Next Article in Journal
Efficient Fine-Tuning of Large Language Models via a Low-Rank Gradient Estimator
Previous Article in Journal
Theoretical and Simulation Study of Suction Force in Wall-Climbing Cleaning Robots with Negative Pressure Adsorption
 
 
Font Type:
Arial Georgia Verdana
Font Size:
Aa Aa Aa
Line Spacing:
Column Width:
Background:
Article

A Dynamic Measurement System Based on Adaptive Clustering and Multi-Classifier

Key Laboratory of Target Cognition and Application Technology (TCAT), Aerospace Information Research Institute, Chinese Academy of Sciences, Beijing 100094, China
*
Author to whom correspondence should be addressed.
Appl. Sci. 2025, 15(1), 81; https://doi.org/10.3390/app15010081
Submission received: 24 October 2024 / Revised: 14 December 2024 / Accepted: 25 December 2024 / Published: 26 December 2024

Abstract

Featured Application

This technology enables stable, long-term detection and tracking of dynamic targets, along with high-precision three-dimensional positional measurements. These capabilities are crucial for overcoming the technical challenges associated with autonomous navigation applications.

Abstract

This technology is highly suitable for detecting and tracking multi-skeletal targets in the field of aerial refueling. The paper presents a target feature responder based on K-means clustering, used for categorizing samples and training models. It employs a decision function to optimize the localization region across various classifier detection and tracking algorithms for targets. Additionally, a state judgment module scores the classifiers based on target state and depth information, which allows for adaptive selection of the classifier. To address the issue of missing target information, the method incorporates a stereo-vision-based mechanism to complete the localization region. This approach effectively handles challenges related to target appearance deformation, significant scale variations, motion blur, and occlusions.

1. Introduction

Autonomous navigation technology refers to the ability to determine the position, speed, and attitude of a navigator (such as aircraft, ships, vehicles, robots, etc.) without the help of external navigation devices or signals, using onboard sensors and algorithms. Currently, the application of this technology in the field of aerial refueling has become a hot research topic both domestically and internationally. Aerial refueling requires aircraft to transfer fuel to another or multiple aircraft through fuel hoses during high-altitude flight, significantly extending the flight range. The core challenge of the docking process is to precisely position the refueling port located at the center of the fuel drogue adapter. The crux of this precise positioning is the ability to conduct long-term, stable, and accurate detection and tracking of the target’s position at the image level [1]. In the realm of computer vision, target detection involves the processes of scanning, identifying, and localizing targets within images and video scenes. Target tracking can be conceptualized as a “series of detections” that captures and follows one or more specific moving targets in real time, noting their patterns of movement and velocities [2].
As deep learning-based algorithms for target detection and tracking continue to evolve, their performance has proven to significantly surpass that of traditional machine learning, especially in scenarios involving large volumes of data [3]. Nonetheless, as data volume and sample size expand, the limitations of deep learning begin to emerge. In terms of deep learning in the field of aerial refueling, an excess of drogue samples implies a rapid increase in sample richness, along with an increase in variability between the samples. During aerial refueling, various complex conditions are often encountered, such as high-altitude turbulence, transitions between bright and dark lighting, high-speed motion blur, target appearance deformation, and occlusions. Existing methods are prone to losing track of the target when the refueling drogue is obscured by the aircraft’s wings or when the refueling drogue’s umbrella-like structure collapses or contracts. There are also cases where, during re-detection, the tanker’s engines have a higher confidence level than the refueling drogue.
Due to the characteristics of long aerial refueling routes, the refueling drogue can undergo large changes in size, background, and shape during the refueling process, which can lead to failures in target detection and tracking. To address this issue, this paper proposes a dynamic measurement system based on adaptive clustering and multi-classifiers. The article is detailed across six sections: Section 1, the Introduction, discusses the research background and purpose; Section 2, Related Work, introduces the current research status, key technical difficulties, and solutions both domestically and internationally; Section 3, Materials and Methods, explains the principles and details of the methods; Section 4, Results, presents the experimental conditions and outcomes; Section 5, Discussion, analyzes and discusses the experimental results and conclusions; Section 6, Future Outlook, introduces the shortcomings of the methods and future research directions.

2. Related Works

The main focus of this paper is on the research of the application of autonomous navigation technology in the field of aerial refueling. In response to the application challenges in the field of aerial refueling discussed in the first chapter, we have summarized the latest status and the analysis of the advantages and disadvantages of relevant technologies at home and abroad. Most of the latest solutions involve combining tracking and detection based on deep learning. However, their effectiveness is limited by the respective shortcomings of tracking and detection. To meet real-time requirements, one-stage methods are generally chosen in detection because of their fast detection speed, but they have high omission rates. Examples include YOLO (You Only Look Once) [4]. In tracking methods, although mean shift algorithms have low complexity and are insensitive to slight deformations and occlusions, they have excessive demands on the speed of target movement. While Kalman filter algorithms establish target motion models without requiring a specific speed, they have poor target feature discrimination and require the motion state to follow a linear Gaussian distribution. Particle filter algorithms effectively address occlusion issues but require a large number of samples. Sparse coding methods are robust against partial occlusions and lighting conditions but involve high computational costs.
Based on the analysis of the advantages and disadvantages of the various methods mentioned, we have selected the most suitable basic algorithm module for the aerial refueling field for optimization and enhancement.
An adaptive clustering multi-classifier-based method for dynamic target detection and tracking was proposed, employing adaptive classification training tailored to varying feature responses. The decision function was utilized to weigh the detection and tracking outcomes of the multi-classifiers, and depth was estimated based on the outer ring of the refueling drogue. The scoring mechanism was updated in real time according to the information and changes in the motion state. The decision function was employed to perform a weighted fusion of the detection and tracking results from multiple classifiers. The scoring mechanism was updated in real time based on two parameters: the depth estimation information and the motion state of the outer ring of the refueling drogue. A primary classifier for the target state determination module was developed to select the optimal target detection. The missing portions of the target were estimated using a positioning area completion mechanism. This approach effectively addresses the challenges of dynamic target detection and tracking loss under complex conditions such as motion blur, target appearance deformation, and occlusion.

