Velocity-Based Approaches More Accurately Estimated the One-Repetition Maximum (1RM) After Four Weeks of Training Compared to Baseline and Group-Adjusted 1RM Approaches
Abstract
Featured Application
Abstract
1. Introduction
2. Materials and Methods
2.1. Subjects
2.2. Study Design
2.3. Testing Procedures
2.4. Training Procedures
2.5. Measurement Equipment and Data Analysis
- -
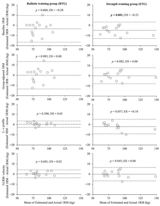
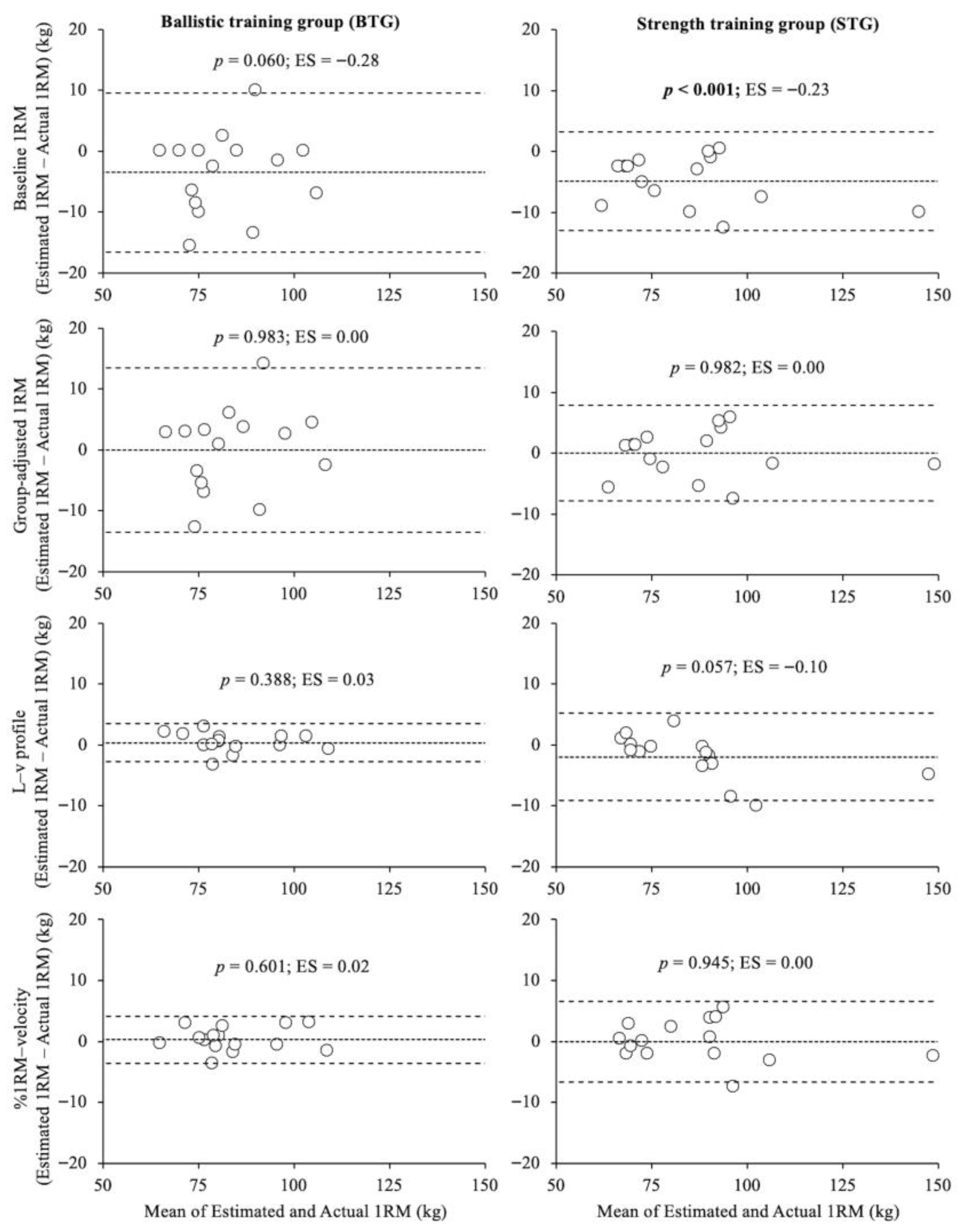
- Baseline 1RM. The 1RM value obtained prior to the 4-week training intervention was used without any modification, reflecting the scenario in which no change in maximal strength is assumed during the intervention period.
