Next Article in Journal
Sillcom: A Communication-Efficient Privacy-Preserving Scheme for Indoor Localization
Previous Article in Journal
Modeling of Historical Marine Casualty on S-100 Electronic Navigational Charts
Previous Article in Special Issue
Modeling Heat Consumption of an Office Building During COVID-19 Restrictions
 
 
Font Type:
Arial Georgia Verdana
Font Size:
Aa Aa Aa
Line Spacing:
Column Width:
Background:
Article

Assessment of Energy Efficiency and Energy Poverty of the Residential Building Stock of the City of Seville Using GIS

by
Antonio J. Aguilar
1,
María L. de la Hoz-Torres
2,*,
Joaquín Aguilar-Camacho
3 and
María Fernanda Guerrero-Rivera
4
1
Department of Building Construction, University of Granada, 18071 Granada, Spain
2
Department of Architectural Graphic Expression and Engineering, University of Granada, 18071 Granada, Spain
3
Department of Graphic Engineering, University of Seville, 41012 Seville, Spain
4
Department of Building Construction II, University of Seville, 41012 Seville, Spain
*
Author to whom correspondence should be addressed.
Appl. Sci. 2025, 15(12), 6438; https://doi.org/10.3390/app15126438
Submission received: 8 May 2025 / Revised: 2 June 2025 / Accepted: 5 June 2025 / Published: 7 June 2025

Abstract

In the European Union, 75% of the residential building stock is estimated to have energy inefficiencies, which increases the probability of falling into energy poverty. Poor thermal conditions reduce the quality of life of dwelling occupants. Renovating the residential building stock is essential to reduce energy consumption, CO2 emissions, and energy poverty in cities. This study aims to assess and map the energy efficiency and energy poverty of residential buildings in Seville at the urban district and census tract level. A total of 45,908 dwellings were evaluated using data from the Energy Performance Certificates database and demographic and economic information from national and official databases. The analysis considers dwelling typology, year of construction, average household income, and geographic location at the district and census tract level. The results show that Seville’s residential building stock performs poorly, with 83% and 92% of dwellings rated “E” or lower for energy consumption and CO2 emissions, respectively. The findings of this GIS-based study help identify urban areas with less efficient buildings and higher energy poverty risk, providing valuable information to develop targeted renovation strategies and reduce the climate impact of Seville’s residential building stock.

1. Introduction

Climate change is one of the greatest current and future challenges facing humanity. Energy consumption, at the heart of the development of societies, is responsible for more than three quarters of greenhouse gas emissions [1]. In the European Union (EU), the construction sector accounts for 50% of energy consumption and 36% of greenhouse gas emissions over the life cycle of a building [2]. The building sector is therefore a key area for mitigating the effects of climate change [3].
The energy required for the operation of dwellings is a variable that depends on multiple parameters, such as the characteristics of buildings, thermal envelopes, household consumption patterns and local climatic conditions. In the EU, air conditioning accounts for 64.1% of household energy expenditure, followed by water heating (14.9%), appliances and lighting (13.9%) and other uses (6.9%) [4]. The energy efficiency of buildings is crucial to maintaining the thermal comfort of the building’s occupants at low energy consumption, thus reducing the environmental impact [5].
In this context, the European Commission has already warned that 75% of the EU building stock is considered energy inefficient [2]. Energy-inefficient buildings not only lead to higher energy consumption and greenhouse gas emissions but also increase the percentage of household income spent on energy bills and, at the same time, increase the likelihood of thermal discomfort for their occupants, leading to reductions in their quality of life [6]. Suitable indoor thermal conditions in buildings are crucial to ensure the health and well-being of their occupants [7,8]. Previous studies proposed models for managing buildings and optimizing the thermal comfort [9]. Indoor thermal environments with operative temperatures outside the thermal comfort thresholds can have adverse effects on the physical and mental health of their occupants [10].
Those dwellings that are unable to afford to meet basic energy needs or spend an unreasonably high proportion of their income for this purpose are considered energy poor [11,12]. Energy poverty affects the most vulnerable households in Europe and its causes can be multidimensional, stemming from low household incomes, energy inefficiency and poor quality of dwellings [12,13]. The European Observatory on Energy Poverty suggests assessing this condition through indicators such as high share of energy expenditure in income (2M), the Low Absolute Energy Expenditure index (M/2 or also called Hidden energy poverty HEP), the percentage of population unable to keep home warm, and the percentage of population with arrears on energy bills [14,15].
Energy efficiency in dwellings is a key factor in the context of social equity, climate change mitigation and energy poverty. Numerous proposals and initiatives have been developed globally to mitigate its socio-economic effects. For example, the adoption of the 2030 Agenda for Sustainable Development Goals of the UN states in goal 7 ‘Ensure access to affordable, secure, sustainable and modern energy for all’ [16]. The EU’s Climate and Energy Action Framework also sets out commitments to deliver a ‘sustainable, competitive and decarbonised energy system by 2050’, comprising short (2030), medium (2040) and long term (2050) targets for its member states [17].
Recent changes to the European Directives [18,19] have raised the EU’s energy efficiency targets, including (1) intensifying energy savings obligations and emphasizing increased energy efficiency for consumers and residents of social housing; (2) achieving a fully decarbonised housing stock by 2050; (3) providing a stable environment for investment decisions; and (4) enabling consumers and businesses to make more informed choices to save money and energy. These ambitious goals pose significant challenges for the EU member states. In Spain, the Long-term Strategy for the Energy Rehabilitation of Buildings (ERESEE) [20] sets out the actions, regulations [21,22] and procedures [23] required to improve the energy efficiency of dwellings. The Energy Performance Certificates (EPC) set a common framework for the evaluation and comparison of the expected consumption of non-renewable energy and CO2 emissions to the atmosphere. The EPC evaluate the energy efficiency and expected emissions of a building, using a numerical scale from “A” to “G”, with A being the most efficient and G the least [23].
In terms of energy poverty, this has become a crucial issue on the public policy agenda in Spain. The “National Strategy against Energy Poverty 2019–2024” aims to combat energy poverty and ensure access to affordable, efficient and sustainable energy services [24]. Costa-Campi et al. [25] approached the analysis of this phenomenon in Spain from different perspectives, revealing its complexity and the need for multidimensional approaches. At the urban level, specific research on energy poverty has been carried out in cities such as Madrid, where the feminization of this phenomenon has also been studied. Through analyses based on statistical data and Geographic Information Systems (GIS), gender inequalities in energy access have been characterized, suggesting that women face differentiated deprivation conditions [26]. Other approaches, such as the one proposed by Fabbri and Gaspari [27] to analyse the city of Bologna, show the use of building energy performance to map energy poverty. The methodology used combines the assessment of energy costs and the calculation of energy poverty thresholds, allowing the creation of maps that can be used to design strategies at the city level.
As progress is made in understanding energy poverty and its determinants, it becomes clear that coordinated public policies adapted to local realities are required to mitigate energy poverty impact. EPCs and Energy Poverty Indices provide key information to analyse and compare the state of the building stock of a city. Although numerous studies have explored energy poverty at the city or district scale, they often overlook intra-district disparities. In the case of Seville, no study has yet addressed the analysis of energy efficiency and the vulnerability of families to energy poverty at the census tract level. This lack of detailed spatial assessment prevents the identification of high-risk areas where vulnerable dwellings are more likely to be affected by energy poverty. This article aims to address this research gap by providing a finer-scale analysis that can support more targeted and effective policy responses.
In this context, the objective of this study is to evaluate and identify, at the urban scale, the energy efficiency and vulnerability to energy poverty of the residential real estate stock in Seville, Spain. The analysis is carried out with a total of 45,908 residential real estate records, classified in two categories: Dwellings in Multi-family residential Buildings (DMB) and Single Family Dwellings (SFD). The results obtained make it possible to identify the current state of the residential building stock in the city of Seville, to quantify and locate the areas where energy-deficient buildings are concentrated, as well as to determine their extension and critical areas requiring intervention.

