Review of Manufacturing Processes and Vibro-Acoustic Assessments of Composite and Alternative Materials for Musical Instruments
Abstract
1. Introduction
2. Manufacturing Processes of Musical Instruments Made of Composites and Alternative Materials
2.1. Composites in Musical Instrument Manufacturing
2.2. Three-Dimensional Printing in Musical Instrument Manufacturing
2.3. Metamaterials in Musical Instrument Manufacturing
3. Vibro-Acoustic Analysis and Assessment of Musical Instruments Made of Composites and Alternative Materials
3.1. Experimental and Numerical Methods for Musical Instrument Vibroacoustic Studies
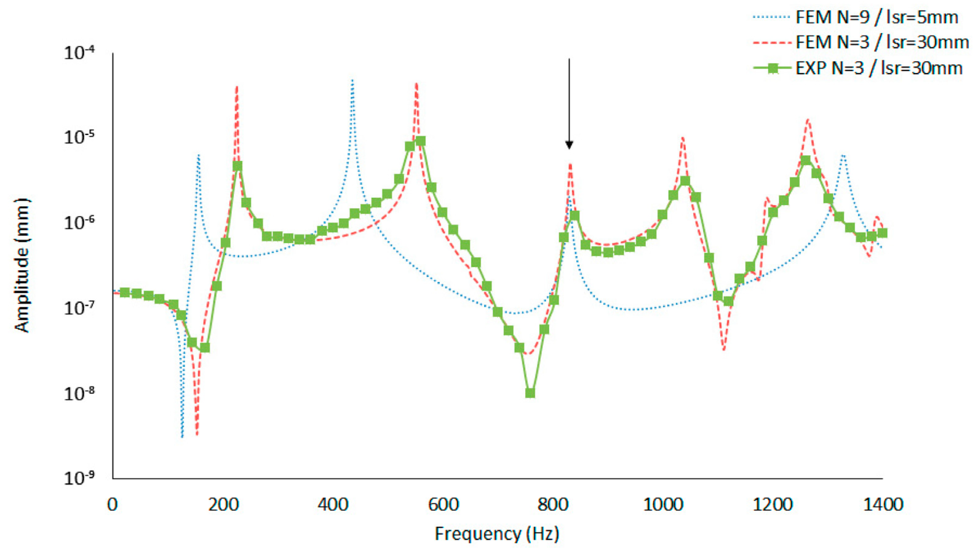
3.1.1. Vibro-Acoustic Assessments of Musical Instruments with Composites
3.1.2. Vibro-Acoustic Assessments of 3D-printed Musical Instruments
3.1.3. Vibro-Acoustic Assessments of Musical Instruments with Metamaterials
4. Concluding Remarks
Author Contributions
Funding
Institutional Review Board Statement
Informed Consent Statement
Data Availability Statement
Acknowledgments
Conflicts of Interest
References
- Bucur, V. A Review on Acoustics of Wood as a Tool for Quality Assessment. Forests 2023, 14, 1545. [Google Scholar] [CrossRef]
- Bremaud, I. What do we know on “resonance wood” properties? Selective review and ongoing research. In Proceedings of the Meetings on Acoustics 2012, Nantes, France, 23–27 April 2012. [Google Scholar]
- Damodaran, A.; Lessard, L.; Babu, A.S. An Overview of Fibre-Reinforced Composites for Musical Instrument Soundboards. Acoust. Aust. 2015, 43, 117–122. [Google Scholar] [CrossRef]
- Bucur, V. Composite Materials for Musical Instruments. In Handbook of Materials for String Musical Instruments; Springer: Cham, Switzerland, 2016; Chapter 18. [Google Scholar]
- Kantaros, A.; Diegel, O. 3D printing technology in musical instrument research: Reviewing the potential. Rapid Prototyp. J. 2018, 24, 1511–1523. [Google Scholar] [CrossRef]
- Krushynska, A.O.; Torrent, D.; Aragón, A.M.; Ardito, R.; Bilal, O.R.; Bonello, B.; Bosia, F.; Chen, Y.; Christensen, J.; Colombi, A.; et al. Emerging topics in nanophononics and elastic, acoustic, and mechanical metamaterials: An overview. Nanophotonics 2023, 12, 659–686. [Google Scholar] [CrossRef]
- Hout, S.A. Advanced Manufacturing Operations Technologies: Principles, Applications, and Design Correlations in Chemical Engineering Fields of Practice; CRC Press: Boca Raton, FL, USA, 2023. [Google Scholar]
