Analysis of Vorticity and Velocity Fields of Jets from Gas Injector Using PIV
Abstract
1. Introduction
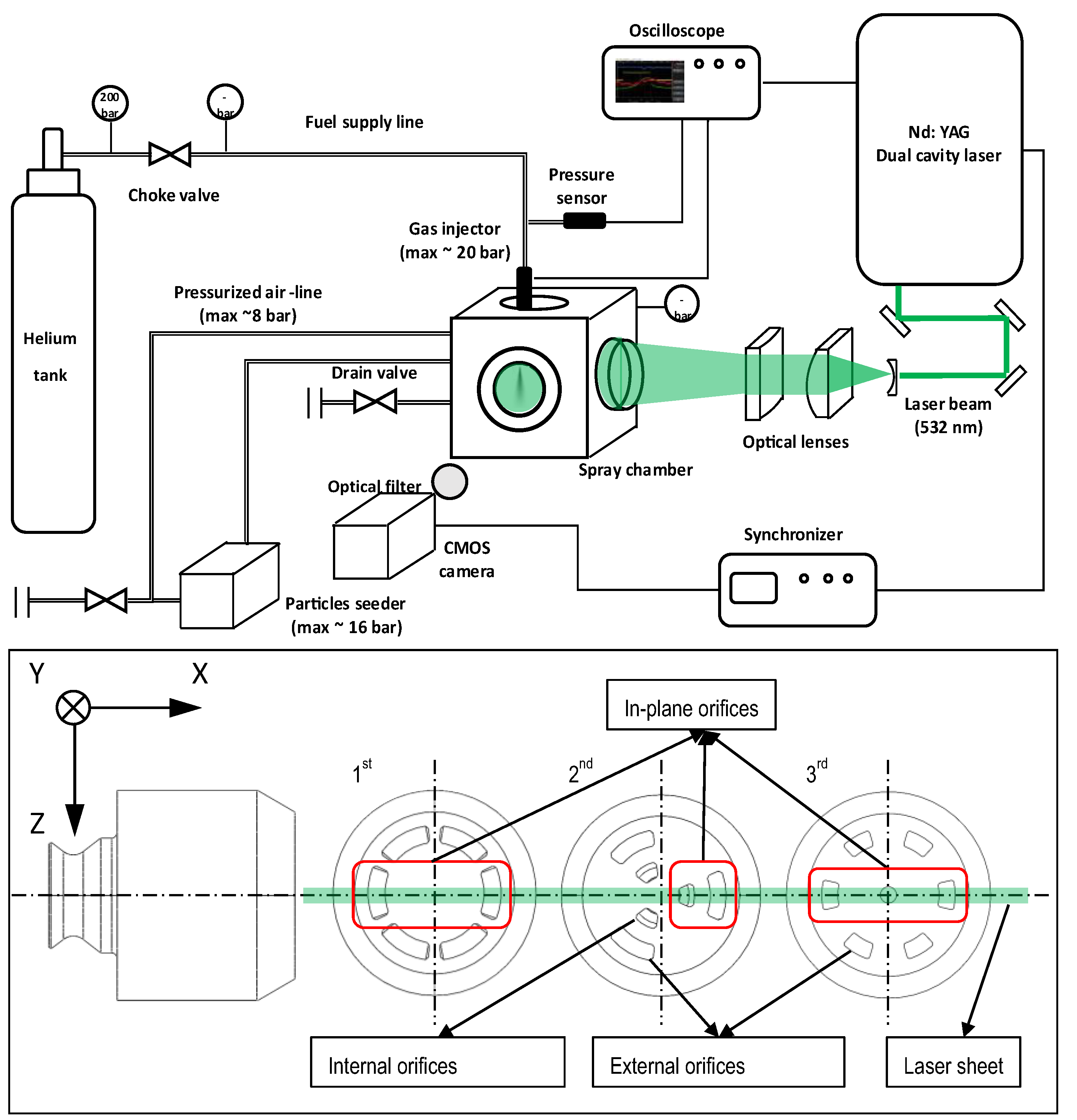
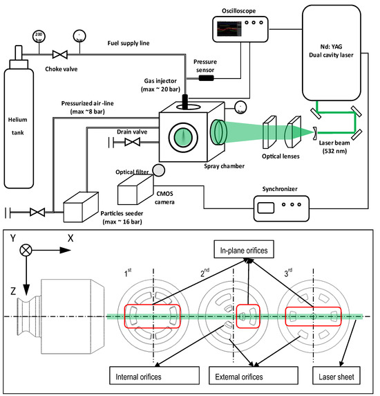
2. Experimental Setup
3. Software and Methodology
4. Results and Discussion
4.1. Velocity Magnitude
4.2. Vorticity Intensity
5. Jet Morphology
6. Conclusions
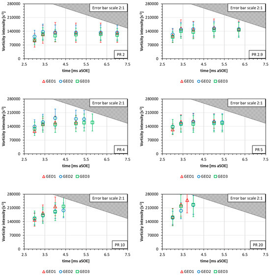
- The results on vorticity intensity highlight the role of major vortex structures in early and middle stages after injection in promoting mixing phenomena. Then, these structures rapidly collapse, regardless of the nozzle pattern and PR condition, leaving room to the rise in number of small eddies. In particular, these micro-structures were observed to form downstream to the nozzle tip and extend for relatively short distance at low PRs (5–15 mm) and shifted along the injector axis (15–70 mm) at high PRs conditions.
