Correlation between Spring Wheat Physiological Indicators and UAV Digital Image Index in Hetao Irrigation Area
Abstract
1. Introduction
2. Materials and Methods
3. Results
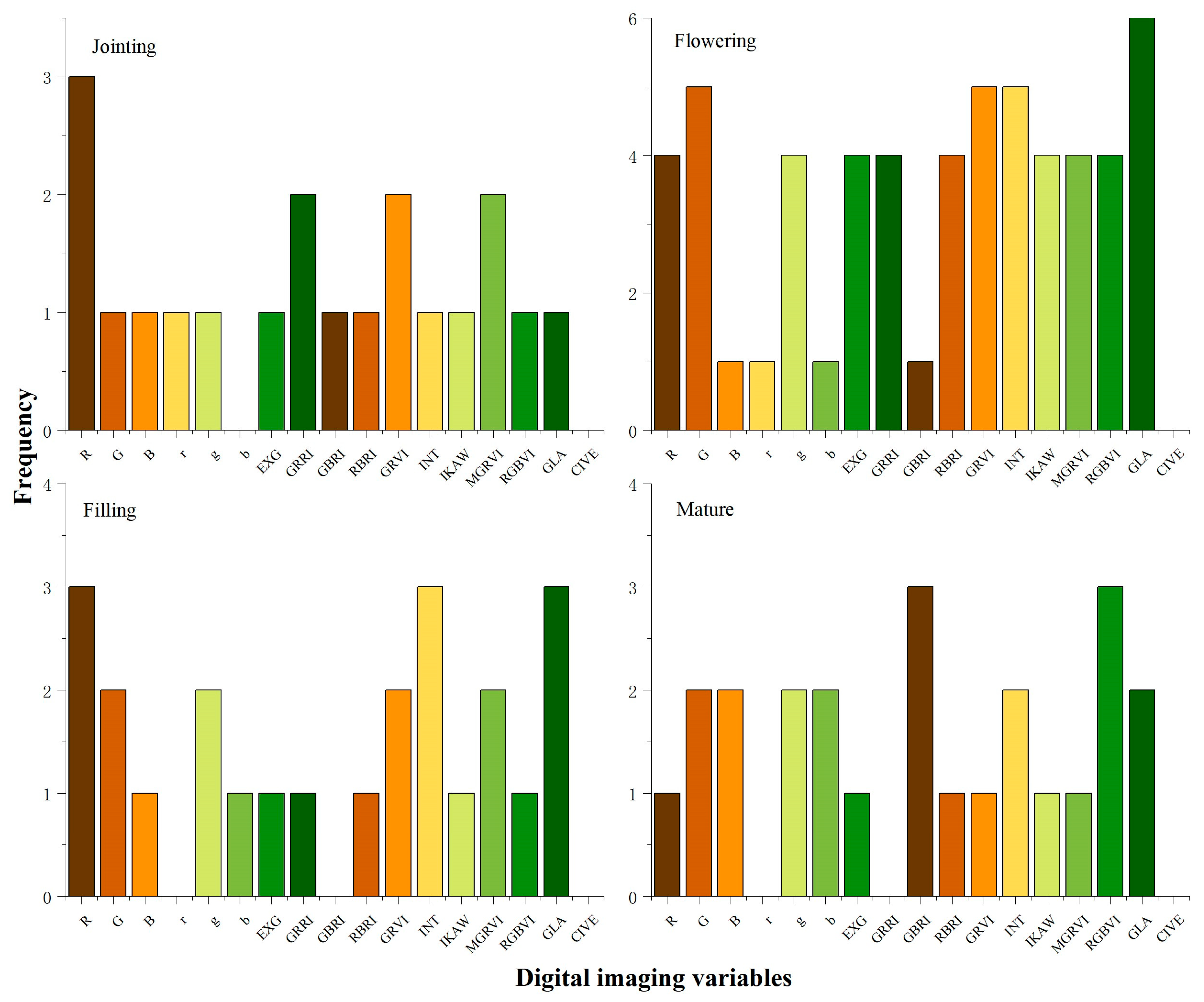
3.1. Relationships between Digital Image Indices and Wheat Physiological Indicators at the Time of Jointing and Flowering
3.2. Relationships between Digital Image Indices and Wheat Physiological Indicators at the Time of Filling and Maturing
3.3. Changes in Digital Image Indices during Various Fertile Stages of Wheat under Fertilizer Treatments
4. Discussion
5. Conclusions
Author Contributions
Funding
Institutional Review Board Statement
Informed Consent Statement
Data Availability Statement
Acknowledgments
Conflicts of Interest
References
- Omia, E.; Bae, H.; Park, E.; Kim, M.S.; Baek, I.; Kabenge, I.; Cho, B.-K. Remote Sensing in Field Crop Monitoring: A Comprehensive Review of Sensor Systems, Data Analyses and Recent Advances. Remote Sens. 2023, 15, 354. [Google Scholar] [CrossRef]
- Li, W.; Wang, K.; Han, G.; Wang, H.; Tan, N.; Yan, Z. Integrated diagnosis and time-series sensitivity evaluation of nutrient deficiencies in medicinal plant (Ligusticum chuanxiong Hort.) based on UAV multispectral sensors. Front. Plant Sci. 2023, 13, 1092610. [Google Scholar] [CrossRef] [PubMed]
- Benincasa, P.; Antognelli, S.; Brunetti, L.; Fabbri, C.A.; Natale, A.; Sartoretti, V.; Modeo, G.; Guiducci, M.; Tei, F.; Vizzari, M. Reliability of NDVI derived by high resolution satellite and UAV compared to in-field methods for the evaluation of early crop N status and grain yield in wheat. Exp. Agric. 2018, 54, 604–622. [Google Scholar] [CrossRef]
- Corti, M.; Cavalli, D.; Cabassi, G.; Vigoni, A.; Degano, L.; Gallina, P. Application of a low-cost camera on a UAV to estimate maize nitrogen-related variables. Precis. Agric. 2019, 20, 675–696. [Google Scholar] [CrossRef]
- Mullan, D.J.; Reynolds, M. Quantifying genetic effects of ground cover on soil water evaporation using digital imaging. Funct. Plant Biol. 2010, 37, 703–712. [Google Scholar] [CrossRef]
- Sharma, R.; Kumar, M.; Alam, M.S. Image processing techniques to estimate weight and morphological parameters for selected wheat refractions. Sci. Rep. 2021, 11, 20953. [Google Scholar] [CrossRef] [PubMed]
- Yang, J.; Ding, F.; Chen, C.; Liu, T.; Sun, C.; Ding, D.; Huo, Z. Correlation of wheat biomass and yield with UAV image characteristic parameters. Trans. Chin. Soc. Agric. Eng. 2019, 35, 104–110. [Google Scholar]
- Poley, L.G.; Mcdermid, G.J. A Systematic Review of the Factors Influencing the Estimation of Vegetation Aboveground Biomass Using Unmanned Aerial Systems. Remote Sens. 2020, 12, 1052. [Google Scholar] [CrossRef]
