Mechanical Effects of Lining Thinning in Shallow Four-Track High-Speed Railway Tunnels: Field Monitoring and Numerical Analysis
Abstract
1. Introduction
2. Field Investigation on Lining Thinning Defects in Railway Tunnels
2.1. Investigation of Thinning Defects
2.2. Statistical Characteristics of Thinning Defects
3. Field Monitoring of Shallow Four-Track HSR Tunnels
3.1. Monitoring of a Shallow Four-Track HSR Tunnel
3.2. Analysis of Field Monitoring Data
3.3. Mechanism of Genuine Pressure
4. Influence of Lining Thinning on Rock Pressure in Four-Track HSR Tunnels
4.1. Numerical Model Development
4.2. Stress Analysis Results
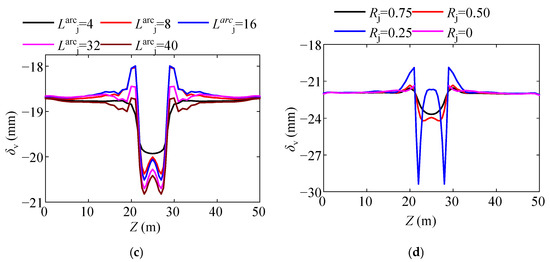
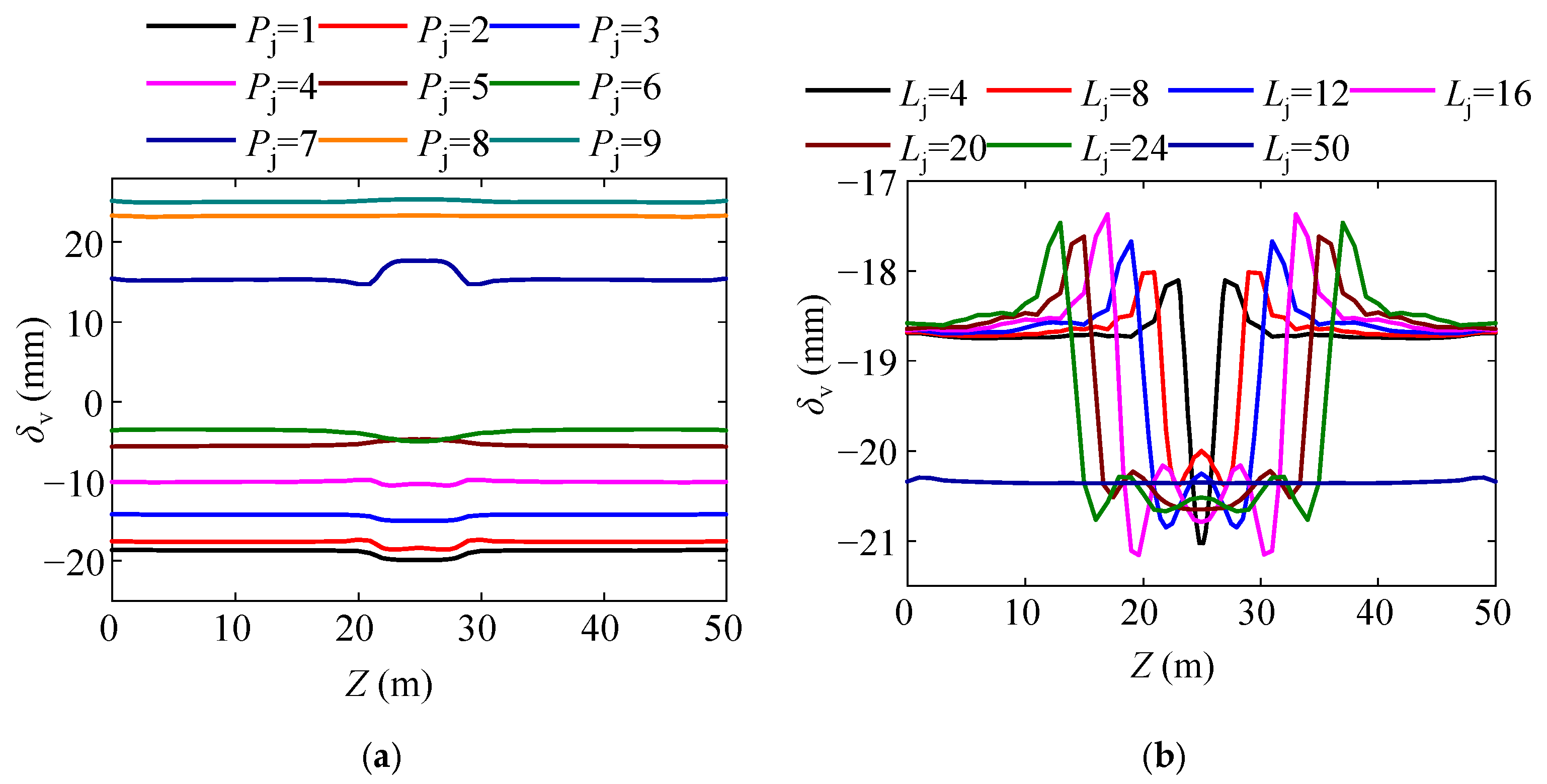
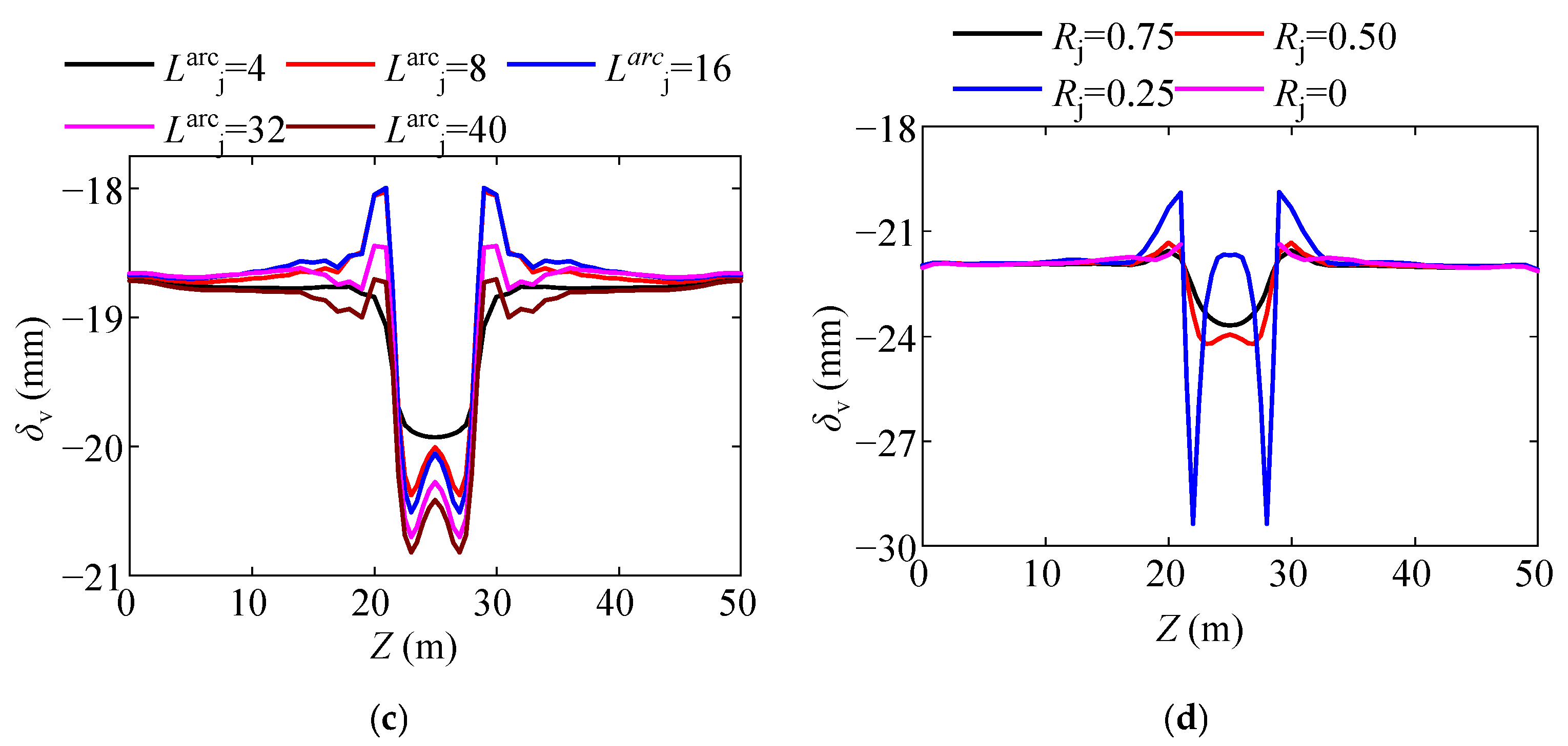
4.3. Deformation Analysis Results
4.4. Genuine Pressure Analysis
5. Influence of Rock Lining Degradation on Rock Pressure with Thinning Defects
5.1. Degradation Characterization
5.2. Genuine Pressure Analysis Under Degradation Conditions
6. Conclusions
- (1)
- A field investigation conducted across ten HSR tunnels revealed a high prevalence of lining thinning defects, with 38.64% of the cases occurring at the vault. Thinning lengths were predominantly in the range of 4 to 8 m, accounting for 68.18% of the observed defects. The minimum lining thickness measured was as low as 0.09 m, and 84.11% of the defects had minimum thicknesses below 0.26 m. These findings indicate a substantial reduction in structural cross-section and highlight the potential risk to long-term tunnel performance and safety;
- (2)
- Field monitoring results from the XBS Tunnel indicate that the actual rock pressure is significantly lower than the values predicted by classical methods, including design code recommendations and Protodyakonov’s theory. Both settlement and convergence remained well below the design limits. Combined with the internal forces in the support, rock mass parameters, and the adopted support system, it was determined that the tunnel is primarily subjected to genuine pressure;
- (3)
- Lining thinning leads to significant stress redistribution and concentration, reduces the deformation resistance of the structure, and increases the likelihood of lining damage. It also alters the interaction between the lining and the surrounding rock or the secondary lining, resulting in non-uniform stress transfer and a notable increase in surrounding rock pressure. In shallow four-track HSR tunnels, the load-bearing mechanism may shift from genuine pressure to loosening pressure, and the secondary lining may transition from a safety reserve to a primary load-bearing component;