- -
- Group-adjusted 1RM. The pre-test 1RM was adjusted by applying the group-level percentage change observed in 1RM after the training intervention (4.3% for BTG and 5.9% for STG). Although this method assumes a known improvement rate, which is only available retrospectively, it was included to explore the potential accuracy of such an adjustment under ideal conditions.
- -
- Post-intervention L–v profile. A L–v profile was constructed during the post-intervention test using all submaximal loads up to the first load at which MV dropped below 0.45 m·s−1 (≈80%1RM). A linear regression model was applied to these data, and the estimated 1RM was defined as the load corresponding to an MV of 0.17 m·s−1 [15].
- -
- Baseline %1RM–velocity extrapolation. Each subject’s individual %1RM–MV relationship was established from the pre-test data using a linear regression model, including all submaximal loads and the actual 1RM trial. During the post-test, the MV recorded at the first load in which MV dropped below 0.45 m·s−1 (0.37 ± 0.06 m·s−1; 87 ± 3%1RM) was used to infer the corresponding %1RM based on the pre-test individual %1RM–MV relationship. The estimated 1RM was then calculated using the formula: load lifted (kg) × 100/inferred %1RM.
2.6. Statistical Analyses
3. Results
4. Discussion
5. Conclusions
Funding
Institutional Review Board Statement
Informed Consent Statement
Data Availability Statement
Acknowledgments
Conflicts of Interest
Abbreviations
| 1RM | One-repetition maximum |
| ANOVA | Analysis of variance |
| BP | Bench press |
| BTG | Ballistic training group |
| CV | Coefficient of variation |
| ES | Effect size |
| ICC | Intraclass correlation coefficient |
| L–v | Load–velocity |
| MV | Mean velocity |
| RT | Resistance training |
| SD | Standard deviation |
| STG | Strength training group |
| VBT | Velocity-based training |
References
- Ratamess, N.A.; Alvar, B.A.; Evetoch, T.K.; Housch, T.J.; Kibler, W.B.; Kraemer, W.J.; Triplett, N.T. American College of Sports Medicine Position Stand. Progression Models in Resistance Training for Healthy Adults. Med. Sci. Sports Exerc. 2009, 41, 687–708. [Google Scholar] [CrossRef]
- Suchomel, T.J.; Nimphius, S.; Bellon, C.R.; Hornsby, W.G.; Stone, M.H. Training for Muscular Strength: Methods for Monitoring and Adjusting Training Intensity. Sports Med. 2021, 51, 2051–2066. [Google Scholar] [CrossRef]
- Thompson, S.W.; Rogerson, D.; Ruddock, A.; Barnes, A. The Effectiveness of Two Methods of Prescribing Load on Maximal Strength Development: A Systematic Review. Sports Med. 2020, 50, 919–938. [Google Scholar] [CrossRef]
- Steele, J.; Malleron, T.; Har-Nir, I.; Androulakis-Korakakis, P.; Wolf, M.; Fisher, J.P.; Halperin, I. Are Trainees Lifting Heavy Enough? Self-Selected Loads in Resistance Exercise: A Scoping Review and Exploratory Meta-Analysis. Sports Med. 2022, 52, 2909–2923. [Google Scholar] [CrossRef]
- Reynolds, J.M.; Gordon, T.J.; Robergs, R.A. Prediction of One Repetition Maximum Strength from Multiple Repetition Maximum Testing and Anthropometry. J. Strength Cond. Res. 2006, 20, 584–592. [Google Scholar] [CrossRef]
- Grgic, J.; Lazinica, B.; Schoenfeld, B.J.; Pedisic, Z. Test–Retest Reliability of the One-Repetition Maximum (1RM) Strength Assessment: A Systematic Review. Sports Med. Open 2020, 6, 31. [Google Scholar] [CrossRef]
- Pereira, M.; Gomes, P. Muscular Strength and Endurance Tests: Reliability and Prediction of One Repetition Maximum—Review and New Evidences. Revista Brasileira de Medicina do Esporte 2003, 9, 336–346. [Google Scholar]