- Wang, X.; Wang, M.; Wang, S.; Wu, Y. Extraction of vegetation information from visible unmanned aerial vehicle images. Trans. Chin. Soc. Agric. Eng. 2015, 31, 152–159. [Google Scholar]
- Costa, L.; Kunwar, S.; Ampatzidis, Y.; Albrecht, U. Determining leaf nutrient concentrations in citrus trees using UAV imagery and machine learning. Precis. Agric. 2022, 23, 854–875. [Google Scholar] [CrossRef]
- Milas, A.S.; Romanko, M.; Reil, P.; Abeysinghe, T.; Marambe, A. The importance of leaf area index in mapping chlorophyll content of corn under different agricultural treatments using UAV images. Int. J. Remote Sens. 2018, 39, 5415–5431. [Google Scholar] [CrossRef]
- Feng, D.; Xu, W.; He, Z.; Zhao, W.; Yang, M. Advances in plant nutrition diagnosis based on remote sensing and computer application. Neural Comput. Appl. 2020, 32, 16833–16842. [Google Scholar] [CrossRef]
- Xia, S.S.; Zhang, C.; Li, J.Z.; Li, H.J.; Zhang, Y.M.; Hu, C.S. Diagnosis of nitrogen nutrient and recommended fertilization in summer corn using leaf digital images of cellphone camera. Chin. J. Eco-Agric. 2018, 26, 703–709. [Google Scholar]
- Wang, Y.; Wang, D.J.; Zhang, G.; Wang, C. Digital camera based image segmentation of rice canopy and diagnosis of nitrogen nutrition. Trans. Chin. Soc. Agric. Eng. 2012, 28, 131–136. [Google Scholar]
- Mao, W.; Wang, Y.; Wang, Y.R. Real-Time Detection of Between-Row Weeds Using Machine Vision; ASABE: St. Joseph, MI, USA, 2003. [Google Scholar]
- Niu, Y.; Zhang, L.; Zhang, H.; Han, W.; Peng, X. Estimating Above-Ground Biomass of Maize Using Features Derived from UAV-Based RGB Imagery. Remote Sens. 2019, 11, 1261. [Google Scholar] [CrossRef]
- Guo, T.; Yan, A.; Geng, H. Prediction of Wheat Plant Height and Leaf Area Index Based on UAV Image. J. Triticeae Crops 2020, 40, 1129–1140. [Google Scholar]
- Xiao, Y.B.; Jia, L.L.; Chen, X.P.; Zhang, F. N status diagnosis of winter wheat by using digital image analysis technology. Chin. Agric. Sci. Bull. 2008, 24, 448–453. [Google Scholar]
- Zhou, H.-J.; Liu, Y.-D.; Fu, J.; Sui, F.-G.; Cui, R. Analysis of Maize Growth and Nitrogen Nutrition Status Based on Digital Camera Image. J. Qingdao Agric. Univ. (Nat. Sci.) 2015, 32, 1–7. [Google Scholar]
- Jia, L.-L.; Fan, M.-S.; Zhang, F.-S.; Chen, X.-P.; Lü, S.-H.; Sun, Y. Nitrogen Status Diagnosis of Rice by Using a Digital Camera. Spectrosc. Spectr. Anal. 2009, 29, 2176–2179. [Google Scholar]
- Umut, H. Wheat Leaf Area Index (LAI) Inversion by Using “Satellite-UAV-Ground” Multi-Source Remote Sensing Data. Ph.D. Thesis, Xinjiang University, Urumqi, China, 2019. [Google Scholar]
