Abstract
The use of dissipative bracing systems by hysteretic dampers represents one of the most efficient innovative techniques for the seismic retrofitting of existing structures, especially for reinforced concrete (RC) frame buildings. Many studies on design approaches and case studies have been developed in recent decades and are still in progress; however, the importance of the relation between the properties of the existing structure and of the damper system has not been analyzed, and the influence of the type of arrangement inside or outside the structure, has not been pointed out. In this paper, an innovative dimensionless approach is proposed to describe the dynamic structural properties of the retrofitted structure introducing ratios between the properties of the existing structure and damper system. Therefore, indications to optimize the design of the passive energy dissipation (PED) system can be clearly established for each case. Furthermore, a generalization of the design approach considering different solutions with internal and external bracings is proposed. The application of the dimensionless parameters to the design of a dissipation system for a single-bay three-story RC frame building and points out that damping can be reduced by two times if the capacity of the existing structure is used, further reducing the base shear transmitted to foundation. This result is also obtained by mounting the PED system on an external structure. The effect of infill walls on the stiffness of the existing structure requires an increment of the stiffness of the PED system with double the stiffness of the devices further than the buckling-restrained braces (BRBs).
1. Introduction
Many examples of poor and unsatisfactory seismic structural performance, particularly in the case of reinforced concrete (RC) structures, are due to several reasons, including (a) a lack of efficient global structural organization and appropriate local details as a consequence of a design according to gravity loads only or rough execution, (b) updating of seismic codes to minimize the level of damage and repair costs after an earthquake, (c) review of the seismic hazard in the country, (d) past modifications to existing buildings, (e) changes in building use, and (f) material deterioration due to aging or previous earthquakes. Improvements in the seismic performance of these structures are urgent and can be achieved by increasing the strength, stiffness, and/or ductility of the structure via local or global interventions []. In this field, significant advancements have been made in recent decades in the development of innovative materials and nonlinear methods of analysis that consider the ductility contribution. However, an alternative solution has been introduced in recent years as a new concept and design method that differs from the traditional “Capacity Design”, which proposes “Control strategies” to reduce the effect of seismic action using special seismic devices that modify the dynamic performance of the structure and/or increase its dissipative capacity, controlling and reducing the effect due to its dynamic response. The control of the dynamic response of structures can be achieved via passive, active, and hybrid protection systems [,,,,,], such as dissipative dampers of various types (fluid viscous dampers-VFD, buckling-restrained braces—BRBs), tuned mass dampers (TMDs), and tuned liquid dampers (TLDs). The “Control strategies” allow convenient solutions [] to enhance the seismic performance of the building without increasing the seismic effect on the existing structure, thus reducing damage in the structural elements and the load on the foundation. Furthermore, the solution is convenient in new and existing buildings when operative conditions are required due to the use destination, but the capacity design in the elastic field is onerous. The focus of the present study is mainly passive control systems by passive energy dissipation (PED) systems through devices of type BRBs, where the damping capacity of the structure equipped with protection devices remains constant during seismic motion, without the intervention of any external power source, as occurs in active and hybrid control systems. The dampers can be installed without disrupting the functionality of the building and can be easily replaced if damaged by earthquakes.
In fact, the efficiency of dissipative bracing systems for the seismic retrofitting of existing RC buildings has been widely demonstrated with various applications performed in recent decades []. Nevertheless, many studies allowed to assess the approach to designing damper systems to improve the seismic performance of RC buildings, damper technology, and general design criteria of their arrangement into structures are still open problems, as demonstrated by papers still published in the field but usually focused on specific solutions and applications to case studies [,]. Through hysteretic devices, passive control systems absorb the inertial actions in combination with the existing structure, increasing the stiffness of the final structure but providing additional energy dissipation by means of ductility under cyclic action []. In addition, the procedure of damper design is complicated by the introduction of internal or external bracing structures connected to existing structures that can allow various solutions.
Currently, analytical methods for evaluating structures equipped with hysteretic devices are available in the technical literature; however, a general framework is not available to guide the design of seismic protection strategies considering the parameters that govern the optimization of the final system (upgraded structure). In particular, nevertheless, many studies on the design procedure are available, as resumed in the next section; usually the procedure proposed by the researchers is applied to one or more cases with specific characteristics [,] without considering and discussing the general relationship between the properties of the existing structure and the damper devices necessary to satisfy the design performance of the upgraded construction. This is a lack in the literature that does not allow us to understand the range of the dampers characteristics to realize the maximum damping for the existing structure but also the role of the stiffness of the internal braces or external structure supporting the dampers. In fact, it is quite important to know the sensitivity of the design with respect to the different parameters both of the existing structure and of the damper system that come into play (i.e., stiffness, ductility, hardening, and damping). Thus, in this study, firstly, a review of the design procedures available in the literature to design damper systems to improve the seismic performance of existing RC-framed structures is briefly summarized. Then, the existing structure without and with the damping system is described by means of an equivalent single degree of freedom (SDOF), evidencing the global properties involved in the dynamic response. In this general frame, new non-dimensional parameters are introduced that are the ratios between the stiffness of the dissipative system and the ones of the original structure and the ratio between the yielding displacement of the dampers and the ultimate design displacement prefixed for the structure, which can be in the elastic and inelastic fields. A parametric analysis of these parameters is developed, highlighting the clear influence of each feature involved and the possibility of various solutions that can increase dissipation or strength. These results point out the values of parameters that give the optimal solution, i.e., the maximum damping. Furthermore, the flowchart of the practical design procedure for various configurations (internal and external bracings) is presented and applied to a simple framed structure. Finally, the role of infill walls in the design of the dissipative system is discussed.
2. Dissipative System Layouts and Configurations
In this work, general concepts are assumed for dissipative systems, but more specific hysteretic dampers, such as buckling-restrained braces (BRBs), are considered devices consisting of an axially yielding core encased in a concrete-filled steel tube, which prevents local and member buckling. A special coating is applied to reduce friction. The hysteretic characteristics are stable and nearly symmetric once the full cross section of the core has yielded, differing only slightly from the base material hysteresis. Because buckling in the dissipative devices is restrained, no associated degradation should appear during the compression cycles if the supporting elements of the bracing have been correctly designed to avoid this mechanical phenomenon.
Therefore, BRBs can be modeled via truss elements and uniaxial material hysteresis rules, assuming that the strain is distributed along the full plastic core length []. The traditional way to implement dampers in building frames consists of installing dissipative devices diagonally, chevron bracing, cross bracing, and any other bracing configurations connecting adjacent stories. The chevron bracing arrangement is attractive since the full capacity of the damper is utilized to resist lateral motion. The diagonal bracing arrangement instead may be less effective since only a component of the damper force resists lateral motion. For example, for a damper inclined at 45°, the damper effectiveness is reduced by 40% owing to the inclination.
In the literature, other layouts have been proposed that offer certain advantages, either in terms of the cost of energy dissipation devices or in terms of architectural considerations such as open space requirements. In particular, in the case of stiff structures that experience small displacements while the required damping forces are large, configurations such as the “toggle-brace” and “scissor-jack” energy dissipation systems can be employed to amplify the motion of the damper. These systems magnify the damper force through a shallow truss configuration, achieving magnification factors f = 2 to 3 without any significant sensitivity to changes in the geometry of the system, differently from chevron-brace and diagonal configurations that have f values less than or equal to unity [].
Although the use of internal energy dissipation devices reduces the bending moment and shear forces acting in columns next to braces, the drawback is that dissipative braces also generate an increase in the axial forces in columns, which may lead to premature local failures and some feasibility limits on the strengthening of the existing foundations at the base of the bracing system. In addition, indirect costs related to the interruption of building use during retrofit execution can be very demanding, particularly for strategic buildings, such as hospitals or schools.
Most of the previous problems can be overcome by placing dissipative bracings and the relevant foundations outside buildings []. Systems with external dampers can be grouped into three main categories. The first configuration is obtained by placing dampers horizontally at the floor level between the frame and an external structure, which can be a new stiff structure [] or an adjacent building []. In this case, dampers are activated by the floor’s relative horizontal displacements, and the system efficiency is strongly related to the dynamic properties of the connected structures. An alternative solution can be obtained by coupling the frame with an external shear–deformable bracing structure (steel exoskeleton) equipped with dissipative devices [,]; in this case, the two structures are rigidly connected at the storey levels, and the dissipative devices are activated by the interstory displacements.
Recently, some applications have been developed by proposing a new configuration exploiting the rocking motion of a stiff truss tower, known as “dissipative towers”, which are a patented solution [], hinged at the foundation level and rigidly connected to the existing building at floor levels via a steel brace (Figure 1c). The dampers are located in the vertical position at the tower base and are activated by displacements induced by the tower base rotations []. This solution allows a high level of seismic protection at the ultimate limit state, with a considerable reduction in horizontal displacement and acceleration, achieved with a moderate economic impact due to the elimination of indirect costs related to the arrangement of internal spaces and interruption and/or relocation of activities. Further development of dissipative system layouts and configurations includes the idea of designing a second structure as an external cladding, which would be able to improve the energy performance of existing buildings and remodel the aesthetics of the façade []. This approach is based on the holistic vision of combining structural and hazard mitigation issues with those of energy performance and technological comfort and considers architectural and urban issues related to formal and distribution aspects at small or large scales.
Figure 1.
Seismic retrofitting systems with external structures: dissipative devices activated (a) by absolute floor displacement and (b) by interstory drift, (c) System with a dissipative tower.
3. State-of-the-Art Design Procedures
Although scientific research on interventions with dissipative bracing to reduce seismic vulnerability has been conducted since the 1980s and the benefits due to dissipation are now well known [], studies on design procedures are still ongoing. The two main problems that need to be assessed in the design of dissipative braces can be identified as follows: (i) choice of the type and sizing of the devices and (ii) arrangement within the existing structure.