3. Materials and Methods

Most autonomous navigation applications necessitate the use of compact embedded devices. A key advantage of YOLO is its lightweight classification model, which is trained offline and easily integrated into embedded systems. Additionally, YOLO features a well-established integration framework with the DeepSort tracking algorithm, enhancing the capabilities of both detection and tracking applications. The combination of the YOLO algorithm and the DeepSort algorithm results in a real-time multi-object tracking model. This model not only meets the real-time requirements of autonomous navigation technology in the aerial refueling field but also achieves the target localization accuracy required in this domain.

3.1. Multi-Feature Offline Classification Model

One of the fundamental tasks in the offline phase of deep learning is the training of the sample set. Prior to this training, it is typically essential to normalize the features across each dimension to the same range and to remove correlations among different features. As the diversity of samples grows, so too does the complexity and number of features. The refueling drogue in aerial refueling is a multi-skeletal, umbrella-shaped structure that changes in appearance during different stages of the refueling process. Notably, during the docking stage, the refueling drogue may transition from a frontal view to a side view; however, this side-view phase is relatively brief, typically encompassing only one or two rounds of sample collection. Consequently, this paper employs three data augmentation techniques to broaden the receptive field in the higher-dimensional layers. The goal is to enhance the representation of datasets in the training set that have small sample sizes but high feature distinctiveness.
The detection performance of targets at varying scales is positively correlated with the expansion rate, indicating that a larger receptive field leads to improved detection performance for larger objects, while a smaller receptive field is more suitable for detecting smaller objects. The preprocessed samples adequately meet the required dimensions for training; however, due to their substantial size and high complexity, the weights derived from training demonstrate substantial missed and false detections during actual tests on the smallest distant target. Conversely, for the closest large target, significant changes in appearance and anchor points occur due to the locking state of the refueling drogue, with its position at the side of the camera often causing severe shaking of the detection frame and a marked reduction in accuracy.
This paper introduces a feature responder that accentuates various drogue features within the training set and employs a K-means clustering algorithm to facilitate adaptive classification of the same target training set using multi-object classifiers. A continuous Fourier transform is applied to the positive samples of the annotated drogue region in the dataset, translating image information from the spatial domain to the frequency domain. In this domain, higher frequencies indicate a faster rate of change in the original signal, while lower frequencies imply that the original signal is smoother. Therefore, abrupt changes in the image are primarily a combination of edge information from the refueling drogue and noise; meanwhile, the slowly changing parts of the image, which represent the contour details, can be effectively distinguished using high- and low-pass filters. The Fourier transform F(u, v) of a two-dimensional continuous function f(x, y) is defined as in Equation (1):
F ( u , v ) = f ( x , y ) e j 2 π ( u x + v y ) d x d y
where f(x, y) is a two-dimensional signal, F(u, v) is the transformed frequency domain representation, u and v are frequency variables, and dx, and dy represent the number of rows and columns of the signal, respectively.
Based on the feature information captured by the feature responder, the majority of the sample features can be adaptively segmented into three categories using the K-means algorithm: far-range, medium-range, and close-range drogues. Depending on various pre-selection boxes and feature responses, the training set is automatically categorized into large, medium, and small drogue subsets. The model incorporates a pyramid structure, where pre-selection boxes of different sizes are allocated to corresponding feature layers. The characteristic response values of the refueling drogue during aerial refueling are illustrated in Figure 1.
In the illustration, red indicates the normalized distance, while blue denotes the feature response value. In the red and blue line graph, the obvious jump positions indicate the need to switch between different classifiers for the same target. Additionally, it employs objects resembling drogues that are susceptible to false detections at long distances, such as aircraft engines and tails, as a category of positive samples for annotation training. This approach effectively addresses the issue of stable false detections arising from non-environmental factors.

3.2. Robust Detection of Dynamic Targets

The core challenge of target detection encompasses several aspects: first, a target may appear randomly at any position within an image; second, the target undergoes significant scale transformations; third, targets are subject to diverse external transformations, resulting in varied geometric features.
The method proposed in this article straddles the domain between single and multiple target detection. It requires recognizing multiple objects within a single frame and determining their specific categories, with each object inherently being a drogue.
The YOLO model is currently one of the most popular, fast, and accurate target detection algorithms. Its fundamental principle involves extracting image features through convolutional layers, using multiple filters to perform sliding convolution operations on the image, and capturing local features such as edges, textures, and colors. With the stacking of convolutional layers, the model can extract increasingly abstract and advanced features, which are crucial for object recognition and localization. Although not the latest version within the YOLO model series, YOLOv5 is the most stable and has the most balanced performance. YOLOv5s, being the version with the smallest depth and the narrowest feature map width in the YOLOv5 series, is most suitable for deployment on embedded devices. Thus, this paper selects YOLOv5s as the benchmark framework. The network structure of YOLOv5s is illustrated in Figure 2.
The YOLOv5s network architecture is structured into four main parts: the input, backbone network, neck, and head network. The training phase of the model primarily involves input handling and front-end preprocessing.

3.2.1. Input Processing

The initial anchor box at the input stage plays a crucial role in the YOLO network, which recalculates the optimal anchor box values for different training sets during each session. However, these calculated values are not always ideal. In this study, we set the aspect ratio of the bounding box to approximately 1 and fixed three scales corresponding to the training datasets of 3 categories. This setting effectively restricts the adaptive adjustment method. When two objects are detected within the same grid, we employ a combination of clustering and pyramid techniques for selection, identifying small-scale targets through the shallow layers of the pyramid and large-scale targets through the deeper layers. Additionally, this study enhances the original YOLO padding function by utilizing negative samples such as the sky or white clouds for image-stitched-based filling, which reduces redundancy without compromising the detection of the refueling drogue.
After front-end preprocessing, the three classifiers derived from clustering during sample training are used as decision reference values in this paper. These include the pre-selected box size range and the depth range of the inner and outer rings of the refueling drogue corresponding to the three classifiers. Under ideal conditions, the outer ring of the refueling drogue should be tangent to the respective preselected boxes in the binocular image. Thus, the horizontal axes µL of the preselected box in the left perspective and µr of the preselected box in the right perspective can be used as disparity values to convert into depth information, as shown in Equation (2):
μ l μ r = B F Z
In the formula, B represents the baseline distance, F denotes the focal length, and Z stands for the depth value.

