Research on Three-Dimensional Resistivity Imaging for Non-Conventional Electrode Arrays in Restricted Exploration Area
Abstract
1. Introduction
2. Methods
2.1. Design of Electrode Arrays for Constrained Sites
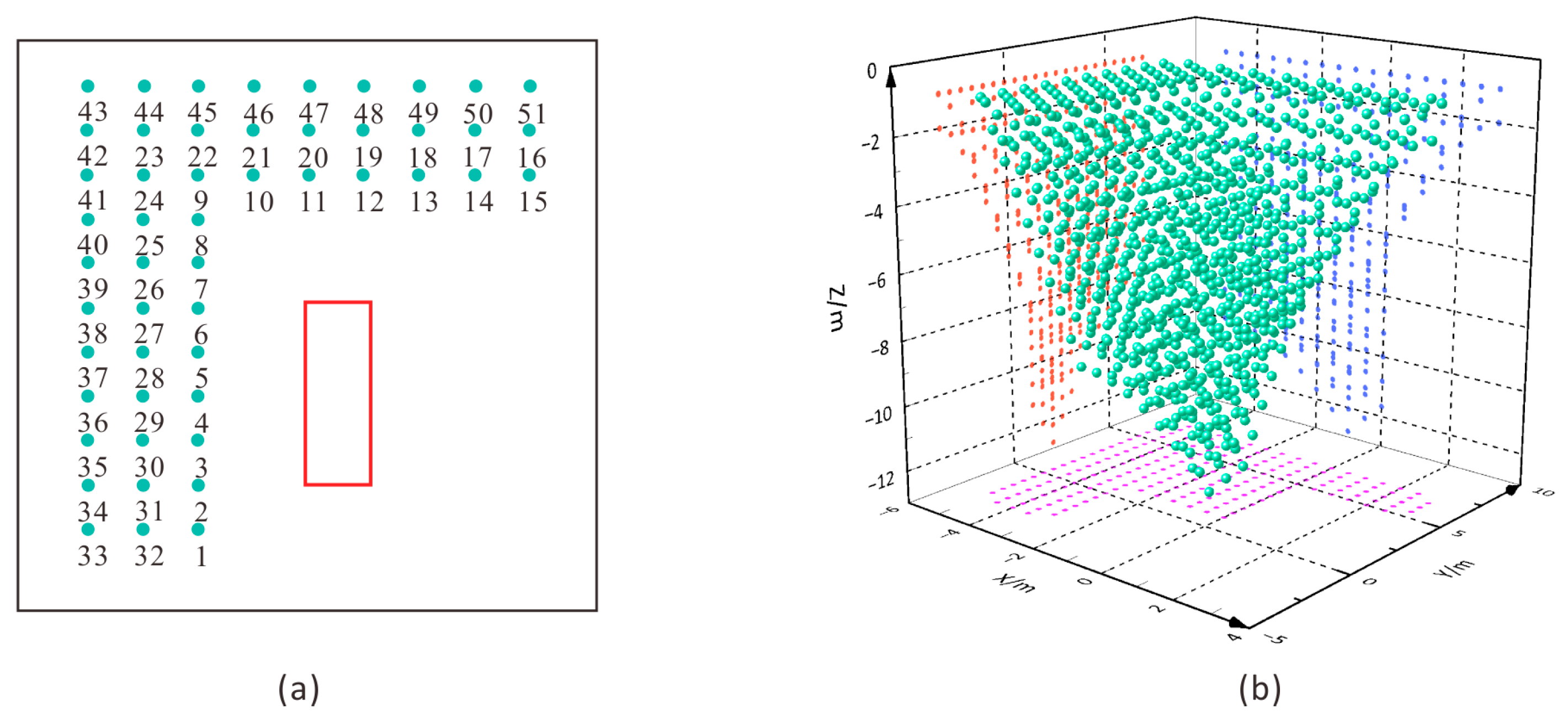
2.1.1. “□”-Shaped Electrode Array
2.1.2. “U”-Shaped Electrode Array
2.1.3. “L”-Shaped Electrode Array
2.2. Forward and Inversion Theory
2.2.1. Finite Element Method (FEM) Theory
2.2.2. Inversion Theory
2.3. Calculation of Measured Resistivity and Impedance
3. Model Inversion and Application Case
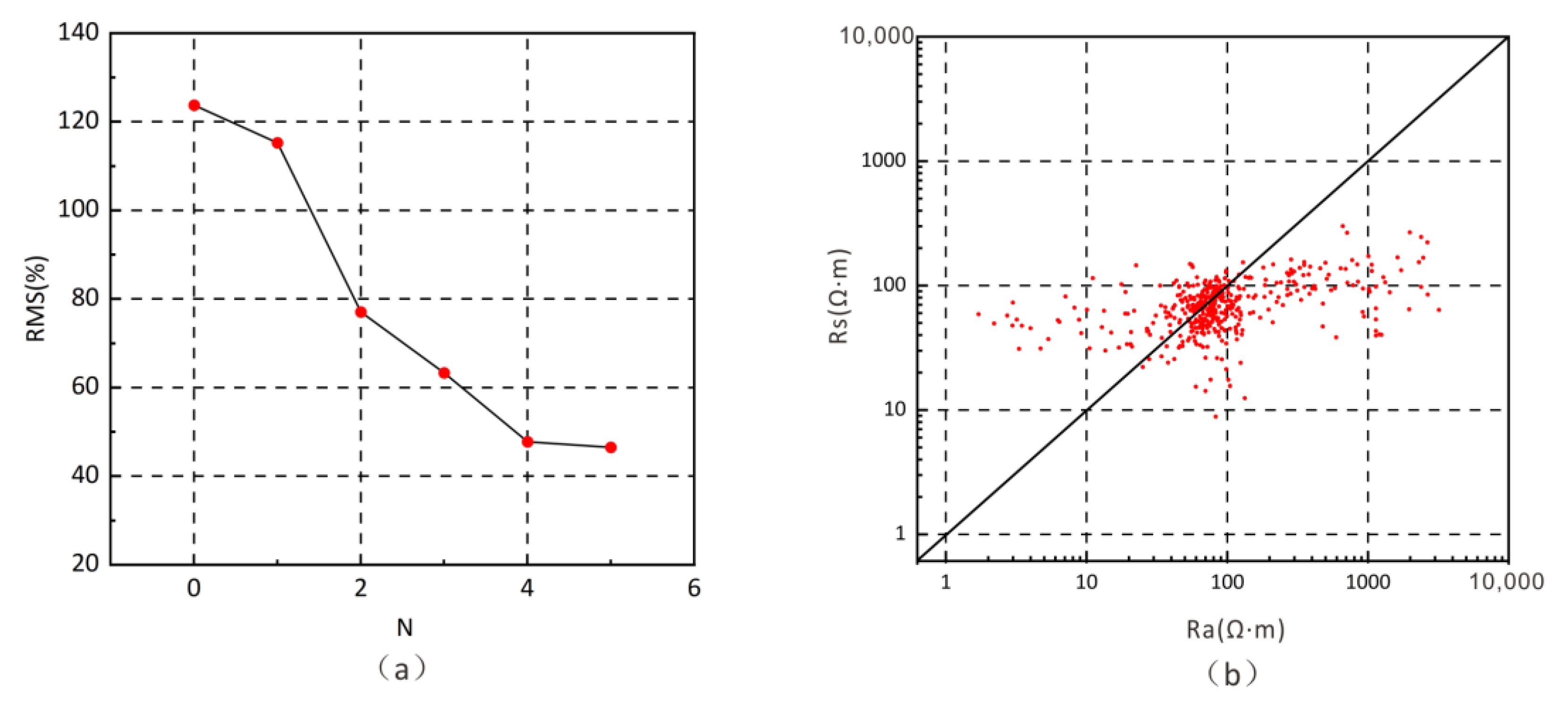
3.1. Model Inversion
3.2. Application Case
4. Conclusions
Author Contributions
Funding
Institutional Review Board Statement
Informed Consent Statement
Data Availability Statement
Conflicts of Interest
References
- Shima, H. 2-D and 3-D Resistivity Image Reconstruction Using Crosshole Data. Geophysic 1992, 57, 1270–1281. [Google Scholar] [CrossRef]
- Paz-Arellano, P.; Tejero-Andrade, A.; Argote-Espino, D. 2D-ERT Survey for the Identification of Archaeological and Historical Structures beneath the Plaza of Santo Domingo, Mexico City, Mexico. Archaeol. Prospect. 2017, 24, 183–194. [Google Scholar] [CrossRef]
- Uhlemann, S.; Chambers, J.; Wilkinson, P.; Maurer, H.; Merritt, A.; Meldrum, P.; Kuras, O.; Gunn, D.; Smith, A.; Dijkstra, T. Four-dimensional Imaging of Moisture Dynamics during Landslide Reactivation. J. Geophys. Res. Earth Surf. 2017, 122, 398–418. [Google Scholar] [CrossRef]
- Abd El-Gawad, A. Landslides Articulation in Wadi Hof Area Southeast of Cairo, Egypt, Based on Geological and Geophysical Investigations. Environ. Earth Sci. 2021, 80, 195. [Google Scholar] [CrossRef]
- Chambers, J.E.; Kuras, O.; Meldrum, P.I.; Ogilvy, R.D.; Hollands, J. Electrical Resistivity Tomography Applied to Geologic, Hydrogeologic, and Engineering Investigations at a Former Waste-Disposal Site. Geophysics 2006, 71, B231–B239. [Google Scholar] [CrossRef]
- Gemail, K.S.; Attwa, M.; Eleraki, M.; Zamzam, S. Imaging of Wastewater Percolation in Heterogeneous Soil Using Electrical Resistivity Tomography (ERT): A Case Study at East of Tenth of Ramadan City, Egypt. Environ Earth Sci. 2017, 76, 666. [Google Scholar] [CrossRef]
- Prins, C.; Thuro, K.; Krautblatter, M.; Schulz, R. Testing the Effectiveness of an Inverse Wenner-Schlumberger Array for Geoelectrical Karst Void Reconnaissance, on the Swabian Alb High Plain, New Line Wendlingen–Ulm, Southwestern Germany. Eng. Geol. 2019, 249, 71–76. [Google Scholar] [CrossRef]