- (4)
- Time-dependent degradation of both the lining and surrounding rock further intensifies stress concentration. When both components degrade simultaneously, the genuine pressure can increase by more than 130 kPa. This degradation process accelerates the transition of the tunnel’s bearing mechanism—from genuine pressure to loosening pressure—in the presence of thinning defects.
Author Contributions
Funding
Institutional Review Board Statement
Informed Consent Statement
Data Availability Statement
Acknowledgments
Conflicts of Interest
References
- Ma, J.; He, S.; Liu, X.; He, J. Deformation pressure calculation method for shallow four-track high-speed rail tunnels: A field investigation and theoretical approach. Alex. Eng. J. 2025, 124, 66–79. [Google Scholar] [CrossRef]
- Ma, J.; He, S.; Liu, X.; He, J. Research and optimization of tunnel construction scheme for super-large span high-speed railway tunnel in poor tuff strata. Appl. Rheol. 2023, 33, 20230101. [Google Scholar] [CrossRef]
- Ye, F.; Qin, N.; Liang, X.; Ouyang, A.; Qin, Z.; Su, E. Analyses of the defects in highway tunnels in China. Tunn. Undergr. Space Technol. 2021, 107, 103658. [Google Scholar] [CrossRef]
- Chen, X.; Lin, Z.; Feng, W.-L.; Yang, H.-Y.; Xiang, Y.-H. Evolution of structural safety for tunnel arch crown linings under the coupled influence of void and insufficient thickness. Structures 2024, 68, 107125. [Google Scholar] [CrossRef]
- Xin, C.L.; Wang, Z.Z.; Gao, B. Shaking table tests on seismic response and damage mode of tunnel linings in diverse tunnel-void interaction states. Tunn. Undergr. Space Technol. 2018, 77, 295–304. [Google Scholar] [CrossRef]
- Jiang, Y.; Wang, L.; Zhang, B.; Dai, X.; Ye, J.; Sun, B.; Liu, N.; Wang, Z.; Zhao, Y. Tunnel lining detection and retrofitting. Autom. Constr. 2023, 152, 104881. [Google Scholar] [CrossRef]
- Xue, Y.; Li, Y. A Fast Detection Method via Region-Based Fully Convolutional Neural Networks for Shield Tunnel Lining Defects. Comput.-Aided Civil Infrastruct. Eng. 2018, 33, 638–654. [Google Scholar] [CrossRef]
