Characterization of HVSR and VRSR in the Loess Plateau of China Based on Strong-Motion Data
Abstract
1. Introduction
2. Data
3. Methods
3.1. Data Preprocessing Methods
3.2. HVSR and VRSR Calculation Method
3.2.1. Calculation of HVSR
3.2.2. Calculation of VRSR
4. Results and Discussion
4.1. Characterization of the Fourier Amplitude Spectrum
4.1.1. Characterization of the Fourier Amplitude Spectra at Different Magnitudes
4.1.2. Characterization of the Fourier Amplitude Spectra at Different Epicentral Distances
4.2. Characterization of the Power Spectrum
4.2.1. Characterization of the Power Spectra at Different Magnitudes
4.2.2. Characterization of the Power Spectra at Different Epicentral Distances
4.3. Characterization of the HVSR and VRSR Mean Curve Features
4.3.1. Average Site Amplification Effects and Predominant Periods of Loess Plateau Sites
4.3.2. HVSR and VRSR Mean Curves Versus Magnitude, Epicentral Distance, and Focal Depth
- (1)
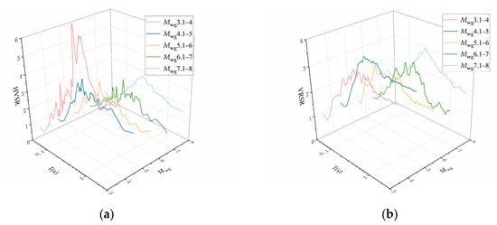
- HVSR and VRSR mean curves versus magnitude
- (2)
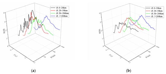
- HVSR and VRSR mean curves versus epicenter distance
- (3)
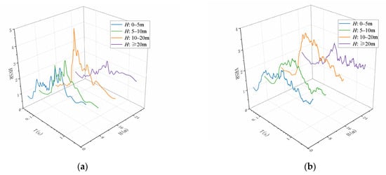
- HVSR and VRSR mean curves versus focal depth
4.4. HVSR and VRSR Mean Curves Versus Loess Thickness
5. Conclusions
Author Contributions
Funding
Institutional Review Board Statement
Informed Consent Statement
Data Availability Statement
Conflicts of Interest
References
- Wood, H.O. Distribution of apparent intensity in San Francisco in the California earthquake of April 18, 1906. In Report of State Earthquake Investigation Commission; Carnegie Institution of Washington: Washington, DC, USA, 1908; pp. 220–245. [Google Scholar]
- Weng, W.H. The earthquake in Gansu on December 16, 1920. Science 1922, 105–114. (In Chinese) [Google Scholar]
- Zhou, X.Y. The influence of soil conditions on seismic loads on buildings. In Seismic Engineering Research Report Collection; Science Press: Beijing, China, 1965; pp. 21–41. (In Chinese) [Google Scholar]
- Hu, Y.X.; Sun, P.S.; Zhang, Z.Y.; Tian, Q.W. The influence of site conditions on earthquake damage and ground motion. Earthq. Eng. Eng. Vib. 1980, 1, 35–41. [Google Scholar]
- Liu, H.X. The Great Tangshan Earthquake of 1976; Earthquake Engineering Research Laboratory, California Institute of Technology: Pasadena, CA, USA, 2004; pp. 171–338. [Google Scholar]
- Bo, J.S.; Li, Q.; Qi, W.H.; Wang, Y.T.; Zhao, X.L.; Zhang, Y.Y. Advances and suggestions on the influence of site conditions on ground motion and seismic damage. J. Jilin Univ. (Earth Sci. Ed.) 2021, 51, 1295–1305. (In Chinese) [Google Scholar]
- Omori, F. On microtremors. Bull. Imp. Earthq. Investig. Comm. 1908, 2. [Google Scholar]
- Kanai, K. Relation between the nature of surface layer and amplitude of earthquake motion II. Bull. Earthq. Res. Inst. 1953, 31, 219. [Google Scholar]
- Kanai, K. Engineering Seismology; University of Tokyo Press: Tokyo, Japan, 1983. [Google Scholar]
- Kanai, K.; Tanaka, T.; Yoshizawa, S. Comparative studies of earthquake motion on the ground and underground (multiple reflection problems). Bull. Earthq. Res. Inst. 1959, 37, 53. [Google Scholar]
- Borcherdt, R.D. Effects of local geology on ground motion near San Francisco Bay. Bull. Seismol. Soc. Am. 1970, 60, 29–61. [Google Scholar]