- Once the PR condition was established, the velocity magnitude was observed to increase almost linearly with time across all configurations examined. In contrast, after 3.5–4.0 ms aSOE, vorticity intensity kept an almost constant trend for each case considered. These results are in line with the absence of large vortex structures observed during jet development and the parallel increase in the number of small vortices.
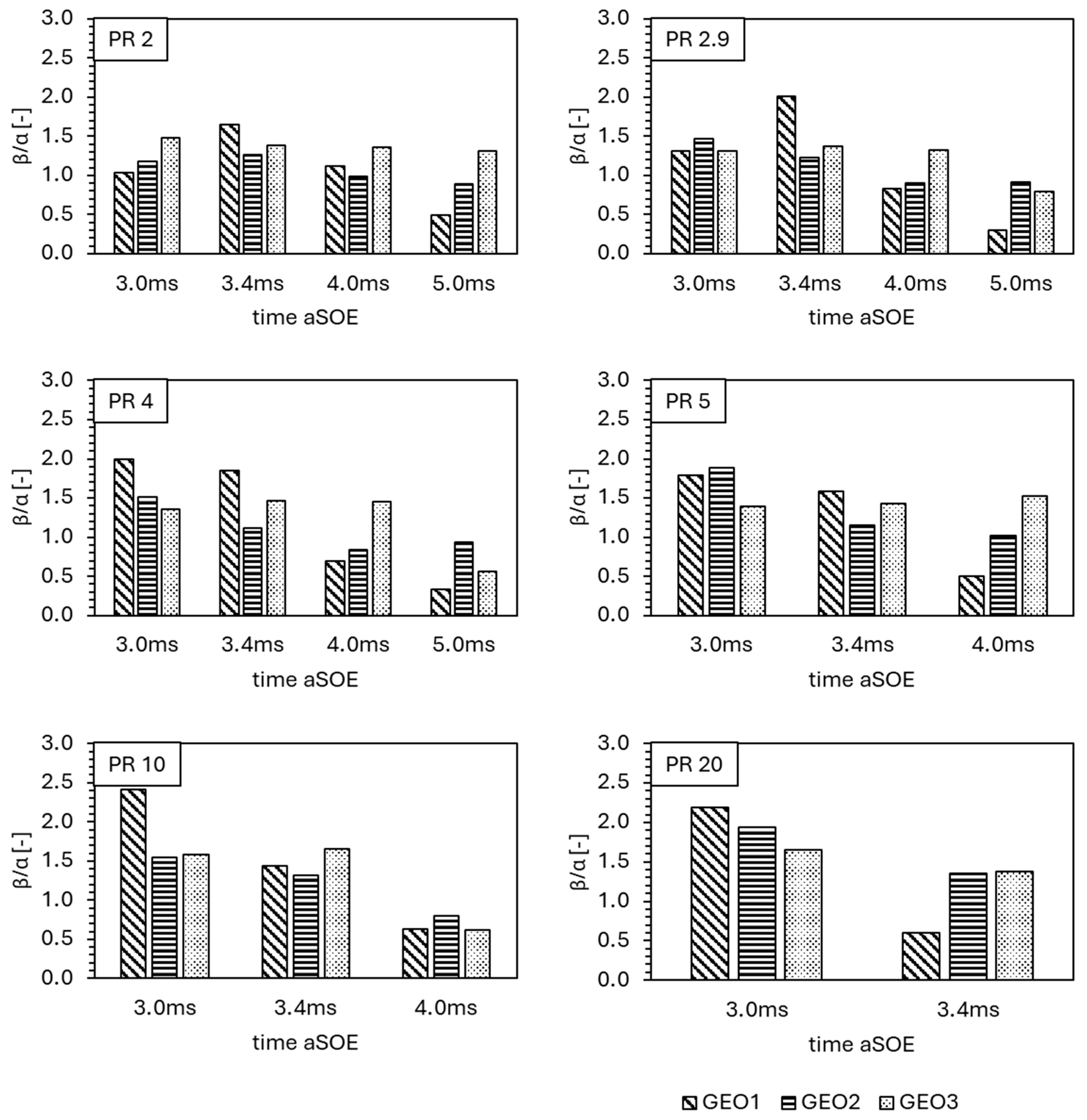
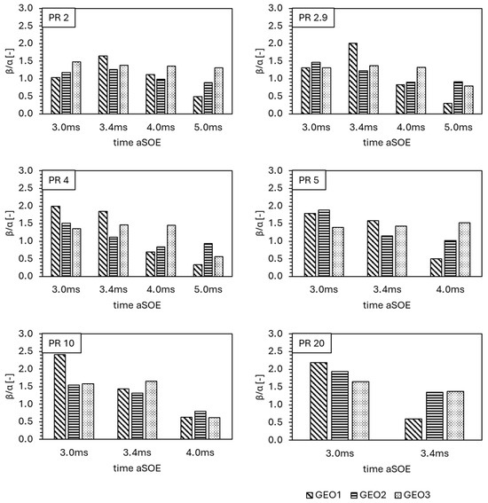
- The use of nozzle patterns with low orientation orifice paths, like first geometry, leads to the production of jets capable of keeping momentum, thus fastening the resulting jet at expense of a limited radial propagation, i.e., β/α < 1 at 8.0 ms aSOE. Specifically, the first configuration recorded the highest values of velocity peaks, i.e., from 105 to 309 m/s at 8.0 ms aSOE, regardless of the PR condition examined.
- Second and third geometries, both featuring more complex multi-orifice nozzle patterns and a higher degree of orientation of the orifice paths, resulted in an improved radial propagation of the jet, i.e., β/α ranging from 0.5 to 1.5 before achieving the ROI border. On the other hand, the greater area of the jet impacting with the air involved a reduction in jet penetration along the injector axis. Specifically, the gap in velocity was measured to be around of 10–20% compared to first geometry during injection process.
Author Contributions
Funding
Institutional Review Board Statement
Informed Consent Statement
Data Availability Statement
Acknowledgments
Conflicts of Interest
Abbreviations
| CFD | Computational Fluid Dynamic |
| CVC | Constant Volume Chamber |
| FC | Fuel Cell |
| FL | Focal Length |
| IA | Interrogation Area |
| ICE | Internal combustion engine |
| PIV | Particle Image Velocimetry |
| PR | Pressure Ratio |
| ROI | Region Of Interest |
| RSD | Rainbow Schlieren Reflectometry |
| SOE | Start Of Energizing |
References
- Moriarty, P.; Damon, H. Switching Off: Meeting Our Energy Needs in a Constrained Future; Springer Nature: Singapore, 2022. [Google Scholar] [CrossRef]
- Agyekum, E.B.; Nutakor, C.; Agwa, A.M.; Kamel, S. A Critical Review of Renewable Hydrogen Production Methods: Factors Affecting Their Scale-Up and Its Role in Future Energy Generation. Membranes 2022, 12, 173. [Google Scholar] [CrossRef] [PubMed]
- Tan, Y.; Ni, Y.; Xu, W.; Xie, Y.; Li, L.; Tan, D. Key technologies and development trends of the soft abrasive flow finishing method. J. Zhejiang Univ. Sci. A 2023, 24, 1043–1064. [Google Scholar] [CrossRef]