2. Materials and Methods

2.1. City Selected

Seville, the capital of the autonomous community of Andalusia, is located in southern Spain (coordinates 37.38863, −5.99534). Seville has a population of 693,229 inhabitants and is the fourth most populous city in Spain [28] and the most populous city in Andalusia. This city is located on an alluvial plain formed by the Guadalquivir River [29], which generates a relatively flat terrain at an average elevation of 5 masl [30]. Seville has an area of 140.52 km2 [31] and is composed of 532 census tracts grouped into 11 districts (Figure 1 and Table 1). The distribution of the average annual income per household among the districts shows a marked socioeconomic heterogeneity in Seville. In this sense, the district of “Los Remedios” shows the highest average incomes, in contrast to the district of “Cerro-Amate,” which shows the lowest average incomes [32].
Among the different districts, Cerro-Amate district is the second most densely populated district in the city [28] and has a predominant residential area distributed in 69 census tracts [31]. This is the 4th district of Seville and is located in the eastern part of the city, bordered by neighborhoods such as San Pablo-Santa Justa and Nervión, and to the south by the Alcalá de Guadaíra municipality. This district has been selected to carry out a specific assessment of energy efficiency and vulnerability at the census tract level due to its high representativeness in the sample selected with respect to other districts of Seville. The Cerro-Amate district has diverse socio-economic characteristics and a diverse building stock. The variability in building typology includes both individual block dwellings and single-family houses, built in different periods and in different states of preservation, which provides a context of high variability.

2.2. Methods

The methodology used in this study is based on 5 phases (Figure 2): (1) Data extraction, (2) Data processing, (3) Data analysis and (4) Energy poverty mapping. Data processing and analysis are performed using Python 3.12 and QGIS 3.34.11 ‘Prizren’. Python is used for statistical analysis, while QGIS facilitates the visual representation of data on cartographic maps [33].

2.2.1. Data Extraction

The study is based on information extracted from: (1) the EPC database [34], (2) the Spanish cadastre database [35], and (3) the Spanish National Statistics Institute (INE) [31,32]. Table 2 contains the variables extracted from the consulted databases. The dataset used in this study was retrieved from the open-access databases on 27 August 2024. It should be noted that the EPC database is continuously updated, and records added after this date were not considered in the present study.

2.2.2. Data Processing

The procedure described below was applied to the database of EPCs (Figure 3). The database initially contained 68,062 energy certificate records. The first step was to unify the format of the records according to the attributes: year of construction, building regulations, typology of the record and postcode. Subsequently, the records in the database were filtered according to their typology, selecting and separating only those corresponding to ‘Dwellings in Multi-family residential Buildings’ (DMB) and ‘Single-family dwellings’ (SFD). Afterwards, the cadastral references, which uniquely identify each property by means of 14–20 digits, were verified to ensure that they were correctly registered. Those data that did not meet this requirement were eliminated.
As a last step, registers with missing data, duplicate cadastral references, and those located outside Seville city were excluded. An analysis of the variables was carried out to identify and eliminate data with atypical and verifiable values in the cadastral database, such as year of construction and area of construction, in order to have more representative values in the sample. This step has resulted in a 32.5% reduction of the initial data, i.e., a total of 45,908 records have been used in this study (of which 40,676 (88.6%) are DMB and 5232 (11.4%) are SFD).

2.2.3. Data Analysis

The analysis of the energy efficiency of dwellings has been carried out at the building level. Since the database includes the cadastral records of each dwelling, the building energy efficiency calculation proposal of Conticelly et al. [36] is used to find the weighted average consumption and CO2 emissions of the building (Equations (1) and (2)).
E P n r , a v g = i = 1 n E P n r , i · A i i = 1 n A i
C O 2 , a v g = i = 1 n C O 2 , i · A i i = 1 n A i
where E P n r , a v g is the average weighted non-renewable energy consumption of the building (kWh/m2·year); C O 2 , a v g is the average CO2 emissions of the building (kgCO2/m2·year); A i is the area of dwelling i (m2); E P n r , i is the average consumption of each dwelling (kWh/m2·year); C O 2 , i is the average CO2 emission of each dwelling (kgCO2/m2·year); and n is the number of dwellings assessed per building block.
The Energy Expenditure to Income Ratio (EEIR) is the monthly percentage of income used to pay for energy for air-conditioning in a dwelling. The EPC database contains the values of the expected energy demand of non-renewable energy consumption ( E P n r ) for each dwelling. This value was used to calculate the currency value of the consumption. The currency value of the Energy Expenditure (EE) is obtained using the methodology proposed by Bienvenido-Huertas et al. [37] (Equations (3) and (4)).
E E i = V A T · ( E E B T i + E E B T i · S T E )
E E B T = E P n r , i · E P · A i + C P + E R
where VAT (Value Added Tax) corresponds to 1.21; S T E is the Special Tax on Electricity set at 3.8% [38]. E E B T is the Energy Expenditure Before Taxes and is calculated by Equation (4). E P n r , i is the expected energy consumption demand of non-renewable energy of each property; E P is the net price of domestic electricity (which for 2021 is set at 0.162 €/kWh [39]); A i corresponds to the area of the dwelling i in m2; E R is the equipment rental (this fixed cost for a simple single-phase meter corresponds to 0.54 €/month [40]); C P is the cost associated with the contracted power and is calculated with Equation (5) (assuming a typical contracted power of 4.60 kW).
C P = 0.136712   K w   d a y · 365   d a y s · 4.60   k W
The EEIR indicator is used to assess energy vulnerability and is calculated using Equation (6).
E E I R = E E i A I i
where E E i is the energy expenditure of the dwelling i and A I i is the annual income per household of the dwelling i .
Based on the results obtained, the 2M indicator is calculated. This indicator is one of the 4 indicators proposed by the EU Energy Poverty Observatory and adopted by the ENPE 2019–2024 [24] to estimate energy poverty. The 2M indicator measures a dwelling’s disproportionate expenditure on energy services. It is calculated as the percentage of dwellings whose energy expenditure is more than twice the national median [24]. The calculation of the 2M indicator is derived from the EEIR. The reference value of 2M is twice the national median established annually. The 2M is a variable reference value and depends on the aggregated energy behavior of the country. In Spain, this value corresponds to 8.8–9% for 2021 [41]. For the purposes of this study, the energy poverty threshold (2M) is set at 10%, and the energy poverty vulnerability threshold is set at 5% (i.e., energy poverty vulnerability arises when half of the value of the energy poverty threshold is reached). These values (Table 3) are also adopted in other previous studies carried out in Madrid by Sánchez-Guevara et al. [42].

2.2.4. Energy Poverty Mapping

Once the Energy Expenditure-to-Income Ratio (EEIR) index has been calculated, a GIS system is used to map it on the urban territory. The methodology involves mapping district-level EPC data using a city shapefile within the QGIS environment. The first step in the mapping process involves assessing the energy performance of buildings. The E P n r , a v g consumption is mapped, as this spatial representation allows for the systematic identification of urban areas with the highest average weighted non-renewable energy consumption. Subsequently, the Energy poverty threshold (2M) value and the Energy poverty vulnerability threshold value (see Table 3) are used to classify dwellings according to three levels of energy vulnerability: low vulnerability when EEIR is less than or equal to the energy poverty vulnerability threshold (EEIR ≤ 5%); moderate vulnerability when EEIR is between the energy poverty vulnerability threshold and the energy poverty threshold (5% < EEIR < 10%); and high vulnerability when EEIR is equal to or greater than the energy poverty threshold (EEIR ≥ 10%). This mapping process facilitates the identification of areas across the city where energy performance is notably poor, highlighting critical energy vulnerability zones for targeted interventions.
Based on the results obtained, an analysis of energy efficiency and vulnerability to energy poverty has been carried out. A spatial analysis is carried out to identify districts with the poorest energy performance, focusing on areas with the greatest potential for improvement. It should be noted the limitations of this study. Firstly, it does not consider vulnerability and hidden energy poverty, i.e., those households that reduce their consumption to the minimum in order to be able to afford their energy bills, which is not reflected in the analysis of the 2M indicator.