- Ibraheem, I.M.; Tezkan, B.; Bergers, R. Integrated Interpretation of Magnetic and ERT Data to Characterize a Landfill in the North-West of Cologne, Germany. Pure Appl. Geophys. 2021, 178, 2127–2148. [Google Scholar] [CrossRef]
- Wilson, S.R.; Ingham, M.; McConchie, J.A. The Applicability of Earth Resistivity Methods for Saline Interface Definition. J. Hydrol. 2006, 316, 301–312. [Google Scholar] [CrossRef]
- Mainoo, P.A.; Manu, E.; Yidana, S.M.; Agyekum, W.A.; Stigter, T.; Duah, A.A.; Preko, K. Application of 2D-Electrical Resistivity Tomography in Delineating Groundwater Potential Zones: Case Study from the Voltaian Super Group of Ghana. J. Afr. Earth Sci. 2019, 160, 103618. [Google Scholar] [CrossRef]
- Kumar, D.; Mondal, S.; Warsi, T. Deep Insight to the Complex Aquifer and Its Characteristics from High Resolution Electrical Resistivity Tomography and Borehole Studies for Groundwater Exploration and Development. J. Earth Syst. Sci. 2020, 129, 68. [Google Scholar] [CrossRef]
- Alpaslan, N. Determination of Borehole Locations and Saline-Water Intrusion for Groundwater in Central Anatolia Region, Turkey Using Electrical Tomography (ERT) Method. Environ. Earth Sci. 2021, 80, 810. [Google Scholar] [CrossRef]
- Abudeif, A.M.; Abdel Aal, G.Z.; Masoud, A.M.; Mohammed, M.A. Detection of Groundwater Pathways to Monitor Their Level Rise in Osirion at Abydos Archaeological Site for Reducing Deterioration Hazards, Sohag, Egypt Using Electrical Resistivity Tomography Technique. Appl. Sci. 2022, 12, 10417. [Google Scholar] [CrossRef]
- Getaneh, A.; Haile, T. Optimized Electrical Resistivity Tomography Investigation Established in Identifying Pit Tombs of Mogareb, a Cemetery Area in a Pre-Aksumite Archaeological Site of Seglamen, Northern Ethiopia. Measurement 2018, 129, 558–564. [Google Scholar] [CrossRef]
- Bondar, K.M.; Sokhatskyi, M.P.; Chernov, A.; Popko, Y.; Petrokushyn, O.; Baryshnikova, M.; Khomenko, R.; Boyko, M. Geophysical Assessment of Verteba Cave Eneolithic Site, Ukraine. Geoarchaeology 2021, 36, 238–251. [Google Scholar] [CrossRef]
- Parsi, M.; Hahn, S.; Fassbinder, J.W.E.; Kaniuth, K.; Wolf, M.; Asandulesei, A.; Brasoveanu, C. Illuminating Traces of an Achaemenid’s Monumental Complex in the Southern Caucasus by Electrical Resistivity Tomography. J. Appl. Geophys. 2023, 209, 104886. [Google Scholar] [CrossRef]
