Blockchain and Access Control Encryption-Empowered IoT Knowledge Sharing for Cloud-Edge Orchestrated Personalized Privacy-Preserving Federated Learning
Abstract
1. Introduction
- We propose an IoT HBCE-FL framework, where knowledge flows securely among local clients, edge blockchain, and cloud servers. This can provide a secure and privacy-preserving data analysis scheme for IoT users.
- We design a multi-level ACE-based IoT knowledge sharing approach in HBCE-FL, which solves the privacy issues in FL by grading security requirements and controlling IoT knowledge flow.
- We introduce blockchain to solve the trust problem of servers and users, improving the reliability of the system. The sanitization of knowledge through smart contracts ensures that knowledge is not tampered with.
- The effectiveness of our framework is validated by security analysis and experimental evaluation. IoT users with different data distributions can all achieve better model accuracy and convergence speed through secure IoT knowledge access and sharing in our designed PFL.
2. Related Work
2.1. Privacy Protection Methods in Federated Learning
2.2. Blockchain in Federated Learning
3. Hierarchical Blockchain-Empowered Cloud-Edge Orchestrated FL Architecture
3.1. Threat Model
3.2. Overview of Proposed HBCE-FL Architecture
3.3. The Main Elements in HBCE-FL Architecture
- Trusted authority: A trusted authority, often controlled by a government department or industry federation, is a fully trusted entity crucial for system initialization. It securely communicates with edge servers via reliable connections. Edge servers and IoT devices must register with this entity to gain system legitimacy. The trusted authority defines HBCE-FL specifics, such as access control policies, user rights, data structures, parameter lifecycles, etc.
- Local client: Any IoT device has the capability to generate data. The local client is responsible for processing and training these data locally, subsequently encrypting the resulting model parameters (knowledge) using its designated key. The encrypted text is delivered to the nearest edge server.
- Cloud server: The cloud aggregation layer, consisting of independent servers with varied security levels, hosts diverse learning tasks. Upon receiving sanitized ciphertext from edge servers, cloud servers decrypt using private keys, aggregating plaintext to update the model.
- Edge blockchain: The edge blockchain layer comprises many edge servers, such as communication base stations, responsible for connecting smart devices to cloud servers and handling message sanitization and forwarding. Identity authentication for FL participants, key distribution, and message sanitization is performed through smart contracts. The edge server is considered a semi-trusted entity, meaning it accurately executes pre-configured algorithms but maintains a level of curiosity about the privacy of the forwarded messages. Due to its interest in the information transmitted within the network and for facilitating subsequent operational analyses, it may anticipate acquiring additional information from the forwarded messages. While it does not inherently engage in activities that compromise the system or user interests, there exists a possibility of exploitation by malicious actors, thereby resulting in the compromise of user privacy.
4. ACE and Blockchain-Based IoT Knowledge Sharing Scheme
4.1. Access Control Model of the IoT Knowledge Sharing
4.2. Multi-Level ACE-Based IoT Knowledge Sharing Algorithm
- Define a cyclic group with prime order q.
- Compute .
4.3. Blockchain-Based Authentication and Sanitization Process
| Algorithm 1 Identity verification, key distribution, and message sanitization. |
|
- Identity verification and key distribution. A user who is interested in participating in the FL task sends a request message, including its ID, public key, security level, FL task name, and timestamp, to the nearest edge server. The edge server first deposits the received request message into the blockchain. Then, the authentication is executed. The edge server calculates the hash value of the ID and the public key of requester and compares it with the hash table from the trusted authority to verify the user identity. This verifies that the security level of the requested task matches the identity permissions after confirming the identity of the requester as a registered and legitimate user. Finally, this verifies that the requested task is within the validity period. After the triple confirmation passes the edge server requests the key packet for this user from the trusted authority. The key packet consists of the task encryption key, and the authentication code of the user identity, task name, and timestamp so that its timeliness and correctness can be verifiable. The key packet is encrypted using the user’s public key and the edge server cannot know the exact contents of the key packet. The user receives the key packet and decrypts it using its private key to obtain the requested key.