3.2.2. Head Network Optimization

The head network primarily consists of two components: the loss function and non-maximum suppression. This article introduces a decision function to the existing framework. For each frame’s detection process, an online decision function is formulated based on the depth value and the size of the pre-selected box. The optimal classifier, or a combination of classifiers, is determined according to the decision function’s evaluation. The decision function is defined in terms of Equation (3):
{ x , c } = { { 0 , 1 } i f c a < θ 1   &   c b < θ 2 { x a , c a } i f c a θ 1   &   c b θ 2   &   c a c b { x b , c b } i f c a θ 1   &   c b θ 2   &   c a < c b
The target size state can be represented as {x, c}, where x denotes the target position, and c is the outcome of the decision function at that position. The first classifier is termed a, and the second classifier is termed b.
The target detection box is obtained through the synergistic effects of the aforementioned decision functions and a loss function, followed by a non-maximum suppression post-processing technique. This process filters numerous target boxes produced by each classifier. Typically, the classifier designated for large-scale targets employs a higher screening threshold, while a lower threshold is used for smaller scales.

3.3. Long-Term Tracking of Dynamic Targets

Target tracking is a significant area of study within computer vision, boasting extensive applications including autonomous refueling, autonomous landing, and unmanned driving [5]. This field faces major challenges such as occlusion, deformation, background clutter, and scale transformation [6], all of which are particularly prevalent during the aerial refueling process.
In target tracking algorithms, the DeepSort algorithm is the most effective when combined with the YOLO algorithm. As an extension of the SORT algorithm (Simple Online and Real-time Tracking), the DeepSort algorithm enhances the accuracy and robustness of target tracking by combining deep learning with traditional tracking techniques. The core of the SORT algorithm lies in its combined use of appearance features and motion features of targets, as well as optimized handling of target matching issues. The algorithm integrates the results of target detection with techniques such as the Hungarian algorithm to achieve continuous tracking of multiple targets. The DeepSort flowchart is shown in Figure 3.
In real-time target tracking, the extraction of distinct visual features for nearest-neighbor matching notably enhances tracking accuracy under conditions of occlusion and helps mitigate target jumping issues. This article introduces a deep learning model that integrates multi-classifier target detection, monocular estimation data, and state judgment strategies to more effectively address challenges related to deformation and scale transformation.
This article employs multi-dimensional and more reliable metrics to replace the correlation metrics used in traditional methods, and it trains the YOLO network on a multi-target drogue dataset to enhance feature extraction and increase network robustness against target loss and occlusion. Traditionally, the correlation between detection results and tracking predictions is addressed using the Hungarian method. The Hungarian algorithm is a method used to calculate the optimal match between detection boxes and prediction boxes. Its goal is to find a method of allocation that minimizes the total cost by continuously searching for augmenting paths. In this study, we also consider the correlation between motion information and monocular depth estimation to tackle the issues of target occlusion and losses in single-view perspectives. The monocular estimation technique, based on deep learning, utilizes relationships between pixel values to infer depth relations. This method involves fitting a function f to map an image I to a depth map D. The formula used is as shown in Equation (4):
D = f ( I )
Among these, the function f is primarily developed based on the depth perception capability, and the formula is as in Equation (5):
L = 1 N i = 1 N ( α D + λ D ) · l ( d i d i G T )
Among the variables, i denotes the pixel index, N represents the total number of pixels in the depth map, while d i and d i G T are the predicted and actual depth values, respectively. The term l is the distance metric and αD serves as a depth-aware attention factor that directs the network to concentrate more on regions with greater depth values. Consequently, during backpropagation, the gradient focuses intensely on a few distant areas.
To prevent gradient vanishing at the start of training and disruptions during the learning of close-range regions, a regularization term is incorporated. This term reflects the learning state throughout the training process. If the depth value predicted by the network closely matches the actual value, λD tends to 0; otherwise, it approaches 1. This approach ensures that, even in close-range areas (where αD is near to 0), the gradient can still propagate back through the original loss function, thereby enhancing training stability. The formula for the regularization term is shown in Equation (6):
λ D = 1 min ( log ( d i ) , log ( d i G T ) ) max ( log ( d i ) , log ( d i G T ) )
This article links monocular depth estimation with motion information by employing the Mahalanobis distance to compare the Kalman filter’s predictive results with the detected motion states of existing moving targets. Mahalanobis Distance is a metric that measures the distance between a point and a distribution, particularly suitable for multidimensional data. The formula is presented in Equation (7):
d ( 1 ) ( i , j ) = ( d i y i ) T S i 1 ( d j y j )
In this context, d i represents the position of the jth detection box, y i denotes the predicted position of the ith tracker on the target, and S i symbolizes the covariance matrix between the detected position and the average tracking position. The Mahalanobis distance accounts for the uncertainty in state measurement by evaluating the standard deviation between the detected position and the average tracking position. If the Mahalanobis distance for a given association falls below the designated threshold, the association of the motion state is deemed successful.

4. Results

In this section, we will initially introduce the experimental procedure, detailing the implementation of the algorithm and outlining the experimental steps. Subsequently, we will conduct qualitative and quantitative analyses of the experimental results.