Several procedures have been proposed in recent years for the design of supplementary energy dissipation systems, some of which are based on the direct displacement-based design (DDBD) method. In the DDBD approach, a target displacement demand is defined and related to a given interstory drift that a structure should achieve when subjected to the design earthquake. On the basis of the target-displaced configuration, a “substitute” SDOF model characterized by an effective (secant) stiffness and an effective dissipated energy (equivalent damping ratio) is defined and used to replace the multi-degree-of-freedom (MDOF) structure. Over the years, this approach has been implemented to design new structures, and efforts have been made by several authors to adapt the DDBD method to the design and retrofitting of structures equipped with dissipating devices [,,] by incorporating an equivalent viscous damping term proportional to the energy dissipation provided by the dampers.
Bergami and Nuti [] developed a general procedure, which is valid for any dissipative brace typology based on the capacity spectrum method [], and the approach involves an iterative procedure where the capacity curve of the braced structure is evaluated at each iteration step by considering the different contributions of the as-built structural frame and the damped brace systems.
An energy-based approach was proposed by Paolacci [] for studying the seismic response of structures equipped with viscoelastic dampers (VEDs) through the definition of an energy index (EDI), whose maximization permits the determination of the optimal mechanical characteristics of a VED. Considering a 1-DOF model, the author showed that the maximum value of the EDI corresponds to a simultaneous optimization of the significant kinematic and static response quantities, independent of the input.
Losanno et al. [] addressed a design problem for a simple linear-elastic frame equipped with a dissipative viscous or friction device with the aim of defining the optimal device parameters (i.e., the viscous damping force and the yielding force for the viscous case and for the friction case, respectively, that are able to provide the minimum frame displacement or base shear).
Mazza and Vulcano [] proposed an iterative design procedure in which the stiffness and the equivalent damping to be added through the bracing system are identified via a criterion of proportionality of the stiffnesses between the braced and not braced structures. Although initially conceived for essentially regular structures, the proposed procedure has been extended to in-elevation irregularly framed structures [] and not symmetric plan structures [].
Di Cesare and Ponzo [] focused on steel hysteretic brace systems and a procedure intended to control the maximum interstory drifts by regularizing the stiffness and strength along the height of a braced building according to the regularity criteria provided by seismic codes [,]. This method has been applied in several recent publications [].
Barbagallo et al. [], focusing on retrofitting existing reinforced concrete (RC) frame buildings via BRBs, proposed an iterative method, which is consistent with the prescriptions of Eurocode 8 [], to determine the size of BRBs at each story. Unlike the previous methods, this approach operates on the MDOF system, and nonlinear static analysis is performed only to evaluate the internal forces of the frame members.
De Domenico et al. [] presented a deep review of different design strategies for the protection of buildings using fluid viscous dampers, concluding that energy-based design strategies provide the best method for defining the optimal damper distribution in buildings and permitting global control of the seismic response, including displacements, accelerations, forces and energy-specific quantities.
Nuzzo et al. [] proposed a procedure, similar to that of Bergami and Nuti [], which is valid for the design and retrofitting of frame structures equipped with hysteretic dampers, taking into account the flexibility of the supporting brace, which is usually provided to connect the device to the external frame. However, the pushover analysis is performed only at the beginning of the procedure to define the capacity curve of the bare frame, whereas in the following steps, the capacity curve of the braced frame is evaluated via simple analytical equations.
Recently, a simple design procedure based on DDBD for the seismic upgrade of frame structures equipped with hysteretic dampers was developed by Bruschi et al. []. In this method, the structural system composed of a frame and dampers is replaced by an equivalent single degree-of-freedom (SDOF) system, characterized through its secant stiffness and equivalent viscous damping, both of which are defined according to a “performance point”, which is assigned on the basis of the allowable damage of the frame and the first mode deformation of the main structure.
Therefore, it is possible to classify the design methods of dissipative braces into two main categories: the “design procedures” that allow the sizing of the bracing system through the control of some performance parameters (i.e., drift, top displacement, and base shear) by simplifying assumptions, which are easily applicable but less reliable in predicting the behavior of complex structures; and the “optimization procedures” that allow the combination of performance control with an optimization principle (i.e., maximum dissipated energy and minimum intervention cost) using generally more complex algorithms of calculation. In this context, the optimal position of the dampers is crucial for the efficiency of the intervention and needs to be investigated, especially in the application of existing structures with irregular seismic behavior both in plan and in elevation [].
Also recently, many studies proposed the development of design procedures for introducing dampers in existing framed RC structures [], and many studies analyzed the buildings response with PED systems, in particular using BRBs [,]. However, a general guideline has not yet been given to assess a design procedure while further studies are focused on performance and modeling of innovative damper devices [,,,,,] or design of steel structures and tall buildings with dampers [,].
Conversely a general frame to design and optimize the damper systems in existing RC structures is still not available; therefore, the importance of the relationship between the characteristics of the existing structure and the damper systems has been studied, introducing new non-dimensional parameters and evidencing the different results when internal and external damper systems are chosen, furthermore introducing the effect of the infill walls in the RC frames that are usually neglected.
4. Effect of Design Properties on Damping Capacity
To improve the design approach of dissipative systems, the capacity of a structure with PED systems is idealized as an SDOF. In particular, the effects of the initial stiffness, stiffness variation, and ductility of the damper on the system with BRBs are evaluated with a dimensionless approach to the respective characteristics of the structure without dampers. The meanings of the indices are as follows:
- “S” represents the existing framed structure.
- “DS” for the equivalent damper is the dissipative system, which includes the damper and the linear elastic supporting system.
- “RS” represents the retrofitted system, i.e., the dual system.
The hysteretic behaviors of both the dissipative system and existing framed structure are described by bilinear models []; therefore, the corresponding viscous damping of the equivalent damper can be evaluated as follows:
The nonlinear plastic hysteretic damping ratio of the structure can be evaluated as follows []:
where and represent the ductility demand and stiffness variation after yielding of the dampers (index DS) and structure (S), respectively, and c is the damping modification factor. Equation (2) is analogous to Equation (1), but the concept of effective viscous damping using a damping modification factor c is introduced for cyclic degradation. ATC-40 [] assumes a value of 1 for structures with high dissipative capacity (large and large hysteresis cycles), 2/3 for poor hysteretic behavior (severely pinched) RC structures, and 1/3 for structures with low dissipative capacity (hysteresis cycles with high pinching and substantial area reduction).
The equivalent viscous damping of the in-parallel system consisting of a framed structure and an equivalent damper can be explained as follows []:
where is the damping percentage considered for the existing structures, is the base shear of the equivalent damper frame, and is the total base shear of the dual in-parallel system.
On the basis of the seismic stresses, the frame should behave both in the elastic field and the plastic field. In Figure 2 the capacity curves are drawn considering the maximum displacement , the ratio between the elastic and hardening stiffness and the equivalent damper . The ultimate displacement of the dampers is assumed equal to the one of the existing structure to establish a minimum requirement of the devices for the design; however, a higher capacity is clearly acceptable and can be a resource if a higher capacity of the structure is exploited during the earthquake.
Figure 2.
Capacity curves of the dual system: (a) elastic frame and (b) plastic frame.
From Figure 2, the following properties dimensionless to the characteristics of the frame without dampers can be defined:
- The ductility ratio of the dual system, the ratio between the ultimate displacement of the original structure (equal to the one of the dissipative system) and the yielding one of the original structure:. Clearly the ultimate displacement of the dual system is the same assumed as design condition for the existing structure, and it is also the minimum allowed by the devices;
- The non dimensional yielding displacement, that is, the ratio between the yielding displacement of the dissipative system and that of the original structure:;
- The elastic stiffness ratio of the equivalent damper system, which is the ratio between the stiffness of the dissipative system and the one of the original structure:.
Considering these parameters, as shown by the capacity curve in Figure 2, the formulation of Equation (3) for the equivalent viscous damping of the in-parallel system consisting of a framed structure and an equivalent damper becomes the following:
being α the ratio between the base shear at the ultimate condition of the final dual system and the one of the damper system, δ the ratio between the base shear at ultimate and yielding condition of the existing structure (hardening of structure), γ the ratio between ultimate and yielding base shear of the damper system (hardening of the damper system) as follows:
Notably, in the elastic field (Figure 2a), the equivalent hysteretic damping ratio of the existing structure is equal to zero, where since hardening stiffness , and the ultimate displacement of the existing structure is considered as its yielding displacement giving .
In addition, the dimensionless effective vibration period of the dual system () can be evaluated as the ratio of its period and the period of the original structure. It depends only on the stiffnesses because the mass is the same [,] as follows:
being:
The equivalent viscous damping of the dual system as a function of the dimensionless yielding displacement is evaluated by first varying the dimensionless elastic stiffness of the equivalent damper , then the parameter (which represents the ductility, i.e., the ratio between the ultimate and yielding displacement of the structure), and finally, the stiffness variation after yielding of the dampers . In addition to the damping capacity, the increase in strength should be considered in the design since it leads to an increase in the stress state on the existing foundation if the dissipative bracing is internal to the existing structure; otherwise, in the case of external dissipative bracing, a relevant foundation able to sustain the increase in strength needs to be properly designed. For this reason, the parameter , which represents the increment of the base shear of the dual system respect to the one of the existing structure, needs to be evaluate via Equation (5).
As in conventional design, the following assumptions are considered:
- the dampers yield before the structure ( is considered;
- the original structure has a low dissipative capacity ( according ATC-40 []);
- the viscous damping of the original structure is assumed as according to the technical literature [].
