Mechanical Characteristics of Surrounding Rock for Neighborhood Tunnels Using the Schwarz Alternating Method Model: A Case Study
Abstract
1. Introduction
2. Engineering Background
2.1. Project Overview

2.2. Construction of the Following Tunnel
3. Damage Mechanism of FT Blasting Load on Interlaid Rock
3.1. Model and the Basic Mechanical Parameters of Materials

3.2. Damage Process of the Interval Rock
3.3. Divisional Excavation Scheme of the FT
4. Key Parameters of Tunnelling Method for the FT
4.1. Overview of the SAM
4.2. Mathematic Model of SAM

4.3. Fundamental Theories and Equations for Solution
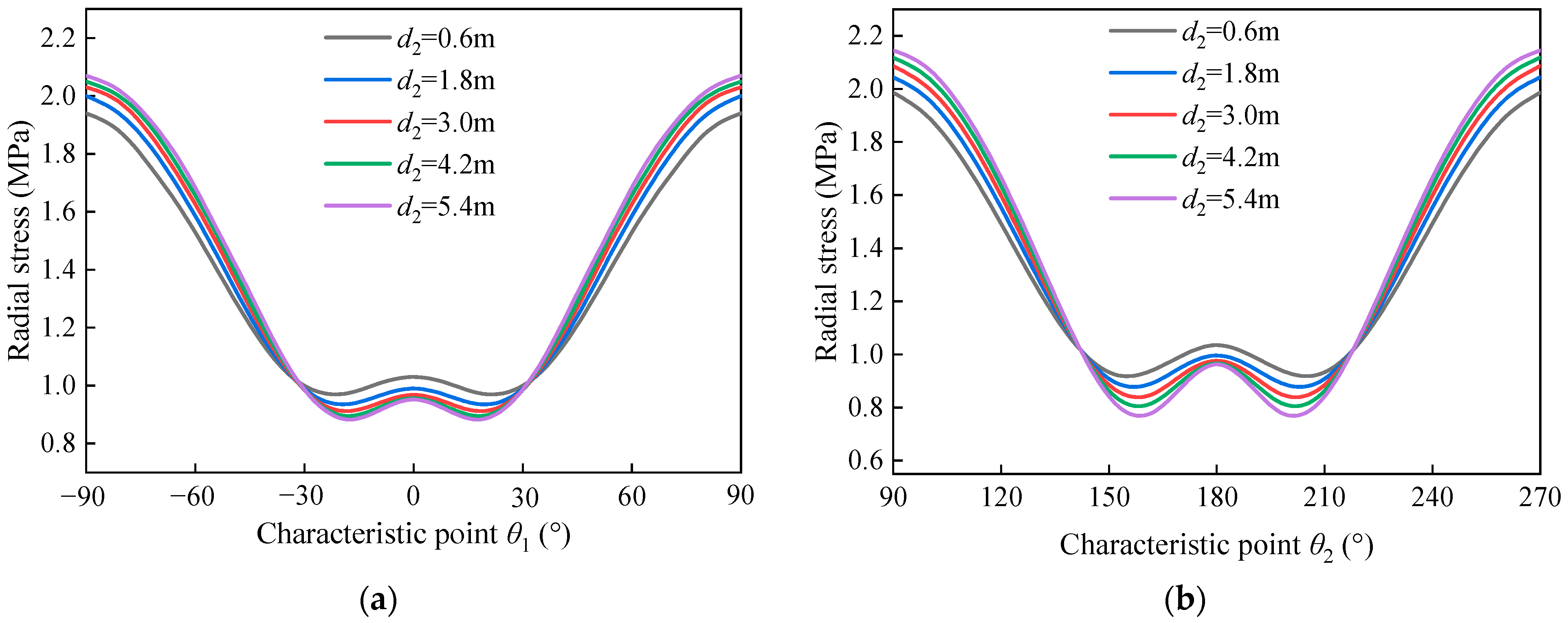
