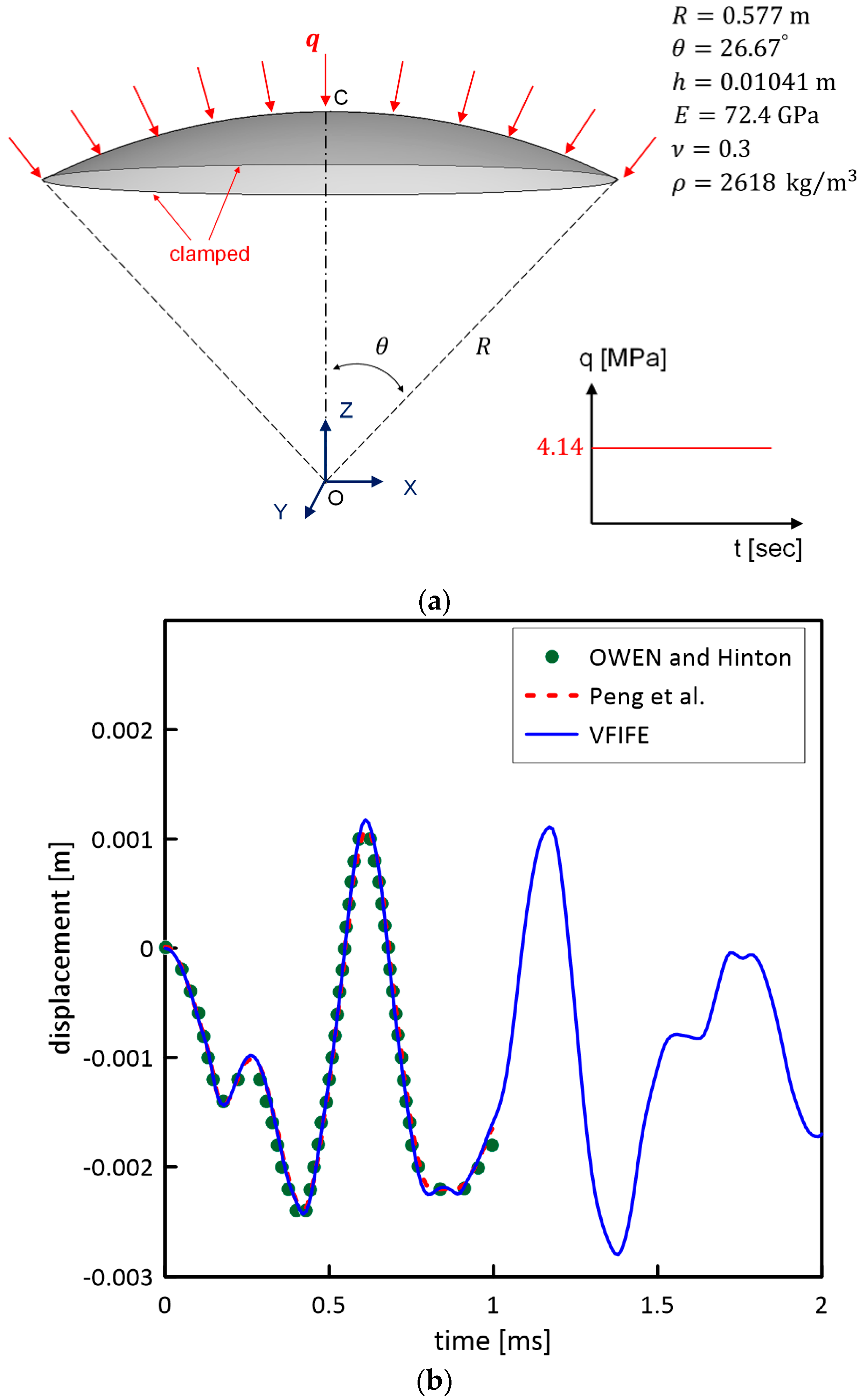
5.5. Vibration of a Shallow Spherical Cap
5.6. Large Deformation of a Hemispherical Shell
5.7. Nonlinear Response of a Laminated Composite Cylindrical Shell
5.8. Laminated Composite Ring Plate Subjected to End Shear
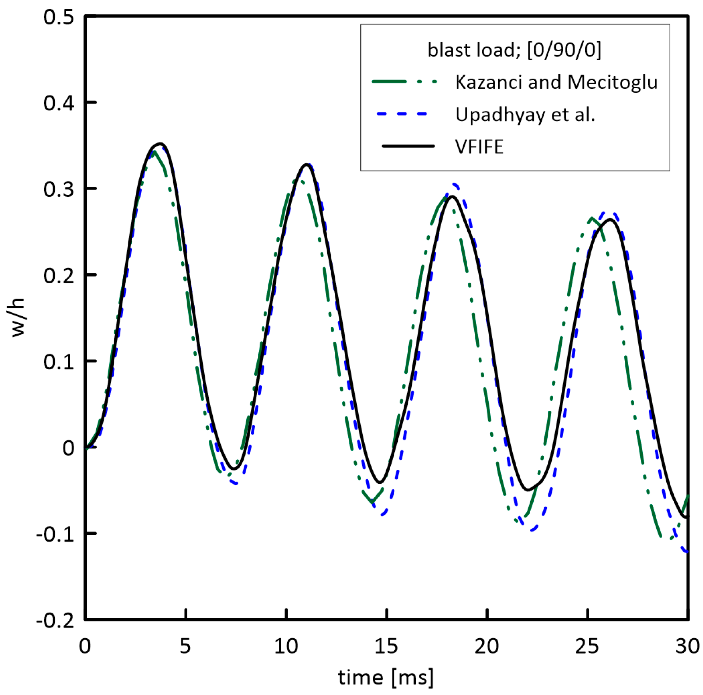
5.9. Composite Panel Subjected to Pulse Load
- (1)
- Blast load
- (2)
- Triangular load
- (3)
- Step load
6. Conclusions
Author Contributions
Funding
Institutional Review Board Statement
Informed Consent Statement
Data Availability Statement
Conflicts of Interest
Appendix A. Mass Moment of Inertia of a Shell Particle



Appendix B. Strain-Displacement Matrix of the DKMT Element

References
- Bathe, K.-J.; Bolourchi, S. A geometric and material nonlinear plate and shell element. Comput. Struct. 1980, 11, 23–48. [Google Scholar] [CrossRef]
- Batoz, J.L. An explicit formulation for an efficient triangular plate-bending element. Int. J. Numer. Methods Eng. 1982, 18, 1077–1089. [Google Scholar] [CrossRef]
- Battini, J.-M.; Pacoste, C. On the choice of the linear element for corotational triangular shells. Comput. Methods Appl. Mech. Eng. 2006, 195, 6362–6377. [Google Scholar] [CrossRef]
- Li, Z.; Vu-Quoc, L. An efficient co-rotational formulation for curved triangular shell element. Int. J. Numer. Methods Eng. 2007, 72, 1029–1062. [Google Scholar] [CrossRef]
- Norachan, P.; Suthasupradit, S.; Kim, K.-D. A co-rotational 8-node degenerated thin-walled element with assumed natural strain and enhanced assumed strain. Finite Elem. Anal. Des. 2012, 50, 70–85. [Google Scholar] [CrossRef]
- Felippa, C.A.; Haugen, B. A unified formulation of small-strain corotational finite elements: I. Theory. Comput. Methods Appl. Mech. Eng. 2005, 194, 2285–2335. [Google Scholar] [CrossRef]
- Ting, E.C.; Shih, C.; Wang, Y.-K. Fundamentals of a Vector Form Intrinsic Finite Element: Part I. Basic Procedure and A Plane Frame Element. J. Mech. 2004, 20, 113–122. [Google Scholar] [CrossRef]
- Ting, E.C.; Shih, C.; Wang, Y.-K. Fundamentals of a Vector Form Intrinsic Finite Element: Part II. Plane Solid Elements. J. Mech. 2004, 20, 123–132. [Google Scholar] [CrossRef]
- Duan, Y.F.; Fang, Y.; Wang, S.M.; Wu, S.K.; Zhang, H.M. A Review on Vector Form Intrinsic Finite Element Method and Its Application. In Proceedings of the Computational and Experimental Simulations in Engineering, Shenzhen, China, 26–29 May 2023; Springer: Cham, Switzerland, 2023; pp. 1257–1287. [Google Scholar]
- Rice, D.L.; Ting, E.C. Large displacement transient analysis of flexible structures. Int. J. Numer. Methods Eng. 1993, 36, 1541–1562. [Google Scholar] [CrossRef]
- Wu, T.-Y.; Ting, E.C. Large deflection analysis of 3D membrane structures by a 4-node quadrilateral intrinsic element. Thin Walled Struct. 2008, 46, 261–275. [Google Scholar] [CrossRef]