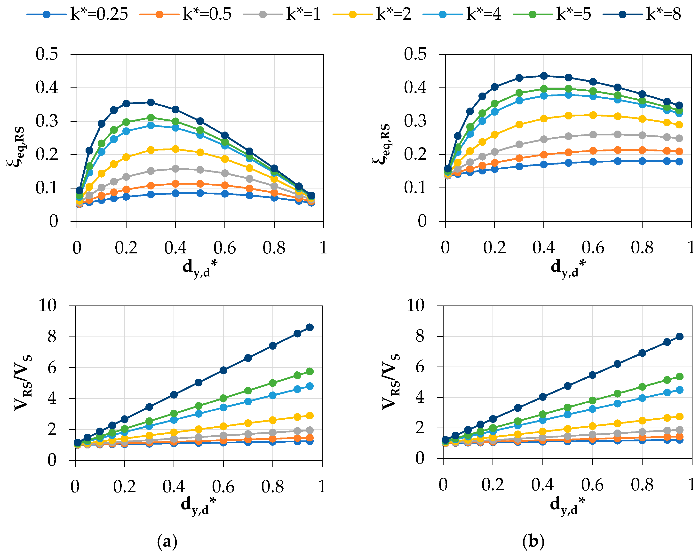
Therefore, the following parametric analysis is performed to assess the viscous damping and increment of the base shear of the dual system versus the variation in the non-dimensional yielding displacement :
- variation in stiffness ratio (0.25, 0.5, 1, 2, 4, 5, 8) with fixed and variation of (0.01, 0.05, 0.1, 0.15, 0.2, 0.3) with fixed in the elastic field and in the plastic field, in the latter case assuming and ;
- variation in the ductility (1.2, 1.5, 2, 4, 5, 8, 10) for a fixed value of in the case of a frame in the plastic field (, assuming two different values of and .
The values of the parameters for the analysis have been chosen according to typical values of real applications. In particular, the elastic stiffness of the dissipative system can be lower than that of the original structure (k* < 1) if few and deformable braces are realized or a high stiffness of the structure is due to infill interaction, but can be much higher (k* > 1) if the solution with a new external structure is used to support the damper devices. The values of have been fixed to consider a very low ductility of the system ( = 1.2 is not a good design condition) and a very high ductility of the system ( = 10 is the maximum ductility of market BRBs). The values of the hardening ratios give a range between the case quite near to perfectly plastic behavior of the damper system () and values that can be realized with the existing devices. Surely further values of the parameters could be considered for the design, but the results of the analysis confirm that the maximum damping is attained in the range of the considered values.
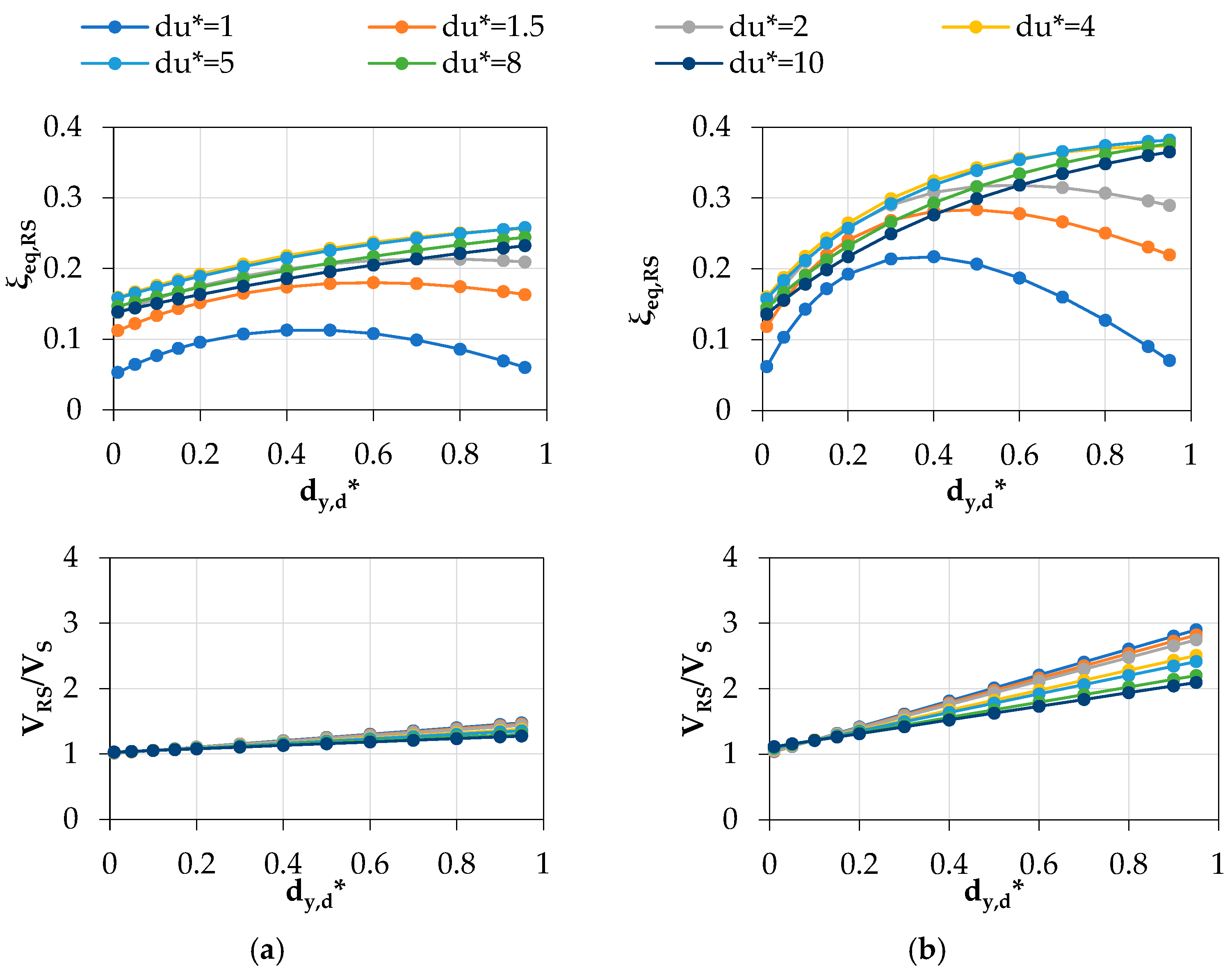
The results are plotted in Figure 3, Figure 4 and Figure 5. Figure 3 shows that the equivalent viscous damping increases as the stiffness ratio increases attaining the smaller values of the yielding displacement ratio as the stiffness ratio increases. In general, the optimal value of damping for each case of dimensionless characteristics can be identified at the maximum value of pointing out very different results when the properties of the system changes. In particular, the optimal values are attained at in the plastic field that reduces to 0.25–0.45 in the elastic field, requiring an earlier yielding of the dampers to obtain the optimal solution. In addition, for the plotted values, the equivalent viscous damping decreases on average from 60% to 35% increases if the elastic case of the frame is compared to that of the plastic frame with a ductility ratio equal to 2. The variation in base shear, , is linearly increasing with the yielding displacement, with higher values in the elastic field than in the plastic one with the same elastic stiffness and yielding displacement.
Figure 3.
Equivalent viscous damping and stiffness increment of of the dual system as a function of the dimensionless yielding displacement with varying elastic stiffness for a fixed value of : (a) structure in the elastic field; (b) structure in the plastic field for fixed values of and .
Figure 4.
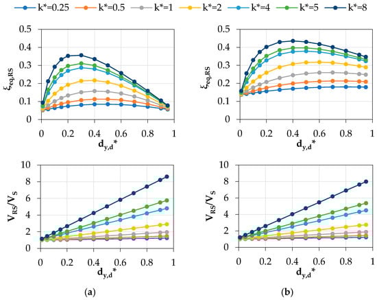
Equivalent viscous damping and stiffness increment of of the dual system as a function of the dimensionless yielding displacement with varying ductility (frame in the plastic field) for the fixed values of and : (a) (); (b) ().
Figure 5.
Equivalent viscous damping and stiffness increment of of the dual system as a function of the dimensionless yielding displacement with varying the ratio for a fixed value of (): (a) frame in the elastic field and (b) frame in the plastic field for fixed values and .
Figure 4 shows the ductility ratio has an optimal value () after which a reduction in the damping capacity occurs; furthermore, there is an improvement in damping due to an increase in the equivalent damper stiffness (from 0.5 to 2). For a fixed value of the stiffness ratio, the increase in strength is reduced when the ductility ratio increases, except for low values of yielding displacement (. When ratio increases, there is a reduction in damping, as shown in Figure 5. In this case optimal values of correspond to in the elastic field becoming 0.6 in the plastic field, but higher values of damping can be attained. The parameter is less influential on the base shear increase in the elastic case, leading to almost the same values of for high values of yielding displacement.
5. Materials and Methods
In this section, a displacement-based design framework applicable to structures in general, but in particular to frame buildings equipped with metallic hysteretic dampers, is presented. The iterative is based on the capacity spectrum method: first, the capacity curve of the existing structure is determined via nonlinear static analysis (NLSA), and then an iterative procedure allows the design of the capacity curve of the dissipative system, valid for treating both external dissipative systems and the conventional internal arrangement of dampers as dissipative braces.
Initial assumptions concerning the DS yielding displacement (), which is related to the ductility capacity ), and the DS ratio () must be considered, then the design method is developed in the acceleration—displacement response spectrum (ADRS) space, with the aim of defining the design RS curve when the desired performance displacement ( has been set. To identify the performance point ( it is necessary to know the corresponding force level, which depends on the equivalent damping ratio of the RS, then, it is possible to obtain the DS capacity curve as the difference between RS and S, that is the capacity curve of the existing building. Finally, the mechanical properties of dissipative braces at each story can be assigned a proportionality with respect to the bare frame properties. It is well known and important to highlight the role of uncertainties in the numerical model, especially for devices and earthquake actions []; however, in this work, the main topic is to assess the effect of the nondimensional parameters and various configurations of the damper systems in the design procedure; therefore, a simple nonlinear static analysis according to code procedure is applied. Surely in real application the effect of reliability of the design properties of the BRBs has to be considered (lower bound and upper bound of yielding displacement, stiffening, hardening, and ultimate displacement) together with the response of the structure that is affected by uncertainties, especially in the post-elastic field governed by reinforcement details not always well-known in existing buildings.