- Message sanitization. The edge server sanitizes and broadcasts all the received messages during FL. Smart contracts start by computing the hash value of these messages, which is then stored on the blockchain for retrospect and comparison. All messages are structurally indistinguishable, preventing any inference about the sender’s security level, the intended cloud server receiver’s identity, or the specific content of the knowledge. The edge server assesses message timeliness via timestamps, and chooses the sanitizer key based on the task name. This performs the ACE algorithm to sanitize each part of the ciphertext with the sanitizer key if the message is timely. The sanitized message is then broadcast to each cloud server.
5. Personalized FL with Multi-Level Privacy-Preserving IoT Knowledge Sharing
5.1. Multi-Level ACE-Based FL Process
| Algorithm 2 Client procedure. |
|
| Algorithm 3 Server procedure. |
|
5.2. Personalized FL of IoT Users with Non-IID Data
| Algorithm 4 Client procedure for personalized FL. |
|
6. Security Analysis and Performance Evaluation
6.1. Security Analysis
- Confidentiality: In our system, the IoT knowledge transfer is encrypted using ACE, instantiated based on the ElGamal public-key encryption scheme [43], which is indistinguishable against selectively chosen plaintext attacks (IND-CPA) and secure under the DDH assumption. In the sanitization phase, the edge server uses the sanitizer key to re-encrypt the received ciphertext, without having knowledge of its specific content. Importantly, the identity of the sender and intended receiver remains undisclosed, as all messages share a consistent format and are broadcast to every cloud server.
- No read: All receivers satisfying are unable to access any information about from sender . This fundamental requirement ensures system confidentiality and can be fulfilled using a standard encryption scheme. Mostly, a receiver only decrypts the part of the message corresponding to its identity level for efficiency. When , and are mismatched. As the receiver’s key cannot correctly decrypt information encrypted by the non-corresponding key, obtaining plaintext is impossible, even if the receiver attempts to decrypt all parts of the message.
- No write: If , no sender can convey information to any receiver . The sanitizer is unable to extract the identity-level information of the sender from C because each part of the ciphertext in message C shares a uniform structure, rendering it indistinguishable. Additionally, the sanitizer employs a specific random algorithm for received message C and cannot comprehend the message’s content without the decryption key, preventing it from identifying the sender and receiver. So, a corrupt sender cannot collude with the sanitizer to transmit messages to an unauthorized receiver. On the other hand, if sender seeks to convey information, it may substitute the information for random numbers in the message part corresponding to the receiver. However, with , sender lacks the encryption key corresponding to receiver . As a result, the receiver cannot decrypt the message part with its key after the sanitizer’s processing, preventing the receiver from obtaining any information from an unauthorized sender.
- Tamper-proof: The process of knowledge sanitization is carried out through the execution of the script file within the smart contracts. As long as the smart contract works properly in Ethereum, the re-encryption of the message is executed correctly. The sanitization results will be publicly and permanently saved. The user’s messages are checked using the hash function, and the message record is stored on the blockchain. Due to the transparency of blockchain, the tampered messages is traceable and cannot be denied. Each blockchain node in the system can detect any alterations. Consequently, our system can become tamper-proof and achieve the traceability of IoT knowledge.
- Reliability: The decentralized feature of the blockchain can mitigate risks associated with a centralized structure. Each edge server holds the data for the entire blockchain, which avoids data recovery problems after a single server failure. Blockchain provides a trust mechanism for the IoT that does not rely on third parties, and its consensus mechanism can solve the problem of trust and synchronization among numerous edge servers. The trust problem of IoT users is solved through registration and authentication process. Our solution guarantees that users receive a reliable and accurate service.