- Wu, T.-Y. Dynamic nonlinear analysis of shell structures using a vector form intrinsic finite element. Eng. Struct. 2013, 56, 2028–2040. [Google Scholar] [CrossRef]
- Li, Q.; Su, Y.; Wu, Y.; Borgart, A.; Rots, J.G. Form-finding of shell structures generated from physical models. Int. J. Space Struct. 2017, 32, 11–33. [Google Scholar] [CrossRef]
- Li, Q.; Borgart, A.; Wu, Y.; Liu, X.; Rots, J.G. Form-control of shell structures generated from hanging models with target heights. Int. J. Space Struct. 2018, 33, 48–60. [Google Scholar] [CrossRef]
- Xu, R.; Li, D.X.; Jiang, J.P.; Liu, W. Adaptive Fuzzy Vibration Control of Smart Structure with VFIFE Modeling. J. Mech. 2015, 31, 671–682. [Google Scholar] [CrossRef]
- Xu, L.; Lin, M. Analysis of buried pipelines subjected to reverse fault motion using the vector form intrinsic finite element method. Soil Dyn. Earthq. Eng. 2017, 93, 61–83. [Google Scholar] [CrossRef]
- Chou, S.-M.; Wang, C.-Y.; Chen, S.-H.; Lin, J.-J. Geometrically nonlinear dynamic analysis of laminated composite shell based on the VFIFE method. J. Mech. 2025, 41, 237–263. [Google Scholar] [CrossRef]
- Pham, T.D.; Pham, Q.H.; Phan, V.D.; Nguyen, H.N.; Do, V.T. Free Vibration Analysis of Functionally Graded Shells Using an Edge-Based Smoothed Finite Element Method. Symmetry 2019, 11, 684. [Google Scholar] [CrossRef]
- Nguyen, P.-C.; Pham, Q.H.; Tran, T.T.; Nguyen-Thoi, T. Effects of partially supported elastic foundation on free vibration of FGP plates using ES-MITC3 elements. Ain Shams Eng. J. 2022, 13, 101615. [Google Scholar] [CrossRef]
- Chau-Dinh, T.; Nguyen, T.-K.; Nguyen-Van, H.; Ton-That, H.L. A MITC3+ element improved by edge-based smoothed strains for analyses of laminated composite plates using the higher-order shear deformation theory. Acta Mech. 2021, 232, 389–422. [Google Scholar] [CrossRef]
- Yang, S.; Sun, X.; Cai, Z. Isogeometric Analysis for Free Vibration of Functionally Graded Plates Using a New Quasi-3D Spectral Displacement Formulation. Mathematics 2023, 11, 2660. [Google Scholar] [CrossRef]
- Kim, M.-G.; Lee, G.-H.; Lee, H.; Koo, B. Isogeometric analysis for geometrically exact shell elements using Bézier extraction of NURBS with assumed natural strain method. Thin-Walled Struct. 2022, 172, 108846. [Google Scholar] [CrossRef]
- Gao, Y.; Zhang, S.; Hu, W.; Ma, S.; Markert, B. Layerwise third-order shear deformation theory with transverse shear stress continuity for piezolaminated plates. Chin. J. Aeronaut. 2024, 37, 490–505. [Google Scholar] [CrossRef]
- Shi, P. Three-dimensional isogeometric analysis of functionally graded carbon nanotube-reinforced composite plates. Arch. Appl. Mech. 2022, 92, 3033–3063. [Google Scholar] [CrossRef]