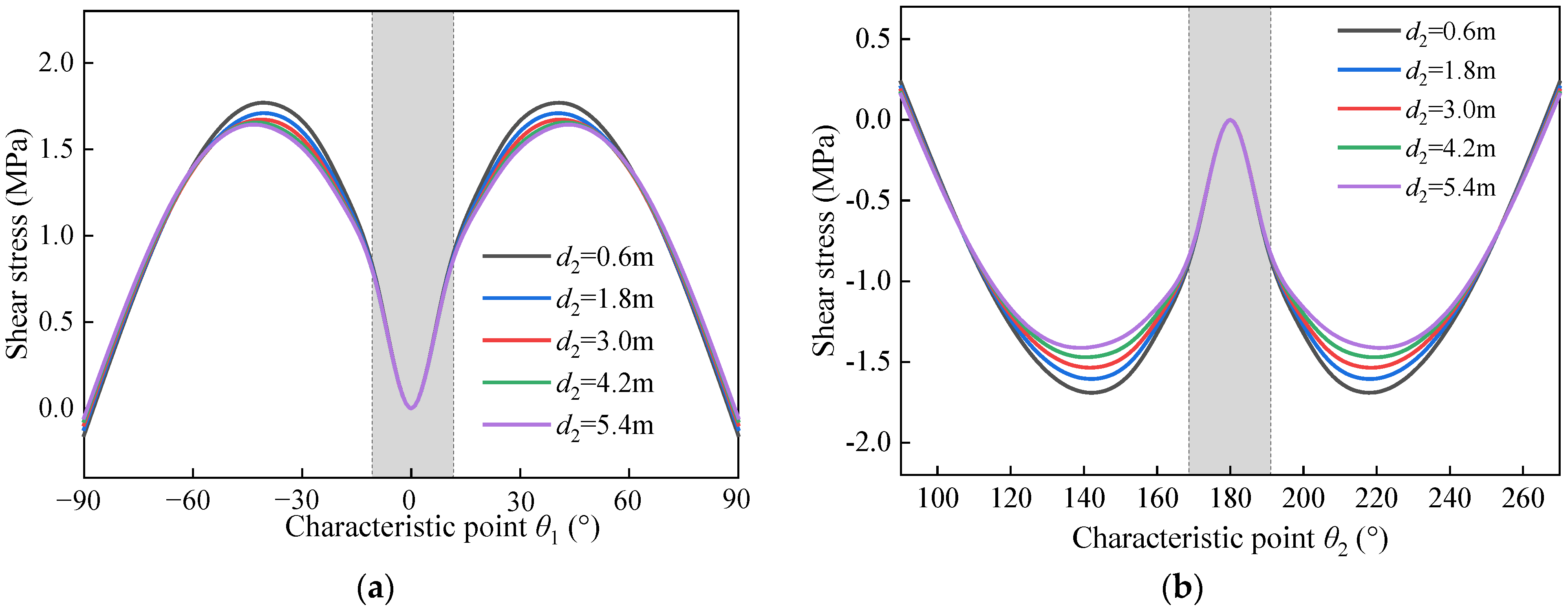
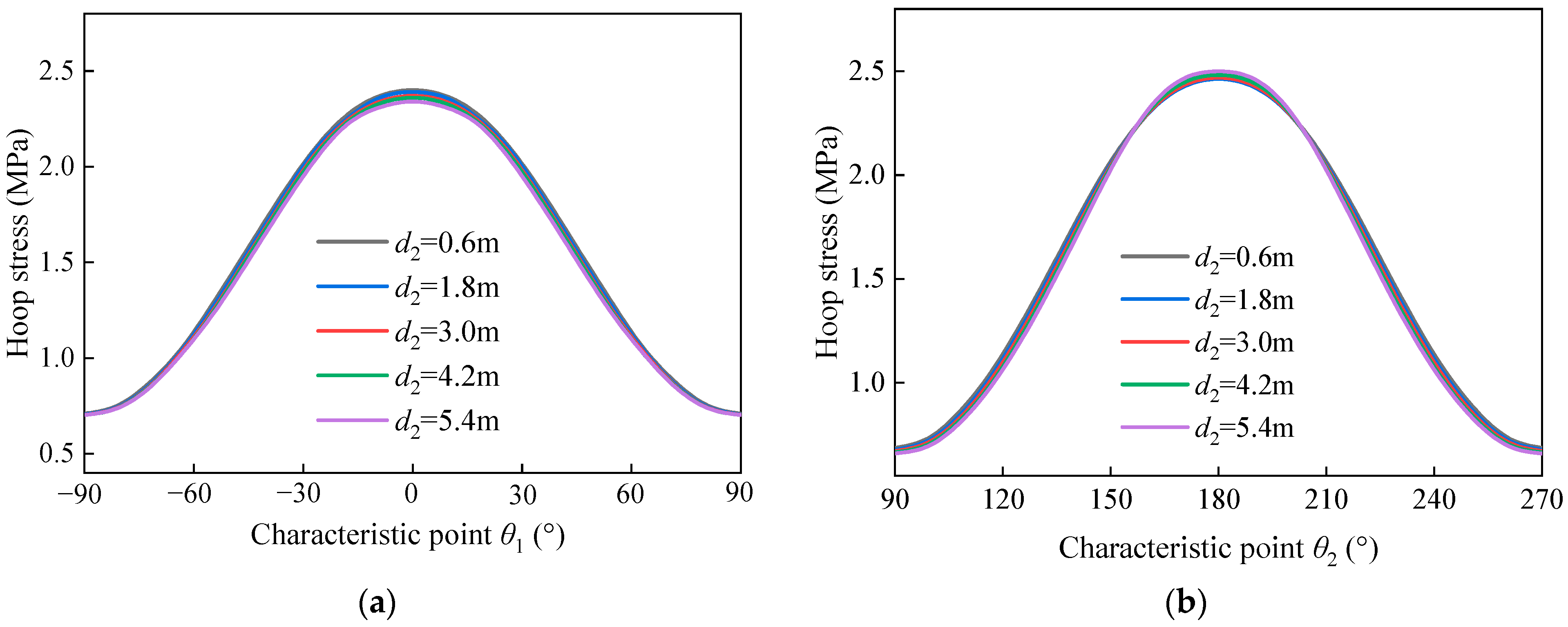
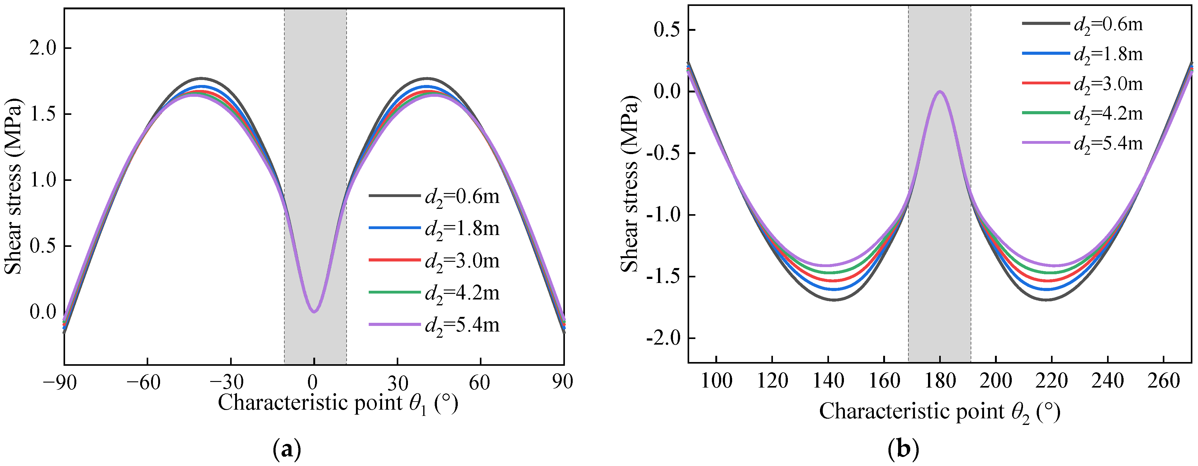
4.4. Impact of Different Layer Thicknesses on the Stress of the Surrounding Rock
5. Excavation Partition Scheme
6. Discussion
- (a)
- Blast-induced vibration control criteria for FT-I
- (b)
- Blast-induced vibration control criteria for FT-II
| No. | Name of Tunnel | Thickness of Interlaid Rock (m) | Vibration Control Criteria (cm/s) |
|---|---|---|---|
| 1 | New Kurutage tunnel [34] | 15 | 10.7 |
| 2 | Wutong mountain tunnel [35] | 13.5 | 4.0 |
| 3 | Maoding tunnel [36] | 12 | 3.0 |
| 4 | Xiaoyang mountain tunnel [37] | 9.2 | 10 |
| 5 | Damao mountain tunnel [3] | 5.9 | 15 |
| 6 | Jiaojin mountain tunnel [38] | 5.0 | 10 |
| 7 | Wulong tunnel [39] | 4.0 | 25 |
| 8 | Zhaobao mountain tunnel [40] | 3.0 | 12 |
7. Conclusions
- (1)
- The damage mechanism of the interlaid rock under the blasting load from adjacent tunnels was investigated using LS-DYNA R11.1 software. The results suggest that meeting high-vibration control requirements for the upper and lower step zoning in the following tunnel is challenging, making it difficult to achieve damage control for the ultra-small clearance section for interlaid rock of 0.5 m thickness.