- Frost, D.M.; Bronson, S.; Cronin, J.B.; Newton, R.U. Changes in Maximal Strength, Velocity, and Power after 8 Weeks of Training with Pneumatic or Free Weight Resistance. J. Strength Cond. Res. 2016, 30, 934–944. [Google Scholar] [CrossRef]
- Tokmakidis, S.P.; Kalapotharakos, V.I.; Smilios, I.; Parlavantzas, A. Effects of Detraining on Muscle Strength and Mass after High or Moderate Intensity of Resistance Training in Older Adults. Clin. Physiol. Funct. Imaging 2009, 29, 316–319. [Google Scholar] [CrossRef] [PubMed]
- Şentürk, D.; Akyildiz, Z.; Janicijevic, D.; García-Ramos, A. Sensitivity of the Load-Velocity Relationship Variables to Discriminate the Level of Fatigue Induced by Multiple Sets of the Hexagonal Barbell Deadlift Exercise. J. Strength Cond. Res. 2025, 39, 407–413. [Google Scholar] [CrossRef] [PubMed]
- Häkkinen, K.; Pakarinen, A. Acute Hormonal Responses to Two Different Fatiguing Heavy-Resistance Protocols in Male Athletes. J. Appl. Physiol. 1993, 74, 882–887. [Google Scholar] [CrossRef]
- Helms, E.R.; Byrnes, R.K.; Cooke, D.M.; Haischer, M.H.; Carzoli, J.P.; Johnson, T.K.; Cross, M.R.; Cronin, J.B.; Storey, A.G.; Zourdos, M.C. RPE vs. Percentage 1RM Loading in Periodized Programs Matched for Sets and Repetitions. Front. Physiol. 2018, 9, 247. [Google Scholar] [CrossRef]
- Fleck, S.J.; Kraemer, W.J. Designing Resistance Training Programs; Human Kinetics; Bloomsbury Academic: London, UK, 2014; ISBN 0736081704. [Google Scholar]
- Weakley, J.; Mann, B.; Banyard, H.; McLaren, S.; Scott, T.; Garcia-Ramos, A. Velocity-Based Training: From Theory to Application. Strength Cond. J. 2021, 43, 31–49. [Google Scholar] [CrossRef]
- Garcia-Ramos, A. Resistance Training Intensity Prescription Methods Based on Lifting Velocity Monitoring. Int. J. Sports Med. 2024, 45, 257–266. [Google Scholar] [CrossRef]
- García-Ramos, A. Velocity-Based Training. Prescribing and Assessing the Effects of Resistance Training; Routledge: Abingdon, UK, 2025; ISBN 9780367756901. [Google Scholar]
- LeMense, A.T.; Malone, G.T.; Kinderman, M.A.; Fedewa, M.V.; Winchester, L.J. Validity of Using the Load-Velocity Relationship to Estimate 1 Repetition Maximum in the Back Squat Exercise: A Systematic Review and Meta-Analysis. J. Strength Cond. Res. 2024, 38, 612–619. [Google Scholar] [CrossRef] [PubMed]
- Greig, L.; Aspe, R.R.; Hall, A.; Comfort, P.; Cooper, K.; Swinton, P.A. The Predictive Validity of Individualised Load-Velocity Relationships for Predicting 1RM: A Systematic Review and Individual Participant Data Meta-Analysis. Sports Med. 2023, 53, 1693–1708. [Google Scholar] [CrossRef]
- Cormie, P.; McGuigan, M.R.; Newton, R.U. Adaptations in Athletic Performance after Ballistic Power versus Strength Training. Med. Sci. Sports Exerc. 2010, 42, 1582–1598. [Google Scholar] [CrossRef] [PubMed]
- Pérez-Castilla, A.; García-Ramos, A. Changes in the Load-Velocity Profile Following Power and Strength-Oriented Resistance-Training Programs. Int. J. Sports Physiol. Perform. 2020, 15, 1460–1466. [Google Scholar] [CrossRef] [PubMed]
- Cuevas-Aburto, J.; Janicijevic, D.; Pérez-Castilla, A.; Chirosa-Ríos, L.J.; García-Ramos, A. Changes in Bench Press Performance and Throwing Velocity after Strength-Oriented and Ballistic Resistance Training Programs. J. Sports Med. Phys. Fitness 2020, 60, 1423–1430. [Google Scholar] [CrossRef]
- Martínez-Cava, A.; Hernández-Belmonte, A.; Courel-Ibáñez, J.; Morán-Navarro, R.; González-Badillo, J.J.; Pallarés, J.G. Reliability of Technologies to Measure the Barbell Velocity: Implications for Monitoring Resistance Training. PLoS ONE 2020, 15, e0232465. [Google Scholar] [CrossRef]
- Hopkins, W. Spreadsheets for Analysis of Validity and Reliability. 2015. Available online: https://sportsci.org/2015/ValidRely.htm (accessed on 17 May 2025).