- Krimpenis, A.A.; Chrysikos, M. 3D parametric design and CNC manufacturing of custom solid wood electric guitars using CAD/CAM technology. Wood Mater. Sci. Eng. 2019, 14, 66–80. [Google Scholar] [CrossRef]
- Lee, K. Principles of CAD/CAM/CAE Systems, 1st ed.; Pearson: London, UK, 1999. [Google Scholar]
- Ashby, M.F. Materials Selection in Mechanical Design; Butterworth-Heinemann: Oxford, UK, 2011. [Google Scholar]
- Vijay, N.; Rajkumara, V.; Bhattacharjee, P. Assessment of Composite Waste Disposal in Aerospace Industries. Procedia Environ. Sci. 2016, 35, 563–570. [Google Scholar] [CrossRef]
- Duerinck, T.; Verberkmoes, G.; Fritz, C.; Leman, M.; Nijs, L.; Kersemans, M.; Van Paepegem, W. Listener evaluations of violins made from composites. J. Acoust. Soc. Am. 2020, 147, 2647–2655. [Google Scholar] [CrossRef] [PubMed]
- Zambrano, M.; Vergara, M.; Burgos, J.L.; Trejo, J. Comparison of the acoustic performance of wooden violins and carbon fiber reinforced polymer violins through a modal study by finite elements method and effective masses. Open J. Eng. 2022, 1, 011036. [Google Scholar] [CrossRef]
- Ono, T.; Miyakoshi, S.; Watanabe, U. Acoustic characteristics of unidirectionally fiber-reinforced polyurethane foam composites for musical instrument soundboards. Acoust. Sci. Technol. 2002, 23, 135–142. [Google Scholar] [CrossRef]
- Ono, T.; Isomura, D. Acoustic characteristics of carbon fiber-reinforced synthetic wood for musical instrument soundboards. Acoust. Sci. Technol. 2004, 25, 475–477. [Google Scholar] [CrossRef][Green Version]
- Ibáñez-Arnal, M.; Doménech-Ballester, L.; Sánchez-López, F. Manufacturing and structural features with respect to the modal behavior of a carbon fiber-reinforced epoxy drum shell. Materials 2019, 12, 4069. [Google Scholar] [CrossRef] [PubMed]
- Wu, Z.H.; Li, J.H. Carbon fiber material in musical instrument making. Mater. Des. 2016, 80, 60–64. [Google Scholar] [CrossRef]
- Webb, S. Carbon-Fiber Cellos No Longer Playing Second-Fiddle to Wooden Instruments. 2009. Available online: http://www.scientificamerican.com/article/carbon-fiber-cellos (accessed on 5 February 2024).
- Luis and Clark Carbon Fiber Instruments. Available online: https://luisandclark.com (accessed on 5 February 2024).
- Klos Carbon Fiber Guitars. Available online: https://klosguitars.com (accessed on 5 February 2024).
- Rasch Drums. Available online: www.raschdrums.com (accessed on 5 February 2024).
- Boganyi Piano. Available online: http://www.boganyi-piano.com (accessed on 5 February 2024).