- (2)
- The four-part excavation method with reserved vibration-cushioning layer was proposed for the following tunnel. By incorporating a cushioning layer near the interlaid rock, direct damage from adjacent tunnel blasts was minimized. Based on the method of equivalent circles and the Schwarz Alternating Method (SAM), a mathematical model was established. By analyzing variations in surrounding rock stress with different thicknesses of the cushioning layer, the optimal thickness for the cushioning layer was determined to be 3.0 m.
- (3)
- Based on the parameters of the cushioning layer, the safe excavation partition scheme for the following tunnel was delineated. When the thickness of the interlaid rock exceeds 3.5 m, the benching method is employed for excavation. When the thickness of the interlaid rock ranges from 0.5 m to 3.5 m, the four-part excavation method with reserved vibration-cushioning layer is utilized.
Author Contributions
Funding
Institutional Review Board Statement
Informed Consent Statement
Data Availability Statement
Acknowledgments
Conflicts of Interest
Appendix A. Solving Steps of the Interactions in Section 4.3
References
- Qin, Z.; Zhao, Y.; Chen, L.; Cao, H.; Zeng, L.; Jiao, W.; Xu, H. Propagation Characteristics and Control Technology of Blasting Vibration in Neighborhood Tunnel. Front. Earth Sci. 2023, 11, 1204450. [Google Scholar] [CrossRef]
- Wang, J.; Cao, A.; Cui, T.; Wu, Z.; Li, Z.; Lin, L.; Li, H.; Long, Y. Monitoring Method of Large Section Bifurcated Small Clear Distance Tunnel during Information Construction Control. Appl. Sci. 2023, 13, 3447. [Google Scholar] [CrossRef]
- Lin, C.; Chen, L.; Jiang, L.; Chen, H. Research on Blasting Stability Control Technology of Large-span Highway Tunnel with Super-small Clear Spacing at Highway Expansion Project. Chin. J. Rock Mech. Eng. 2010, 29, 1371–1378. [Google Scholar]
- Li, X.; Jiang, S.; Liu, Y.; Huang, L. Blasting Effect and Control of New Tunnel with Small Clear Space on Existing Operation Tunnel. Chin. J. Undergr. Space Eng. 2016, 12, 1631–1636. [Google Scholar]
- Song, S.; Li, S.; Li, L.; Sun, H. Model Test Study on Vibration Blasting of Large Cross-section Tunnel with Small Clearance in Horizontal Stratified Surrounding Rock. Tunn. Undergr. Space Technol. 2019, 92, 103013. [Google Scholar] [CrossRef]
- Liu, M.; Gao, W.; Zhang, F. Research on Key Construction Technology and Application of Small Interval Tunnel. Chin. J. Undergr. Space Eng. 2005, 6, 952–955. [Google Scholar]
- Zhou, X.; Zhang, X.; Feng, H.; Zhang, S.; Yang, J.; Mu, J.; Hu, T. Study on Dominant Frequency Attenuation of Blasting Vibration for Ultra-Small-Spacing Tunnel. Appl. Sci. 2022, 12, 1058. [Google Scholar] [CrossRef]