- Gao, X.; Jian, M.; Hu, M.; Tanniru, M.; Li, S. Faster multi-defect detection system in shield tunnel using combination of FCN and faster RCNN. Adv. Struct. Eng. 2019, 22, 2907–2921. [Google Scholar] [CrossRef]
- Li, D.; Xie, Q.; Gong, X.; Yu, Z.; Xu, J.; Sun, Y.; Wang, J. Automatic defect detection of metro tunnel surfaces using a vision-based inspection system. Adv. Eng. Inform. 2021, 47, 101206. [Google Scholar] [CrossRef]
- Qin, G.; Cao, S.; Lai, X.; Yang, F. Effect of insufficient tunnel crown thickness on the post-tensioned concrete lining of the Yellow River Crossing Tunnel and its strengthening schemes. J. Southeast Univ. 2018, 34, 356–363. [Google Scholar] [CrossRef]
- Liu, J.; Zhang, X.; Lv, G.; Wang, K.; Han, B.; Xie, Q. Study on crack development of concrete lining with insufficient lining thickness based on czm method. Materials 2021, 14, 7862. [Google Scholar] [CrossRef] [PubMed]
- Chen, X.; Lin, Z.; Feng, W.; Jiang, X.; Yang, H.; Xiang, Y. Evolutionary Patterns of Structural Safety Under the Coupled Effects of Tunnel Arch Lining Voiding and Insufficient Thickness. SSRN 2023. preprint. [Google Scholar] [CrossRef]
- Han, W.; Jiang, Y.; Wang, G.; Liu, C.; Koga, D.; Luan, H. Review of health inspection and reinforcement design for typical tunnel quality defects of voids and insufficient lining thickness. Tunn. Undergr. Space Technol. 2023, 137, 105110. [Google Scholar] [CrossRef]
- Wang, D. Theoretical Analysis of the Arching Effect for Large Tunnels with Shallow Overburden Depth and the Resulted Rock Load. Ph.D. Thesis, Beijing Jiaotong University, Beijing, China, 2019. [Google Scholar]
- Aygar, E.B. Evaluation of new Austrian tunnelling method applied to Bolu tunnel’s weak rocks. J. Rock Mech. Geotech. Eng. 2020, 12, 541–556. [Google Scholar] [CrossRef]
- TB 10003—2016; Code for Design of Railway Tunnel. China Railway Publishing House: Beijing, China, 2017.
- Wang, M.-N.; Wang, Z.-L.; Zhang, X.; Zhao, S.-G.; Liu, D.-G.; Tong, J.-J. Method for calculating deformation pressure of surrounding rock of deep-buried tunnels. Chin. J. Geotech. Eng. 2020, 42, 81–90. [Google Scholar] [CrossRef]
- Wang, J. Innovative Concepts in Conventional Tunnelling; China Communications Press Co., Ltd.: Beijing, China, 2021. [Google Scholar]
- Lai, H.; Wang, X.; Tan, Z.; Zhao, J.; Liu, X. Support mechanical response analysis and surrounding rock pressure calculation method for a shallow buried super large section tunnel in weak surrounding rock. Sci. Rep. 2024, 14, 13593. [Google Scholar] [CrossRef] [PubMed]