- Hopkins, W.G.; Marshall, S.W.; Batterham, A.M.; Hanin, J. Progressive Statistics for Studies in Sports Medicine and Exercise Science. Med. Sci. Sports Exerc. 2009, 41, 3–13. [Google Scholar] [CrossRef]
- González-Badillo, J.J.; Sánchez-Medina, L.; Ribas-Serna, J.; Rodríguez-Rosell, D. Toward a New Paradigm in Resistance Training by Means of Velocity Monitoring: A Critical and Challenging Narrative. Sports Med. Open 2022, 8, 118. [Google Scholar] [CrossRef]
- Schoenfeld, B.; Ogborn, D.; Krieger, J. Dose-Response Relationship between Weekly Resistance Training Volume and Increases in Muscle Mass: A Systematic Review and Meta-Analysis. J. Sports Sci. 2017, 35, 1073–1082. [Google Scholar] [CrossRef]
- Borde, R.; Hortobágyi, T.; Granacher, U. Dose-Response Relationships of Resistance Training in Healthy Old Adults: A Systematic Review and Meta-Analysis. Sports Med. 2015, 45, 1693–1720. [Google Scholar] [CrossRef]
- Schoenfeld, B.J.; Ogborn, D.; Krieger, J.W. The Dose-Response Relationship between Resistance Training Volume and Muscle Hypertrophy: Are There Really Still Any Doubts? J. Sports Sci. 2017, 35, 1985–1987. [Google Scholar] [CrossRef] [PubMed]
- Lesinski, M.; Prieske, O.; Granacher, U. Effects and Dose-Response Relationships of Resistance Training on Physical Performance in Youth Athletes: A Systematic Review and Meta-Analysis. Br. J. Sports Med. 2016, 50, 781–795. [Google Scholar] [CrossRef] [PubMed]
- Ramirez-Campillo, R.; Díaz, D.; Martínez, C.; Valdés-Badilla, P.; Delgado-Floody, P.; Méndez-Rebolledo, G.; Cañas-Jamet, R.; Cristi-Montero, C.; García-Hermoso, A.; Celis-Morales, C.; et al. Effects of Different Doses of High-Speed Resistance Training on Physical Performance and Quality of Life in Older Women: A Randomized Controlled Trial. Clin. Interv. Aging 2016, 11, 1797–1804. [Google Scholar] [CrossRef]
- Chang, Y.K.; Etnier, J.L. Exploring the Dose-Response Relationship between Resistance Exercise Intensity and Cognitive Function. J. Sport Exerc. Psychol. 2009, 31, 640–656. [Google Scholar] [CrossRef]
- Rhea, M.R.; Alvar, B.A.; Burkett, L.N.; Ball, S.D. A Meta-Analysis to Determine the Dose Response for Strength Development. Med. Sci. Sports Exerc. 2003, 35, 456–464. [Google Scholar] [CrossRef] [PubMed]
- Peterson, M.D.; Rhea, M.R.; Alvar, B.A. Applications of the Dose-Response for Muscular Strength Development: A Review of Meta-Analytic Efficacy and Reliability for Designing Training Prescription. J. Strength Cond. Res. 2005, 19, 950–958. [Google Scholar] [CrossRef]
- Lacio, M.; Vieira, J.G.; Trybulski, R.; Campos, Y.; Santana, D.; Filho, J.E.; Novaes, J.; Vianna, J.; Wilk, M. Effects of Resistance Training Performed with Different Loads in Untrained and Trained Male Adult Individuals on Maximal Strength and Muscle Hypertrophy: A Systematic Review. Int. J. Environ. Res. Public Health 2021, 18, 11237. [Google Scholar] [CrossRef]
- Marshall, P.W.M.; McEwen, M.; Robbins, D.W. Strength and Neuromuscular Adaptation Following One, Four, and Eight Sets of High Intensity Resistance Exercise in Trained Males. Eur. J. Appl. Physiol. 2011, 111, 3007–3016. [Google Scholar] [CrossRef]
- Jiménez-Reyes, P.; Castaño-Zambudio, A.; Cuadrado-Peñafiel, V.; González-Hernández, J.M.; Capelo-Ramírez, F.; Martínez-Aranda, L.M.; González-Badillo, J.J. Differences between Adjusted vs. Non-Adjusted Loads in Velocity-Based Training: Consequences for Strength Training Control and Programming. PeerJ 2021, 9, e10942. [Google Scholar] [CrossRef] [PubMed]