- Brezas, S.; Katsipis, M.; Orphanos, Y.; Kaselouris, E.; Kechrakos, K.; Kefaloyannis, N.; Papadaki, H.; Sarantis-Karamesinis, A.; Petrakis, S.; Theodorakis, I.; et al. An integrated method for the vibroacoustic evaluation of a carbon fiber bouzouki. Appl. Sci. 2023, 13, 4585. [Google Scholar] [CrossRef]
- Albrecht, W.; Fuchs, H.; Kittelmann, W. (Eds.) Introduction to Nonwovens. In Nonwoven Fabrics: Raw Materials, Manufacture, Applications, Characteristics, Testing Processes; John Wiley & Sons: Hoboken, NJ, USA, 2002; pp. 1–12. [Google Scholar]
- Majumdar, A. Principles of Woven Fabric Manufacturing; Taylor & Francis INC International Concepts: Milton Park, UK, 2016. [Google Scholar]
- Pedgley, O.; Norman, E.; Armstrong, R. Materials-inspired innovation for acoustic guitar. METU J. Fac. Archit. 2009, 26, 157–175. [Google Scholar]
- Mennig, G.; Stoeckhert, K. Mold-Making Handbook; Hanser Publications: Munich, Germany, 2013. [Google Scholar]
- Phillips, S.; Lessard, L. Application of natural fiber composites to musical instrument top plates. J. Compos. Mater. 2011, 46, 145–154. [Google Scholar] [CrossRef]
- Damodaran, A.; Mansour, H.; Lessard, L.; Scavone, G.; Babu, A.S. Application of composite materials to the chenda, an Indian percussion instrument. Appl. Acoust. 2015, 88, 1–5. [Google Scholar] [CrossRef]
- Mold Construction Guide. Available online: https://www.fibreglast.com/product/mold-construction (accessed on 5 February 2024).
- Callister, W.D., Jr.; Retwisch, D.G. Composite materials. In Materials Science and Engineering: An Introduction, 10th ed.; Wiley: Hoboken, NJ, USA, 2018; pp. 564–606. [Google Scholar]
- Ibáñez-Arnal, M.; Doménech-Ballester, L.; Sánchez-López, F. A study of the dynamic response of carbon fiber reinforced epoxy (CFRE) prepregs for musical instrument manufacturing. Appl. Sci. 2019, 9, 4615. [Google Scholar] [CrossRef]
- Acet, R.C.; Khosroshahi, F.S. Sound performance investigation of composite materials for the soundbox of a membrane musical instrument. In Proceedings of the ICSV 22, Florence, Italy, 12–16 July 2015. [Google Scholar]
- Berman, B. 3-D printing: The new industrial revolution. Bus. Horiz. 2012, 55, 155–162. [Google Scholar] [CrossRef]
- Depoorter, B.; Raus, B. Who’s afraid of 3D printing? B.U. J. Sci. Technol. Law 2019, 25, 60–99. [Google Scholar]
- Michon, R.; Chafey, C.; Granzow, J. 3D Printing and Physical Modeling of Musical Instruments: Casting the Net. In Proceedings of the Sound and Music Computing Conference 2018, Limassol, Cyprus, 4–7 July 2018. [Google Scholar]
- Savan, J.; Simian, R. CAD modelling and 3D printing for musical instrument research: The Renaissance cornett as a case study. Early Music 2014, 42, 537–544. [Google Scholar] [CrossRef]
- Kumar, M.B.; Sathiya, P. Methods and materials for additive manufacturing: A critical review on advancements and challenges. Thin-Walled Struct. 2021, 159, 107228. [Google Scholar] [CrossRef]
- Shahrubudin, N.; Lee, T.C.; Ramlan, R. An Overview on 3D Printing Technology: Technological, Materials, and Applications. Procedia Manuf. 2019, 35, 1286–1296. [Google Scholar] [CrossRef]