Clearly the response of the structure depends also on the modeling approach adopted for the structure equipped with seismic devices to reduce the earthquake effect, especially if nonlinear response both of the construction and the devices is analyzed in the dynamic field [], because the role of the various parameters depends also on the seismic input. Furthermore, it could be particularly important to have a detailed nonlinear relationship of complex devices, while the nonlinear modeling of the structure is important if its ductility gives a relevant contribution. In this paper, the design procedure is discussed in the two conditions of elastic and plastic performance of the structure, but always imposing the ultimate displacement of the dampers equal to (it can also be higher but not used) the performance displacement of the structure. The analysis of the system is stopped at the nominal design condition; therefore, elastic-yielding-hardening modeling of the BRB dampers is assumed, and the response analysis of the designed system applying seismic input in the dynamic field is not considered in the aim of the work.
The various steps of the procedure are described in the following. In steps 1 and 2 the considerations made by the innovative nondimensional approach are valid and useful for a preliminary identification of the quantities to be designed.
5.1. Step 1 and 2: Performance Points and Design of the RS and DS Capacity Curves
In the first step of the procedure, the capacity curve of the as-built structure is evaluated via nonlinear static analysis, considering two lateral load distributions [] are considered: a uniform pattern, proportional to the floor masses (with , where is the total number of floors), and a modal pattern, obtained by multiplying the first mode eigenvector components by the corresponding floor masses . For each load distribution, the relevant base shear force vs. roof displacement (), i.e., the capacity curve, is calculated.
The capacity curve of the MDOF structure is then converted to the capacity curve of the equivalent SDOF system using the participating factor of Equation (12) as follows:
Being the mass matrix, and the mode shape vector. while the equivalent mass of the SDOF system is defined as follows:
By setting the ultimate displacement of the as-built structure equal to the identified target displacement , the ductility is defined as , where is the yield displacement of the existing structure. If the structure remains in the elastic field .
Once the target displacement (and the corresponding base shear force of the existing structure ) is assigned, the bilinear curve of the equivalent SDOF system is evaluated in the ADRS space, where the spectral coordinates are defined as (acceleration in m/s2) and (displacement in m), indicating the equivalent roof displacement at the PP as and the corresponding base shear and equivalent elastic stiffness as and , respectively.
The performance base shear of the equivalent retrofitted system (RS), , also depends on the effective damping ratio, which is initially unknown. Consequently, by means of iteration, it is necessary to evaluate the equivalent viscous damping of the parallel system, , through the linear expression [] already introduced and rewritten for the case of the target point as follows:
where
- -
- the equivalent base shear of the existing structure at , as determined at Step 1.
- -
- the equivalent base shear of the dissipative system at and can be determined as the difference between the equivalent RS and S base shear values as follows:
- -
- the S system elastic viscous damping commonly assumed to be equal to
- -
- the S system equivalent hysteretic damping ratio; it is equal to zero if the S system is supposed to be elastic; otherwise, it can be estimated as follows:
- -
- is the equivalent hysteretic damping ratio of the DS calculated using Equation (1), in which and the other parameters are initially unknown and have to be assumed by the designer.
Supposing a value of that is the yielding displacement of the DS, the ductility and the yielding force of the DS can also be deducted as follows:
As will be clarified at a later step, the values of and will be checked by the end of the procedure once the effective damping brace properties have been defined.
To identify the capacity curve for the RS, it is necessary to assume a proper value for the DS-to-S elastic stiffness ratio (), which is one of the key parameters of the design, as previously discussed:
where is the equivalent elastic stiffness of the dissipative system, which is still unknown but can be expressed as a function of hypotheses and via Equations (17) and (18) as follows:
It is possible to express the main unknown variable, as a function of and the other design values according to the capacity curve reported in Figure 6.
Figure 6.
Force—displacement behavior of the RS in the case of (a) linear and (b) nonlinear behavior of S.
It is possible to calculate the equivalent RS elastic and post-yielding stiffnesses through the following expressions according to the S behavior by introducing as follows:
* This expression is valid in the RS bilinear curve when S is elastic, and in the first part of the RS trilinear curve when S is dissipative.
Therefore, the procedure needs to be iterated until an acceptable convergence between and the seismic demand of the damped spectrum is reached.
Notably, if S is a linear or elastic—plastic system, a bilinear or trilinear RS capacity curve is obtained, respectively. In addition, in the case of S system nonlinear behavior, the DS system should be designed to yield earlier than S, thus providing the main energy dissipation contribution.
Finally, the DS capacity curve can be derived as the difference between the RS and S curves (Figure 7).
Figure 7.
Definition of the RS and DS capacity curves for S: (a) elastic and (b) dissipative.
5.2. Steps 3 and 4: Sizing of the Dissipative System
Finally, once the properties of the DS are known, their distribution along the floors of the MDOF system is performed on the basis of a proportionality criterion with respect to S mode shapes []. The behavior of the existing structure is assumed to be shear-type, thus described by horizontal stiffness and displacement.
Indeed, as previously discussed, there are many solutions for arranging dampers that affect the operating principle, such as the horizontal arrangement at the deck level or the diagonal arrangement connecting two adjacent storeyies. In the first case, the size of the dampers is proportional to the absolute displacement of the floor and the yielding force acting on the floor, whereas in the second case, it is proportional to the interstory drift and the yielding shear. This aspect can be observed in the different configurations, as reported in the following equations:
- ○
- Horizontal at floor level:
- ○
- Connecting two adjacent stories:
At each floor, the dissipative system is tuned to guarantee that the mode shape of the braced frame is the first mode shape of the as-built structure []. If the frame remains elastic, the deformation reflects its fundamental mode shape, ensuring the same interstory drift distribution [], whereas when the existing structure yields and its fundamental mode shape changes, an adaptive pushover analysis could be more suitable. Furthermore, in this case of irregular structure, a regularization of the existing structure should be performed first through a suitable positioning of braces.
At this stage, it is possible to evaluate the damper (D) and supporting structure (SS) by splitting the DS properties in systems acting in series. In particular, the yielding shear force acting on the j-th dissipative system at the i-th story corresponds to the yielding force that the damper must provide. Then, by also knowing its elastic stiffness , the supporting system stiffness can be determined to provide the required elastic stiffness of the dissipative system and the effective dissipative brace post-yielding stiffness as follows:
In the case of the internal arrangement of the dampers, the determination of is closely related to the individuation of the supporting steel brace elements. On the other hand, in the case of an external arrangement with a new supporting structure, this structure needs to be designed in accordance with the compatibility of the movements of the systems in series (.
In Figure 8, the sizing of the dissipative system according to the different configurations of the dampers is outlined. The existing frame, the supporting structure, and the dampers are represented by black, blue, and red lines, respectively.

Figure 8.
Outline of the design of three-story DSs according to different configurations of the dampers (red line) in the existing structure (black line): (a) internal arrangement between two adjacent stories, (b) external arrangement in the horizontal direction, and (c) external arrangement between two adjacent stories.
Finally, it is necessary to check if the initial assumption about and are consistent with real dissipative parameters and being the generic floor and j the generic damper. The following equations have to be satisfied:
If the check is are not satisfied, the initial trial value assumed for and the design procedure restart from Step 2 with different values. By the end of the procedure, if the obtained mechanical properties of dissipative braces are difficult to achieve, it is possible to increase the number of elements per storey .
The steps of the design procedure are summarized in Figure 9.
Figure 9.
Flow chart of the design procedure.
6. Results
The procedure is applied to a simple structure shown in Figure 10a. The building occupancy is assumed to be a commercial office located in Italy, in a medium–high seismic risk zone, with soil type B and topography class T1; therefore, a_g = 0.309 g at the life safety (LS) performance level in compliance with the Italian and European seismic codes [,]. The structure has a double symmetry in plan; therefore, for simplicity, the pushover analysis is performed only in the x direction, neglecting the eccentricity and assuming different horizontal force distributions proportional to the mass and modal properties in the positive and negative horizontal directions, respectively. Under the gravity load design, the beam cross sections are set to 30 × 40 cm and 30 × 30 cm for levels 1–2 and for the top level, respectively, whereas the column cross sections are set to 30 × 40 cm. With respect to the steel reinforcement, top and bottom rebars of 6ϕ16 are set for the beams, whereas 8ϕ16 and 6ϕ16 (ϕ is the diameter of the bar in mm) are the rebars of columns for levels 1–2 and for the top level, respectively. The design values for the material strength are assumed to be fcd = 14.16 MPa for the concrete rebar and fyd = 391.3 MPa for the steel rebar, and the concrete cover is set equal to 3 cm. Arranging permanent and live loads in seismic combinations, seismic masses of 43.34 t and 36.10 t have been defined for levels 1–2 and for the top level, respectively. The FEM model was developed by the software SAP2000-18 [] using mono-dimensional (frame) finite elements for beams and columns with plastic hinges at their ends. When the dampers are added to the existing structure, their modeling is made by nonlinear link with only axial stiffness and elastic-yielding-hardening response. The modal analysis gives a fundamental vibration period of 0.54 s with 85% of participating mass in the x direction.
Figure 10.
(a) Plane and elevation view of the case study (dimensions in meters); (b) S capacity curves (MDOF).
The seismic performance at the LS of the existing structure is shown in the pushover curves of Figure 10b. Among them, the capacity curve “MODAL +X” is considered and converted into an equivalent SDOF system by introducing the modal participation factor and the equivalent mass via Equation (12) and Equation (13), respectively.