- Hughes, T.J.R.; Tezduyar, T.E. Finite Elements Based Upon Mindlin Plate Theory with Particular Reference to the Four-Node Bilinear Isoparametric Element. J. Appl. Mech. 1981, 48, 587–596. [Google Scholar] [CrossRef]
- Kant, T.; Owen, D.R.J.; Zienkiewicz, O.C. A refined higher-order C° plate bending element. Comput. Struct. 1982, 15, 177–183. [Google Scholar] [CrossRef]
- Gunderson, R.; Haisler, W.E.; Stricklin, J.A.; Tisdale, P.R. A rapidly converging triangular plate element. AIAA J. 1969, 7, 180–181. [Google Scholar] [CrossRef]
- Batoz, J.L.; Bathe, K.J.; Ho, L.W. A study of three-node triangular plate bending elements. Int. J. Numer. Methods Eng. 1980, 15, 1771–1812. [Google Scholar] [CrossRef]
- Batoz, J.L.; Lardeur, P. A discrete shear triangular nine D.O.F. element for the analysis of thick to very thin plates. Int. J. Numer. Methods Eng. 1989, 28, 533–560. [Google Scholar] [CrossRef]
- Batoz, J.-L.; Katili, I. On a simple triangular reissner/mindlin plate element based on incompatible modes and discrete constraints. Int. J. Numer. Methods Eng. 1992, 35, 1603–1632. [Google Scholar] [CrossRef]
- Katili, I. A new discrete Kirchhoff-Mindlin element based on Mindlin-Reissner plate theory and assumed shear strain fields—Part I: An extended DKT element for thick-plate bending analysis. Int. J. Numer. Methods Eng. 1993, 36, 1859–1883. [Google Scholar] [CrossRef]
- Maknun, I.J.; Katili, I.; Purnomo, H. Development of the DKMT Element for Error Estimation in Composite Plate Structures. Int. J. Technol. 2015, 6, 291–319. [Google Scholar] [CrossRef]
- Katili, I.; Maknun, I.J.; Batoz, J.-L.; Katili, A.M. Asymptotic equivalence of DKMT and MITC3 elements for thick composite plates. Compos. Struct. 2018, 206, 363–379. [Google Scholar] [CrossRef]
- Rahmawati, D.; Jauhari Maknun, I.; Katili, I. An evaluation on the performance of two simple triangular bending plate elements. MATEC Web Conf. 2018, 192. [Google Scholar] [CrossRef][Green Version]
- Katili, I.; Maknun, I.J.; Batoz, J.-L.; Katili, A.M. A comparative formulation of T3γs, DST, DKMT and MITC3+ triangular plate elements with new numerical results based on s-norm tests. Eur. J. Mech. A Solids 2019, 78, 103826. [Google Scholar] [CrossRef]
- Argyris, J. An excursion into large rotations. Comput. Methods Appl. Mech. Eng. 1982, 32, 85–155. [Google Scholar] [CrossRef]
- Dam, E.B.; Koch, M.; Lillholm, M. Quaternions, Interpolation and Animation; Datalogisk Institut, Københavns Universitet: Copenhagen, Denmark, 1998; Volume 2. [Google Scholar]
- Kuipers, J.B. Quaternions and Rotation Sequences. In Proceedings of the International Conference on Geometry, Integrability and Quantization, Varna, Bulgaria, 1–10 September 1999; pp. 127–143. [Google Scholar]