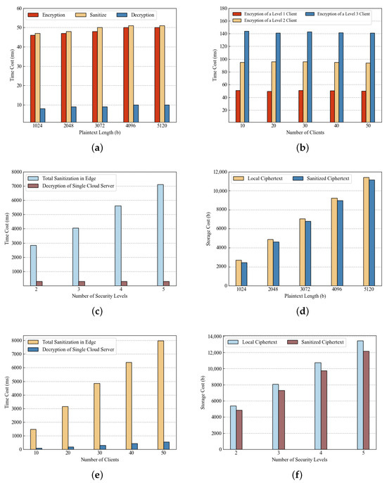
6.2. Performance of the Multi-Level ACE-Based IoT Knowledge Sharing Algorithm
6.3. Performance of Personalized FL with Multi-Level ACE-Based IoT Knowledge Sharing
7. Conclusions
Author Contributions
Funding
Institutional Review Board Statement
Informed Consent Statement
Data Availability Statement
Conflicts of Interest
References
- Xiao, K.; Gao, Z.; Shi, W.; Qiu, X.; Yang, Y.; Rui, L. EdgeABC: An architecture for task offloading and resource allocation in the Internet of Things. Future Gener. Comput. Syst. 2020, 107, 498–508. [Google Scholar] [CrossRef]
- Lin, X.; Wu, J.; Li, J.; Zheng, X.; Li, G. Friend-as-Learner: Socially-Driven Trustworthy and Efficient Wireless Federated Edge Learning. IEEE Trans. Mob. Comput. 2023, 22, 269–283. [Google Scholar] [CrossRef]
- Yang, Q.; Liu, Y.; Chen, T.; Tong, Y. Federated Machine Learning: Concept and Applications. ACM Trans. Intell. Syst. Technol. 2019, 10, 1–19. [Google Scholar] [CrossRef]
- Li, T.; Sahu, A.K.; Talwalkar, A.; Smith, V. Federated Learning: Challenges, Methods, and Future Directions. IEEE Signal Process. Mag. 2020, 37, 50–60. [Google Scholar] [CrossRef]
- Li, G.; Dong, M.; Yang, L.T.; Ota, K.; Wu, J.; Li, J. Preserving Edge Knowledge Sharing Among IoT Services: A Blockchain-Based Approach. IEEE Trans. Emerg. Top. Comput. Intell. 2020, 4, 653–665. [Google Scholar] [CrossRef]
- Gao, Z.; Yang, Y.; Zhao, C.; Mo, Z. CFedPer: Clustered Federated Learning with Two-Stages Optimization for Personalization. In Proceedings of the 2022 18th International Conference on Mobility, Sensing and Networking (MSN), Guangzhou, China, 14–16 December 2022; pp. 171–177. [Google Scholar] [CrossRef]
- Zhu, L.; Liu, Z.; Han, S. Deep Leakage from Gradients. In Proceedings of the Advances in Neural Information Processing Systems, Vancouver, BC, Canada, 8–14 December 2019; Wallach, H., Larochelle, H., Beygelzimer, A., d’Alché-Buc, F., Fox, E., Garnett, R., Eds.; Curran Associates, Inc.: New York, NY, USA, 2019; Volume 32. [Google Scholar]
- Zhao, B.; Mopuri, K.R.; Bilen, H. iDLG: Improved Deep Leakage from Gradients. arXiv 2020, arXiv:2001.02610. [Google Scholar]
- Wei, W.; Liu, L. Gradient Leakage Attack Resilient Deep Learning. IEEE Trans. Inf. Forensics Secur. 2022, 17, 303–316. [Google Scholar] [CrossRef]
- Shokri, R.; Stronati, M.; Song, C.; Shmatikov, V. Membership Inference Attacks Against Machine Learning Models. In Proceedings of the 2017 IEEE Symposium on Security and Privacy (SP), San Jose, CA, USA, 22–26 May 2017; pp. 3–18. [Google Scholar] [CrossRef]
- Melis, L.; Song, C.; De Cristofaro, E.; Shmatikov, V. Exploiting Unintended Feature Leakage in Collaborative Learning. In Proceedings of the 2019 IEEE Symposium on Security and Privacy (SP), San Francisco, CA, USA, 19–23 May 2019; pp. 691–706. [Google Scholar] [CrossRef]
- Bonawitz, K.; Ivanov, V.; Kreuter, B.; Marcedone, A.; McMahan, H.B.; Patel, S.; Ramage, D.; Segal, A.; Seth, K. Practical Secure Aggregation for Privacy-Preserving Machine Learning. In Proceedings of the CCS ’17, 2017 ACM SIGSAC Conference on Computer and Communications Security, Dallas, TX, USA, 30 October–3 November 2017; pp. 1175–1191. [Google Scholar] [CrossRef]