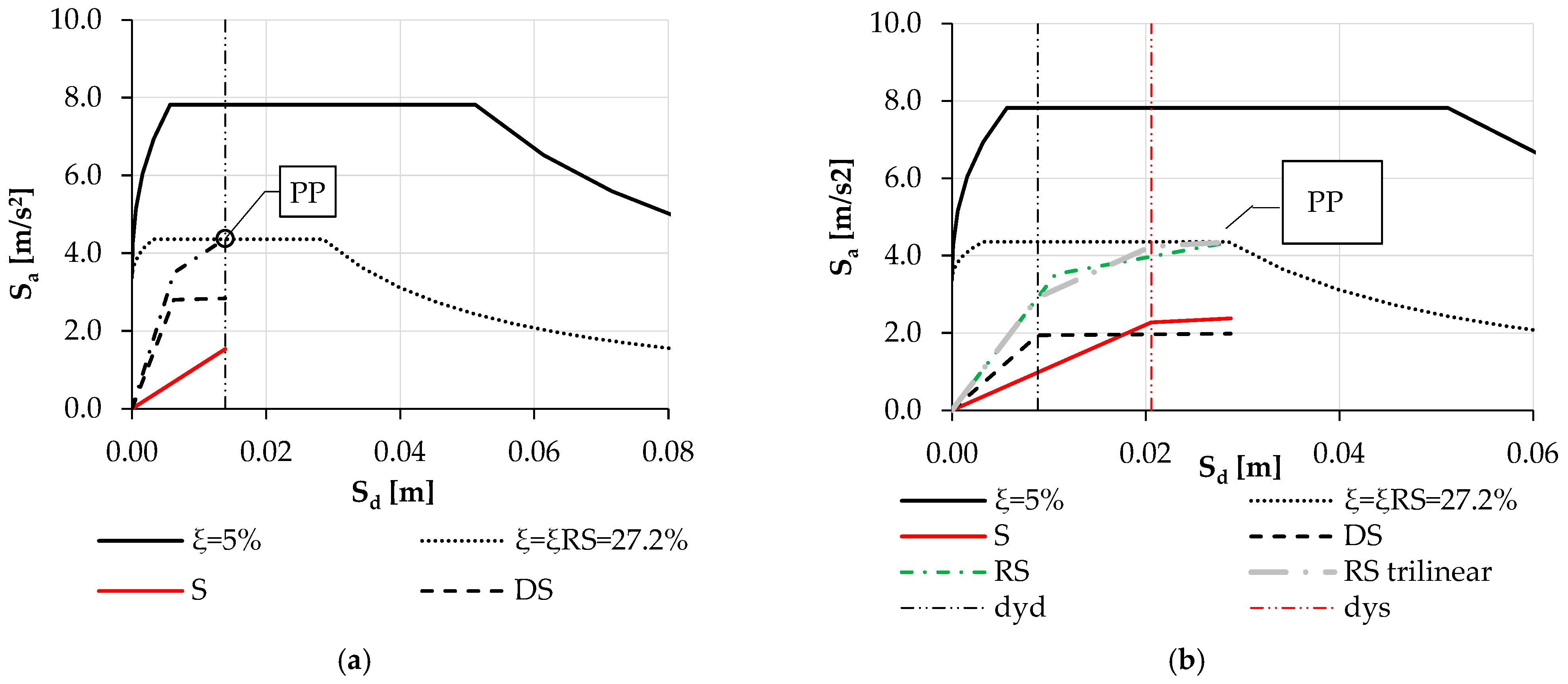
The corresponding bilinear curve is represented together with the elastic 5% damped ADRS curve in Figure 11, showing that the existing structure (S) does not comply with the seismic demand, so retrofitting intervention is needed. In particular, two conditions of target displacement are set for starting the design procedure, according to the behavior of S, which leads to two different design solutions: (i) in the case of S remaining in the elastic field ( for the MDOF system) and (ii) in the case of S going in the plastic field ( for the MDOF system).
Figure 11.
S capacity curve and target displacement definition according to S behavior.
In Table 1 the properties of the original system S are reported according to the different evaluations of .
Table 1.
Existing structural properties (MDOF).
The ADRS approach requires the limitation for the response spectrum reduction according to []; therefore, the optimal damping capacity, i.e., the performance PP, must be chosen in compliance with these provisions.
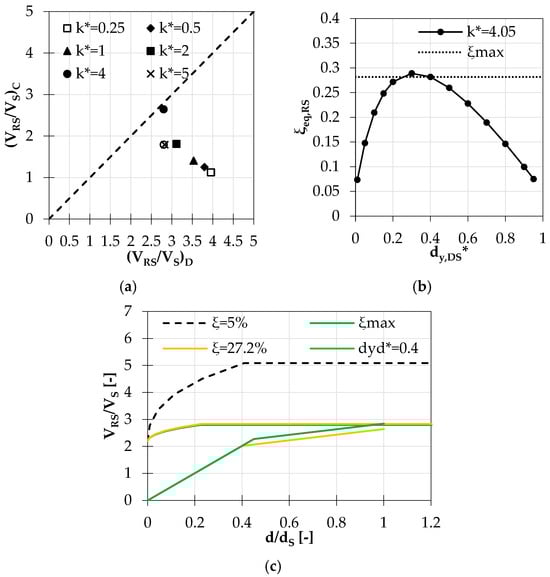
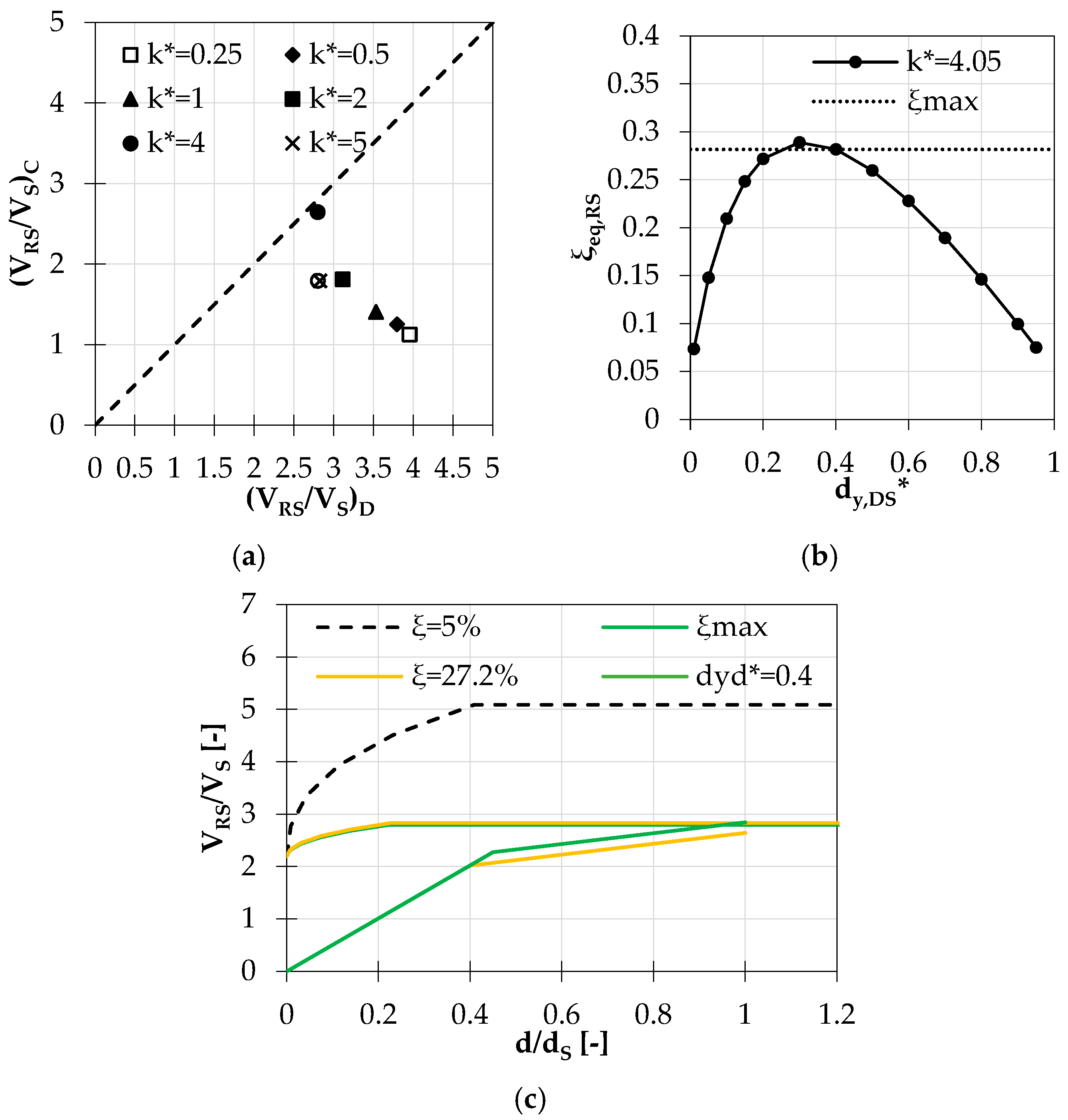
Considering the case of S in the elastic field, to initially choose the value of (Equation (17)) that optimizes the damping ratio (Equation (15)), it is possible to compare the capacity and the seismic demand following the procedure previously discussed. In particular, Figure 12 shows the strength capacity ratio and the strength demand ratio for the maximum admissible equivalent viscous damping ( obtained, considering different values of (0.25, 0.5, 1, 2, 4, 5, 8) and .
Figure 12.
Dimensionless approach for the frame in the elastic field: (a) capacity—demand comparison, (b) equivalent viscous damping, and (c) dimensionless ADRS.
The results show that is the optimal solution obtained for the yielding displacement equal to 40% of the performance displacement (i.e., the dimensionless yielding displacement ), as depicted in Figure 12b, recalling the procedure previously discussed. This assumption means considering a dissipation system that has a ductility as the first trial value of ductility. Although this combination of parameters allows the maximum equivalent damping, it does not satisfy the performance point PP. Indeed, the value of calculated does not meet the seismic demand of the reduced spectrum, as also expected from Figure 12a, which shows that . This condition is also depicted in Figure 12c, which combines the capacity curve and the seismic demand (ADRS) for the dimensionless approach (the parameters of the retrofitted dual system are divided for the respective ultimate values of the frame without dampers). Therefore, keeping the stiffness ratio as , the DS needs to yield for greater displacement, i.e., the DS yielding displacement is equal to 45% of , and a new value of is deducted. This condition leads to a design solution with and PP identified by real coordinates and . Notably, this solution is the optimal theoretical solution that satisfies the verification in terms of both stiffness and damping since the RS capacity curve intercepts the damped spectrum on the horizontal branch (Figure 12c).