- Du, L.; Yan, S.; Cai, B. Study on Safety of Small-spaced Intersecting Tunnels Constructed by Bench-cut method. Tunn. Constr. 2013, 33, 378–382. [Google Scholar]
- Jiang, Q.; Song, S.; Li, T.; Wang, K.; Gu, R. Study on Surrounding Rock Stability of Small Clear-Distance Twin Highway Tunnel with Eight Lanes. Geotech. Geol. Eng. 2019, 37, 593–598. [Google Scholar] [CrossRef]
- Li, L.; Fan, H.; Liu, H.; Li, S.; Cheng, S.; Zhang, Q.; Zhou, S. Model Test and Numerical Simulation Research on the Mechanical Response Law of Lager Span and Small Interval Tunnels Constructed by CD Method. Tunn. Undergr. Space Technol. 2023, 132, 104974. [Google Scholar] [CrossRef]
- Kong, X.; Xia, C.; Qiu, Y.; Zhang, L.; Gong, J. Study of Construction Mechanical Behavior of Parallel-small Spacing Metro Tunnels Excavated by Shield Method and Cross Diaphragm (CRD) Method in Loess Region. Rock Soil Mech. 2011, 2, 516–524. [Google Scholar] [CrossRef]
- Wang, J.; Cao, A.; Li, Z.; Wu, Z.; Lin, L.; Liu, X.; Li, H.; Sun, Y. Mechanical Behavior and Excavation Optimization of a Small Clear-Distance Tunnel in an Urban Super Large and Complex Underground Interchange Hub. Appl. Sci. 2023, 13, 254. [Google Scholar] [CrossRef]
- Wu, D.; Li, W.; Xie, B.; Wang, W.; Pan, W. Study on Construction Disturbance Spatial Effect of Bias Tunnels with Small Interval and Steep Slope. J. Railw. Sci. Eng. 2016, 13, 906–913. [Google Scholar] [CrossRef]
- Liu, C.; Yang, N.; Cui, J.; Zhang, L. Research on the Blasting Excavation Technology of Tunnel in Fork Section. J. Railw. Eng. Soc. 2021, 38, 54–59. [Google Scholar]
- Wu, Z.; Xu, G.; Wu, L.; Ye, Q. Mechanical Deformation Characteristics of Rock Mass Surrounding Lateral Enlarging Excavation of Tunnels with Ultra-large Sections. Chin. J. Geotech. Eng. 2009, 31, 172–177. [Google Scholar]
- Sokolnikoff, I. Mathematical Theory of Elasticity, 2nd ed.; McGraw-Hill: New York, NY, USA, 1956. [Google Scholar]
- Muskhelishvili, N. Some Basic Problems of Mathematical Theory of Elasticity, 2nd ed.; P. Noordhoff: Groningen, The Netherlands, 1963. [Google Scholar]
- Zhang, L.; Yue, Z.; Lee, C.; Tham, L.; Yang, Z. Stress Solution of Multiple Elliptic Hole Problem in Plane Elasticity. ASCE J. Eng. Mech. 2003, 129, 1394–1407. [Google Scholar] [CrossRef]
- Liolios, P.; Exadaktylos, G. Stress Analysis of Multiply Fractured Porous Rocks. In Bifurcations, Instabilities, Degradation in Geomechanics; Exadaktylos, G.E., Vardoulakis, I.G., Eds.; Springer: Berlin/Heidelberg, Germany, 2007. [Google Scholar] [CrossRef]