- Hardy, S.; Henecka, W.; Ivey-Law, H.; Nock, R.; Patrini, G.; Smith, G.; Thorne, B. Private federated learning on vertically partitioned data via entity resolution and additively homomorphic encryption. arXiv 2017, arXiv:1711.10677. [Google Scholar]
- McMahan, H.B.; Ramage, D.; Talwar, K.; Zhang, L. Learning Differentially Private Recurrent Language Models. arXiv 2017, arXiv:1710.06963. [Google Scholar]
- Bagdasaryan, E.; Poursaeed, O.; Shmatikov, V. Differential Privacy Has Disparate Impact on Model Accuracy. In Proceedings of the Advances in Neural Information Processing Systems, Vancouver, BC, Canada, 8–14 December 2019; Wallach, H., Larochelle, H., Beygelzimer, A., d’Alché-Buc, F., Fox, E., Garnett, R., Eds.; Curran Associates, Inc.: New York, NY, USA, 2019; Volume 32. [Google Scholar]
- Yu, T.; Bagdasaryan, E.; Shmatikov, V. Salvaging Federated Learning by Local Adaptation. arXiv 2020, arXiv:2002.04758. [Google Scholar]
- Di Francesco Maesa, D.; Mori, P.; Ricci, L. Blockchain Based Access Control. In Distributed Applications and Interoperable Systems, Proceedings of the 17th International Federated Conference on Distributed Computing Techniques, DisCoTec 2022, Lucca, Italy, 13–17 June 2022; Chen, L.Y., Reiser, H.P., Eds.; Springer: Cham, Switzerland, 2017; pp. 206–220. [Google Scholar]
- Majeed, U.; Hong, C.S. FLchain: Federated Learning via MEC-enabled Blockchain Network. In Proceedings of the 2019 20th Asia-Pacific Network Operations and Management Symposium (APNOMS), Matsue, Japan, 18–20 September 2019; pp. 1–4. [Google Scholar] [CrossRef]
- Damgård, I.; Haagh, H.; Orlandi, C. Access Control Encryption: Enforcing Information Flow with Cryptography. In Theory of Cryptography; Hirt, M., Smith, A., Eds.; Springer: Berlin/Heidelberg, Germany, 2016; pp. 547–576. [Google Scholar]
- Tan, G.; Zhang, R.; Ma, H.; Tao, Y. Access Control Encryption Based on LWE. In Proceedings of the APKC ’17, 4th ACM International Workshop on ASIA Public-Key Cryptography, Abu Dhabi, United Arab Emirates, 2 April 2017; pp. 43–50. [Google Scholar] [CrossRef]
- Xu, G.; Li, H.; Zhang, Y.; Xu, S.; Ning, J.; Deng, R.H. Privacy-Preserving Federated Deep Learning With Irregular Users. IEEE Trans. Dependable Secur. Comput. 2022, 19, 1364–1381. [Google Scholar] [CrossRef]
- Mohassel, P.; Zhang, Y. SecureML: A System for Scalable Privacy-Preserving Machine Learning. In Proceedings of the 2017 IEEE Symposium on Security and Privacy (SP), San Jose, CA, USA, 22–26 May 2017; pp. 19–38. [Google Scholar] [CrossRef]
- Mohassel, P.; Rindal, P. ABY3: A Mixed Protocol Framework for Machine Learning. In Proceedings of the CCS ’18, 2018 ACM SIGSAC Conference on Computer and Communications Security, Toronto, ON, Canada, 15–19 October 2018; pp. 35–52. [Google Scholar] [CrossRef]
- Zhao, L.; Wang, Q.; Zou, Q.; Zhang, Y.; Chen, Y. Privacy-Preserving Collaborative Deep Learning With Unreliable Participants. IEEE Trans. Inf. Forensics Secur. 2020, 15, 1486–1500. [Google Scholar] [CrossRef]
- Geyer, R.C.; Klein, T.; Nabi, M. Differentially Private Federated Learning: A Client Level Perspective. arXiv 2018, arXiv:1712.07557. [Google Scholar]
- Lin, X.; Wu, J.; Li, J.; Sang, C.; Hu, S.; Deen, M.J. Heterogeneous Differential-Private Federated Learning: Trading Privacy for Utility Truthfully. IEEE Trans. Dependable Secur. Comput. 2023, 20, 5113–5129. [Google Scholar] [CrossRef]