- Xu, P.; Li, Q.; Wang, C.; Li, L.; Tan, D.; Wu, H. Interlayer healing mechanism of multipath deposition 3D printing models and interlayer strength regulation method. J. Manuf. Process. 2025, 141, 1031–1047. [Google Scholar] [CrossRef]
- Ishaq, H.; Dincer, I.; Crawford, C. A review on hydrogen production and utilization: Challenges and opportunities. Int. J. Hydrogen Energy 2022, 47, 26238–26264. [Google Scholar] [CrossRef]
- Fedorova, N.N.; Goldfeld, M.A.; Valger, S.A. Influence of gas molecular weight on jet penetration and mixing in supersonic transverse air flow in channel. AIP Conf. Proc. 2018, 2027, 030140. [Google Scholar] [CrossRef]
- Ben-Yakar, A.; Mungal, M.G.; Hanson, R.K. Time evolution and mixing characteristics of hydrogen and ethylene transverse jets in supersonic crossflows. Phys Fluids 2006, 18, 026101. [Google Scholar] [CrossRef]
- Gruber, M.R.; Nejad, A.S.; Chen, T.H.; Dutton, J.C. Compressibility effects in supersonic transverse injection flowfields. Phys Fluids 1997, 9, 1448–1461. [Google Scholar] [CrossRef]
- He, J.; Kokgil, E.; Wang, L.L.; Ng, H.D. Assessment of similarity relations using helium for prediction of hydrogen dispersion and safety in an enclosure. Int. J. Hydrogen Energy 2016, 41, 15388–15398. [Google Scholar] [CrossRef]
- Giannissi, S.G.; Tolias, I.C.; Melideo, D.; Baraldi, D.; Shentsov, V.; Makarov, D.; Molkov, V.; Venetsanos, A.G. On the CFD modelling of hydrogen dispersion at low-Reynolds number release in closed facility. Int. J. Hydrogen Energy 2021, 46, 29745–29761. [Google Scholar] [CrossRef]
- Oamjee, A.; Sadanandan, R. Suitability of helium gas as surrogate fuel for hydrogen in H2-Air non-reactive supersonic mixing studies. Int. J. Hydrogen Energy 2022, 47, 9408–9421. [Google Scholar] [CrossRef]
- Vinnichenko, N.A.; Pushtaev, A.V.; Plaksina, Y.Y.; Uvarov, A.V. Performance of Background Oriented Schlieren with different background patterns and image processing techniques. Exp. Therm. Fluid Sci. 2023, 147, 110934. [Google Scholar] [CrossRef]
- Scarano, F. Tomographic PIV: Principles and practice. Meas. Sci. Technol. 2012, 24, 012001. [Google Scholar] [CrossRef]
- Settles, G.S.; Liberzon, A. Schlieren and BOS velocimetry of a round turbulent helium jet in air. Opt. Lasers Eng. 2022, 156, 107104. [Google Scholar] [CrossRef]