4.1. Experimental Implementation Details

The simulation visual platform experiment utilizes digital simulation software that integrates a binocular stereo-vision system based on the prototype principle. Real-time images capturing the motion of the refueling drogue during the docking phase are transmitted and output by the visual simulation software nodes and captured by dual cameras in the binocular stereo-vision setup. The construction of the simulation visual platform is shown in Figure 4.
The physical flight experiment involving a drone incorporates a binocular parallax sensor comprised dual cameras, an embedded platform, and cables forming part of a stereo-vision measurement system. This configuration creates a dynamic target stereo-vision measurement system, as shown in Figure 5.
The dataset utilized in the experiments is categorized into two groups: the simulation dataset and the physical dataset. The simulation dataset is classified with seven attributes: blue sky, sunset, sunny day, dark clouds, grassland, dusk, and river. The physical dataset is labeled with six attributes: near/medium/remote targets and mountain/sky/city backdrops. Each dataset can exhibit multiple attributes. Datasets 1 to 6 feature videos recorded under the aforementioned simulation conditions, mimicking the complex backgrounds encountered during fueling operations, including sky, aircraft, and aerial scenes.
Deep learning-based detection algorithms require training with specific samples [7]. In this experiment, 7558 samples were utilized for training, sourced from pre-prepared videos that encompass variations in scale, lighting, and angle. The video providing these samples did not overlap with the video used in the tests.

4.2. Visual Simulation Platform Experiment

The commonly used metrics for evaluating target detection methods are accuracy and success rate. Accuracy is measured by initializing the first frame of the dataset with the annotated true position and then calculating the average overlap rate between each method’s detection box and the annotation box across all frames. Success rate, on the other hand, is assessed by calculating the proportion of frames successfully detected by each method in relation to the total number of frames in the dataset. These metrics serve as the foundation for data evaluation, verification, and analysis in comparative experiments involving target tracking and positioning algorithms.
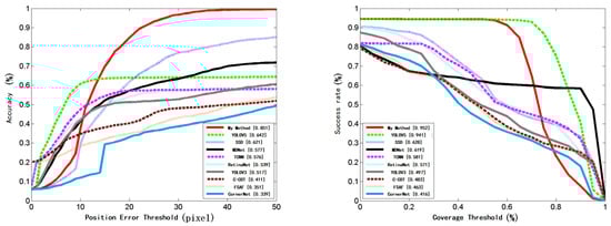
The algorithm in this paper is an improvement on the YOLOv5 + DeepSort framework [8]; hence, it is necessary to compare it with YOLOv5 in target detection experiments. Additionally, the selection of comparison algorithms in this paper is based on their real-time performance and portability. Algorithms that meet the criteria of processing speeds over 30 frames per second and that are feasible to replicate on hardware can be considered potential comparison algorithms. The following eight algorithms, which show the best results in target detection experiments, were selected for comparison.
My method is compared with several widely utilized approaches, including SSD (Single Shot MultiBox Detector) [9], MDNet (Learning MultiDomain Convolutional Neural Networks for Visual Tracking) [10], TCNN (Tube Convolutional Neural Network for Action Detection in Videos) [11], YOLOV5 (Real-Time Vehicle Detection from UAV Aerial Images Based on Improved YOLOv5) [12], YOLOv3 (A rapid field crop data collection method for complex cropping patterns using UAV and YOLOv3) [13], C-COT (Learning Continuous Convolution Operators for Visual Tracking) [14], FSAF (Feature Selective AnchorFree Module for SingleShot Object Detection) [15], RetinaNet (Multiscale Maize Tassel Identification Based on Improved RetinaNet Model and UAV Images) [16], and CornerNet (CornerNet: Detecting Objects as Paired Keypoints) [17]. These comparisons provide a deeper insight into the strengths and weaknesses of each method within the target detection landscape.
Figure 6 depicts the accuracy and success rate of various methods. Within the dataset, threshold conditions are defined as follows: the accuracy threshold is set at 20 pixels, and the success threshold is determined by an overlap rate of 0.5 between the detected and the actual values. Notably, the algorithm discussed in this paper achieved the highest success rate of 95.2% and an accuracy of 85.1%, substantially surpassing other conventional algorithms. Based on these findings, it can be concluded that the target detection method proposed in this study not only maintains high success rates but also ensures robust accuracy.
Figure 7 displays the outcomes of target detection and tracking performed using the algorithm proposed in this paper on the simulation dataset. The simulation dataset features a rich and diverse background, and the refueling drogue is characterized by significant features and an appropriate size within the image. These factors have allowed various deep learning algorithms to demonstrate effective results on this dataset. Consequently, the distinctive advantages of the algorithm described in this article are subtle and primarily manifest in the demonstrated detection and tracking performance.