- Renner, A.; Mitter, B.; Baca, A. Concurrent Validity of Novel Smartphone-Based Apps Monitoring Barbell Velocity in Powerlifting Exercises. PLoS ONE 2024, 19, e0313919. [Google Scholar] [CrossRef] [PubMed]
- Lopez-Torres, O.; Fernandez-Elias, V.E.; Li, J.; Gomez-Ruano, M.A.; Guadalupe-Grau, A. Validity and Reliability of a New Low-Cost Linear Position Transducer to Measure Mean Propulsive Velocity: The ADR Device. Proc. Inst. Mech. Eng. Part P: J. Sports Eng. Technol. 2022, 239, 126–134. [Google Scholar] [CrossRef]
- Dankel, S.J.; Bell, Z.W.; Spitz, R.W.; Wong, V.; Viana, R.B.; Chatakondi, R.N.; Buckner, S.L.; Jessee, M.B.; Mattocks, K.T.; Mouser, J.G.; et al. Assessing Differential Responders and Mean Changes in Muscle Size, Strength, and the Crossover Effect to 2 Distinct Resistance Training Protocols. Appl. Physiol. Nutr. Metab. 2020, 45, 463–470. [Google Scholar] [CrossRef]
- Macarilla, C.T.; Sautter, N.M.; Robinson, Z.P.; Juber, M.C.; Hickmott, L.M.; Cerminaro, R.M.; Benitez, B.; Carzoli, J.P.; Bazyler, C.D.; Zoeller, R.F.; et al. Accuracy of Predicting One-Repetition Maximum from Submaximal Velocity in The Barbell Back Squat and Bench Press. J. Hum. Kinet. 2022, 82, 201–212. [Google Scholar] [CrossRef]
- LeSuer, D.A.; McCormick, J.H.; Mayhew, J.L.; Wasserstein, R.L.; Arnold, M.D. The Accuracy of Prediction Equations for Estimating 1-RM Performance in the Bench Press, Squat, and Deadlift. J. Strength Cond. Res. 1997, 11, 211–213. [Google Scholar] [CrossRef]


Disclaimer/Publisher’s Note: The statements, opinions and data contained in all publications are solely those of the individual author(s) and contributor(s) and not of MDPI and/or the editor(s). MDPI and/or the editor(s) disclaim responsibility for any injury to people or property resulting from any ideas, methods, instructions or products referred to in the content. |
© 2025 by the author. Licensee MDPI, Basel, Switzerland. This article is an open access article distributed under the terms and conditions of the Creative Commons Attribution (CC BY) license (https://creativecommons.org/licenses/by/4.0/).
Share and Cite
García-Ramos, A. Velocity-Based Approaches More Accurately Estimated the One-Repetition Maximum (1RM) After Four Weeks of Training Compared to Baseline and Group-Adjusted 1RM Approaches. Appl. Sci. 2025, 15, 10874. https://doi.org/10.3390/app152010874
García-Ramos A. Velocity-Based Approaches More Accurately Estimated the One-Repetition Maximum (1RM) After Four Weeks of Training Compared to Baseline and Group-Adjusted 1RM Approaches. Applied Sciences. 2025; 15(20):10874. https://doi.org/10.3390/app152010874
Chicago/Turabian StyleGarcía-Ramos, Amador. 2025. "Velocity-Based Approaches More Accurately Estimated the One-Repetition Maximum (1RM) After Four Weeks of Training Compared to Baseline and Group-Adjusted 1RM Approaches" Applied Sciences 15, no. 20: 10874. https://doi.org/10.3390/app152010874
APA StyleGarcía-Ramos, A. (2025). Velocity-Based Approaches More Accurately Estimated the One-Repetition Maximum (1RM) After Four Weeks of Training Compared to Baseline and Group-Adjusted 1RM Approaches. Applied Sciences, 15(20), 10874. https://doi.org/10.3390/app152010874