2.3. Statistical Analysis

A statistical comparison between districts was also carried out in this study. For this purpose, Kolmogorov-Smirnov tests were used to check for normality. If the data were normally distributed, an ANOVA test is used to determine the existence of statistically significant differences between districts, followed by a Tukey test for post-hoc pairwise comparisons. Otherwise, if the data were not normally distributed, the non-parametric Kruskal-Wallis test and the Dunn’s test for post-hoc pairwise comparisons are used instead. The Tukey and Dunn’s post-hoc tests are used to explore further, when differences between districts are statistically significant, which specific districts differ. To determine whether differences between pairs of districts are significant, a significance level of 0.05 is chosen as a threshold.

3. Results

3.1. Energy Performance Statistical Results

The database analyzed in this study includes 45,908 dwellings. The sample is characterized by the high variability of the parameters evaluated, where there are dwellings with years of construction from 1850 to 2023 and dwellings with floor areas ranging from 12 to 1160 m2. The results obtained show that 60% of the dwellings were built before the NBE CT-1979 standard [43], 33% between the NBE CT-1979 standard and the CTE-2006 [44] standard, and 7% after the entry into force of the CTE-2006 standard.
Figure 4 shows the distribution of dwellings according to the regulations in force when they were built. It can be seen that dwellings built to older standards are concentrated in the city center, while those built to more recent standards are on the outskirts.
Table 4 shows the distribution of SFDs and DMBs in Seville’s districts according to the results obtained from the database. DMBs in the sample represent 88.6% and SFDs 11.4%. The district with the highest number of records is Cerro-Amate, while the least representative is the Los Remedios district.5
Figure 5 and Figure 6 show, based on the results obtained from the EPC database, the distribution of EPnr and CO2 by dwelling typology and type of energy consumed. It is observed that the EPnr consumption in SFDs is higher than in DMBs. In the less efficient dwellings (classification D, E, F and G), the main energy demand comes from heating, while in the more efficient dwellings it is due to cooling. This pattern is also reflected in CO2 emissions (Figure 5).
The distribution of energy certificate labels by energy consumption and CO2 emissions according to dwelling typology is shown in Figure 7 and Figure 8. The graphs show that the most frequent energy classification is type ‘E’. Furthermore, it is observed that most of the dwellings are grouped in the medium efficiency labels (D and E), while the high performance labels (A, B and C) are scarce, representing only 0.7% of the SFDs and 5.9% of the DMBs. This suggests that the SFDs in Seville are more energy efficient than the DMBs according to their labelling.
Table 5 shows the average overall consumption and CO2 emissions by energy type for each dwelling typology. SFDs show higher overall energy consumption (127.06 kWh/m2·year) compared to DMBs (113.07 kWh/m2·year), particularly in heating. In contrast, DHW consumption is higher in DMBs. Regarding CO2 emissions, SFDs also have slightly higher values (32.31 kCO2/m2·year compared to 30.01 kCO2/m2·year in DMBs), reflecting increased energy use, especially for heating. However, differences in cooling emissions between both dwelling types are minimal.
Additionally, the higher standard deviation in SFDs indicates greater variability in both consumption and emissions. This variability suggests that while SFDs generally consume more energy, the specific characteristics of each dwelling significantly influence the results.
Table 6 shows the average consumptions by dwelling typology and building regulations. The results indicate that, in all evaluated cases, the highest energy demands come from heating (~50–60%), followed by domestic hot water (DHW) (~17–35%) and cooling (~18–28%). The evaluated regulations have been selected due to changes in the requirements of the thermal building envelopes. From these results it can be seen that each of these modifications generates significant savings in the expected annual consumption of the dwellings. Those dwellings built before the NBE-CT 1979 consume on average 31.3% more in the DMBs and 38.7% more in the SFDs than those built with the CTE-2006.
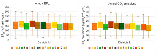
In addition, an analysis of the average annual EPnr consumption and CO2 emissions of the districts of Seville has been carried out. The results obtained show that the averages between consumption and emissions are similar in the districts, unlike the typical minimums and maximums which show greater variation between districts. The district with the highest energy consumption and CO2 generation is Cerro-Amate, while the lowest is Los Remedios (Figure 9).

3.2. Energy Vulnerability

This subsection shows the results obtained from the assessment of the energy vulnerability in Seville’s residential building stock. The energy vulnerability assessment is carried out based on the E E I R index, as indicated in the materials and methods section, and is classified according to the 2M indicator in three ranges: Low ( E E I R ≤ 5%), Moderate (5% < E E I R ≤ 10%) and High ( E E I R > 10%). Vulnerability is analyzed according to dwelling typology, the relationship between energy efficiency labelling and vulnerability, and the geographical distribution of the results obtained is presented. Table 7 shows the mean EEIR index values of each district.
Figure 10 shows the distribution of dwellings by typology and energy vulnerability categories. The analysis reveals that DMBs have a lower percentage of vulnerability compared to SFDs. As the risk increases, the number of DMBs decreases, while the SFDs tend to be concentrated in the moderate risk range. According to the results obtained, 20% of the SFDs face energy vulnerability, while 99% of the DMBs have low or medium vulnerability.
Figure 11 shows the urban distribution of energy vulnerability according to the established classification. A high variability of risk can be observed within the city and among the different districts. In general terms, the city center exhibits a higher frequency of low vulnerability, while moderate risk is more commonly observed in the outskirts.
Additionally, a statistical comparison has been conducted between districts. Since the data did not meet the assumptions of normality and homogeneity of variances, the Kruskal-Wallis nonparametric test was applied to compare EEIR between the different districts. The results obtained from the analysis (Table 8) show statistically significant differences between the districts (H = 9093.945, p < 0.001). In order to identify in which pairs of districts these differences were found, a post-hoc Dunn’s analysis with correction for multiple comparisons was performed (see Appendix A). The results showed significant differences in most of the analyzed pairs of districts (p < 0.001), with the exception of the comparisons between districts 1–3, 3–11, 1–11, 6–10, 5–9, 5–8, and 9–8, where no statistically significant differences were found. Districts 2, 4 and 7 show statistically significant differences with the rest of the districts. These findings indicate that, in general terms, there are marked inequalities in the EEIR between districts, although certain districts present similar patterns.
In this context, District 4 was selected for a detailed analysis at the census tract level. This district was chosen not only because it shows significant differences compared to other districts, but also because it has the highest average EEIR value, indicating the greatest vulnerability to fuel poverty.