4.3. Physical Flight Experiment of UAVs

This subsection of the experiment primarily focuses on comparing the target tracking capabilities of various algorithms. The algorithm discussed in this paper represents an improvement on the YOLOv5 + DeepSort framework; thus, it is necessary to compare it with DeepSort in the target tracking experiments. Additionally, the selection of comparison algorithms is based on their real-time performance and portability. Algorithms that can process over 30 frames per second and whose complexity is suitable for replication on hardware can be considered candidates for comparison. The following eight algorithms, which have demonstrated the best target tracking results, were selected for comparison.
To assess the accuracy of the algorithm proposed in this paper, we conducted comparisons with widely utilized methods on the drone dataset. These methods include (Development of a YOLO-KCF Coupling Algorithm for Miniature Fixed-Wing UAVs in Target Detection and Tracking) [18], MDNet (Learning MultiDomain Convolutional Neural Networks for Visual Tracking), TCNN (Tube Convolutional Neural Network for Action Detection in Videos), GOTURN (Target Adaptive Tracking Based on GOTURN), SiamPC (SiamRPN++: Evolution of Siamese Visual Tracking With Very Deep Networks) [19], C-COT (Learning Continuous Convolution Operators for Visual Tracking), ECO (Efficient Convolution Operators for Tracking) [20], DeepSort (Simple Online and Realtime Tracking with a Deep Association Metric) [21], and UPDT (Unveiling the Power of Deep Tracking) [22].
Figure 8 illustrates the comparison results across multiple datasets, where each row signifies a certain type of dataset categorized by working distance: near, medium, and far. From the bounding boxes displayed in the visualizations, it is deduced that the refueling drogue target is small, moves rapidly, and is significantly affected by complex backgrounds. In most cases, tracking algorithms tend to lose the target near the initial region and continue to track and incorrectly locate targets without the capability of correction; this observation holds true across other datasets. However, algorithms like DeepSort demonstrate effective target detection and tracking in some test images.
In a study involving a physical dataset with six attributes, a pairwise combination generated nine sets of datasets from left and right perspectives. Detection and tracking performance were analyzed for each dataset at a rate of 30 frames per second within the video stream. The proportion of frames that failed to locate the refueling drogue using both our method and the comparative methods served as the criterion for assessing the missed detection rate. The evaluation outcomes for the four groups are detailed in Table 1 and Table 2.
According to the data presented in the table, the missed detection rate of our algorithm across each dataset does not exceed 4%, thereby ensuring long-term effective detection and tracking. The average missed detection rate of our algorithm, at 2%, is significantly lower than the original algorithm’s 11%. Furthermore, our algorithm demonstrates enhanced robustness and stability and notably improves the detection and tracking of fuzzy, small targets.
This paper conducts a comprehensive feature response analysis on the mentioned dataset and statistically analyzes the target feature response values for each frame across the nine datasets. The Fourier transform peak of the refueling drogue in each image frame was utilized as the criterion for evaluating feature response value data. Figure 9 clearly illustrates the effectiveness of our algorithm in various application settings, from both left and right perspectives, respectively.
From Figure 9, it is evident that except for the ninth dataset, which exhibits significant fluctuations in feature response values, all other datasets maintain stability at 0.7 or higher. A higher feature response value indicates greater consistency between the target feature and the current detector. Fluctuations are generally observed when the refueling drogue background shifts to a complex urban setting. The dataset featuring a distant urban background has the lowest response values and consequently the poorest detection accuracy. Scenarios with a remote sky background and remote mountain background most frequently result in false detections, often mistakenly identifying features in the hollows of the refueling drogue or on drone tires. Nonetheless, this algorithm successfully addresses these issues through the implementation of multiple classifiers.

4.4. Method Performance Analysis Experiment

The experimental analysis of method performance mainly focuses on testing and analyzing accuracy and timeliness. Experiments for both parts are conducted on a simulation visual scene platform. Since the experiment involves converting two-dimensional image localization into three-dimensional physical localization, we will briefly introduce the experimental conditions and principles.
The simulation visual platform experiment is implemented on a workstation configured with an i7-6820HQ processor. The binocular vision system used for image acquisition consists of two GT1910c cameras with a resolution of 1920 × 1080. The internal and external parameters of the binocular cameras are calibrated using a camera calibration toolbox. The scale factors in the x and y directions for the left camera are αxl = 2435.8 and αyl = 2435.8, respectively, with the principal point coordinates (µ0l, v0l) = (959.5, 539.5). The scale factors for the right camera in the x and y directions are αxr = 2435.8 and αyr = 2435.8, respectively, with the principal point coordinates (µ0r, v0r) = (959.5, 539.5). The position of the right camera relative to the left is given by the translation vector om = (0, 0, 0) T = (−1000, 0, 0) in millimeters.
The three-dimensional measurement results are calculated by converting the two-dimensional pixel coordinates of the refueling drogue’s center point as seen from the left and right camera viewpoints, using the internal and external parameters obtained from camera calibration.

4.4.1. Target Localization Accuracy Experiment

The purpose of the experiments in this section is to verify the accuracy of three-dimensional object positioning based on binocular stereo vision. Given the practical situation in the field of aerial refueling, the fundamental goal of improving the accuracy, speed, and stability of target detection and tracking is to rapidly obtain high-precision three-dimensional positioning information of the refueling drogue’s center point. Therefore, the design of this study uses the three-dimensional true values of the refueling drogue’s center point in the visual simulation platform as a benchmark to test the Euclidean distance deviations between the three-dimensional measurement results from both the algorithm proposed in this paper and the comparative algorithm.
To better demonstrate the improvement each module of the algorithm in this paper contributes to the overall accuracy, we will conduct comparative experiments using ablation studies. We will refer to YOLOv5 + DeepSort + K-means feature response as My Method A, YOLOv5 + DeepSort + decision function as My Method B, and YOLOv5 + DeepSort + state judgment as My Method C. In addition to the aforementioned three ablation algorithms A, B, and C, this section also incorporates the latest algorithm applying the YOLO model in the aerial refueling field (an intelligent cone detection algorithm based on YOLOv4-tiny) for comparison [23].
In order to better demonstrate the capability of the algorithm proposed in this paper to handle various challenges, we selected a test set composed of images that include four types of scenarios: target scale changes, shape structure changes, high-speed motion blur, and target feature occlusion. Each type of image consists of 25 frames, totaling 100 frames. These 100 frames are randomly combined in an order that increases relative distance, adding to the complexity of the test set. During the simulation of aerial refueling docking, the relative distance between the refueling drogue and the receiver’s intake gradually changes from 30 m to 3 m. We are unable to have the test set contain only one of the above four situations, as our visual simulation software can only emulate the process of aerial refueling and cannot artificially intervene to fix a specific situation; therefore, each image may contain two or more complex conditions simultaneously.
From Figure 10, it is clear that My Method and My Method A demonstrate overall high positioning accuracy and stability. This highlights the significant role the feature responder plays among the three modules added to our method. Additionally, My Method B and My Method C show higher overall accuracy and stability compared to YOLO, indicating that both the decision function and state determination modules are crucial for enhancing performance. However, as the relative distance increases, the absence of the feature responder in these two modules results in a noticeable deterioration in positioning accuracy.
Based on the accuracy requirements of the aerial refueling project, the precision requirement within a 5 m range is less than 5 cm, and beyond that range, the precision requirement is less than 1% of the Euclidean distance. Figure 6 shows that only My Method meets the precision requirements for aerial refueling.
To better quantify the improvements of our method and its modules over the current optimal YOLO-based aerial refueling algorithms, we calculated the mean difference in positioning deviation per frame among the methods. YOLO is 11.7 cm less accurate than My Method; My Method A is 2.8 cm less accurate than My Method; My Method B is 10.1 cm less accurate than My Method, and My Method C is 8.1 cm less accurate than My Method. In summary, in terms of positioning accuracy, our method shows a clear improvement over the currently best methods in the field, especially at longer distances. Among our method’s components, the performance ranking of the three modules is feature responder > state determination module > decision function.