- Li, W.; Jiang, J.; Weiss, M.; Madec, S.; Tison, F.; Philippe, B.; Comar, A.; Baret, F. Impact of the reproductive organs on crop BRDF as observed from a UAV. Remote Sens. Environ. 2021, 259, 112433. [Google Scholar] [CrossRef]
- Xu, L.; Zhou, L.; Meng, R.; Zhao, F.; Lv, Z.; Xu, B.; Zeng, L.; Yu, X.; Peng, S. An improved approach to estimate ratoon rice aboveground biomass by integrating UAV-based spectral, textural and structural features. Precis. Agric. 2022, 23, 1276–1301. [Google Scholar] [CrossRef]
- Zhang, Z.; Flores, P.; Igathinathane, C.; Igathinathane, C.; Naik, D.; Kiran, R.; Ransom, J.K. Wheat lodging detection from UAS imagery using machine learning algorithms. Remote Sens. 2020, 12, 1838. [Google Scholar] [CrossRef]
- Shi, X.-Y. Evaluation of Some Physiological Parameters of Winter Wheat Leaves Using Digital Image Processing. Ph.D. Thesis, Heibei Agriculture University, Baoding, China, 2005. [Google Scholar]
- Wang, Y.; Wang, D.; Shi, P.; Omasa, K. Estimating rice chlorophyll content and leaf nitrogen concentration with a digital still color camera under natural light. Plant Methods 2014, 10, 36. [Google Scholar] [CrossRef]







| Treatments | Fertilizer Rate (kg/hm2) | |||
|---|---|---|---|---|
| Nitrogen | Phosphate Fertilizer (P2O5) | Potash Fertilizer (K2O) | ||
| Sowing N | Top-Dressing N | |||
| CK | 0 | 0 | 0 | 0 |
| FM | 94.5 | 207 | 241.5 | 0 |
| CF | 52.5 | 124.5 | 61.5 | 60 |
| CF-N0 | 0.0 | 0.0 | 61.5 | 60 |
| CF-P0 | 52.5 | 124.5 | 0.0 | 60 |
| CF-K0 | 52.5 | 124.5 | 61.5 | 0.0 |
| Digital Image Index | Description | Calculating Formula | Source Literature Reference |
|---|---|---|---|
| R | Red | R | - |
| G | Green | G | - |
| B | Blue | B | - |
| r | Normalized Red Index | R/(R + G + B) | [15] |
| g | Normalized Green Index | G/(R + G + B) | [15] |
| b | Normalized Blue Index | B/(R + G + B) | [15] |
| ExG | Excess Green | 2 × G − R − B | [8] |
| GRRI | Green–Red Ratio Index | G/R | [8] |
| GBRI | Green–Blue Ratio Index | G/B | [8] |
| RBRI | Red–Blue Ratio Index | R/B | [8] |
| GRVI | Green–Red Vegetation Index | (G − R)/(G + R) | [8] |
| INT | Intensity | (R + G + B)/3 | [15] |
| IKAW | Normalized Red–Blue Index | (R − B)/(R + B) | [8] |
| MGRVI | Modified Green–Red Vegetation Index | (G2 − R2)/(G2 + R2) | [8] |
| RGBVI | Red–Green–Blue Vegetation Index | (G2 − B × R)/(G2 + B × R) | [8] |
| GLA | Green Leaf Area | (2 × G − R − B)/(2 × G + R + B) | [8] |
| CIVE | Color Index of Vegetation Extraction | 0.441R − 0.881G + 0.385B + 18.7875 | [8] |
| Digital Image Indices | p-Value | CK | FM | CF | CF-N0 | CF-P0 | CF-K0 |
|---|---|---|---|---|---|---|---|
| R | 0.058 | 172.68 | 136.87 | 135.57 | 158.85 | 117.82 | 113.33 |