- Nakamura, Y. A method for dynamic characteristics estimation of subsurface using microtremor on the ground surface. Q. Rep. Railw. Tech. Res. Inst. 1989, 30, 25–33. [Google Scholar]
- Nakamura, Y. Clear identification of fundamental idea of Nakamura’s technique and its application. In Proceedings of the 12th World Conference on Earthquake Engineering, Auckland, New Zeland, 30 January–4 February 2000. [Google Scholar]
- Nakamura, Y.; Abeki, N.; Watanabe, D. Study on the stability of H/V spectral ratio of microtremor in shot period range for the estimation of dynamic characteristics of surface geology. In Proceedings of the 12th World Conference on Earthquake Engineering, Auckland, New Zeland, 30 January–4 February 2000. [Google Scholar]
- Konno, K.; Ohmachi, T. Ground-motion characteristics estimated from spectral ratio between horizontal and vertical components of microtremor. Bull. Seismol. Soc. Am. 1998, 88, 228–241. [Google Scholar] [CrossRef]
- Chen, Q.; Liu, L.; Wang, W.; Rohrbach, E. Site effects on earthquake ground motion based on microtremor measurements for metropolitan Beijing. Chin. Sci. Bull. 2009, 54, 280–287. [Google Scholar] [CrossRef]
- Yamazaki, F.; Ansary, M.A. Horizontal-to-vertical spectrum ratio of earthquake ground motion for site characterization. Earthq. Eng. Struct. Dyn. 1997, 26, 671–689. [Google Scholar] [CrossRef]
- Dimitriu, P.P.; Papaioannou, C.A.; Theodulidis, N.P. EURO-SEISTEST strong-motion array near Thessaloniki, Northern Greece: A study of site effects. Bull. Seismol. Soc. Am. 1998, 88, 862–873. [Google Scholar] [CrossRef]
- Zare, M.; Bard, P.Y.; Ghafory-Ashtiany, M. Site characterizations for the Iranian strong motion network. Soil Dyn. Earthq. Eng. 1999, 18, 101–123. [Google Scholar] [CrossRef]
- Lee, C.T.; Cheng, C.T.; Liao, C.W.; Tsai, Y.B. Site classification of Taiwan free-field strong-motion stations. Bull. Seismol. Soc. Am. 2001, 91, 1283–1297. [Google Scholar] [CrossRef]
- Bonilla, L.F.; Steidl, J.H.; Gariel, J.C.; Archuleta, R.J. Borehole response studies at the Garner Valley Downhole Array, Southern California. Bull. Seismol. Soc. Am. 2002, 92, 3165–3179. [Google Scholar] [CrossRef]
- Wen, R.; Ren, Y.; Zhou, Z.; Shi, D. Preliminary site classification of free-field strong motion stations based on Wenchuan earthquake records. Earthq. Sci. 2010, 23, 101–110. (In Chinese) [Google Scholar] [CrossRef]
- Wen, R.; Ren, Y.; Shi, D. Improved HVSR site classification method for free-field strong motion stations validated with Wenchuan aftershock recordings. Earthq. Eng. Eng. Vib. 2011, 10, 325–337. [Google Scholar] [CrossRef]
- Zhao, J.X.; Irikura, K.; Zhang, J. An empirical site-classification method for strong-motion stations in Japan using H/V response spectral ratio. Bull. Seismol. Soc. Am. 2006, 96, 914–925. [Google Scholar] [CrossRef]
- Pinzón, L.A.; Pujades, L.G.; Macau, A. Seismic site classification from the horizontal-to-vertical response spectral ratios: Use of the Spanish strong-motion database. Geosciences 2019, 9, 294. [Google Scholar] [CrossRef]
- Wang, L.; Wu, Z.; Xia, K.; Liu, K.; Wang, P.; Pu, X.; Li, L. Amplification of thickness and topography of loess deposit on seismic ground motion and its seismic design methods. Soil Dyn. Earthq. Eng. 2019, 126, 105090. [Google Scholar] [CrossRef]
- Pu, X.; Wang, L.; Wang, P.; Tian, X.; Xu, S.; Chai, S.; Guo, H. The response law of far-field seismic ground motion of the Wenchuan earthquake and its damaging mechanism in the Loess Plateau. Earthq. Res. Adv. 2022, 2, 100114. [Google Scholar] [CrossRef]