- Martorana, R.; Capizzi, P. Evaluation of Artifacts and Misinterpretation in 2D Electrical Resistivity Tomography Caused by Three-Dimensional Resistive Structures of Regular or Irregular Shapes. Appl. Sci. 2023, 13, 2015. [Google Scholar] [CrossRef]
- Jiang, L.; Tian, G.; Wang, B.; Guo, X.; He, X.; Zou, A.; Chen, H.; Yang, T.; EI-Raouf, A.A. Application of Three-Dimensional Electrical Resistivity Tomography in Urban Zones by Arbitrary Electrode Distribution Survey Design. J. Appl. Geophys. 2021, 194, 104460. [Google Scholar] [CrossRef]
- Su, M.; Liu, Y.; Xue, Y.; Cheng, K.; Ning, Z.; Li, G.; Zhang, K. Detection Method of Karst Features around Tunnel Construction by Multi-Resistivity Data-Fusion Pseudo-3D-Imaging Based on the PCA Approach. Eng. Geol. 2021, 288, 106127. [Google Scholar] [CrossRef]
- Coelho, C.V.S.; Moreira, C.A.; Rosolen, V.; Bueno, G.T.; Salles, J.; Furlan, L.M.; Govone, J.S. Analyzing the Spatial Occurrence of High-Alumina Clays (Brazil) Using Electrical Resistivity Tomography (ERT). Pure Appl. Geophys. 2020, 177, 3943–3960. [Google Scholar] [CrossRef]
- Rupesh, J.S.; Tiwari, P.; Sharma, S.P. High-Resolution Quasi-3D Electric Resistivity Tomography for Deciphering Groundwater Potential Zones in Lateritic Terrain. Nat. Resour. Res. 2021, 30, 3339–3353. [Google Scholar] [CrossRef]
- Lu, K.; Li, F.; Pan, J.; Li, K.; Chen, Y.; Li, Y.; Chen, L.; Wang, H.; Ding, L.; Li, S.; et al. Using Electrical Resistivity Tomography and Surface Nuclear Magnetic Resonance to Investigate Cultural Relic Preservation in Leitai, China. Eng. Geol. 2021, 285, 106042. [Google Scholar] [CrossRef]
- Loke, M.H.; Barker, R.D. Practical Techniques for 3D Resistivity Surveys and Data Inversion. Geophys. Prospect. 1996, 44, 499–523. [Google Scholar] [CrossRef]
- White, R.M.S.; Collins, S.; Loke, M.H. Resistivity and IP Arrays, Optimised for Data Collection and Inversion. ASEG Ext. Abstr. 2003, 2003, 229–232. [Google Scholar] [CrossRef]
- Chambers, J.E.; Wilkinson, P.B.; Weller, A.L.; Meldrum, P.I.; Ogilvy, R.D.; Caunt, S. Mineshaft Imaging Using Surface and Crosshole 3D Electrical Resistivity Tomography: A Case History from the East Pennine Coalfield, UK. J. Appl. Geophys. 2007, 62, 324–337. [Google Scholar] [CrossRef]
- Neyamadpour, A.; Wan Abdullah, W.A.T.; Taib, S. Use of Four-Electrode Arrays in Three-Dimensional Electrical Resistivity Imaging Survey. Stud. Geophys. Geod. 2010, 54, 299–311. [Google Scholar] [CrossRef]