4.4.2. Target Localization Timeliness Experiment

The purpose of the experiment in this section is to compare the differences in timeliness between the algorithm proposed in this paper and a comparative algorithm. Since this paper adds several modules to the original YOLOv5 algorithm, such as the feature responder, decision function, and state judgment module, these additions theoretically affect the processing speed of target detection and tracking. Therefore, by analyzing the response time, we aim to better evaluate the computational processing capability of the method proposed in this paper. The comparative algorithm chosen for this section is the YOLOv5 algorithm, which has demonstrated excellent performance in response time. Additionally, we have incorporated ablation algorithms to conduct timeliness experiments. By comparing the timeliness of My Method A/B/C, we can obtain a relatively clear analysis of the computing resources required by each module. This analysis plays a crucial role in elucidating the practical feasibility and scalability of the methods presented in this paper. For this experiment, we selected a test set with significant changes in target shape, the longest flight range, and instances of trailing during the refueling drogue movement.
From Figure 11, it can be observed that when processing images with a resolution of 1920 × 1080 in an NVIDIA RTX 3080 environment, the response time of the YOLO algorithm averages about 0.03 s, fluctuating within a range of ±0.003 s, indicating general stability. The response time of the algorithm discussed in this paper averages about 0.032 s, fluctuating within a range of ±0.002 s, with three instances where the response time significantly increased. These increases primarily occurred due to the adaptive selection of the optimal classifier. Overall, in terms of response time, the proposed algorithm is slightly inferior to the YOLO algorithm, and its stability is also less consistent compared to YOLO. However, the timeliness still meets the processing requirements of 30 frames per second for the aerial refueling project. Future considerations include the use of parallel processing and fitting filters to enhance the timeliness of the adaptive classifier selection.
In addition, it can be observed that the ablation algorithm of My Method A, which includes only the addition of a feature responder, functions effectively only when the confidence in some detection and tracking results is low, exhibiting a jump in response time with an average jump duration of about 0.045 s. Method B, which only added a decision function, has an average response time that is 0.0011 s higher than the YOLO algorithm, while Method C, which only added a state judgment module, has an average response time that is 0.0012 s higher than the YOLO algorithm. It is evident that the computational processing of the proposed algorithm mainly concentrates on the adaptive switch of classifiers at the feature responder, where the complexity of the feature responder exceeds that of the decision function and state judgment module. Additionally, in the proposed algorithm, it is not necessary to invoke these three modules for processing each frame image, especially the feature responder, which is generally only involved in the processing of a few frames. The decision function and state judgment module generally participate in the computation only when the target detection and tracking results are too low. Averaged across each frame, the combined response time of the three modules accounts for only 6.25% of the total response time. To clearly demonstrate the performance balance of the proposed method in terms of timeliness, we have created a bar graph to represent this balance, as shown in Figure 12.

5. Discussion

This chapter introduces a dynamic target detection and tracking method that utilizes adaptive clustering and multiple classifiers. By implementing a target feature responder based on K-means clustering, adaptive classification training can be conducted according to the distinct main features of the refueling drogue in the training set. The detection and tracking outcomes from multiple classifiers are integrated and refined through a decision function, with the scorer being updated in real time based on depth estimation data and the motion status of the refueling drogue’s outer ring. Additionally, the target state determination module identifies and selects the most suitable main classifier for optimal target detection.
Subsequently, by employing a localization region completion mechanism, the method can estimate missing target sections using monocular image data and boundary constraints, facilitating emergency avoidance maneuvers in aerospace applications. The efficacy and reliability of the proposed method are substantiated on a digital simulation platform, which includes visual simulation software and physical flight experiments with unmanned aerial vehicles. Experimental data, along with comparisons to various tracking algorithms, confirm the high performance of this method, achieving an accuracy of 85.1% and a success rate of 95.2%. These data underscore both the effectiveness and the dependability of the approach.

6. Conclusions and Future Work

This paper proposes improved methods for addressing challenges such as significant changes in the shape of the target, motion blur, and occlusions, which frequently occur during aerial refueling processes. By using a clustering-based target feature responder, overly feature-rich samples of the same type are adaptively divided into multiple classes with moderate richness, replacing the single-target classifier logic with multiple-target classifiers to handle large variations in single-target features. This has notably enhanced the success rate and accuracy in detecting refueling probes with significant shape changes. With a state judgment module, the appropriate classifier within multi-target classifiers can be switched timely when motion blur and trailing occur in the target. Moreover, a stereo-vision-based positioning mechanism that uses three-dimensional information to guide two-dimensional positioning effectively addresses the issue of missed and false detections caused by excessive feature information loss during target occlusion. The model improved through these three approaches, effectively copes, with the challenges of autonomous navigation technology during aerial refueling.
Reflecting on the work completed in the paper, combined with recent knowledge reserves and practical testing results, it is believed that further research and enhancement are needed in the following areas:
(1)
The current optimized algorithm is not universal and primarily focuses on the field of aerial refueling; it has not been tested in other domains, and further expansion and optimization of application domains are necessary;
(2)
Some parameters involved in the current algorithm still require manual intervention and cannot be adaptively selected, prompting future improvements toward automation.