- Wang, L.M.; Wu, Z.J.; Xia, K. Study on the effect of loess sites on seismic ground motion and its application in seismic design. In Proceedings of the 6th International Conference on Earthquake Geotechnical Engineering, Christchurch, New Zealand, 1–4 November 2015. [Google Scholar]
- Wu, Z.; Sun, J.; Chen, Y.; Wang, Q.; Zhao, W. Analysis of disaster-causing mechanism of loess landslides induced by the Minxian-Zhangxian MS6. 6 earthquake, China. Jpn. Geotech. Soc. Spec. Publ. 2015, 1, 40–45. [Google Scholar]
- Wang, Q.; Li, S.; Li, X.; Wu, Y.; Zhao, P.; Gao, Y. Deep tectonics and seismogenic mechanisms of the seismic source zone of the Jishishan MS6.2 earthquake on December 18, 2023, at the northeast margin of the Tibetan Plateau. Earth Planet. Phys. 2024, 8, 514–521. [Google Scholar]
- Duan, X.; Liu, Y.; Zhou, Z.; Bian, Z.; Han, Y.; He, J.; Peng, C.; Zhang, L. Analysis of Strong Ground Motion Characteristics for the Jishishan MS6.2 Earthquake December 18, 2023. Shock Vib. 2024, 2024, 2225620. [Google Scholar]
- Das, R.; Sharma, M.L.; Wason, H.R.; Choudhury, D.; Gonzalez, G. A seismic moment magnitude scale. Bull. Seismol. Soc. Am. 2019, 109, 1542–1555. [Google Scholar] [CrossRef]
- Das, R.; Menesis, C.; Urrutia, D. Regression relationships for conversion of body wave and surface wave magnitudes toward Das magnitude scale, M wg. Nat. Hazards 2023, 117, 365–380. [Google Scholar] [CrossRef]
- Boore, D.M. Effect of baseline corrections on displacements and response spectra for several recordings of the 1999 Chi-Chi, Taiwan, earthquake. Bull. Seismol. Soc. Am. 2001, 91, 1199–1211. [Google Scholar] [CrossRef]
- Satoh, T.; Kawase, H.; Matsushima, S.I. Differences between site characteristics obtained from microtremors, S-waves, P-waves, and codas. Bull. Seismol. Soc. Am. 2001, 91, 313–334. [Google Scholar] [CrossRef]
- Husid, R. Gravity Effects on the Earthquake Response of Yielding Structures; California Institute of Technology: Pasadena, CA, USA, 1967. [Google Scholar]
- McCann, M.W.; Shah, H.C. Determining strong-motion duration of earthquakes. Bull. Seismol. Soc. Am. 1979, 69, 1253–1265. [Google Scholar]
- Pacor, F.; Paolucci, R.; Ameri, G.; Massa, M.; Puglia, R. Italian strong motion records in ITACA: Overview and record processing. Bull. Earthq. Eng. 2011, 9, 1741–1759. [Google Scholar] [CrossRef]
- Boore, D.M.; Azari Sisi, A.; Akkar, S. Using pad-stripped acausally filtered strong-motion data. Bull. Seismol. Soc. Am. 2012, 102, 751–760. [Google Scholar] [CrossRef]
- Ohsaki, Y. Shin Jishindo No Spectre Kaiseki Nyumon; Kajima-Institute: Tokyo, Japan, 1994. (In Japanese) [Google Scholar]















| Mwg | EW | NS | UD | |||
|---|---|---|---|---|---|---|
| Fmax (gal) | Tf (s) | Fmax (gal) | Tf (s) | Fmax (gal) | Tf (s) | |
| 3.1–4 | 2.02 | 0.10 | 2.21 | 0.10 | 1.22 | 0.10 |
| 4.1–5 | 4.55 | 0.18 | 4.81 | 0.15 | 2.27 | 0.12 |
| 5.1–6 | 6.07 | 0.18 | 4.54 | 0.17 | 2.45 | 0.12 |
| 6.1–7 | 7.78 | 0.77 | 6.99 | 0.66 | 3.89 | 0.88 |
| 7.1–8 | 32.35 | 3.00 | 32.44 | 3.00 | 16.06 | 2.78 |
| R (km) | EW | NS | UD | |||
|---|---|---|---|---|---|---|
| Fmax (gal) | Tf (s) | Fmax (gal) | Fmax (gal) | Tf (s) | Fmax (gal) | |
| 0–20 | 8.22 | 0.17 | 9.44 | 0.15 | 3.81 | 0.16 |
| 20–50 | 4.10 | 0.18 | 3.69 | 0.20 | 2.21 | 0.12 |