3.3. Evaluation at Section Tract Level: The Case Study of Cerro-Amate District

In order to carry out a more detailed study, in addition to the analysis of energy efficiency and energy vulnerability at the district level in Seville, district 4 (Cerro-Amate) was selected as a sample for analysis at the census tract level. This choice is justified by the need to establish an evaluation procedure that can be replicated in other districts and in the interest of exploring in depth a representative area in terms of dwelling typologies.
The Cerro-Amate district has 6244 dwellings registered in the EPC database, of which 77.4% are DMBs and 22.6% are SFDs. According to the database, the period of construction of these dwellings spans from 1918 to 2023 (Figure 12), showing an evident increase in construction activity between 1918 and 1960, with a peak of 518 records in 1960. However, from that year until 1994, there is a progressive decrease in the number of buildings, with specific peaks in 1970, 1975, 1980 and 2003.
Figure 13 and Figure 14 present the distribution of EPCs for the district by rating label and dwelling typology. The most common label in both typologies is “E” (81% of DMBs and 68% of Unis). However, SFDs show a better energy performance than DMBs, as 92.7% of DMBs present a low energy efficiency rating (“E” or lower), while this percentage decreases to 71.8% in SFDs. A similar behavior is observed in the classification by CO2 emissions (Figure 8), where DMBs maintain a lower efficiency compared to SFDs.
Figure 15 shows the distribution of dwellings by typology in the Cerro-Amate district according to energy poverty vulnerability categories. Both dwelling typologies concentrate more than 55% of the sample in the moderate energy vulnerability category. While in the range 5% < EEIR ≤ 10% the results indicate that the percentage of DMBs is slightly higher compared to SFDs, this difference increases considerably in the EEIR > 10% range.
Figure 16 and Figure 17 show the distribution of overall consumption and the vulnerability to experiencing energy poverty according to their classifications, respectively. The study at the census tract level in the Cerro-Amate district provided results that show patterns similar to those of the general sample. Census tract 58 showed the lowest average EPnr consumption and CO2 emissions (131.31 kWh/m2·year and 25.18 kgCO2/m2·year, respectively). In contrast to census tract 27, with expected average EPnr consumption and CO2 emissions of 213.49 kWh/m2·year and 41.41 kgCO2/m2·year, respectively. In terms of energy vulnerability, the minimum average E E I R were found in census section 15 (4.24%), and the maximum (10.62%) in section 52. These results allow us to identify those census tracts in a critical situation, which is key information for establishing measures to prioritize actions in these areas.

4. Discussion

Energy Performance Certificate (EPC) databases provide valuable information on energy efficiency and construction characteristics of buildings. The analysis of this information with an aggregated and geo-referenced approach allows the identification of spatial and typological patterns essential to understand the residential building stock and to guide more effective and targeted energy renovation strategies.
The results obtained from the analysis of the EPC data of the city of Seville reveal key trends about the residential building stock. First, most of the dwellings—both SFDs and DMBs—were built before the Spanish building code (CTE) came into force, which translates into higher energy consumption and worse ratings in the EPCs. More than 85% of the dwellings analyzed are concentrated in the E, F and G labels, which confirms a generalized low energy efficiency. SFDs show higher consumption and emissions than DMBs, which could be explained by their larger exposed surface area and lower compactness. In addition, a progressive improvement in energy consumption is observed as regulations progress: average EPnr values decrease significantly in dwellings built under NBE-CT and especially with the CTE. This fact supports the effectiveness of regulatory requirements in improving energy performance.
At the spatial level, the analysis by districts reveals significant differences in the energy performance of dwellings. Districts 2 (Macarena) and 4 (Cerro-Amate) show the highest average consumptions (with 169 and 174 kWh/m2-year respectively), which could be related to an older residential building stock, and therefore to more inefficient construction systems. At the opposite extreme, District 11 (Los Remedios) shows the lowest average consumption (143 kWh/m2/year), followed by District 10 (Bellavista-La Palmera) (148 kWh/m2/year). Moreover, the interquartile ranges are high in almost all districts, indicating a strong heterogeneity within each area, probably linked to typological and constructive variety. These internal differences are particularly relevant when planning public policies, as they could mask situations of energy vulnerability in districts that, in aggregate terms, do not seem to be a priority. In this sense, these disparities can be mapped with high accuracy using GIS tools, supporting a more informed and territorially focused decision-making process on the energy performance at the district scale. This reinforces the potential of open EPC databases as a diagnostic and planning tool.
With regard to statistical analysis, the Kruskal-Wallis test showed the existence of statistically significant differences between districts. The district with the highest mean EEIR index value was district 4 (Cerro-Amate). Despite the typological differences between SFDs and DMBs, the data reflect a generalized low energy performance in this district, with high average consumptions (185 and 171 kWh/m2/year, respectively). The distribution of EPC labels reinforces this observation: more than 70% of the dwellings are concentrated in labels E, F and G, with practically no highly efficient dwellings (A or B). In the case of DMBs, 80.8% are rated E, while this category accounts for 67.7% in SFDs. In terms of energy poverty, there is a remarkable contrast between the two dwelling typologies. One third of the SFDs in the district could be in a situation of overspending (above 10% of income), while the DMBs show a lower profile, with a majority in the intermediate range (between 5% and 10%).
In summary, the results obtained show that the EPC data, when integrated and spatially represented by GIS, allow not only to describe the energy status of the building stock, but also to visualize territorial inequalities in terms of energy efficiency and energy poverty. The elaboration of specific maps combining energy consumption, building age and energy poverty facilitates the identification of priority areas for intervention. This territorial diagnosis acquires special relevance in the context of public policies aimed at energy rehabilitation, since it allows more focused strategies to be designed, based on criteria of need and not only on technical or economic feasibility. For example, by identifying census tracts where residential buildings present both high energy consumption levels (e.g., EPnr > 200 kWh/m2) and EEIR values above the 2M threshold, it is possible to prioritize areas with greater energy vulnerability. Thus, mapping derived from EPCs should not be understood only as a technical instrument, but as an urban governance tool that can actively contribute to the implementation of more efficient, equitable and territorially sensitive measures in the framework of the energy transition.
It should be noted that the main focus of this study is the performance of the residential building stock at the district and census tract level. Under similar socioeconomic conditions, the physical characteristics of dwellings influence energy consumption and utility bills, and therefore, the risk of households falling into energy poverty. To ensure comparability, a total of 45,908 dwellings have been evaluated using a standardized assessment model that assumes identical occupancy and usage patterns. These assumptions are defined by the operational conditions established in the DB-HE section of the Spanish Building Code (CTE), which specify set point temperatures and usage profiles for residential buildings when calculating energy demand and EPC ratings. Although these standardized conditions may not reflect actual occupant behavior, the uniform framework established by Royal Decree 390/2021 allows for consistent comparison of energy efficiency across buildings and provides an initial diagnosis of their energy performance. In this sense, the use of EPCs as the main database in this study presents both advantages and limitations. The EPnr consumption and CO2 emissions values are estimated and derived from the construction characteristics of the dwelling (especially its thermal envelope) and HVAC equipment, which differs from the actual consumption patterns influenced by the occupants. The literature suggests that in dwellings with lower efficient classifications (F and G), actual consumption tends to be lower than estimated, whereas in more efficient categories (A and B) it tends to be higher [46]. Future research could investigate these trends more thoroughly through empirical validation.
It should also be remarked that the GIS-based analysis carried out in this study provides valuable insights into the spatial distribution of energy efficiency and energy poverty at both district and census tract levels in the city of Seville. Nevertheless, the proposed approach could be further enhanced by integrating Building Information Modeling (BIM) methodology. BIM would allow for the inclusion of detailed geometric and non-geometric building-level information (e.g., such as construction systems, envelope materials, etc.), which is often absent in geospatial datasets. GIS/BIM integration has already been identified as a powerful tool for improving the management and digitization of the built environment, facilitating more accurate simulation and data interoperability [47]. This combined approach could support future analyses aimed at refining energy efficiency and vulnerability assessments at urban level.