- Iftekar, S.F.; Aabid, A.; Amir, A.; Baig, M. Advancements and Limitations in 3D Printing Materials and Technologies: A Critical Review. Polymers 2023, 15, 2519. [Google Scholar] [CrossRef] [PubMed]
- Cottrell, S.; Howell, J. Reproducing musical instrument components from manufacturers’ technical drawings using 3D printing: Boosey & Hawkes as a case study. J. New Music Res. 2019, 48, 449–457. [Google Scholar]
- Frischling, E.B.; Dollins, C.; O’Grady, J.; Scruton, M. Design, Analysis, and 3D Print a Musical Instrument. Bachelor’s Thesis, Worcester Polytechnic Institute, Worcester, MA, USA, 2022. [Google Scholar]
- Simian, R. 3D-Printed Musical Instruments: Lessons Learned from Five Case Studies. Music Sci. 2023, 6, 1–16. [Google Scholar] [CrossRef]
- Zoran, A. The 3D Printed Flute: Digital Fabrication and Design of Musical Instruments. J. New Music Res. 2011, 40, 379–387. [Google Scholar] [CrossRef]
- Kokkinos, A.; Portan, D.V.; Saridaki, X.; Katerelos, D.T.G. Experimental and Numerical Approach in the Acoustical Behaviour of Kefalonian Traditional Instruments Made from Different Materials. Int. J. Sci. Res. 2020, 9, 607–617. [Google Scholar]
- Kolomiets, A.; Grobman, Y.J.; Popov, V.V.; Strokin, E.; Senchikhin, G.; Tarazi, E. The titanium 3D-printed flute: New prospects of additive manufacturing for musical wind instruments design. J. New Music Res. 2021, 50, 1–17. [Google Scholar] [CrossRef]
- Burgos-Pintos, Á.; Fernández-Zacarías, F.; Mayuet, P.F.; Hernández-Molina, R.; Rodríguez-Parada, L. Influence of 3D Printing Direction in PLA Acoustic Guitars on Vibration Response. Polymers 2023, 15, 4710. [Google Scholar] [CrossRef]
- Cavdir, D.B. Digital Manufacturing for Musical Applications: A Survey of Current Status and Future Outlook. In Proceedings of the 16th Sound and Music Computing Conference (SMC2019), Malaga, Spain, 28–31 May 2019. [Google Scholar]
- Evans, E.; McComb, C. The problem with printing pitch: Challenges in designing 3D printed claves. Rapid Prototyp. J. 2023, 29, 145–156. [Google Scholar] [CrossRef]
- De Maio, U.; Greco, F.; Luciano, R.; Sgambitterra, G.; Pranno, A. Microstructural design for elastic wave attenuation in 3D printed nacre-like bioinspired metamaterials lightened with hollow platelets. Mech. Res. Commun. 2023, 128, 104045. [Google Scholar] [CrossRef]
- De Maio, U.; Greco, F.; Nevone Blasi, P.; Pranno, A.; Sgambitterra, G. Elastic wave propagation control in porous and finitely deformed locally resonant nacre-like metamaterials. Materials 2024, 17, 705. [Google Scholar] [CrossRef]
- Lu, Y.; Huang, G.-Y.; Wang, Y.-F.; Wang, Y.-S. A mechanical model for elastic wave propagation in nacre-like materials with brick-and-mortar microstructures. J. Appl. Mech. 2022, 89, 091002. [Google Scholar] [CrossRef]
- Le Ferrand, H. Could bio-inspired nacre-like ceramics be suitable to fabricate musical instruments? Music Sci. 2022, 5, 1–14. [Google Scholar] [CrossRef]
- Jackson, C.M. Sustainability Models for 3D Printed Woodwinds. In Proceedings of the 2017 IEEE Conference on Technologies for Sustainability (SusTech), Phoenix, AZ, USA, 12–14 November 2017. [Google Scholar]