Author Contributions

Conceptualization, B.S.; methodology, B.S.; software, B.S.; validation, B.S., H.Y. and H.W.; formal analysis, B.S.; investigation, B.S.; resources, B.S.; data curation, H.Y.; writing—original draft preparation, B.S.; writing—review and editing, B.S.; visualization, B.S.; supervision, B.S.; project administration, B.S.; funding acquisition, H.W. All authors have read and agreed to the published version of the manuscript.

Funding

The APC was funded by the Aerospace Information Research Institute, the Chinese Academy of Sciences (AIR-CAS), and the Key Laboratory of Target Cognition and Application Technology (TCAT) with E2HN080802.

Data Availability Statement

Restrictions apply to the availability of these data. Data were obtained from the Chinese Academy of Sciences and are available from the authors with the permission of the Chinese Academy of Sciences.

Conflicts of Interest

The authors declare no conflicts of interest.

References

  1. Zou, Z.; Chen, K.; Shi, Z.; Guo, Y.; Ye, J. Target detection in 20 Years: A Survey. arXiv 2019, arXiv:1905.05055. [Google Scholar] [CrossRef]
  2. Yang, X.; Huang, X.; Huang, Z.; Zhu, L.; Li, X. A dynamic target tracking model for uavs based on the fusion of twin networks and deep learning. In Journal of Physics: Conference Series; IOP Publishing Ltd.: Bristol, UK, 2024. [Google Scholar] [CrossRef]
  3. Gullapelly, A.; Banik, B.G. Multiple object tracking with behavior detection in crowded scenes using deep learning. J. Intell. Fuzzy Syst. Appl. Eng. Technol. 2023, 44, 5107–5121. [Google Scholar] [CrossRef]
  4. Redmon, J.; Divvala, S.; Girshick, R.; Farhadi, A. You Only Look Once: Unified, Real-Time Target detection. In Proceedings of the 2016 IEEE Conference on Computer Vision and Pattern Recognition (CVPR), Las Vegas, NV, USA, 26 June–1 July 2016; IEEE: New York, NY, USA, 2016. [Google Scholar] [CrossRef]
  5. Oliveira, T.; Aguiar, A.P.; Encarnacao, P. Moving Path Following for Unmanned Aerial Vehicles With Applications to Single and Multiple Target Tracking Problems. IEEE Trans. Robot. A Publ. IEEE Robot. Autom. Soc. 2016, 32, 1062–1078. [Google Scholar] [CrossRef]
  6. Zhao, B.; Xian, B.; Zhang, Y.; Zhang, X. Nonlinear Robust Adaptive Tracking Control of a Quadrotor UAV Via Immersion and Invariance Methodology. IEEE Trans. Ind. Electron. 2015, 62, 2891–2902. [Google Scholar] [CrossRef]
  7. Kwon, H. Adversarial image perturbations with distortions weighted by color on deep neural networks. Multimed. Tools Appl. 2022, 82, 13779–13795. [Google Scholar] [CrossRef]
  8. Suewongsuwan, K.; Angsuseranee, N.; Wongkamchang, P.; Phasinam, K. Comparative analysis of UAV detection and tracking performance: Evaluating YOLOv5, YOLOv8, and YOLOv8 DeepSort for enhancing anti-UAV systems. Edelweiss Appl. Sci. Technol. 2024, 8, 708–726. [Google Scholar] [CrossRef]
  9. Liu, W.; Anguelov, D.; Erhan, D.; Szegedy, C.; Reed, S.; Fu, C.Y.; Berg, A.C. SSD: Single Shot MultiBox Detector. In Proceedings of the Computer Vision—ECCV 2016: 14th European Conference, Amsterdam, The Netherlands, 11–14 October 2016; Springer: Cham, Switzerland, 2016; Volume 9905, pp. 21–37. [Google Scholar]
  10. Nam, H.; Han, B. Learning MultiDomain Convolutional Neural Networks for Visual Tracking. In Proceedings of the 2016 IEEE Conference on Computer Vision and Pattern Recognition (CVPR), Las Vegas, NV, USA, 26 June–1 July 2016; Volume 465, pp. 4293–4302. [Google Scholar]
  11. Hou, R.; Chen, C.; Shah, M. Tube Convolutional Neural Network (TCNN) for Action Detection in Videos. In Proceedings of the 2017 IEEE International Conference on Computer Vision (ICCV), Venice, Italy, 22–29 October 2017; Volume 620, pp. 5823–5832. [Google Scholar]
  12. Li, S.; Yang, X.; Lin, X.; Zhang, Y.; Wu, J. Real-Time Vehicle Detection from UAV Aerial Images Based on Improved YOLOv5. Sensors 2023, 23, 5634. [Google Scholar] [CrossRef] [PubMed]
  13. Zhang, H.; Wang, B.; Tang, Z.; Xue, J.; Chen, R.; Kan, H.; Lu, S.; Feng, L.; He, Y. A rapid field crop data collection method for complexity cropping patterns using UAV and YOLOv3. Front. Earth Sci. 2024, 18, 242–255. [Google Scholar] [CrossRef]
  14. Danelljan, M.; Robinson, A.; Shahbaz Khan, F.; Felsberg, M. Beyond Correlation Filters: Learning Continuous Convolution Operators for Visual Tracking. In Proceedings of the Computer Vision–ECCV 2016, Amsterdam, The Netherlands, 11–14 October 2016; Volume 978, pp. 472–488. [Google Scholar]
  15. Zhu, C.; He, Y.; Savvides, M. Feature Selective AnchorFree Module for SingleShot Target detection. In Proceedings of the 2019 IEEE/CVF Conference on Computer Vision and Pattern Recognition (CVPR), Long Beach, CA, USA, 15–20 June 2019; pp. 840–849. [Google Scholar]
  16. Wang, B.; Yang, G.; Yang, H.; Gu, J.; Xu, S.; Zhao, D.; Xu, B. Multiscale Maize Tassel Identification Based on Improved RetinaNet Model and UAV Images. Remote Sens. 2023, 15, 2530. [Google Scholar] [CrossRef]
  17. Law, H.; Deng, J. CornerNet: Detecting Objects as Paired Keypoints. Int. J. Comput. Vis. 2020, 128, 642–656. [Google Scholar] [CrossRef]