| G | 0.007 | 171.64 a | 153.92 abc | 149.85 bc | 156.93 ab | 136.97 c | 136.00 c |
| B | 0.011 | 109.60 a | 97.31 ab | 92.59 abc | 93.67 abc | 76.49 bc | 73.69 c |
| EXG | 0.580 | 64.11 | 22.52 | 28.71 | 67.09 | 22.18 | 16.96 |
| INT | 0.005 | 151.30 a | 129.37 abc | 126.00 bc | 136.48 ab | 110.42 c | 107.67 c |
| CIVE | 0.906 | −14.08 | −18.99 | −17.80 | −13.36 | −20.49 | −22.68 |
| r | 0.791 | 0.38 | 0.35 | 0.36 | 0.39 | 0.35 | 0.35 |
| g | 0.414 | 0.38 | 0.40 | 0.40 | 0.39 | 0.41 | 0.42 |
| b | 0.674 | 0.24 | 0.25 | 0.25 | 0.23 | 0.23 | 0.23 |
| GRRI | 0.634 | 1.01 | 1.17 | 1.15 | 1.00 | 1.20 | 1.24 |
| GBRI | 0.181 | 1.59 | 1.59 | 1.63 | 1.70 | 1.80 | 1.86 |
| RBRI | 0.859 | 1.58 | 1.41 | 1.47 | 1.71 | 1.56 | 1.58 |
| GRVI | 0.656 | 0.00 | 0.07 | 0.06 | 0.00 | 0.08 | 0.10 |
| IKAW | 0.844 | 0.22 | 0.16 | 0.18 | 0.26 | 0.21 | 0.21 |
| MGRVI | 0.666 | 0.00 | 0.13 | 0.11 | −0.00 | 0.16 | 0.18 |
| RGBVI | 0.318 | 0.22 | 0.29 | 0.29 | 0.25 | 0.36 | 0.38 |
| GLA | 0.419 | 0.10 | 0.14 | 0.14 | 0.11 | 0.17 | 0.18 |
Disclaimer/Publisher’s Note: The statements, opinions and data contained in all publications are solely those of the individual author(s) and contributor(s) and not of MDPI and/or the editor(s). MDPI and/or the editor(s) disclaim responsibility for any injury to people or property resulting from any ideas, methods, instructions or products referred to in the content. |
© 2024 by the authors. Licensee MDPI, Basel, Switzerland. This article is an open access article distributed under the terms and conditions of the Creative Commons Attribution (CC BY) license (https://creativecommons.org/licenses/by/4.0/).
Share and Cite
Xie, M.; Luo, J.; Li, L.; Zhang, P.; Wu, Q.; Li, M.; Wang, H.; Zhang, Y. Correlation between Spring Wheat Physiological Indicators and UAV Digital Image Index in Hetao Irrigation Area. Appl. Sci. 2024, 14, 2294. https://doi.org/10.3390/app14062294
Xie M, Luo J, Li L, Zhang P, Wu Q, Li M, Wang H, Zhang Y. Correlation between Spring Wheat Physiological Indicators and UAV Digital Image Index in Hetao Irrigation Area. Applied Sciences. 2024; 14(6):2294. https://doi.org/10.3390/app14062294
Chicago/Turabian StyleXie, Min, Jun Luo, Lijun Li, Peng Zhang, Qiang Wu, Mengyuan Li, Haixia Wang, and Yongping Zhang. 2024. "Correlation between Spring Wheat Physiological Indicators and UAV Digital Image Index in Hetao Irrigation Area" Applied Sciences 14, no. 6: 2294. https://doi.org/10.3390/app14062294
APA StyleXie, M., Luo, J., Li, L., Zhang, P., Wu, Q., Li, M., Wang, H., & Zhang, Y. (2024). Correlation between Spring Wheat Physiological Indicators and UAV Digital Image Index in Hetao Irrigation Area. Applied Sciences, 14(6), 2294. https://doi.org/10.3390/app14062294