The same process was performed for the case of the design with S in the plastic field by reaching the same equivalent viscous damping of the retrofitting system with S elastic to compare the different designs. In particular, the PP has been found for and for as, respectively, the dimensionless stiffness and yielding displacement of the DS (thus, ). In this case, the PP is identified by and . Indeed, even if the same equivalent viscous damping of the retrofitting system is reached in both conditions, the RS intercepts the reduced response spectrum on the initial part of the descending branch. In general, the seismic base shear of the retrofitted structure can be reduced, and smaller dimensions of dissipation systems can be used (lower stiffness and yield threshold) if the existing structure is allowed to dissipate, assuming a more or less advanced performance displacement on the S capacity curve but in compliance with the standard provisions. The results of the aforementioned iterative processes used to evaluate the equivalent RS damping ratio are summarized in Table 2, according to the behavior of S.
Table 2.
Evaluation of the equivalent RS damping ratio.
From Equations (22)–(25), it is possible to determine the equivalent design capacity curve of the RS and, accordingly, the equivalent DS design capacity curve.
The corresponding equivalent SDOF capacity curves are plotted in Figure 13 according to the S behavior. In particular, the RS capacity curve is trilinear when S has dissipative behavior, but the equivalent bilinear capacity curve is derived since this curve is considered in standards [,,].
Figure 13.
Definition of capacity curves: (a) S in the elastic field and (b) S in the plastic field.
Finally, the sizing of commercial devices, avoided herein, is necessary in a real design, reducing the efficiency of the procedure. Conversely, various configurations are designed considering internal bracings (case A) and external contrast structures with dampers horizontally connecting (case B), but only for the structure in the elastic field.
6.1. Case A
The first retrofitting system analyzed is the diagonal arrangement connecting two adjacent floors (Figure 13a) of the existing RC building in the elastic field. Considering the capacity curves in Figure 13a, the mechanical properties of the dissipative system corresponding to each storey are determined in Table 3, considering two devices per storey (one for the bay). If diagonal braces are used, the axial properties are needed to describe the behavior of the BRBs and the supporting braces.
Table 3.
Case A: mechanical properties of the dissipative system at each storey.
Tubular diagonals (steel grade S275), diameter Ø and thickness s, are selected from commercial catalogs (Table 4) to satisfy the buckling resistance [] under the maximum force transmitted by dampers, which are precisely designed to match the design yielding force of the dissipative system.
Table 4.
Case A: Supporting brace properties.
Once the elastic stiffness is known, it is possible to determine the theoretical stiffness of dampers satisfying Equations (26) and (27).
The mechanical properties of the dampers at the i-th storey are summarized in Table 5.
Table 5.
Case A: damper properties.
The analytical design procedure is complete, and a nonlinear static analysis is performed via SAP2000-18 [], which models the damper and the supporting brace as a “2 Joint Link,” which is characterized by the definitions of initial stiffness, yielding force, and post-to-pre-yielding stiffness ratio for bilinear elastic plastic behavior and the definition of stiffness for linear elastic behavior. Axial values of the mechanical properties from Table 4 and Table 5 are introduced in the FEM model.
6.2. Case B
The second solution consists of the external arrangement of dampers horizontally connected at the floor level and contrasted by a supporting structure realized by a steel braced frame (Case B). The existing structure is assumed to behave in the elastic field, so the capacity curves determined in Figure 13a are considered. The mechanical properties of the dissipative system corresponding to each storey are determined (Table 6).
Table 6.
Case B: mechanical properties of the dissipative system at each storey.
After the design of the dissipation system, the supporting structure and the dampers have to be defined, making each damper match the yielding force required for the dissipation system at that storey which is transmitted to the corresponding level of the supporting structure. For this reason, the dampers and supporting structure act as an in-series system, so Equations (26) and (27) can be considered, and the absolute displacements at each storey need to comply with the following relationship:
Therefore, an iterative design procedure in the FEM environment can be performed by modeling the elements of the supporting structure as frame elements under the required distribution of forces that respects the constraint on the total displacement of the dissipation system via Equation (30).
The results of the design process of the supporting structure are summarized in Table 7 (storey height = 3.0 m, bay length = 1.5 m). The properties of the dampers are reported in Table 8. In this case, the results are directly related to the axial properties since the dampers are horizontally arranged.
Table 7.
Case B: properties of the supporting structure.
Table 8.
Case B: properties of the dampers.
Finally, nonlinear static analysis is performed on the whole system, introducing the dampers as “two-node links” and the supporting structure as frame elements obtaining.
6.3. Effect of the Masonry Infills
In this section, the contribution of masonry infills (MIs) in design retrofitting by dissipative systems is considered [,]. In particular, the configuration proposed in Case B is analyzed by adding infill walls made of hollow clay brick in the original structure (Table 9) as MIs for each storey of the existing frame.
Table 9.
Properties of the infill wall.
An equivalent strut modeling strategy was adopted for the MIs [], and the infill weight was considered to be distributed on the beam at the floor. Only a nonlinear axial link in compression was introduced in the frame bays to simulate the in-plane (IP) contribution of the infill. The trilinear backbone of the infill walls is characterized by three main points (Figure 14a): a cracking point, a maximum point assuming a force 1.3 times the cracking force and a displacement as a function of the equivalent strut axial stiffness, and an ultimate point assuming a softening stiffness equal to 0.01 of the elastic shear stiffness. In Figure 14b, the frame model with external dissipative systems is depicted in the case of an infilled structure.
Figure 14.
(a) Backbone curve for MIs and (b) infilled frame model with an external dissipative system.
First, the effects of the MIs on the design procedure of the dissipative system are analyzed. In Figure 15, the behavior of the retrofitted structures with and without infill walls is compared. Notably, the “infilled” curve shows higher stiffness and strength than the “bare” curve does, and the performance point set in the design procedure to retrofit the frame in the elastic field ( for the MDOF system) is not reached owing to the early yielding of the existing structure at . Furthermore, the dampers designed to yield at the same time for the three storeys () are activated for different displacements on the “infilled” curve.
Figure 15.
Non-linear response of bare and infilled structure. (a) base-shear versus top-displacement and (b) in ADSR space.
Despite the different performances of the bare and infilled frames, the RS designed in case B still satisfies the seismic demand. A lower equivalent damping ratio of 25.4% is also observed for the infilled system. Clearly, this result with the damper system designed without infills but satisfactory with the infills is not reached in all actual cases because it depends on the type (strength and stiffness) and distribution of the infill walls with respect to the bare frame. The FEM model of the as-built frame, including MIs, was analyzed, and the capacity corresponding to the Immediate Occupancy-IO (IDIO = 0.33%), Damage Limitation-DL (IDDS = 0.5%), Life Safety-LS (IDLS = 3/4 IDNC), and Near Collapse-NC (IDNC) obtained according to regressive formulations provided by EC8 [] limit states is shown in Figure 16.
Figure 16.
S capacity curve for “MODAL +X” (MDOF).
The SDOF curves at the LS are evaluated according to Equations (12) and (13). In addition to limiting damage to the existing structure and comparing the results of case B, the performance displacement at yielding is chosen for the S infilled system (, which is for the MDOF system). Therefore, by applying the design procedure from Step 1 to Step 3 (see Figure 9), the capacity curves of Figure 17 were determined.
Figure 17.
Comparison of the capacity curves in the cases of infilled and bare frames.
In particular, the RS infill is designed to return the same value of the equivalent viscous damping of the bare case design B, and the maximum strength is the same since the PP is on the flat branch of the spectrum. However, the higher stiffness due to the MIs led to the necessity of a dissipative system with a lower yielding threshold.
By applying Step 4 of the design procedure, the size of the external supporting structure and the dampers can be determined.
7. Discussion
The procedure developed in this work to design hysteretic dampers for strengthening existing structures can be efficient and general because a non-dimensional approach to the design parameters is introduced.
These parameters are the dimensionless yielding displacement , that is the ratio between the yielding displacement of the dissipative system and that of the original structure, the dimensionless elastic stiffness of the equivalent damper , that is the ratio between the stiffness of the dissipative system and the one of the original structure and , that is the ratio between the ultimate displacement of the original structure (equal to the one of dissipative system) and the yielding one of the original structure (which represents the ductility).
The non-dimensional parameters allow us to understand how to maximize the damping in the retrofitting design by nonlinear analyses. The first is necessary to identify the performance of the as-built structure, and the second must be performed at the end to check the numerical procedure and verify the design via the capacity spectrum method. This latter analysis requires two iterative processes: the first is necessary to define the equivalent dissipative system properties after the identification of the PP as the intersection point between the designed RS curve and the response spectrum damped by the relative equivalent viscous damping ratio; the second is necessary after compatibility checks of the last step, which allows verification of the commercial devices used.
The framework can be easily modified to adapt the design to different configurations, i.e., inside the existing structure as dissipative braces or out of the existing structure as a supporting structure (exoskeleton), and the arrangement, i.e., diagonal or horizontal, on the basis of the relevant force and displacement profiles across the storeys. Notably, the presence of a rigid diaphragm in the existing building is a necessary condition; otherwise, the congruence of the displacements is not maintained. Clearly, the procedure can also be applied to other types of constructions, not only to buildings.
The analysis of the design procedure using non-dimensional parameters can also suggest provisions for standard codes on seismic interventions to upgrade existing RC-framed structures. Further applications of the proposed approach have to be developed to give detailed and numerical rules, but it is already clear that design provisions can underline the important role of the ratio between the stiffness of the dissipative system and the one of the original structure, k*—high values of damping can be attained only when high values of k* are realized by coupling the damper devices with a stiff bracing system, but a warning is important for the designer because the higher k* is, the higher the increment of the base shear that loads the foundation.
If high values of k* are chosen, the design can be effectively realized only with a new external supporting structure because internal braces are usually unable to result in the number and dimensions of the profiles. Another important code recommendation is the assessment of the existing structure, considering in the model the infill walls that amplify the stiffness of the structure and require a different stiffness and ductility of the dissipative system. If the bare frame is considered in the design, the real value of k* is due to the real higher stiffness of the structure, and during the earthquake, the dissipative capacity results in much lower values before the damage of the infill walls.