- Li, P.; Wang, F.; Fan, L.; Wang, H.; Ma, G. Analytical scrutiny of loosening pressure on deep twin-tunnels in rock formations. Tunn. Undergr. Space Technol. 2019, 83, 373–380. [Google Scholar] [CrossRef]
- Wang, M.; Wang, Z.; Gui, D.; Zhang, X.; Zhao, S.; Tong, J.; Liu, D. Calculation Method of Deformation Load of Deep-Buried Tunnel under Influence of Excavation Method. J. Southwest. Jiaotong Univ. 2021, 56, 1116–1124. [Google Scholar]
- Wang, D.; Wang, J.; Sun, L.; Niu, X.; Xu, Q. Service reliability analysis of cracked lining under the influence of lining-surrounding rock age deterioration. J. Railw. Sci. Eng. 2024, 21, 2535–2546. [Google Scholar] [CrossRef]
























| Monitoring Item | Instrument Type | Measurement Range | Accuracy | Quantity Per Section |
|---|---|---|---|---|
| Contact pressure | XYJ-2 pressure cell | 1 MPa | <0.5% F.S. | 18 units |
| Stress in steel arches of temporary support | Surface strain gauge (steel) | 3000 με | Compression: <0.5% F.S. Tension: <0.1% F.S. | 12 units |
| Stress in lattice girders of primary support | XZ-B type φ22 rebar stress gauge | 200 kN | ±0.1% F.S. | 36 units |
| Shotcrete stress in primary support | XJH-2 strain gauge | 2000 με | ±0.1% F.S. | 36 units |
| Concrete strain in temporary support | XJH-2 strain gauge | 2000 με | ±0.1% F.S. | 18 units |
| Axial force of anchor bolts | Anchor bolt load cell | 100 kN | ±0.1% F.S. | 7 sets |
| Burial Depth | Rock Grade | Sample Size | Field Monitoring (kPa) | Code-Based Values (kPa) | Protodyakonov’s Theory (kPa) | Full Overburden (kPa) | Settlement (mm) | Convergence (mm) |
|---|---|---|---|---|---|---|---|---|
| H ≤ 1.0 B | V | 5 | 48.35~131.26 | 115.12~328.16 | - | 123.34~420.21 | 39.7 | 18.8 |
| IV | 13 | 110.01~196.16 | 189.09~339.73 | - | 211.06~440.26 | 49.5 | 28.9 | |
| 1.0~1.5 B | V | 5 | 126.60~189.01 | 409.40~455.74 | - | 556.92~705.28 | 47.8 | 22.4 |
| IV | 5 | 126.30~157.65 | 230.43~257.93 | 328.60~367.81 | - | 15.4 | 7.7 | |
| III | 6 | 116.19~124.72 | 132.12~140.23 | 184.93~196.29 | - | 18.1 | 10.1 | |
| 1.5~2.5 B | IV | 8 | 124.24~156.92 | 229.19~254.21 | 326.83~360.74 | - | 24.6 | 16.2 |
| III | 14 | 110.96~126.32 | 130.26~139.61 | 182.33~195.42 | - | 22.4 | 12.7 |