- Bader, R.; Fischer, J.L.; Münster, M.; Kontopidis, P. Metamaterials in Musical Acoustics: A modified frame drum. J. Acoust. Soc. Am. 2019, 145, 3086–3094. [Google Scholar] [CrossRef] [PubMed]
- Bader, R.; Fischer, J.L.; Münster, M.; Kontopidis, P. Metamaterials in Musical Instruments. In Proceedings of the ISMA, Detmold, Germany, 13–17 September 2019. [Google Scholar]
- Lercari, M.; Gonzalez, S.; Espinoza, C.; Longo, G.; Antonacci, F.; Sarti, A. Using Mechanical Metamaterials in Guitar Top Plates: A Numerical Study. Appl. Sci. 2022, 12, 8619. [Google Scholar] [CrossRef]
- Yeha, M.-K.; Lin, C.-M. Bending strength of sandwich beams with nanocomposites core. Adv. Mat. Res. 2009, 79–82, 577–580. [Google Scholar]
- Ono, T.; Okuda, A. Acoustic characteristics of guitars with a top board of carbon fiber-reinforced composites. Acoust. Sci. Technol. 2007, 28, 442–443. [Google Scholar] [CrossRef][Green Version]
- Duerinck, T.; Segers, J.; Skrodzka, E.; Verberkmoes, G.; Leman, M.; Van Paepegem, W.; Kersemans, M. Experimental comparison of various excitation and acquisition techniques for modal analysis of violins. Appl. Acoust. 2021, 177, 107942. [Google Scholar] [CrossRef]
- Plath, N.; Linke, S.; Mores, R. On the angle-dependent vibrational behavior of fiber composite plates and its implications for musical instrument making. J. Acoust. Soc. Am. 2022, 151, 1956–1970. [Google Scholar] [CrossRef]
- Rodriguez, R.; Arteaga, E.; Rangel, D.; Salazar, R.; Vargas, S.; Estevez, M. Mechanical, chemical and acoustic properties of new hybrid ceramic-polymer varnishes for musical instruments. J. Non Cryst. Solids 2009, 355, 132–140. [Google Scholar] [CrossRef]
- Viala, R.; Placet, V.; Cogan, S. Identification of the anisotropic elastic and damping properties of complex shape composite parts using an inverse method based on finite element model updating and 3D velocity fields measurements (FEMU-3DVF): Application to bio-based composite violin soundboards. Compos. Part A Appl. Sci. 2018, 106, 91–103. [Google Scholar]
- Hughes, J.R. The Finite Element Method: Linear Static and Dynamic Finite Element Analysis; Dover Publications: Mineola, NY, USA, 1987. [Google Scholar]
- Kaselouris, E.; Bakarezos, M.; Tatarakis, M.; Papadogiannis, N.A.; Dimitriou, V. A Review of Finite Element Studies in String Musical Instruments. Acoustics 2022, 4, 183–202. [Google Scholar] [CrossRef]
- Dimitriou, V. Adaptive Finite Elements and Related Meshes. Doctoral Dissertation, National Technical University of Athens, School of Mechanical Engineering, Athens, Greece, August 2004. (In Greek). [Google Scholar]
- Bilbao, S. Conclusion and perspectives. In Numerical Sound Synthesis: Finite Difference Schemes and Simulation in Musical Acoustics; John Wiley & Sons: Hoboken, NJ, USA, 2009; pp. 386–388. [Google Scholar]
- Bader, R. Computational Mechanics of the Classical Guitar; Springer: Berlin/Heidelberg, Germany, 2005. [Google Scholar]
- Moosrainer, M.; Fleischer, H. Application of BEM and FEM to musical instruments. In Boundary Elements in Acoustics; Advances and Applications Series; WIT Press: Southampton, UK, 2000. [Google Scholar]