- Wanstall, C.T.; Bittle, J.A.; Agrawal, A.K. Quantitative concentration measurements in a turbulent helium jet using rainbow schlieren deflectometry. Exp. Fluids 2021, 62, 53. [Google Scholar] [CrossRef]
- Schulz, J.M.; Junne, H.; Böhm, L.; Kraume, M. Measuring local heat transfer by application of Rainbow Schlieren Deflectometry in case of different symmetric conditions. Exp. Therm. Fluid Sci. 2020, 110, 109887. [Google Scholar] [CrossRef]
- Biswas, S.; Qiao, L. A comprehensive statistical investigation of schlieren image velocimetry (SIV) using high-velocity helium jet. Exp. Fluids 2017, 58, 18. [Google Scholar] [CrossRef]
- Gao, C.; Shuai, C.; Du, Y.; Luo, F.; Wang, B. Comparison of Particle Image Velocimetry and Planar Laser-Induced Fluorescence Experimental Measurements and Numerical Simulation of Underwater Thermal Jet Characteristics. Appl. Sci. 2024, 14, 11557. [Google Scholar] [CrossRef]
- Gevorkyan, L.; Shoji, T.; Peng, W.Y.; Karagozian, A.R. Influence of the velocity field on scalar transport in gaseous transverse jets. J. Fluid Mech. 2018, 834, 173–219. [Google Scholar] [CrossRef]
- Kawanabe, H.; Kondo, C.; Kohori, S.; Shioji, M. Simultaneous measurements of velocity and scalar fields in a turbulent jet using PIV and LIF. J. Environ. Eng. 2010, 5, 231–239. [Google Scholar] [CrossRef]
- Smyk, E.; Gil, P.; Dančová, P.; Jopek, M. The PIV Measurements of Time-Averaged Parameters of the Synthetic Jet for Different Orifice Shapes. Appl. Sci. 2023, 13, 328. [Google Scholar] [CrossRef]
- Na, Y.S.; Lee, W.; Song, S. Behavior of the Density Interface of Helium Stratification by an Impinging Jet. Nucl. Technol. 2020, 206, 544–553. [Google Scholar] [CrossRef]
- Angioletti, M.; Nino, E.; Ruocco, G. CFD turbulent modelling of jet impingement and its validation by particle image velocimetry and mass transfer measurements. Int. J. Therm. Sci. 2005, 44, 349–356. [Google Scholar] [CrossRef]
- Metzger, L.; Kind, M. On the transient flow characteristics in Confined Impinging Jet Mixers—CFD simulation and experimental validation. Chem. Eng. Sci. 2015, 133, 91–105. [Google Scholar] [CrossRef]
- Turner, J.S. The ‘starting plume’ in neutral surroundings. J. Fluid Mech. 1962, 13, 356–368. [Google Scholar] [CrossRef]
- Zhao, J.; Liu, W.; Liu, Y. Experimental investigation on the microscopic characteristics of underexpanded transient hydrogen jets. Int. J. Hydrogen Energy 2020, 45, 16865–16873. [Google Scholar] [CrossRef]