- Wang, C.; Huang, C.; Chu, C.; Wu, T.; Chuang, M. Interaction analysis of 3D multiphase fluids and deformable bodies. In Proceedings of the 11th International Conference on Analysis of Discontinuous Deformation, Fukouka, Japan, 27–29 August 2013; pp. 123–135. [Google Scholar]
- Wang, R.-Z.; Tsai, K.-C.; Lin, B.-Z. Extremely large displacement dynamic analysis of elastic–plastic plane frames. Earthq. Eng. Struct. Dyn. 2011, 40, 1515–1533. [Google Scholar] [CrossRef]
- Ahmed, A.M.; Rifai, M.A. Euler-Bernoulli and Timoshenko Beam Theories Analytical and Numerical Comprehensive Revision. Eur. J. Eng. Technol. Res. 2021, 6, 20–32. [Google Scholar] [CrossRef]
- Timoshenko, S.P.; Woinowsky-Krieger, S. Theory of Plates and Shells; McGraw-hill: Columbus, OH, USA, 1959. [Google Scholar]
- Cowper, G.R. The Shear Coefficient in Timoshenko’s Beam Theory. J. Appl. Mech. 1966, 33, 335–340. [Google Scholar] [CrossRef]
- Lima, F. Simple but accurate periodic solutions for the nonlinear pendulum equation. Rev. Bras. Ensino Física 2018, 41. [Google Scholar] [CrossRef]
- Izzuddin, B.A. An enhanced co-rotational approach for large displacement analysis of plates. Int. J. Numer. Methods Eng. 2005, 64, 1350–1374. [Google Scholar] [CrossRef]
- Pacoste, C. Co-rotational flat facet triangular elements for shell instability analyses. Comput. Methods Appl. Mech. Eng. 1998, 156, 75–110. [Google Scholar] [CrossRef]
- Lanzo, A.D.; Garcea, G.; Casciaro, R. Asymptotic post-buckling analysis of rectangular plates by HC finite elements. Int. J. Numer. Methods Eng. 1995, 38, 2325–2345. [Google Scholar] [CrossRef]
- Peng, Y.X.; Zhang, A.M.; Ming, F.R. A thick shell model based on reproducing kernel particle method and its application in geometrically nonlinear analysis. Comput. Mech. 2018, 62, 309–321. [Google Scholar] [CrossRef]
- Owen, D.R.J.; Hinton, E. Finite Elements in Plasticity: Theory and Practice; Pineridge Press: Swansea, UK, 1980; p. 594. [Google Scholar]
- Macneal, R.H.; Harder, R.L. A proposed standard set of problems to test finite element accuracy. Finite Elem. Anal. Des. 1985, 1, 3–20. [Google Scholar] [CrossRef]
- Zhang, A.; Ming, F.; Cao, X. Total Lagrangian particle method for the large-deformation analyses of solids and curved shells. Acta Mech. 2014, 225, 253–275. [Google Scholar] [CrossRef]
- Reddy, J.N.; Chandrashekhara, K. Geometrically non-linear transient analysis of laminated, doubly curved shells. Int. J. Non Linear Mech. 1985, 20, 79–90. [Google Scholar] [CrossRef]
- Wu, Y.C.; Yang, T.Y.; Saigal, S. Free and Forced Nonlinear Dynamics of Composite Shell Structures. J. Compos. Mater. 1987, 21, 898–909. [Google Scholar] [CrossRef]
- To, C.W.S.; Wang, B. Hybrid strain based geometrically nonlinear laminated composite triangular shell finite elements. Finite Elem. Anal. Des. 1999, 33, 83–124. [Google Scholar] [CrossRef]