| Condition | Description | Control Parameters | Rock Grade |
|---|---|---|---|
| 1 | No defect | - | III, IV, V |
| 2 | Lining thinning | Pj, Larcj, Lj, Rj | III, IV, V |
| 3 | Lining degradation + thinning | Pj, Larcj, Lj, Rj, t | III, IV, V |
| 4 | Rock degradation + thinning | Pj, Larcj, Lj, Rj, t | III, IV, V |
| 5 | Rock degradation + lining degradation + thinning | Pj, Larcj, Lj, Rj, t | III, IV, V |
| Materials | Elasticity Modulus (GPa) | Density (kg/m3) | Poisson’s Ratio | Cohesive Force (kPa) | Internal Friction Angle (°) |
|---|---|---|---|---|---|
| Primary support | 27.33 | 2550 | 0.2 | - | - |
| Temporary support | 29.65 | 2500 | 0.2 | - | - |
| Class III rock | 1.72 | 2300 | 0.26 | 2232 | 24.3 |
| Class IV rock | 0.73 | 2200 | 0.30 | 1372 | 16.9 |
| Class V rock | 0.35 | 2000 | 0.33 | 245 | 9.1 |
Disclaimer/Publisher’s Note: The statements, opinions and data contained in all publications are solely those of the individual author(s) and contributor(s) and not of MDPI and/or the editor(s). MDPI and/or the editor(s) disclaim responsibility for any injury to people or property resulting from any ideas, methods, instructions or products referred to in the content. |
© 2025 by the authors. Licensee MDPI, Basel, Switzerland. This article is an open access article distributed under the terms and conditions of the Creative Commons Attribution (CC BY) license (https://creativecommons.org/licenses/by/4.0/).
Share and Cite
He, S.; Jiang, B.; Ma, J. Mechanical Effects of Lining Thinning in Shallow Four-Track High-Speed Railway Tunnels: Field Monitoring and Numerical Analysis. Appl. Sci. 2025, 15, 6178. https://doi.org/10.3390/app15116178
He S, Jiang B, Ma J. Mechanical Effects of Lining Thinning in Shallow Four-Track High-Speed Railway Tunnels: Field Monitoring and Numerical Analysis. Applied Sciences. 2025; 15(11):6178. https://doi.org/10.3390/app15116178
Chicago/Turabian StyleHe, Shaohui, Bo Jiang, and Jianfei Ma. 2025. "Mechanical Effects of Lining Thinning in Shallow Four-Track High-Speed Railway Tunnels: Field Monitoring and Numerical Analysis" Applied Sciences 15, no. 11: 6178. https://doi.org/10.3390/app15116178
APA StyleHe, S., Jiang, B., & Ma, J. (2025). Mechanical Effects of Lining Thinning in Shallow Four-Track High-Speed Railway Tunnels: Field Monitoring and Numerical Analysis. Applied Sciences, 15(11), 6178. https://doi.org/10.3390/app15116178