- Brooke, M.; Richardson, B.E. Numerical modeling of guitar radiation fields using boundary elements. J. Acoust. Soc. Am. 1991, 89, 1878. [Google Scholar] [CrossRef]
- Lu, Y. Comparison of Finite Element Method and Modal Analysis of Violin Top Plate. Master’s Thesis, McGill University, Montréal, QC, Canada, 2013. [Google Scholar]
- Kaselouris, E.; Orphanos, Y.; Bakarezos, M.; Tatarakis, M.; Papadogiannis, N.A.; Dimitriou, V. Influence of the plate thickness and material properties on the violin top plate modes. In Proceedings of the INTER-NOISE 2021, Washington, DC, USA, 1–4 August 2021. [Google Scholar]
- Kaselouris, E.; Alexandraki, C.; Bakarezos, M.; Tatarakis, M.; Papadogiannis, N.A.; Dimitriou, V. A detailed FEM Study on the Vibro-acoustic Behaviour of Crash and Splash Musical Cymbals. Int. J. Circuits Syst. Signal Process. 2022, 16, 948–955. [Google Scholar] [CrossRef]
- Ibañez, M.; Muñoz, E.; Domenech, L.; Cortés, E.; Sánchez, F.; García, J.A. On the influence of mechanical and processing characterization on the vibro-acoustic response of lcm and pre-impregnated composite laminates. In Proceedings of the 13th International Conference on Flow Processes in Composite Materials, Kioto, Japan, 6–9 July 2016. [Google Scholar]
- Schelleng, J.C. The violin as a circuit. J. Acoust. Soc. Am. 1963, 35, 326–338. [Google Scholar] [CrossRef]
- Haines, D.W.; Chang, N. Application of graphite composites in musical instruments. Newsl. Catgut Acoust. Soc. 1975, 23, 13–15. [Google Scholar]
- Dominy, J.; Killingback, P. The development of a carbon fibre violin. In Proceedings of the ICCM 17, Edinburgh, UK, 27–31 July 2009. [Google Scholar]
- Roest, M. Design of a Composite Guitar. Master’s Thesis, Delft University of Technology, Delft, The Netherlands, 17 August 2016. [Google Scholar]
- Probert, S.M. Design, Manufacture, and Analysis of a Carbon Fiber Epoxy Composite Acoustic Guitar. Master’s Thesis, University of Washington, Seattle, WA, USA, 2007. [Google Scholar]
- Zhong, S.; Punpongsanon, P.; Iwai, D.; Sato, K. Estimation of fused-filament-fabrication structural vibro-acoustic performance by modal impact sound. Comput. Graph. 2023, 115, 137–147. [Google Scholar] [CrossRef]
- Alfarisi, N.A.; Santos, G.N.; Norcahyo, R.; Sentanuhady, J.; Azizah, N.; Muflikhun, M.A. Model optimization and performance evaluation of hand cranked music box base structure manufactured via 3D printing. Heliyon 2021, 7, e08432. [Google Scholar] [CrossRef]
- Mulholland, R.; Perry, I.; Geng, Y.; Perkins, E. Keyboard technology: A 3D printed piano action and self-tuning controller. In Proceedings of the 26th International Congress on Sound & Vibration, Montreal, QC, Canada, 7–11 July 2019. [Google Scholar]
- ODD Guitars. Available online: www.oddguitars.com (accessed on 5 February 2024).
- Rodríguez, J.C.; del Rey, R.; Peydro, M.A.; Alba, J.; Gámez, J.L. Design, Manufacturing and Acoustic Assessment of Polymer Mouthpieces for Trombones. Polymers 2023, 15, 1667. [Google Scholar] [CrossRef]
- Durability of Photopolymers in 3D Printing. Available online: https://www.jellypipe.com/en/blog-news/durability-of-photopolymers-in-3d-printing/ (accessed on 2 March 2024).