- Rucker, D.F.; Loke, M.H.; Levitt, M.T.; Noonan, G.E. Electrical-Resistivity Characterization of an Industrial Site Using Long Electrodes. Geophysic 2010, 75, WA95–WA104. [Google Scholar] [CrossRef]
- Doetsch, J.; Linde, N.; Vogt, T.; Binley, A.; Green, A.G. Imaging and Quantifying Salt-Tracer Transport in a Riparian Groundwater System by Means of 3D ERT Monitoring. Geophysic 2012, 77, B207–B218. [Google Scholar] [CrossRef]
- Pang, C.; Gao, W.; Wu, P.; Wang, L. Grouting Effect Detection within the Floor of a Coal Seam Using 3D Electric Resistivity Tomography (ERT) with Arbitrary Electrode Positions. Appl. Sci. 2022, 12, 5625. [Google Scholar] [CrossRef]
- Abdullah, F.M.; Loke, M.H.; Nawawi, M.; Abdullah, K. Improving the Resolution of 3-D Resistivity Surveys along the Perimeter of a Confined Area Using Optimized Arrays. Pure Appl. Geophys. 2019, 176, 1701–1715. [Google Scholar] [CrossRef]
- Loke, M.H.; Wilkinson, P.B.; Chambers, J.E.; Uhlemann, S.S.; Sorensen, J.P.R. Optimized Arrays for 2-D Resistivity Survey Lines with a Large Number of Electrodes. J. Appl. Geophys. 2015, 112, 136–146. [Google Scholar] [CrossRef]
- Argote-Espino, D.; Tejero-Andrade, A.; Cifuentes-Nava, G.; Iriarte, L.; Farías, S.; Chávez, R.E.; López, F. 3D Electrical Prospection in the Archaeological Site of El Pahñú, Hidalgo State, Central Mexico. J. Archaeol. Sci. 2013, 40, 1213–1223. [Google Scholar] [CrossRef]
- Athanasiou, E.N.; Tsourlos, P.I.; Vargemezis, G.N.; Papazachos, C.B.; Tsokas, G.N. Non-destructive DC Resistivity Surveying Using Flat-base Electrodes. Near Surf. Geophys. 2007, 5, 263–272. [Google Scholar] [CrossRef]
- Li, B.; Tuo, X.G.; Zhang, G.; Wang, K.Y. Application of High Density Resistivity Method to the Survey of Geologic Disasters in Mine. Metal Mine 2013, 48, 87–89. [Google Scholar]
- Tomaškovičová, S.; Ingeman-Nielsen, T.; Christiansen, A.V.; Brandt, I.; Dahlin, T.; Elberling, B. Effect of Electrode Shape on Grounding Resistances—Part 2: Experimental Results and Cryospheric Monitoring. Geophysic 2016, 81, WA169–WA182. [Google Scholar] [CrossRef]
- Brunner, I.; Friedel, S.; Jacobs, F.; Danckwardt, E. Investigation of a Tertiary Maar Structure Using Three-Dimensional Resistivity Imaging. Geophys. J. Int. 1999, 136, 771–780. [Google Scholar] [CrossRef]
- Nyquist, J.E.; Roth, M.J.S. Improved 3D Pole-dipole Resistivity Surveys Using Radial Measurement Pairs. Geophys. Res. Lett. 2005, 32, 2005GL024153. [Google Scholar] [CrossRef]