5. Conclusions

The energy efficiency of dwellings affects the quality of life of their occupants and influences the probability of falling into fuel poverty. This study has diagnosed the energy efficiency and vulnerability to energy poverty of 45,908 dwellings in Seville. This study considers different dwelling typologies (SFDs and DMBs) and covers constructions built between 1850 and 2023, with different built areas and construction standards. Most of the building stock (60%) in Seville was built before 1979, i.e., before the entry into force of the first energy efficiency regulations in Spain. Building regulations play a crucial role in the expected energy consumption and efficiency. The results obtained evidence that dwellings built before the NBE-CT-79 [45] consume on average 31.3% more in the DMBs and 38.7% more in the SFDs than those built under the current building regulations (CTE-2006).
The results obtained show that the dwellings in Seville have a low performance in energy efficiency, with 83.2% of the evaluated dwellings having a label below “E” in EPnr consumption and 92.2% in CO2 emissions. The average EPnr consumption of the dwellings was 127.06 kWh/m2·year for SFDs and 113.07 kWh/m2·year for DMBs. The overall emissions averages were 32.31 and 30.01 kgCO2/m2·year for SFDs and DMBs, respectively, of which 50% are due to heating, 31% to DHW, and 19% to cooling demands.
Regarding the evaluation at the district level, the district with the lowest energy efficiency is Cerro-Amate, while the district with the best energy efficiency is Los Remedios. In parallel, these districts coincide in those with the highest and lowest energy vulnerability, respectively.
In summary, it should be noted that the evaluation of an entire residential stock under the same criteria allows an analysis based on the physical characteristics of the dwellings themselves, rather than the occupancy patterns, which are temporary and variable. In addition, the use of GIS provides significant advantages for this type of analysis. GIS allows for the integration of diverse datasets into a centralized database, facilitating detailed spatial analysis at different geographic levels, such as urban districts and census tracts. The constant updating of the EPC database, combined with GIS-based analysis, will allow for more accurate and representative assessments of Seville’s building stock over time.
The integration of mapping techniques in the assessment of energy poverty at the urban level proves to be a valuable approach for identifying vulnerable areas and informing strategic actions. By visualizing the spatial distribution of buildings that pose a higher risk of energy poverty, decision-makers gain a more nuanced understanding of the relationship between built environment characteristics and socio-economic challenges. This spatial perspective not only enhances the diagnostic accuracy but also facilitates more precise interventions aimed at reducing energy vulnerability.
Furthermore, mapping as an analytical tool significantly contributes to the formulation of evidence-based public policies. By highlighting critical areas requiring intervention, policymakers can better allocate resources and prioritize actions to enhance building performance and mitigate energy poverty. Therefore, incorporating spatial analysis into energy poverty studies enables the development of more targeted and sustainable urban strategies, ultimately fostering social resilience and promoting energy equity in urban environments. Future research should explore additional data sources that allow for more detailed and up-to-date analyses of energy efficiency and energy poverty conditions at local scale. Incorporating complementary datasets—such as real household energy consumption or smart metering data—could complement the estimations provided by EPCs. Demographic segmentation could also be incorporated into the spatial analysis of energy poverty at the census tract level in future research. While the present study focused on energy-related indicators derived from EPC data, cadastral data and annual net household income information, combining this approach with demographic variables (e.g., age, household size, etc.) could help to provide a deeper understanding of the populations most at risk. Moreover, combining the proposed spatial analysis with building energy simulations could provide a more accurate representation of EPnr consumption by accounting for different occupancy patterns than those assumed in standardized EPC methodology. Finally, the integration of Building Information Modeling (BIM) with GIS presents a promising avenue for future work. BIM/GIS could improve data interoperability and spatial resolution of analyses.

Author Contributions

A.J.A.: Writing—original draft, Methodology, Investigation, Formal analysis, Data curation, Conceptualization. M.L.d.l.H.-T.: Writing—original draft, Methodology, Investigation, Formal analysis, Data curation, Conceptualization. J.A.-C.: Investigation, Visualization, Writing—review and editing. M.F.G.-R.: Investigation, Formal analysis, Data curation, Writing—original draft. All authors have read and agreed to the published version of the manuscript.

Funding

This study was funded by the Spanish Ministry of Science and Innovation, under the research project PID2021-122437OA-I00 “Positive Energy Buildings Potential for Climate Change Adaptation and Energy Poverty Mitigation (+ENERPOT)”.

Institutional Review Board Statement

Not applicable.

Informed Consent Statement

Not applicable.

Data Availability Statement

GIS-generated maps in higher resolution are available for download at the following link: https://hdl.handle.net/10481/104408 (accessed on 6 June 2025).

Acknowledgments

María Luisa de la Hoz-Torres wishes to acknowledge the support of the MICIU and European Union NextGeneration EU/ PRTR under a Juan de la Cierva post-doctoral contract (JDC2022-049561-I).

Conflicts of Interest

The authors declare no conflicts of interest.

Abbreviations

The following abbreviations are used in this manuscript:
A i Area of dwelling i
AIAnnual income per household
C O 2 , a v g Average CO2 emissions of the building
C O 2 , i Average CO2 emission of each dwelling
CPContracted power
DHWDomestic Hot Water
DMBDwellings in Multi-family residential Buildings
EEEnergy Expenditure
EEBTEnergy Expenditure Before Taxes
EPCEnergy Performance Certificates
EEIREnergy Expenditure to Income Ratio
EREquipment rental
ERESEELong-term strategy for the energy rehabilitation of buildings in Spain
EPNet price of domestic electricity
E P n r , i Average consumption of each dwelling
E P n r , a v g Weighted non-renewable energy consumption of the building
EUEuropean Union
GISGeographic Information Systems
INENational Statistics Institute
M/2Low Absolute Energy Expenditure index
n Number of dwellings assessed per building block
SDGSustainable Development Goals
SFDSingle Family Dwellings
STESpecial Tax on Electricity
UNUnited Nations
VATValue Added Tax
2MHigh share of energy expenditure in income index

Appendix A

Table A1. Pairwise comparison of Districts.
Table A1. Pairwise comparison of Districts.
District A-District BTest StatisticSig.
11—3 21.5700.956
11—1 242.8260.515
11—6 3594.5210.000
11—10 3983.2280.000
11—5 6830.1150.000
11—9 7234.4530.000
11—8 7312.0960.000
11—7 10,984.8900.000
11—2 13,280.6020.000
11—4 18,355.2620.000
3—1 221.2560.458
3—6 −3572.9510.000
3—10 −3961.6580.000
3—5 −6808.5450.000
3—9 −7212.8830.000
3—8 −7290.5260.000
3—7 −10,963.3200.000
3—2 13,259.0320.000
3—4 −18,333.6920.000
1—6 −3351.6950.000
1—10 −3740.4020.000
1—5 −6587.2890.000
1—9 −6991.6270.000
1—8 −7069.2700.000
1—7 −10,742.0640.000
1—2 −13,037.7760.000
1—4 −18,112.4360.000
6—10 −388.7070.267
6—5 3235.5940.000
6—9 −3639.9320.000
6—8 −3717.5760.000
6—7 −7390.3690.000
6—2 9686.0810.000
6—4 14,760.7410.000
10—5 2846.8870.000
10—9 3251.2250.000
10—8 3328.8690.000
10—7 7001.6620.000
10—2 9297.3740.000
10—4 14,372.0340.000
5—9 −404.3380.126
5—8 −481.9810.087
5—7 −4154.7750.000
5—2 6450.4870.000
5—4 11,525.1470.000
9—8 77.6440.770
9—7 3750.4370.000
9—2 6046.1490.000
9—4 11,120.8090.000
8—7 3672.7930.000
8—2 5968.5060.000
8—4 11,043.1660.000
7—2 2295.7120.000
7—4 7370.3720.000
2—4 −5074.6600.000
Each row tests the null hypothesis that the District A and District B distributions are the same.