| 50–200 | 3.86 | 0.14 | 3.99 | 0.12 | 1.77 | 0.10 |
| ≥200 | 32.10 | 3.00 | 32.18 | 3.00 | 15.92 | 2.78 |
| Mwg | EW | NS | UD | |||
|---|---|---|---|---|---|---|
| Pmax (gal2/s) | Tp (s) | Pmax (gal2/s) | Tp (s) | Pmax (gal2/s) | Tp (s) | |
| 3.1–4 | 0.03 | 0.11 | 0.02 | 0.11 | 0.02 | 0.10 |
| 4.1–5 | 0.02 | 0.18 | 0.02 | 0.16 | 0.02 | 0.12 |
| 5.1–6 | 0.03 | 0.18 | 0.02 | 0.13 | 0.01 | 0.12 |
| 6.1–7 | 0.04 | 1.58 | 0.03 | 1.62 | 0.03 | 1.61 |
| 7.1–8 | 0.17 | 3.00 | 0.17 | 3.00 | 0.19 | 3.00 |
| R (km) | EW | NS | UD | |||
|---|---|---|---|---|---|---|
| Pmax (gal2/s) | Tp (s) | Pmax (gal2/s) | Tp (s) | Pmax (gal2/s) | Tp (s) | |
| 0–20 | 0.03 | 0.27 | 0.02 | 0.18 | 0.02 | 0.10 |
| 20–50 | 0.02 | 0.18 | 0.02 | 0.17 | 0.02 | 0.12 |
| 50–200 | 0.02 | 0.14 | 0.02 | 0.12 | 0.01 | 0.11 |
| ≥200 | 0.17 | 3.00 | 0.17 | 3.00 | 0.19 | 3.00 |
| Mwg | HVSR | VRSR | Number | ||
|---|---|---|---|---|---|
| A0 | T0 (s) | A0 | T0 (s) | ||
| 3.1–4 | 7.49 | 0.44 | 3.43 | 0.34 | 8 |
| 4.1–5 | 3.94 | 0.22 | 3.47 | 0.22 | 47 |
| 5.1–6 | 3.36 | 0.21 | 2.76 | 0.14 | 21 |
| 6.1–7 | 3.21 | 0.31 | 2.97 | 0.47 | 11 |
| 7.1–8 | 3.08 | 0.36 | 3.19 | 0.37 | 72 |
| R (km) | HVSR | VRSR | Number | ||
|---|---|---|---|---|---|
| A0 | T0 (s) | A0 | T0 (s) | ||
| 0–20 | 4.56 | 0.66 | 3.10 | 0.41s | 13 |
| 20–50 | 3.07 | 0.36 | 3.18 | 0.37s | 43 |
| 50–200 | 3.87 | 0.22 | 3.36 | 0.31 | 30 |
| ≥200 | 3.12 | 0.21 | 3.06 | 0.18 | 73 |
| D (km) | HVSR | VRSR | Number | ||
|---|---|---|---|---|---|
| A0 | T0 (s) | A0 | T0 (s) | ||
| 4–8 | 4.10 | 0.22 | 3.75 | 0.34 | 24 |
| 9–13 | 3.18 | 0.45 | 2.92 | 0.30 | 40 |
| 14–15 | 3.05 | 0.36 | 3.17 | 0.37 | 74 |
| 16–21 | 3.60 | 0.17 | 3.29 | 0.42 | 21 |
| H (m) | HVSR | VRSR | Number | ||
|---|---|---|---|---|---|
| A0 | T0 (s) | A0 | T0 (s) | ||
| 0–5 | 3.68 | 0.60 | 2.72 | 0.47 | 11 |
| 5–10 | 3.59 | 0.37 | 2.95 | 0.38 | 21 |
| 10–20 | 4.84 | 0.21 | 3.69 | 0.28 | 13 |
| ≥20 | 2.58 | 0.45 | 2.93 | 0.43 | 8 |
Disclaimer/Publisher’s Note: The statements, opinions and data contained in all publications are solely those of the individual author(s) and contributor(s) and not of MDPI and/or the editor(s). MDPI and/or the editor(s) disclaim responsibility for any injury to people or property resulting from any ideas, methods, instructions or products referred to in the content. |
© 2024 by the authors. Licensee MDPI, Basel, Switzerland. This article is an open access article distributed under the terms and conditions of the Creative Commons Attribution (CC BY) license (https://creativecommons.org/licenses/by/4.0/).
Share and Cite
Li, Q.; Bo, J.; Peng, D. Characterization of HVSR and VRSR in the Loess Plateau of China Based on Strong-Motion Data. Appl. Sci. 2025, 15, 67. https://doi.org/10.3390/app15010067
Li Q, Bo J, Peng D. Characterization of HVSR and VRSR in the Loess Plateau of China Based on Strong-Motion Data. Applied Sciences. 2025; 15(1):67. https://doi.org/10.3390/app15010067
Chicago/Turabian StyleLi, Qi, Jingshan Bo, and Da Peng. 2025. "Characterization of HVSR and VRSR in the Loess Plateau of China Based on Strong-Motion Data" Applied Sciences 15, no. 1: 67. https://doi.org/10.3390/app15010067
APA StyleLi, Q., Bo, J., & Peng, D. (2025). Characterization of HVSR and VRSR in the Loess Plateau of China Based on Strong-Motion Data. Applied Sciences, 15(1), 67. https://doi.org/10.3390/app15010067