- Priegnitz, M.; Thaler, J.; Spangenberg, E.; Rücker, C.; Schicks, J.M. A Cylindrical Electrical Resistivity Tomography Array for Three-Dimensional Monitoring of Hydrate Formation and Dissociation. Rev. Sci. Instrum. 2013, 84, 104502. [Google Scholar] [CrossRef] [PubMed]
- Tsourlos, P.; Papadopoulos, N.; Yi, M.-J.; Kim, J.-H.; Tsokas, G. Comparison of Measuring Strategies for the 3-D Electrical Resistivity Imaging of Tumuli. J. Appl. Geophys. 2014, 101, 77–85. [Google Scholar] [CrossRef]
- Chávez, R.E.; Cifuentes-Nava, G.; Hernández-Quintero, J.E.; Vargas, D.; Tejero, A. Special 3D Electric Resistivity Tomography (ERT) Array Applied to Detect Buried Fractures on Urban Areas: San Antonio Tećomitl, Milpa Alta, México. Geofis. Int. 2014, 53, 425–434. [Google Scholar] [CrossRef]
- Tejero-Andrade, A.; Cifuentes, G.; Chávez, R.E.; López-González, A.E.; Delgado-Solórzano, C. L- and CORNER-arrays for 3D Electric Resistivity Tomography: An Alternative for Geophysical Surveys in Urban Zones. Near Surf. Geophys. 2015, 13, 355–368. [Google Scholar] [CrossRef]
- Xu, S.Z. FEM in Geophysics, 1st ed.; Science Press: Beijing, China, 1994; pp. 159–165. [Google Scholar]
- Liu, H.F.; Ruan, B.Y.; Liu, J.X.; Lv, Y.Z. A 3D Finite Element Modeling of DC IP Data with Continuous Conductivity Media and Varying Topography. Comput. Technol. Geophys. Geochem. Explor. 2008, 30, 308–313 + 263–264. [Google Scholar]
- deGroot-Hedlin, C.; Constable, S. Occam’s Inversion to Generate Smooth, Two-dimensional Models from Magnetotelluric Data. Geophysics 1990, 55, 1613–1624. [Google Scholar] [CrossRef]
- Liu, H.F.; Liu, J.X.; Guo, R.W.; Deng, X.K.; Ruan, B.Y. Efficient Inversion of 3D IP Data for Continuous Model with Complex Geometry. J. Jilin Univ. (Earth Sci. Ed.). 2011, 41, 1212–1218. [Google Scholar] [CrossRef]
- Liu, H.F.; Liu, J.X.; Ruan, B.Y.; Zhang, S.M. 2D Self-adaptive Regularization Inversion with Vertical Induced Polarization Sounding Data. J. Tongji Univ. (Nat. Sci.) 2009, 37, 1685–1690. [Google Scholar]
- Beck, A.; Teboulle, M. A Fast Iterative Shrinkage-Thresholding Algorithm for Linear Inverse Problems. Siam J. Imaging Sci. 2009, 2, 183–202. [Google Scholar] [CrossRef]
- Jin, J.M. The Finite Element Method in Electromagnetics, 3rd ed.; John Wiley & Sons, Inc.: Hoboken, NJ, USA, 2015. [Google Scholar]