References

  1. World Bank. Energy Overview: Development News, Research, Data. Available online: https://www.worldbank.org/en/topic/energy/overview (accessed on 9 February 2025).
  2. European Commission. Focus: Energy Efficient Buildings-Delivering Energy and Cost Savings for EU Citizens; European Commission: Brussels, Belguim, 2024. Available online: https://energy.ec.europa.eu/news/focus-energy-efficient-buildings-2024-04-16_en (accessed on 9 February 2025).
  3. Economidou, M.; Todeschi, V.; Bertoldi, P.; D’Agostino, D.; Zangheri, P.; Castellazzi, L. Review of 50 years of EU Energy Efficiency Policies for Buildings. Energy Build 2020, 225, 110322. [Google Scholar] [CrossRef]
  4. Eurostat Disaggregated Final Energy Consumption in Households-Quantities Statistics. Available online: https://ec.europa.eu/eurostat/databrowser/view/nrg_d_hhq/default/table?lang=en (accessed on 9 February 2025).
  5. Aguilar, A.J.; de la Hoz-Torres, M.L.; Oltra-Nieto, L.; Ruiz, D.P.; Martínez-Aires, M.D. Impact of COVID-19 Protocols on IEQ and Students’ Perception within Educational Buildings in Southern Spain. Build. Res. Inf. 2022, 50, 755–770. [Google Scholar] [CrossRef]
  6. Pasten, C.; Santamarina, J.C. Energy and Quality of Life. Energy Policy 2012, 49, 468–476. [Google Scholar] [CrossRef]
  7. de la Hoz-Torres, M.L.; Aguilar, A.J.; Costa, N.; Arezes, P.; Ruiz, D.P.; Martínez-Aires, M.D. Predictive Model of Clothing Insulation in Naturally Ventilated Educational Buildings. Buildings 2023, 13, 1002. [Google Scholar] [CrossRef]
  8. de la Hoz-Torres, M.L.; Aguilar, A.J.; Martínez-Aires, M.D.; Ruiz, D.P. Seasonal Field Study on Thermal Comfort in University Classrooms in Mediterranean Climate. Indoor Built Environ. 2024, 33, 1380–1396. [Google Scholar] [CrossRef]
  9. de la Hoz-Torres, M.L.; Aguilar, A.J.; Ruiz, D.P.; Martínez-Aires, M.D. An Investigation of Indoor Thermal Environments and Thermal Comfort in Naturally Ventilated Educational Buildings. J. Build. Eng. 2024, 84, 108677. [Google Scholar] [CrossRef]
  10. Ormandy, D.; Ezratty, V. Thermal Discomfort and Health: Protecting the Susceptible from Excess Cold and Excess Heat in Housing. Adv. Build. Energy Res. 2016, 10, 84–98. [Google Scholar] [CrossRef]
  11. European Parliament. Energy Poverty in the EU. Available online: https://www.europarl.europa.eu/thinktank/en/document/EPRS_BRI(2022)733583 (accessed on 9 February 2025).
  12. Council of Europe Development Bank. Energy Poverty in Europe: How Energy Efficiency and Renewables Can Help; Council of Europe Development Bank: Brussels, Belguim, 2019. [Google Scholar]
  13. Tirado-Herrero, S.; Jiménez-Meneses, L.; López-Fernández, J.L.; Martín-García, J.; Perero-Van-Hove, Y.E. Pobreza Energética En España. Análisis de Tendencias. Asoc. De Cienc. Ambient. 2014. [Google Scholar]
  14. Ministry for Ecological Transition and Demographic Challenge. Energy Poverty. Available online: https://www.miteco.gob.es/en/ministerio/planes-estrategias/estrategia-pobreza-energetica.html (accessed on 9 February 2025).
  15. Eurostat Overlaps in Energy Poverty Indicator. Available online: https://ec.europa.eu/eurostat/statistics-explained/index.php?title=Overlaps_in_energy_poverty_indicators (accessed on 9 February 2025).
  16. United Nations Energy-United Nations Sustainable Development. Available online: https://www.un.org/sustainabledevelopment/energy/ (accessed on 9 February 2025).
  17. European Council Council of the European Union. European Green Deal-Consilium. Available online: https://www.consilium.europa.eu/en/policies/green-deal/ (accessed on 9 February 2025).
  18. European Union. European Directive 2023/1791 of the European Parliament and of the Council of 13 September 2023 on Energy Efficiency and Amending Regulation (EU) 2023/955. Available online: https://eur-lex.europa.eu/legal-content/EN/TXT/?uri=OJ%3AJOL_2023_231_R_0001&qid=1695186598766 (accessed on 17 June 2024).
  19. European Union. Directive EU 2024/1275 of the European Parliament and of the Council of 24 April 2024 on the Energy Performance of Buildings. Available online: https://eur-lex.europa.eu/legal-content/EN/TXT/?uri=CELEX%3A32024L1275 (accessed on 25 May 2024).
  20. Ministry of Transport, M. and the U.A. Update of the Long-Term Strategy for Energy Renovation in the Building Sector in Spain (ERESEE). 2020. Available online: https://cdn.mitma.gob.es/portal-web-drupal/planes_estartegicos/en_ltserb.pdf (accessed on 25 May 2024).
  21. Ministry of Science, Innovation and Universities. Technical Building Code. Available online: https://www.codigotecnico.org/ (accessed on 26 February 2025).
  22. Ministry for Ecological Transition and the Demographic Challenge, G. of Spain. Royal Decree 1027/2007, of 20 July 2007, Approving the Regulation of Thermal Installations in Buildings. Available online: https://www.boe.es/buscar/act.php?id=BOE-A-2007-15820 (accessed on 26 February 2025).
  23. Ministry of the Presidency, R. with the C. and D.M.G. of Spain. Royal Decree 390/2021, of 1 June, Approving the Basic Procedure for the Certification of the Energy Efficiency of Buildings. Available online: https://www.boe.es/buscar/act.php?id=BOE-A-2021-9176 (accessed on 26 February 2025).
  24. Ministry for Ecological Transition and the Demographic Challenge. National Strategy against Energy Poverty 2019–2024. Available online: https://www.miteco.gob.es/content/dam/miteco/es/ministerio/planes-estrategias/estrategia-pobreza-energetica/estrategianacionalcontralapobrezaenergetica_tcm30-502982.pdf (accessed on 26 February 2025).
  25. Costa-Campi, M.T.; Jové-Llopis, E.; Trujillo-Baute, E. Energy Poverty in Spain: An Income Approach Analysis. Energy Sources Part B Econ. Plan. Policy 2019, 14, 327–340. [Google Scholar] [CrossRef]
  26. Sánchez-Guevara Sánchez, C.; Sanz Fernández, A.; Núñez Peiró, M.; Gómez Muñoz, G. Feminisation of Energy Poverty in the City of Madrid. Energy Build 2020, 223, 110157. [Google Scholar] [CrossRef]
  27. Fabbri, K.; Gaspari, J. Mapping the Energy Poverty: A Case Study Based on the Energy Performance Certificates in the City of Bologna. Energy Build 2021, 234, 110718. [Google Scholar] [CrossRef]
  28. Seville City Hall. Statistical Yearbook of the City of Seville 2022: Population According to Age and Sex by Districts. Available online: https://www.sevilla.org/servicios/servicio-de-estadistica/datos-estadisticos/anuarios/anuario-estadistico-de-la-ciudad-de-sevilla-2022/indice (accessed on 26 February 2025).
  29. Junta de Andalucía. Chapter 14: Guadalquivir Basin, Geodiversity and Geological Heritage of Andalusia. Available online: https://www.juntadeandalucia.es/medioambiente/portal/landing-page-publicacion/-/asset_publisher/FytOUWH22K7t/content/geodiversidad-y-patrimonio-geol-c3-b3gico-de-andaluc-c3-ada-2006-/20151 (accessed on 26 February 2025).
  30. Institute of Statistics and Cartography of Andalusia. Multiterritorial Information System of Andalusia (SIMA): Latitude, Longitude and Altitude Above Sea Level. Available online: https://www.juntadeandalucia.es/institutodeestadisticaycartografia/badea/operaciones/consulta/anual/18292?CodOper=b3_151&codConsulta=18292 (accessed on 26 February 2025).
  31. National Institute of Statistics. Digitized Cartography of Census Sections. Available online: https://www.ine.es/ss/Satellite?L=es_ES&c=Page&cid=1259952026632&p=1259952026632&pagename=ProductosYServicios%2FPYSLayout (accessed on 26 February 2025).
  32. Seville City Council. Average Income per Person and Average Income per Household of the Municipal Districts of Seville Years 2020–2021. Available online: https://www.sevilla.org/servicios/servicio-de-estadistica/datos-estadisticos/anuarios/anuario-estadistico-de-la-ciudad-de-sevilla-2022/indice/capitulo-xi-estadisticas-de-actividad-economica-y-renta (accessed on 26 February 2025).
  33. QGIS. Available online: https://www.qgis.org/ (accessed on 27 February 2025).
  34. Ministry for Digital Transformation and Public Transformation. Andalusia Energy Certificates Register. Available online: https://datos.gob.es/en/catalogo/a01002820-registro-de-certificados-energeticos-de-andalucia (accessed on 27 February 2025).
  35. Ministry of Finance Cadastral Electronic Site. Available online: https://www.sedecatastro.gob.es/ (accessed on 27 February 2025).
  36. Conticelli, E.; Falcioni, S.; Marzani, G.; Morini, G.L.; Tondelli, S. Assessing Energy Efficiency at Urban Scale through the Use of Energy Performance Certificates: An Application in the Emilia-Romagna Region, Italy. Cities 2024, 145, 104728. [Google Scholar] [CrossRef]
  37. Bienvenido-Huertas, D.; Sánchez-García, D.; Rubio-Bellido, C.; Pulido-Arcas, J.A. Applying the Mixed-Mode with an Adaptive Approach to Reduce the Energy Poverty in Social Dwellings: The Case of Spain. Energy 2021, 237, 121636. [Google Scholar] [CrossRef]
  38. Ministry of the Presidency, J. and R. with the C. Royal Decree-Law 8/2023, of 27th December, Adopting Measures to Face the Economic and Social Consequences Derived from the Conflicts in Ukraine and the Middle East, as Well as to Alleviate the Effects of the Drought. Available online: https://www.boe.es/buscar/act.php?id=BOE-A-2023-26452 (accessed on 27 February 2025).
  39. Ministry of Industry and Tourism. Chapter IV Energy and Emissions-Net Price of Electricity for Domestic and Industrial Use. National Statistical Bulletin. Available online: https://www.mintur.gob.es/es-es/indicadoresyestadisticas/paginas/datostemp.aspx (accessed on 27 February 2025).
  40. Ministry of the Presidency for Justice and Relations with the Courts. Order ITC/3860/2007, of 28 December 2007, Revising Electricity Tariffs as from 1 January 2008. Available online: https://www.boe.es/buscar/act.php?id=BOE-A-2007-22458 (accessed on 27 February 2025).