From the application to a single-bay three-storey RC building, the following conclusions can be drawn:
- In all the designed cases, there is good agreement between the analytical prediction and the numerical analysis performed using the FEM model; the of the solution is 27.2%, which is quite the optimal value for the value of stiffness ratio considered. Only a difference of 3% and 5% from the theoretical design is evaluated, respectively, for the assumption of elastic or plastic behavior of the existing structure.
- With respect to the dissipative system, the DS-to-S elastic stiffness ratio is approximately 4 and 2 for the S-elastic and S-dissipative cases, respectively.
- For the same equivalent viscous damping ratio , considering the S elastic behavior leads to an increment of the required base shear for the retrofitted systems that is approximately 3 times greater than that of the existing structure, while allowing the plasticization of the existing structural elements, this value decreases to 2 times greater.
- Retrofitting intervention by external dissipative systems (Case B) is an attractive solution because it does not overload the existing foundation. For the S-elastic case, the increase in the seismic force affects only the external dissipation system, whereas the existing structure is loaded by the initial base shear , corresponding to 35% of the RS seismic demand.
- With respect to the different arrangements of the dampers, the horizontal layout (Case B) maximizes the dissipation requirement since smaller dampers are needed to obtain the same equivalent viscous damping of the RS curve.
- Considering the MIs in the design procedure for the same , it led to a different sizing of the dissipative system compared with the case of the bare frame. Indeed, the supporting structure is approximately 3.5 times stiffer than the existing structure and has a lower yielding threshold, but a higher stiffness for the dampers (more than two times greater) than the existing structure is needed for the proposed example.
The proposed nondimensional parameters allow the design of the new system, dampers, and bracing or external construction to be generalized if the characteristics of the existing structure are well known. Therefore, especially in retrofitting interventions, the stiffness of the structure without dampers needs to be properly assessed because an evaluation error can lead to an incorrect sizing of the dampers, thus leading to an unexpected behavior of the whole system. For example, when the stiffening effect of the infill walls in framed buildings is neglected, the stiffness of the existing structure is underestimated, and the effectiveness of the dampers can be overestimated.
An efficient design should have the purpose of balancing the parameters at stake to find the most advantageous solution in the dissipative capacity term but should be concretely realizable and satisfactory for the required performance level while also considering the increase in loads on foundations.
The proposed study gives a new focus in the design approach to designing BRB systems to realize a seismic upgrade of existing framed RC structures, evidencing the importance of ratios between the properties of the additional system, braces with dampers, and the existing one; however, the efficiency of the design procedure and the influence of uncertainties due to more complex types of structures (various types of structural irregularities) and seismic input have to be tested, evidencing the general efficiency of these parameters.
Author Contributions
Conceptualization, M.R.P.; methodology, M.R.P.; software, E.P.; validation, A.D.A.; formal analysis, E.P.; investigation, E.P.; resources, M.R.P. and A.D.A.; data curation, E.P.; writing—original draft preparation, E.P.; writing—review and editing, A.D.A.; visualization, E.P.; supervision, M.R.P.; project administration, M.R.P.; funding acquisition, M.R.P. and A.D.A. All authors have read and agreed to the published version of the manuscript.
Funding
This research was funded within the framework of the 2024–2026 Reluis-DPC research program funded by the Italian Civil Protection Department as a contribution to the Work Package 5—Integrated and sustainable interventions for existing buildings.
Institutional Review Board Statement
Not applicable.
Informed Consent Statement
Not applicable.
Data Availability Statement
The raw data supporting the conclusions of this article will be made available by the authors on request.
Conflicts of Interest
The authors declare no conflicts of interest. The funders had no role in the design of the study; in the collection, analyses, or interpretation of data; in the writing of the manuscript; or in the decision to publish the results.
Abbreviations
The following abbreviations are used in this manuscript:
| RC | Reinforced concrete |
| PED | Passive energy dissipation |
| BRBs | Buckling-restrained braces |
| SDOF | Single degree-of-freedom |
| DDBD | Direct displacement-based design |
| MDOF | Multi degree-of-freedom |
| VEDs | Viscoelastic dampers |
| EDI | Energy index |
| NLSA | Nonlinear static analysis |
| ADRS | Acceleration—displacement response spectrum |
| LS | Life safety |
| PP | Performance point |
| MIs | Masonry infills |
| FEM | Finite element model |
References
- Gkournelos, P.D.; Triantafillou, T.C.; Bournas, D.A. Seismic upgrading of existing reinforced concrete buildings: A state-of-the-art review. Eng. Struct. 2021, 240, 112273. [Google Scholar] [CrossRef]
- Di Sarno, L.; Elnashai, A.S. Innovative strategies for seismic retrofitting of steel and composite structures. Prog. Struct. Eng. Mater. 2005, 7, 115–135. [Google Scholar] [CrossRef]
- Nishant, K.R.; Reddy, G.R.; Ramanujam, S.; Venkatraj, V.; Agrawal, P. Seismic response control system for structures. Def. Sci. J. 2019, 59, 239–251. [Google Scholar]
- Qu, G.; Liang, Q.; Li, L.; Bai, X.; Ou, J. A novel optimal design method for tuned mass dampers with elastic motion-limiting stoppers. Earthq. Eng. Struct. Dyn. 2024, 53, 4562–4580. [Google Scholar] [CrossRef]
- Janga, V.Y.; Gourishetty, P.K.; Carboni, B.; Quaranta, G.; Lacarbonara, W. Hysteretic tuned mass damper with bumpers for seismic protection: Modeling, identification, and shaking table tests. J. Sound Vib. 2025, 597, 118816. [Google Scholar] [CrossRef]
- Amano, Y.; Ishikawa, S.; Yoshitake, T.; Kondou, T. Modeling and design of a tuned liquid damper using triangular-bottom tank by a concentrated mass model. Nonlinear Dyn. 2021, 104, 1917–1935. [Google Scholar] [CrossRef]
- Love, J.S.; Tait, M.J. A preliminary design method for tuned liquid dampers conforming to space restrictions. Eng. Struct. 2012, 40, 187–197. [Google Scholar] [CrossRef]
- Takeuchi, T. Buckling-restrained brace: History, design and applications. Key Eng. Mater. 2018, 763, 50–60. [Google Scholar] [CrossRef]
- Rad, M.; Pampanin, S.; Rodgers, G.W. SlaMA-Based retrofit of RC frame buildings using alternative bracing systems. J. Struct. Eng. 2024, 150, 04024154. [Google Scholar] [CrossRef]
- Tsai, R.J.; Hwang, S.J.; Hsiao, F.P.; Weng, P.W.; Shen, W.C. Seismic retrofitting using a bucking-Restrained Brace with a self-joint device. J. Struct. Eng. 2025, 151, 04025102. [Google Scholar] [CrossRef]
- Castaldo, P. Integrated Seismic Design of Structure and Control Systems; Springer International Publishing: Cham, Switzerland, 2014. [Google Scholar] [CrossRef]
- Rabi, R.R.; Bianco, V.; Monti, G. Energy-based method to design hysteretic bracings for the seismic rehabilitation of low-to-medium rise RC frames. Bull. Earthq. Eng. 2022, 20, 587–605. [Google Scholar] [CrossRef]
- Palermo, M.; Laghi, V.; Gasparini, G.; Silvestri, S.; Trombetti, T. A multi-performance seismic design procedure to incorporate Crescent Shaped Braces in mid-rise frame structures. Soil Dynam. Earthq. Eng. 2023, 164, 107625. [Google Scholar] [CrossRef]
- Constantinou, M.C.; Sigaher, A.N. Energy Dissipation System Configurations for Improved Performance. In Proceedings of the Structures Congress 2000, ASCE, Philadelphia, PA, USA, 8–10 May 2000. [Google Scholar] [CrossRef]
- Formisano, A.; Massimilla, A.; Di Lorenzo, G.; Landolfo, R. Seismic retrofit of gravity load designed RC buildings using external steel concentric bracing systems. Eng. Fail. Anal. 2020, 111, 104485. [Google Scholar] [CrossRef]
- Trombetti, T.; Silvestri, S. Novel Schemes for Inserting Seismic Dampers in Shear-Type Systems Based Upon the Mass Proportional Component of the Rayleigh Damping Matrix. J. Sounds Vib. 2007, 302, 486–526. [Google Scholar] [CrossRef]
- Gattulli, V.; Potenza, F.; Lepidi, M. Damping performance of two simple oscillators coupled by a dissipative connection. J. Sound Vib. 2013, 332, 6934–6948. [Google Scholar] [CrossRef]
- Barbagallo, F.; Bosco, M.; Licciardello, E.; Marino, E.M.; Rossi, P.P. Design of Steel Exoskeleton Equipped with BRBs for Seismic Upgrading of RC Frames. Open Constr. Build. Technol. J. 2022, 16, e187483682201060. [Google Scholar] [CrossRef]
- Ferraioli, M.; Pecorari, O.; Mottola, S.; Diana, A. Dissipative steel exoskeletons for seismic retrofit of RC buildings. Arch. Civ. Mech. Eng. 2025, 25, 134. [Google Scholar] [CrossRef]
- Balducci, A. Dissipative Tower for Seismic Protection of Structures. World Intellectual Property Organization Patent WO 2011/023773 A1, 3 March 2011. [Google Scholar]