- Espinoza, C.; Arancibia, A.; Cartes, G.; Falcón, C. New materials, new sounds: How metamaterials can change the timbre of musical instruments. In Proceedings of the 2nd International Conference on Timbre, Thessaloniki, Greece, 3–4 September 2020. [Google Scholar]
- Espinoza, C.; Arancibia, A.; Cartes, G.; Falcón, C. Seeking for spectral manipulation of the sound of musical instruments using metamaterials. In Proceedings of the 15th International Audio Mostly Conference, Graz, Austria, 15–17 September 2020. [Google Scholar]
- Gonzalez, S.; Chacra, E.; Carreño, C.; Espinoza, C. Wooden mechanical metamaterials: Towards tunable wood plates. Mater. Des. 2022, 221, 110952. [Google Scholar] [CrossRef]
- Kaleris, K.; Kaniolakis-Kaloudis, E.; Aravantinos-Zafeiris, N.; Katerelos, D.; Dimitriou, V.; Bakarezos, M.; Tatarakis, M.; Mourjopoulos, J.; Papadogiannis, N.A. Characterizing acoustic metamaterials using laser-plasma sound sources. Nat. Commun. Mater. 2024. under review. [Google Scholar]
- Kaleris, K.; Orphanos, Y.; Petrakis, S.; Bakarezos, M.; Tatarakis, M.; Mourjopoulos, J.; Papadogiannis, N.A. Laser-plasma sound sources in atmospheric air: A systematic experimental study. J. Sound Vib. 2023, 570, 118000. [Google Scholar] [CrossRef]
- Kaleris, K.; Orphanos, Y.; Bakarezos, M.; Dimitriou, V.; Tatarakis, M.; Mourjopoulos, J.; Papadogiannis, N.A. On the correlation of light and sound radiation following laser-induced breakdown in air. J. Phys. D Appl. Phys. 2020, 53, 435207. [Google Scholar] [CrossRef]



















Disclaimer/Publisher’s Note: The statements, opinions and data contained in all publications are solely those of the individual author(s) and contributor(s) and not of MDPI and/or the editor(s). MDPI and/or the editor(s) disclaim responsibility for any injury to people or property resulting from any ideas, methods, instructions or products referred to in the content. |
© 2024 by the authors. Licensee MDPI, Basel, Switzerland. This article is an open access article distributed under the terms and conditions of the Creative Commons Attribution (CC BY) license (https://creativecommons.org/licenses/by/4.0/).
Share and Cite
Brezas, S.; Katsipis, M.; Kaleris, K.; Papadaki, H.; Katerelos, D.T.G.; Papadogiannis, N.A.; Bakarezos, M.; Dimitriou, V.; Kaselouris, E. Review of Manufacturing Processes and Vibro-Acoustic Assessments of Composite and Alternative Materials for Musical Instruments. Appl. Sci. 2024, 14, 2293. https://doi.org/10.3390/app14062293
Brezas S, Katsipis M, Kaleris K, Papadaki H, Katerelos DTG, Papadogiannis NA, Bakarezos M, Dimitriou V, Kaselouris E. Review of Manufacturing Processes and Vibro-Acoustic Assessments of Composite and Alternative Materials for Musical Instruments. Applied Sciences. 2024; 14(6):2293. https://doi.org/10.3390/app14062293
Chicago/Turabian StyleBrezas, Spyros, Markos Katsipis, Konstantinos Kaleris, Helen Papadaki, Dionysios T. G. Katerelos, Nektarios A. Papadogiannis, Makis Bakarezos, Vasilis Dimitriou, and Evaggelos Kaselouris. 2024. "Review of Manufacturing Processes and Vibro-Acoustic Assessments of Composite and Alternative Materials for Musical Instruments" Applied Sciences 14, no. 6: 2293. https://doi.org/10.3390/app14062293
APA StyleBrezas, S., Katsipis, M., Kaleris, K., Papadaki, H., Katerelos, D. T. G., Papadogiannis, N. A., Bakarezos, M., Dimitriou, V., & Kaselouris, E. (2024). Review of Manufacturing Processes and Vibro-Acoustic Assessments of Composite and Alternative Materials for Musical Instruments. Applied Sciences, 14(6), 2293. https://doi.org/10.3390/app14062293