- Zeng, G.; Wang, H.; Jiang, M. Analytical Stress and Displacement of Twin Noncircular Tunnels in Elastic Semi-infinite Ground. Comput. Geotech. 2023, 160, 105520. [Google Scholar] [CrossRef]
- Lin, L.; Lu, Y.; Chen, F.; Li, D. Analytic Study of Stress and Displacement for Shallow Twin Tunnels Subjected to Surcharge Loads. Appl. Math. Model. 2021, 93, 485–508. [Google Scholar] [CrossRef]
- Luo, Y.; Chen, J.; Gao, S.; Deng, X.; Diao, P. Stability Analysis of Super-large-section Tunnel in Loess Ground Considering Water Infiltration Caused by Irrigation. Environ. Earth Sci. 2017, 76, 763. [Google Scholar] [CrossRef]
- Zhang, D.; Fang, Q.; Hou, Y.; Li, P.; Wong, L. Protection of Buildings Against Damages as a Result of Adjacent Large-span Tunneling in Shallowly Buried Soft Ground. J. Geotech. Geoenviron. Eng. 2013, 139, 903–913. [Google Scholar] [CrossRef]
- Hayhurst, C.; Hiermaier, S.; Clegg, R. Development of material models for Nextel and Kevlar-epoxy for high pressures and strain rates. Int. J. Impact Eng. 1999, 23, 365–376. [Google Scholar] [CrossRef]
- Livermore Software Technology Corporation (LSTC). LS-DYNA Keyword User’s Manual; LSTC: Livermore, CA, USA, 2020. [Google Scholar]
- Lu, A.; Zhang, N.; Qin, Y. Analytical Solutions for the Stress of a Lined Non-circular Tunnel under Full-slip Contact Conditions. Int. J. Rock Mech. Min. Sci. 2015, 79, 183–192. [Google Scholar] [CrossRef]
- Wang, H.; Zeng, G.; Jiang, M. Analytical Stress and Displacement Around Non-Circular Tunnels in Semi-infinite Ground. Appl. Math. Model. 2018, 63, 303–328. [Google Scholar] [CrossRef]
- Lu, A.; Zeng, X.; Xu, Z. Solution for a Circular Cavity in an Elastic Half Plane under Gravity and Arbitrary Lateral Stress. Int. J. Rock Mech. Min. Sci. 2016, 89, 34–42. [Google Scholar] [CrossRef]
- Zhang, Z.; Huang, M.; Xi, X.; Yang, X. Complex Variable Solutions for Soil and Liner Deformation due to Tunneling in Clays. Int. J. Geomech. 2018, 18, 04018074.1–04018074.19. [Google Scholar] [CrossRef]
- Wang, X. Handbook of Blasting; Metallurgical Industry Press: Beijing, China, 2010; pp. 498–499. [Google Scholar]
- Lu, A.; Zhang, L. Complex Variable Function Method for Mechanical Analysis of Underground Tunnels; Science Press: Beijing, China, 2007; pp. 115–120. [Google Scholar]
- Lu, A.; Zhang, N.; Kuang, L. Analytic Solutions of Stress and Displacement for a Non-circular Tunnel at Great Depth Including Support Delay. Int. J. Rock Mech. Min. Sci. 2014, 70, 69–81. [Google Scholar] [CrossRef]
- GB6722-2014; Safety Regulations for Blasting [Including MODIFICATION 1]. Standardization Administration of China: Beijing, China, 2015.