- Wang, X.; Sun, B.G.; Luo, Q.H.; Bao, L.Z.; Su, J.Y.; Liu, J.; Li, X.C. Visualization research on hydrogen jet characteristics of an outward-opening injector for direct injection hydrogen engines. Fuel 2020, 280, 118710. [Google Scholar] [CrossRef]
- Erdem, E.; Kontis, K.; Saravanan, S. Penetration Characteristics of Air, Carbon Dioxide and Helium Transverse Sonic Jets in Mach 5 Cross Flow. Sensors 2014, 14, 23462–23489. [Google Scholar] [CrossRef]
- Hu, H.; Kobayashi, T.; Saga, T.; Segawa, S.; Taniguchi, N. Particle image velocimetry and planar laser-induced fluorescence measurements on lobed jet mixing flows. Exp. Fluids 2000, 29 (Suppl. S1), S141–S157. [Google Scholar] [CrossRef]
- Hu, H.; Saga, T.; Kobayashi, T.; Taniguchi, N. Stereoscopic PIV measurement of a lobed jet mixing flow. In Laser Techniques for Fluid Mechanics; Springer: Berlin/Heidelberg, Germany, 2002. [Google Scholar] [CrossRef]
- Reza, A.M. Realization of the Contrast Limited Adaptive Histogram Equalization (CLAHE) for Real-Time Image Enhancement. J. VLSI Signal Process.-Syst. Signal Image Video Technol. 2004, 38, 35–44. [Google Scholar] [CrossRef]
- Sciacchitano, A. Uncertainty quantification in particle image velocimetry. Meas. Sci. Technol. 2019, 30, 092001. [Google Scholar] [CrossRef]
- Mi, J.C.; Du, C. Influences of initial velocity, diameter and Reynolds number on a circular turbulent air/air jet. Chin. Phys. B 2011, 20, 124701. [Google Scholar] [CrossRef]
- Lei, Y.; Chang, K.; Qiu, T.; Wang, X.; Qin, C.; Zhou, D. Experimental study on entrainment characteristics of high-pressure methane free jet. ACS Omega 2021, 7, 381–396. [Google Scholar] [CrossRef] [PubMed]
- Franco, F.; Fukumoto, Y. Dynamical model of a turbulent round jet through conservation of mass flux and power. arXiv 2017, arXiv:1709.09020. [Google Scholar] [CrossRef]
- Baert, R.; Klaassen, A.; Doosje, E. Direct Injection of High Pressure Gas: Scaling Properties of Pulsed Turbulent Jets. SAE Int. J. Engines 2010, 3, 383–395. Available online: http://www.jstor.org/stable/26275567 (accessed on 12 March 2025). [CrossRef]
- Salazar, V.M.; Kaiser, S.A. An Optical Study of Mixture Preparation in a Hydrogen-fueled Engine with Direct Injection Using Different Nozzle Designs. SAE Int. J. Engines 2010, 2, 119–131. Available online: http://www.jstor.org/stable/26275411 (accessed on 12 March 2025). [CrossRef]













| Geometry Nozzle | CVC Pressure [Bar] | Pressure of Injection [Bar] | Pressure Ratio [-] |
|---|---|---|---|
| All geometries | 1 | 20 | 20.0 |
| 10 | 10.0 | ||
| 5 | 5.0 | ||
| 5 | 20 | 4.0 | |
| 10 | 2.0 | ||