  41. Department of Energy and Poverty, S. of E. (ICAI) Spanish. Energy Poverty Indicators Report. Department of Energy and Poverty: Barcelona, Spain, 2022. [Google Scholar]
  42. Sánchez-Guevara Sánchez, C.; Sanz Fernández, A.; Núñez Peiró, M.; Gómez Muñoz, G. Energy Poverty in Madrid: Data Exploitation at the City and District Level. Energy Policy 2020, 144, 111653. [Google Scholar] [CrossRef]
  43. NBE CT-1979; Norma Básica de la Edificación Sobre Condiciones Térmicas en los Edificios. Ministerio de obras públicas y urbanismo, Gobierno de España: Madrid, Spain, 1979.
  44. CTE-2006; Código Técnico de la Edificación. Ministerio de la vivienda Gobierno de España: Madrid, Spain, 2006.
  45. NBE-CT-79; Condiciones Térmicas en los Edificios. Ministerio de Fomento: Madrid, Spain, 1982.
  46. Bell, M.; Ellis, R. Energy Efficiency in Existing Building: The Role of Building Regulations. Proceedings of Construction and Building Research (COBRA), London, UK, 7–8 September 2004; pp. 7–8. [Google Scholar]
  47. Piras, G.; Muzi, F.; Zylka, C. Integration of BIM and GIS for the Digitization of the Built Environment. Appl. Sci. 2024, 14, 11171. [Google Scholar] [CrossRef]
Figure 1. Districts and census tracts of Seville. The numbers indicate the district ID.
Figure 1. Districts and census tracts of Seville. The numbers indicate the district ID.
Applsci 15 06438 g001
Figure 2. Methodology flowchart.
Figure 2. Methodology flowchart.
Applsci 15 06438 g002
Figure 3. Diagram of data processing.
Figure 3. Diagram of data processing.
Applsci 15 06438 g003
Figure 4. Distribution of dwellings in Seville according to the regulations under which they were built. The numbers indicate the district ID.
Figure 4. Distribution of dwellings in Seville according to the regulations under which they were built. The numbers indicate the district ID.
Applsci 15 06438 g004
Figure 5. Distribution of E P n r consumption by type of dwelling.
Figure 5. Distribution of E P n r consumption by type of dwelling.
Applsci 15 06438 g005
Figure 6. Distribution of C O 2 emissions by type of dwelling.
Figure 6. Distribution of C O 2 emissions by type of dwelling.
Applsci 15 06438 g006
Figure 7. (a) Distribution of DMBs according to the Global Energy Certificate label; (b) Distribution of SFDs according to Global Energy Certificate.
Figure 7. (a) Distribution of DMBs according to the Global Energy Certificate label; (b) Distribution of SFDs according to Global Energy Certificate.
Applsci 15 06438 g007
Figure 8. (a) Distribution of DMBs according to Global Emissions label. (b) Distribution of SFDs according to Global Emissions label.
Figure 8. (a) Distribution of DMBs according to Global Emissions label. (b) Distribution of SFDs according to Global Emissions label.
Applsci 15 06438 g008
Figure 9. Annual EPnr consumption and CO2 emissions by district.
Figure 9. Annual EPnr consumption and CO2 emissions by district.
Applsci 15 06438 g009
Figure 10. Percentage of dwellings in each E E I R ranges by dwelling typology.
Figure 10. Percentage of dwellings in each E E I R ranges by dwelling typology.
Applsci 15 06438 g010
Figure 11. Urban distribution of EEIR index in the city of Seville. The numbers indicate the district ID.
Figure 11. Urban distribution of EEIR index in the city of Seville. The numbers indicate the district ID.
Applsci 15 06438 g011
Figure 12. Distribution of number of dwellings built per year in district Cerro-Amate.
Figure 12. Distribution of number of dwellings built per year in district Cerro-Amate.
Applsci 15 06438 g012
Figure 13. (a) Distribution of DMBs according to Global Energy Certificate label in District Cerro-Amate. (b) Distribution of SFDs according to Global Emissions label in District Cerro-Amate.
Figure 13. (a) Distribution of DMBs according to Global Energy Certificate label in District Cerro-Amate. (b) Distribution of SFDs according to Global Emissions label in District Cerro-Amate.
Applsci 15 06438 g013
Figure 14. (a) Distribution of DMBs according to Global Emissions label in District Cerro-Amate. (b) Distribution of SFDs according to Global Emissions label in District Cerro-Amate.
Figure 14. (a) Distribution of DMBs according to Global Emissions label in District Cerro-Amate. (b) Distribution of SFDs according to Global Emissions label in District Cerro-Amate.
Applsci 15 06438 g014
Figure 15. Percentage of dwellings in each E E I R ranges by dwelling typology in District Cerro-Amate.
Figure 15. Percentage of dwellings in each E E I R ranges by dwelling typology in District Cerro-Amate.
Applsci 15 06438 g015
Figure 16. Average overall consumption of dwellings in the Cerro-Amate District at the census tract level.
Figure 16. Average overall consumption of dwellings in the Cerro-Amate District at the census tract level.
Applsci 15 06438 g016
Figure 17. EEIR index in the Cerro-Amate District at the census tract level.
Figure 17. EEIR index in the Cerro-Amate District at the census tract level.
Applsci 15 06438 g017
Table 1. Characteristics of the districts of Seville [28,31,32].
Table 1. Characteristics of the districts of Seville [28,31,32].
District IDDistrictNumber of Census TractsNo. InhabitantsArea (km2)Population Density (Inhabitants/km2)Average Annual Income per Household (€)
1 Casco Antiguo 47 57,068 4.23 13,491 39,934
2 Macarena 61 73,682 3.22 22,883 26,814
3 Nervión 41 51,084 3.19 16,014 46,398
4 Cerro-Amate 69 89,593 7.45 12,026 23,045
5 Sur 53 70,274 7.53 9333 35,113
6 Triana 43 46,926 9.25 5073 35,837
7 Norte 51 71,235 38.45 1853 27,892
8 San Pablo- Santa Justa 50 59,068 5.63 10,492 34,803
9 Este 69 106,490 30.09 3539 31,856
10 Bellavista- La Palmera 29 42,284 16.29 2596 39,820
11 Los Remedios 19 25,525 15.19 1680 49,483
Table 2. Information and databases consulted.
Table 2. Information and databases consulted.
DatabaseType of InformationVariables
Cartography and building stock database (Cadastre Database).StringIdentification (municipality, province and autonomous community)
Cadastral reference
VectorCartography (cadastral parcels and cadastral references)
EPCs DatabaseStringAddress (Municipality, Postal Code, Province and Autonomous Community)
Construction Regulations
Typology of the building
Energy Label (Energy Efficiency and CO2 Emissions)
NumericalYear of construction
Cadastral Reference
Built Area
Dwelling Identifier (ID)
Energy consumption (overall, heating, cooling, lighting, DHW)
CO2 Emissions (Overall, Heating, Cooling, Lighting, DHW)
National Institute of Statistics databaseVectorNeighbourhoods
Districts
Census Tracts
NumericalAnnual net household income at district and census tracts level
Table 3. Energy poverty indicators used for this study [41,42].
Table 3. Energy poverty indicators used for this study [41,42].
Median Energy Expenditure Value in SpainTwice the Mean Value of the Median Energy Expenditure in Spain (2M)Energy Poverty Threshold (2M) Selected for This StudyEnergy Poverty Vulnerability Threshold Selected for This Study
Spanish national values 4.4%8.8–9%10%5%
Table 4. Characteristics of the districts of Seville.
Table 4. Characteristics of the districts of Seville.
District IDDistrictDwellings in Multi-Family Residential Buildings (DMBs)Single-Family Dwellings (SFDs)
1 Casco Antiguo 433590.2%4738.8%
2 Macarena 604397.9%1292.1%
3 Nervión 297388.6%38111.4%
4 Cerro-Amate 483277.3%141222.7%
5 Sur 429096.3%1633.6%
6 Triana 310094.7%1735.3%
7 Norte 300093.5%2096.5%
8 San Pablo- Santa Justa 401191.3%3828.7%
9 Este 446977.7%127922.3%
10 Bellavista- La Palmera 196077.2%58022.4%
11 Los Remedios 166397.0%5151.0%
Total40,67688.6%523211.4%
Table 5. E P n r consumption and CO2 emissions according to EWCs in Seville.
Table 5. E P n r consumption and CO2 emissions according to EWCs in Seville.
Type of DwellingParameterAverageMedianStandard Deviation
Dwellings in multi-family residential buildings (DMBs) E P n r (kWh/m2·year)Global113.07108.3936.09
Heating61.0557.6828.29
Cooling24.0023.156.59
DHW27.9525.1415.24
CO2 emissions (kCO2/m2·year)Global30.0128.9910.10
Heating15.1714.337.54
Cooling5.104.821.78
DHW9.748.865.38
Single-family dwellings (SFDs) E P n r (kWh/m2·year)Global127.06123.9040.22
Heating78.1876.8331.78
Cooling26.8925.927.58
DHW21.9719.5113.36
CO2 emissions (kCO2/m2·year)Global32.3131.4311.87
Heating19.4119.028.90
Cooling5.585.262.11
DHW7.326.715.23
Table 6. E P n r consumption according to type of dwelling and building regulations.
Table 6. E P n r consumption according to type of dwelling and building regulations.
Type of Dwelling Average   E P n r (kWh/m2·year)Before NBE-CT-79 [45]NBE-CT-1979CTE-2006
Dwellings in multi-family residential buildings (DMBs)Global121.02103.0883.1
Heating66.3355.5335.27
Cooling25.5321.7320.11
DHW29.1625.6327.71
Single-family dwellings (SFDs)Global138.57119.8284.82
Heating86.6274.6139.8
Cooling28.8524.8423.13
DHW23.1020.2821.89
Table 7. Mean EEIR values for each district.
Table 7. Mean EEIR values for each district.
District ID1234567891011
Mean EEIR value7.110.17.012.38.67.89.58.79.08.27.0
Table 8. Results obtained from the Kruskal-Wallis test to determine the significant differences between the EEIR of the districts.
Table 8. Results obtained from the Kruskal-Wallis test to determine the significant differences between the EEIR of the districts.
Total N45,908
Test statistic9093.945
Degree of freedom10
Asymptotic sig.<0.001
Disclaimer/Publisher’s Note: The statements, opinions and data contained in all publications are solely those of the individual author(s) and contributor(s) and not of MDPI and/or the editor(s). MDPI and/or the editor(s) disclaim responsibility for any injury to people or property resulting from any ideas, methods, instructions or products referred to in the content.