- Naidu, N.V.S.; Sinha, P.K. Nonlinear transient analysis of laminated composite shells in hygrothermal environments. Compos. Struct. 2006, 72, 280–288. [Google Scholar] [CrossRef]
- Kurtaran, H. Geometrically nonlinear transient analysis of moderately thick laminated composite shallow shells with generalized differential quadrature method. Compos. Struct. 2015, 125, 605–614. [Google Scholar] [CrossRef]
- Sze, K.Y.; Liu, X.H.; Lo, S.H. Popular benchmark problems for geometric nonlinear analysis of shells. Finite Elem. Anal. Des. 2004, 40, 1551–1569. [Google Scholar] [CrossRef]
- Arciniega, R.A.; Reddy, J.N. Tensor-based finite element formulation for geometrically nonlinear analysis of shell structures. Comput. Methods Appl. Mech. Eng. 2007, 196, 1048–1073. [Google Scholar] [CrossRef]
- Kazancı, Z.; Mecitoğlu, Z. Nonlinear dynamic behavior of simply supported laminated composite plates subjected to blast load. J. Sound Vib. 2008, 317, 883–897. [Google Scholar] [CrossRef]
- Upadhyay, A.K.; Pandey, R.; Shukla, K.K. Nonlinear dynamic response of laminated composite plates subjected to pulse loading. Commun. Nonlinear Sci. Numer. Simul. 2011, 16, 4530–4544. [Google Scholar] [CrossRef]




























| TBT | VFIFE | |||
|---|---|---|---|---|
Disclaimer/Publisher’s Note: The statements, opinions and data contained in all publications are solely those of the individual author(s) and contributor(s) and not of MDPI and/or the editor(s). MDPI and/or the editor(s) disclaim responsibility for any injury to people or property resulting from any ideas, methods, instructions or products referred to in the content. |
© 2025 by the authors. Licensee MDPI, Basel, Switzerland. This article is an open access article distributed under the terms and conditions of the Creative Commons Attribution (CC BY) license (https://creativecommons.org/licenses/by/4.0/).
Share and Cite
Chou, S.-M.; Wang, C.-Y.; Wang, R.-Z. A VFIFE-DKMT Formulation for Nonlinear Motion Analysis of Laminated Composite Thick Shells. Appl. Sci. 2025, 15, 11314. https://doi.org/10.3390/app152111314
Chou S-M, Wang C-Y, Wang R-Z. A VFIFE-DKMT Formulation for Nonlinear Motion Analysis of Laminated Composite Thick Shells. Applied Sciences. 2025; 15(21):11314. https://doi.org/10.3390/app152111314
Chicago/Turabian StyleChou, Shih-Ming, Chung-Yue Wang, and Ren-Zuo Wang. 2025. "A VFIFE-DKMT Formulation for Nonlinear Motion Analysis of Laminated Composite Thick Shells" Applied Sciences 15, no. 21: 11314. https://doi.org/10.3390/app152111314
APA StyleChou, S.-M., Wang, C.-Y., & Wang, R.-Z. (2025). A VFIFE-DKMT Formulation for Nonlinear Motion Analysis of Laminated Composite Thick Shells. Applied Sciences, 15(21), 11314. https://doi.org/10.3390/app152111314