| 7 | 20 | 2.9 |
| 8 Ms aSOE | PR2 | PR2.9 | PR4 | PR5 | PR10 | PR20 |
|---|---|---|---|---|---|---|
| V1st [m/s] | 105.4 | 138.1 | 167.0 | 179.2 | 248.7 | 309.4 |
| V2nd [m/s] | 108.1 | 125.2 | 141.9 | 154.4 | 211.6 | 280.6 |
| V3rd [m/s] | 90.8 | 109.3 | 127.6 | 142.5 | 208.6 | 297.3 |
| 8 Ms aSOE | PR2 | PR2.9 | PR4 | PR5 | PR10 | PR20 |
|---|---|---|---|---|---|---|
| Re1st [-] | 30,691 | 40,213 | 52,796 | 56,653 | 78,625 | 97,815 |
| Re2nd [-] | 17,987 | 33,332 | 35,416 | 33,398 | 38,729 | 58,362 |
| Re3rd [-] | 13,598 | 18,187 | 24,416 | 27,267 | 52,064 | 136,038 |
| 8 Ms aSOE | PR2 | PR2.9 | PR4 | PR5 | PR10 | PR20 |
|---|---|---|---|---|---|---|
| 1st [s−1] | 130,196.4 | 150,371.9 | 163,636.1 | 170,049.6 | 199,911.5 | 239,255.5 |
| 2nd [s−1] | 130,663.6 | 159,241.1 | 160,284.6 | 161,613.8 | 192,116.3 | 221,887.2 |
| 3rd [s−1] | 122,528.1 | 142,982.7 | 158,985.9 | 154,918.1 | 202,046.9 | 229,685.7 |
Disclaimer/Publisher’s Note: The statements, opinions and data contained in all publications are solely those of the individual author(s) and contributor(s) and not of MDPI and/or the editor(s). MDPI and/or the editor(s) disclaim responsibility for any injury to people or property resulting from any ideas, methods, instructions or products referred to in the content. |
© 2025 by the authors. Licensee MDPI, Basel, Switzerland. This article is an open access article distributed under the terms and conditions of the Creative Commons Attribution (CC BY) license (https://creativecommons.org/licenses/by/4.0/).
Share and Cite
Cecere, G.; Andersson, M.; Merola, S.S.; Irimescu, A.; Vaglieco, B.M. Analysis of Vorticity and Velocity Fields of Jets from Gas Injector Using PIV. Appl. Sci. 2025, 15, 6180. https://doi.org/10.3390/app15116180
Cecere G, Andersson M, Merola SS, Irimescu A, Vaglieco BM. Analysis of Vorticity and Velocity Fields of Jets from Gas Injector Using PIV. Applied Sciences. 2025; 15(11):6180. https://doi.org/10.3390/app15116180
Chicago/Turabian StyleCecere, Giovanni, Mats Andersson, Simona Silvia Merola, Adrian Irimescu, and Bianca Maria Vaglieco. 2025. "Analysis of Vorticity and Velocity Fields of Jets from Gas Injector Using PIV" Applied Sciences 15, no. 11: 6180. https://doi.org/10.3390/app15116180
APA StyleCecere, G., Andersson, M., Merola, S. S., Irimescu, A., & Vaglieco, B. M. (2025). Analysis of Vorticity and Velocity Fields of Jets from Gas Injector Using PIV. Applied Sciences, 15(11), 6180. https://doi.org/10.3390/app15116180