- Zhang, C. Analysis of Vibration Velocity Thresholds of Existing Tunnel Lining Caused by Blasting Construction in Neighboring Tunnels. Master’s Thesis, Lanzhou Jiaotong University, Lanzhou, China, 2009. [Google Scholar]
- Xi, Q. Blasting Vibration Control Measures Used in Wutongshan Tunnel. World Tunn. 1999, 4, 45–53. [Google Scholar] [CrossRef]
- Wu, C.; Li, G.; Guo, Y.; Wang, Q.; Xiao, B. Research on Accumulated Vibration Effects of Surrounding Rock in Blasting Excavating Anchorage Tunnel for Suspension Bridge. Chin. J. Rock Mech. Eng. 2009, 28, 1499–1505. [Google Scholar]
- Sun, B. Blast Vibration Monitoring Technology for Xiaoyang Mountain Tunnel. Railw. Eng. 2006, 1, 46–48. [Google Scholar]
- Dai, X. Research about Blasting Vibration Speed of Long-distance Little Space Tunnel. Master’s Thesis, Beijing Jiaotong University, Beijing, China, 2008. [Google Scholar]
- Zhang, Q. Controlled Blasting for Neighborhood Tunnels Advancement in Wulong Tunnel. Blasting 2010, 27, 44–47+57. [Google Scholar]
- Shi, Y.; Liu, H. Blasting Technology of Zhaobaoshan Twin-tunnel with a Minishort Separation. Eng. Blasting 1997, 4, 31–36. [Google Scholar]















| Density (kg/m3) | Compressive Strength (MPa) | Tensile Strength (MPa) | Elastic Modulus (GPa) | Poisson’s Ratio |
|---|---|---|---|---|
| 2450 | 47.51 | 3.67 | 8.35 | 0.15 |
| Density (kg/m3) | Detonation Velocity, D (m/s) | Chapman-Jouget Pressure, PCJ (GPa) | Parameters of JWL Equation of State | |||||
|---|---|---|---|---|---|---|---|---|
| A (GPa) | B (GPa) | R1 | R2 | ω | E0 (GPa) | |||
| 1300 | 4000 | 9.70 | 214.4 | 0.182 | 4.2 | 0.9 | 0.15 | 4.192 |
| Number of Iterations | Step | Coordinate System | Content | Function for Solved | Load | ||
|---|---|---|---|---|---|---|---|
| Excavate AT | Excavate FT-I | Content to Be Solved | |||||
| 1 | (a) | o1x1y1 | √ | Solve the complex stress around AT | , | Far-field load | |
| (b) | o2x2y2 | √ | Solve the complex stress around FT-I | , | Far-field load | ||
| 2 | (c) | o2x2y2 | √ | Solve the complex stress around FT-I | , | Balance external forces | |
| (d) | o1x1y1 | √ | Solve the complex stress around AT | , | Balance external forces | ||
| 3 | (e) | o1x1y1 | √ | Solve the complex stress around AT | , | Balance external forces | |
| (f) | o2x2y2 | √ | Solve the complex stress around FT-I | , | Balance external forces | ||
| 4 | (g) | o2x2y2 | √ | Solve the complex stress around FT-I | , | Balance external forces | |
| (h) | o1x1y1 | √ | Solve the complex stress around AT | , | Balance external forces | ||
| Section Structure | Site Photo | Marking | Height (m) | Weight (m) | Feature |
|---|---|---|---|---|---|
![]() | ![]() | FT-I | 6.86 | 12.73 | Semi-circular shape |
![]() | ![]() | FT-II | 6.63 | 3.00 | Crescent shape |
Disclaimer/Publisher’s Note: The statements, opinions and data contained in all publications are solely those of the individual author(s) and contributor(s) and not of MDPI and/or the editor(s). MDPI and/or the editor(s) disclaim responsibility for any injury to people or property resulting from any ideas, methods, instructions or products referred to in the content. |
© 2024 by the authors. Licensee MDPI, Basel, Switzerland. This article is an open access article distributed under the terms and conditions of the Creative Commons Attribution (CC BY) license (https://creativecommons.org/licenses/by/4.0/).
Share and Cite
Wu, X.; Gong, M.; Wu, H. Mechanical Characteristics of Surrounding Rock for Neighborhood Tunnels Using the Schwarz Alternating Method Model: A Case Study. Appl. Sci. 2024, 14, 1937. https://doi.org/10.3390/app14051937
Wu X, Gong M, Wu H. Mechanical Characteristics of Surrounding Rock for Neighborhood Tunnels Using the Schwarz Alternating Method Model: A Case Study. Applied Sciences. 2024; 14(5):1937. https://doi.org/10.3390/app14051937
Chicago/Turabian StyleWu, Xiaodong, Min Gong, and Haojun Wu. 2024. "Mechanical Characteristics of Surrounding Rock for Neighborhood Tunnels Using the Schwarz Alternating Method Model: A Case Study" Applied Sciences 14, no. 5: 1937. https://doi.org/10.3390/app14051937
APA StyleWu, X., Gong, M., & Wu, H. (2024). Mechanical Characteristics of Surrounding Rock for Neighborhood Tunnels Using the Schwarz Alternating Method Model: A Case Study. Applied Sciences, 14(5), 1937. https://doi.org/10.3390/app14051937