- Gioiella, L.; Balducci, A.; Carbonari, S.; Gara, F.; Dezi, L. An innovative seismic protection system for existing buildings: External dissipative towers. In Proceedings of the 16th World Conference on Earthquake Engineering, 16WCEE 2017, Santiago, Chile, 9–13 January 2017. [Google Scholar]
- Passoni, C.; Belleri, A.; Marini, A.; Riva, P. Existing structures connected with dampers: State of the art and future developments. In Proceedings of the Second European Conference on Earthquake Engineering and Seismology, Istanbul, Turkey, 25–29 August 2014. [Google Scholar]
- Constantinou, M.C.; Soong, T.T.; Dargush, G.F. Passive Energy Dissipation Systems for Structural Design and Retrofit; Monograph 1998, Series No. 1; Multidisciplinary Center for Earthquake Engineering Research (MCEER) of University of Buffalo: Buffalo, NY, USA, 1998; Printed in the United States of America; ISBN 0-9656682-1-5. [Google Scholar]
- Segovia, V.A.; Ruiz, S.E. Direct Displacement-Based Design for Buildings with Hysteretic Dampers, using Best Combinations of Stiffness and Strength Ratios. J. Earthq. Eng. 2016, 21, 752–775. [Google Scholar] [CrossRef]
- Sahoo, D.R.; Prakash, A. Seismic behavior of concentrically braced frames designed using direct displacement-based method. Int. J. Steel Struct. 2018, 19, 96–109. [Google Scholar] [CrossRef]
- Noruzvand, M.; Mohebbi, M.; Shakeri, K. Modified direct displacement-based design approach for structures equipped with fluid viscous damper. Struct. Control Health Monit. 2019, 27, e2465. [Google Scholar] [CrossRef]
- Bergami, A.V.; Nuti, C. A design procedure of dissipative braces for seismic upgrading structures. Earthq. Struct. 2013, 4, 85–108. [Google Scholar] [CrossRef]
- Fajfar, P. A nonlinear analysis method for performance-based seismic design. Earthq. Spectra 2000, 16, 573–592. [Google Scholar] [CrossRef]
- Paolacci, F. An energy-based design for seismic resistant structures with viscoelastic dampers. Earthq. Struct. 2013, 4, 219–239. [Google Scholar] [CrossRef]
- Losanno, D.; Spizzuoco, M.; Serino, G. An optimal design procedure for a simple frame equipped with elastic deformable dissipative braces. Eng. Struct. 2015, 101, 677–697. [Google Scholar] [CrossRef]
- Mazza, F.; Vulcano, A. Displacement-based design procedure of damped braces for the seismic retrofitting of r.c. framed buildings. Bull. Earthq. Eng. 2015, 13, 2121–2143. [Google Scholar] [CrossRef]
- Mazza, F.; Mazza, M.; Vulcano, A. Displacement-based seismic design of hysteretic damped braces for retrofitting in-elevation irregular r.c. framed structures. Soil Dyn. Earthq. Eng. 2015, 69, 115–124. [Google Scholar] [CrossRef]
- Mazza, F.; Pedace, E.; Favero, F.D. Effectiveness of damped braces to mitigate seismic torsional response of unsymmetric-plan buildings. Mech. Syst. Signal Process. 2017, 85, 610–624. [Google Scholar] [CrossRef]
- Di Cesare, A.; Ponzo, F.C. Seismic retrofit of reinforced concrete frame buildings with hysteretic bracing systems: Design procedure and behaviour factor. Shock Vib. 2017, 2017, 2639361. [Google Scholar] [CrossRef]
- European Committee for Standardization (CEN). Eurocode 8: Design of Structures for Earthquake Resistance—Part 3: Assessment and Retrofitting of Buildings (EN 1998-3); European Committee for Standardization (CEN): Brussels, Belgium, 2005. [Google Scholar]
- Ministerial Decree of 17 January 2018—Technical Standards for Construction; No. 42, Ordinary Supplement No. 8 of February 20; Official Gazette of the Italian Republic: Rome, Italy, 2018. (In Italian)
- Carofilis, W.; Perrone, D.; O’Reilly, G.J.; Monteiro, R.; Filiatrault, A. Seismic retrofit of existing school buildings in Italy: Performance evaluation and loss estimation. Eng. Struct. 2020, 225, 111243. [Google Scholar] [CrossRef]
- Barbagallo, F.; Bosco, M.; Marino, E.M.; Rossi, P.P.; Stramondo, P. A multi-performance design method for seismic upgrading of existing RC frames by BRBs. Earthq. Eng. Struct. Dyn. 2017, 46, 1099–1119. [Google Scholar] [CrossRef]
- De Domenico, D.; Ricciardi, G.; Takewaki, I. Design strategies of viscous dampers for seismic protection of building structures: A review. Soil Dyn. Earthq. Eng. 2019, 118, 144–165. [Google Scholar] [CrossRef]
- Nuzzo, I.; Losanno, D.; Caterino, N. Seismic design and retrofit of frame structures with hysteretic dampers: A simplified displacement-based procedure. Bull. Earthq. Eng. 2019, 17, 2787–2819. [Google Scholar] [CrossRef]
- Bruschi, E.; Quaglini, V.; Calvi, P.M. A simplified design procedure for seismic upgrade of frame structures equipped with hysteretic dampers. Eng. Struct. 2022, 251, 113504. [Google Scholar] [CrossRef]
- Miani, M.; Di Marco, C.; Frappa, G.; Pauletta, M. Effects of Dissipative Systems on the Seismic Behavior of Irregular Buildings—Two Case Studies. Buildings 2020, 10, 202. [Google Scholar] [CrossRef]
- Chen, H.; Bai, J. State-of-the-Art of BRBs in Reinforced Concrete Structures: BRB Units, Connections, Seismic Design, and Performance Evaluation. In Proceedings of the 2022 International Conference on Green Building, Civil Engineering and Smart City; GBCESC 2022. Lecture Notes in Civil Engineering; Guo, W., Qian, K., Eds.; Springer: Singapore, 2022; Volume 211. [Google Scholar] [CrossRef]
- Kong, S.; Shi, F.; Zhou, Y.; Ma, Y.; Xie, L. Influence of BRBs deformation capacity on the seismic performance of RC building frames. Soil Dyn. Earthq. Eng. 2022, 161, 107442. [Google Scholar] [CrossRef]
- Izadpanah, M.; Shahidzadeh, M.S.; Zibasokhan, H. Retrofitting stepped gravity load designed RC buildings with soft-story irregularity by installing hysteretic damper braces. Structures 2025, 78, 109383. [Google Scholar] [CrossRef]
- Kasai, K.; Osabel, D.M.; Sato, D. Characterization and simplified analysis methods for viscoelastic dampers considering heat transfer. Earthq. Eng. Struct. Dyn. 2023, 52, 27–50. [Google Scholar] [CrossRef]
- Lie, W.; Zhou, Y.; Zhang, Q.; Hong, J.; Chen, Z. Potential use of rotational metallic dampers for seismic enhancement of infilled RC frames with open first story. Eng. Struct. 2025, 322, 119080. [Google Scholar] [CrossRef]
- Osabel, D.M.; Kasai, K.; Sato, D. Understanding of full-scale viscoelstic damper behaviour under long-duration loading and formulation of similarity rules for scaled dampers. Earthq. Eng. Struct. Dyn. 2025, 54, 2690–2710. [Google Scholar] [CrossRef]
- Kasai, K.; Matsuda, K. Full-scale dynamic testing of response-controlled buildings and their components: Concepts, methods, and findings. Earthq. Eng. Eng. Vib. 2014, 13, 167–181. [Google Scholar] [CrossRef]
- Couture, B.; Christopoulos, C.; Montgomery, M. Full-scale monitoring of a tall, slender building with viscoelastic coupling dampers. Eng. Struct. 2025, 340, 120637. [Google Scholar] [CrossRef]
- Tubaldi, E.; Freddi, F.; Zona, A.; Dall’Asta, A. Seismic performance of structural systems equipped with buckling-restrained braces. In Proceedings of the Conference: ANIDIS, Pistoia, Italy, 17–21 September 2017. [Google Scholar]
- Dwairi, H.M.; Kowlsky, M.J.; Nau, J.M. Equivalent damping in support of direct displacement-based design. J. Earthq. Eng. 2007, 11, 512–530. [Google Scholar] [CrossRef]
- ATC-40 Seismic Evaluation and Retrofit of Concrete Buildings; ATC-40, Applied Technology Council: Redwood City, CA, USA, 1996.
- Priestley, M.J.N.; Calvi, G.M.; Kowalsky, M.J. Displacement-Based Seismic Design of Structures; IUSS Press: Pavia, Italy, 2007. [Google Scholar]
- Lomiento, G.; Bonessio, N.; Braga, F. Design criteria for added dampers and supporting braces. Seism. Isol. Prot. Syst. 2010, 1, 55–73. [Google Scholar] [CrossRef]
- Elnashai, A.S.; Di Sarno, L. Fundamentals of Earthquake Engineering; John Wiley & Sons, Ltd.: Hoboken, NJ, USA, 2008. [Google Scholar] [CrossRef]
- Habib, A.; Yildirim, U. Influence of Isolator Properties and Earthquake Characteristics on the Seismic Behavior of RC Structure Equipped with Quintuple Friction Pendulum Bearings. Int. J. Struct. Stab. Dyn. 2023, 23, 2350060. [Google Scholar] [CrossRef]
- Habib, A.; Yildirim, U. Distribution of strong input energy in base-isolated structures with complex nonlinearity: A parametric assessment. Multidiscip. Model. Mater. Struct. 2023, 19, 324–340. [Google Scholar] [CrossRef]
- Computers and Structures SAP2000 Version 18; Computers and Structures: Walnut Creek, CA, USA, 2016.
- Mazza, F. In-plane and out-of-plane nonlinear seismic response of masonry infills for hospitals retrofitted with hysteretic damped braces. Soil Dyn. Earthq. Eng. 2021, 148, 106803. [Google Scholar] [CrossRef]
- Dolšek, M.; Fajfar, P. The effect of masonry infills on the seismic response of a four-storey reinforced concrete frame—A deterministic assessment. Eng. Struct. 2008, 30, 1991–2001. [Google Scholar] [CrossRef]
Disclaimer/Publisher’s Note: The statements, opinions and data contained in all publications are solely those of the individual author(s) and contributor(s) and not of MDPI and/or the editor(s). MDPI and/or the editor(s) disclaim responsibility for any injury to people or property resulting from any ideas, methods, instructions or products referred to in the content. |
© 2025 by the authors. Licensee MDPI, Basel, Switzerland. This article is an open access article distributed under the terms and conditions of the Creative Commons Attribution (CC BY) license (https://creativecommons.org/licenses/by/4.0/).