Share and Cite

MDPI and ACS Style

Aguilar, A.J.; de la Hoz-Torres, M.L.; Aguilar-Camacho, J.; Guerrero-Rivera, M.F. Assessment of Energy Efficiency and Energy Poverty of the Residential Building Stock of the City of Seville Using GIS. Appl. Sci. 2025, 15, 6438. https://doi.org/10.3390/app15126438

AMA Style

Aguilar AJ, de la Hoz-Torres ML, Aguilar-Camacho J, Guerrero-Rivera MF. Assessment of Energy Efficiency and Energy Poverty of the Residential Building Stock of the City of Seville Using GIS. Applied Sciences. 2025; 15(12):6438. https://doi.org/10.3390/app15126438

Chicago/Turabian Style

Aguilar, Antonio J., María L. de la Hoz-Torres, Joaquín Aguilar-Camacho, and María Fernanda Guerrero-Rivera. 2025. "Assessment of Energy Efficiency and Energy Poverty of the Residential Building Stock of the City of Seville Using GIS" Applied Sciences 15, no. 12: 6438. https://doi.org/10.3390/app15126438

APA Style

Aguilar, A. J., de la Hoz-Torres, M. L., Aguilar-Camacho, J., & Guerrero-Rivera, M. F. (2025). Assessment of Energy Efficiency and Energy Poverty of the Residential Building Stock of the City of Seville Using GIS. Applied Sciences, 15(12), 6438. https://doi.org/10.3390/app15126438

Note that from the first issue of 2016, this journal uses article numbers instead of page numbers. See further details here.

Article Metrics

Back to TopTop