  18. Xiao, Q.; Kong, L.; Zou, C.; Cai, G.; Yu, K. Development of a YOLO-KCF Coupling Algorithm for Miniature Fixed-Wing UAVs in Target Detection and Tracking. Unmanned Syst. 2023, 12, 763–774. [Google Scholar] [CrossRef]
  19. Li, B.; Wu, W.; Wang, Q.; Zhang, F.; Xing, J.; Yan, J. SiamRPN++: Evolution of Siamese Visual Tracking With Very Deep Networks. In Proceedings of the 2019 IEEE/CVF Conference on Computer Vision and Pattern Recognition (CVPR), Long Beach, CA, USA, 15–20 June 2020; pp. 4277–4286. [Google Scholar]
  20. Danelljan, M.; Bhat, G.; Shahbaz Khan, F.; Felsberg, M. ECO: Efficient Convolution Operators for Tracking. In Proceedings of the 2017 IEEE Conference on Computer Vision and Pattern Recognition (CVPR), Honolulu, HI, USA, 21–26 July 2017; pp. 6931–6939. [Google Scholar]
  21. Wojke, N.; Bewley, A.; Paulus, D. Simple Online and Realtime Tracking with a Deep Association Metric. In Proceedings of the 2017 IEEE International Conference on Image Processing (ICIP), Beijing, China, 17–20 September 2017; pp. 3645–3649. [Google Scholar]
  22. Bhat, G.; Johnander, J.; Danelljan, M.; Khan, F.S.; Felsberg, M. Unveiling the Power of Deep Tracking. In Proceedings of the Computer Vision–ECCV 2018, Munich, Germany, 8–14 September 2018; Volume 11206, pp. 493–509. [Google Scholar]
  23. Mu, L.; Wang, B.; Li, Q.; Cao, S.; Zhang, Y.; Xie, X. Design and implementation of UAV aerial refueling cone recognition and docking guidance simulation experiment. Exp. Technol. Manag. 2023, 40, 9–16. [Google Scholar] [CrossRef]
Figure 1. Characteristic response map.
Figure 1. Characteristic response map.
Applsci 15 00081 g001
Figure 2. YOLOv5s architecture diagram.
Figure 2. YOLOv5s architecture diagram.
Applsci 15 00081 g002
Figure 3. DeepSort flow chart.
Figure 3. DeepSort flow chart.
Applsci 15 00081 g003
Figure 4. Simulation visual platform.
Figure 4. Simulation visual platform.
Applsci 15 00081 g004
Figure 5. Measurement system overview schematic.
Figure 5. Measurement system overview schematic.
Applsci 15 00081 g005
Figure 6. Accuracy vs. success curve.
Figure 6. Accuracy vs. success curve.
Applsci 15 00081 g006
Figure 7. Algorithm effect display diagram.
Figure 7. Algorithm effect display diagram.
Applsci 15 00081 g007
Figure 8. Comparison of detection and tracking methods.
Figure 8. Comparison of detection and tracking methods.
Applsci 15 00081 g008
Figure 9. (a) Statistical chart of target feature response values from the left perspective; (b) statistical chart of target feature response values from the right perspective.
Figure 9. (a) Statistical chart of target feature response values from the left perspective; (b) statistical chart of target feature response values from the right perspective.
Applsci 15 00081 g009
Figure 10. Comparison results of positioning deviation.
Figure 10. Comparison results of positioning deviation.
Applsci 15 00081 g010
Figure 11. Response time for my method vs. YOLO.
Figure 11. Response time for my method vs. YOLO.
Applsci 15 00081 g011
Figure 12. Balanced view.
Figure 12. Balanced view.
Applsci 15 00081 g012
Table 1. Evaluation table for left angle misdetection rate in multiple datasets.
Table 1. Evaluation table for left angle misdetection rate in multiple datasets.
Dataset NumberMy Method (%)YOLO + DeepSort (%)
dataset 42.7718.13
dataset 50.966.73
dataset 60.4118.5
dataset 72.3820.63
Table 2. Evaluation table for right angle misdetection rate in multiple datasets.
Table 2. Evaluation table for right angle misdetection rate in multiple datasets.
Dataset NumberMy Method (%)YOLO + DeepSort (%)
dataset 43.9312.7
dataset 51.924.81
dataset 63.183.91
dataset 70.2613.76
Disclaimer/Publisher’s Note: The statements, opinions and data contained in all publications are solely those of the individual author(s) and contributor(s) and not of MDPI and/or the editor(s). MDPI and/or the editor(s) disclaim responsibility for any injury to people or property resulting from any ideas, methods, instructions or products referred to in the content.

Share and Cite

MDPI and ACS Style

Shi, B.; You, H.; Wang, H. A Dynamic Measurement System Based on Adaptive Clustering and Multi-Classifier. Appl. Sci. 2025, 15, 81. https://doi.org/10.3390/app15010081

AMA Style

Shi B, You H, Wang H. A Dynamic Measurement System Based on Adaptive Clustering and Multi-Classifier. Applied Sciences. 2025; 15(1):81. https://doi.org/10.3390/app15010081

Chicago/Turabian Style

Shi, Bowen, Hongjian You, and Huixian Wang. 2025. "A Dynamic Measurement System Based on Adaptive Clustering and Multi-Classifier" Applied Sciences 15, no. 1: 81. https://doi.org/10.3390/app15010081

APA Style

Shi, B., You, H., & Wang, H. (2025). A Dynamic Measurement System Based on Adaptive Clustering and Multi-Classifier. Applied Sciences, 15(1), 81. https://doi.org/10.3390/app15010081

Note that from the first issue of 2016, this journal uses article numbers instead of page numbers. See further details here.

Article Metrics

Back to TopTop