- Hassan, B.A.; Moghrabi, I.A.R.; Ameen, T.A.; Sulaiman, R.M.; Sulaiman, I.M. Image Noise Reduction and Solution of Unconstrained Minimization Problems via New Conjugate Gradient Methods. Mathematics 2024, 12, 2754. [Google Scholar] [CrossRef]
- Liu, H.F.; Ruan, B.Y.; Liu, J.X. The Conjugate Gradient Algorithm of Variational Damping and Its Capability Analysis. Prog. Geophys. 2008, 23, 89–93. [Google Scholar]
- Ju, S.H. A simple OpenMP scheme for parallel iteration solvers in finite element analysis. Comput. Model. Eng. Sci. (CMES) 2010, 64, 91–108. [Google Scholar]
- Telford, W.M.; Geldart, L.P.; Sheriff, R.E. Applied Geophysics, 2nd ed.; Cambridge University Press: Cambridge, UK, 1990. [Google Scholar]












| Type of Electrode Array | Number of Electrodes | Number of Simulated Data Points |
|---|---|---|
| “□”-shaped | 64 | 4032 |
| “U”-shaped | 50 | 2450 |
| “L”-shaped | 36 | 1260 |
Disclaimer/Publisher’s Note: The statements, opinions and data contained in all publications are solely those of the individual author(s) and contributor(s) and not of MDPI and/or the editor(s). MDPI and/or the editor(s) disclaim responsibility for any injury to people or property resulting from any ideas, methods, instructions or products referred to in the content. |
© 2024 by the authors. Licensee MDPI, Basel, Switzerland. This article is an open access article distributed under the terms and conditions of the Creative Commons Attribution (CC BY) license (https://creativecommons.org/licenses/by/4.0/).
Share and Cite
Liu, H.; Zhao, Y.; Zhang, Y.; Li, X.; Zhu, D. Research on Three-Dimensional Resistivity Imaging for Non-Conventional Electrode Arrays in Restricted Exploration Area. Appl. Sci. 2025, 15, 68. https://doi.org/10.3390/app15010068
Liu H, Zhao Y, Zhang Y, Li X, Zhu D. Research on Three-Dimensional Resistivity Imaging for Non-Conventional Electrode Arrays in Restricted Exploration Area. Applied Sciences. 2025; 15(1):68. https://doi.org/10.3390/app15010068
Chicago/Turabian StyleLiu, Haifei, Yingjie Zhao, Yuhao Zhang, Xiaoqiang Li, and Daowei Zhu. 2025. "Research on Three-Dimensional Resistivity Imaging for Non-Conventional Electrode Arrays in Restricted Exploration Area" Applied Sciences 15, no. 1: 68. https://doi.org/10.3390/app15010068
APA StyleLiu, H., Zhao, Y., Zhang, Y., Li, X., & Zhu, D. (2025). Research on Three-Dimensional Resistivity Imaging for Non-Conventional Electrode Arrays in Restricted Exploration Area. Applied Sciences, 15(1), 68. https://doi.org/10.3390/app15010068