- Phong, L.T.; Aono, Y.; Hayashi, T.; Wang, L.; Moriai, S. Privacy-Preserving Deep Learning via Additively Homomorphic Encryption. IEEE Trans. Inf. Forensics Secur. 2018, 13, 1333–1345. [Google Scholar] [CrossRef]
- Park, J.; Yu, N.Y.; Lim, H. Privacy-Preserving Federated Learning Using Homomorphic Encryption With Different Encryption Keys. In Proceedings of the 2022 13th International Conference on Information and Communication Technology Convergence (ICTC), Jeju Island, Republic of Korea, 19–21 October 2022; pp. 1869–1871. [Google Scholar] [CrossRef]
- Kim, M.; Song, Y.; Wang, S.; Xia, Y.; Jiang, X. Secure Logistic Regression Based on Homomorphic Encryption: Design and Evaluation. JMIR Med. Inform. 2018, 6, e19. [Google Scholar] [CrossRef] [PubMed]
- Kazan, G.; Kocamış, T.U. Assessing the Impact of Blockchain Technology on Internal Controls within the COSO Framework. J. Corp. Gov. Insur. Risk Manag. 2023, 10, 86–95. [Google Scholar] [CrossRef]
- Li, J.; Shao, Y.; Wei, K.; Ding, M.; Ma, C.; Shi, L.; Han, Z.; Poor, H.V. Blockchain Assisted Decentralized Federated Learning (BLADE-FL): Performance Analysis and Resource Allocation. IEEE Trans. Parallel Distrib. Syst. 2022, 33, 2401–2415. [Google Scholar] [CrossRef]
- Wu, X.; Wang, Z.; Zhao, J.; Zhang, Y.; Wu, Y. FedBC: Blockchain-based Decentralized Federated Learning. In Proceedings of the 2020 IEEE International Conference on Artificial Intelligence and Computer Applications (ICAICA), Dalian, China, 27–29 June 2020; pp. 217–221. [Google Scholar] [CrossRef]
- Lu, Y.; Huang, X.; Zhang, K.; Maharjan, S.; Zhang, Y. Low-Latency Federated Learning and Blockchain for Edge Association in Digital Twin Empowered 6G Networks. IEEE Trans. Ind. Inform. 2021, 17, 5098–5107. [Google Scholar] [CrossRef]
- Rehman, M.H.; Salah, K.; Damiani, E.; Svetinovic, D. Towards Blockchain-Based Reputation-Aware Federated Learning. In Proceedings of the IEEE INFOCOM 2020—IEEE Conference on Computer Communications Workshops (INFOCOM WKSHPS), Toronto, ON, Canada, 6–9 July 2020; pp. 183–188. [Google Scholar] [CrossRef]
- Ramachandraiah, K.R.D.; Bommagani, N.J.; Jayapal, P.K. Enhancing healthcare data security in IoT environments using blockchain and DCGRU with Twofish encryption. Inf. Dyn. Appl. 2023, 2, 173–185. [Google Scholar] [CrossRef]
- Wang, J.; Lin, X.; Wu, Y.; Wu, J. Blockchain-Enabled Lightweight Fine-Grained Searchable Knowledge Sharing for Intelligent IoT. IEEE Internet Things J. 2023, 10, 21566–21579. [Google Scholar] [CrossRef]
- Lu, Y.; Huang, X.; Dai, Y.; Maharjan, S.; Zhang, Y. Blockchain and Federated Learning for Privacy-Preserved Data Sharing in Industrial IoT. IEEE Trans. Ind. Inform. 2020, 16, 4177–4186. [Google Scholar] [CrossRef]
- Li, Y.; Chen, C.; Liu, N.; Huang, H.; Zheng, Z.; Yan, Q. A Blockchain-Based Decentralized Federated Learning Framework with Committee Consensus. IEEE Netw. 2021, 35, 234–241. [Google Scholar] [CrossRef]
- Xu, L.; Zhang, H.; Du, X.; Wang, C. Research on Mandatory Access Control Model for Application System. In Proceedings of the 2009 International Conference on Networks Security, Wireless Communications and Trusted Computing, Wuhan, China, 25–26 April 2009; Volume 2, pp. 159–163. [Google Scholar] [CrossRef]
- Jiang, Y.; Lin, C.; Yin, H.; Tan, Z. Security analysis of mandatory access control model. In Proceedings of the 2004 IEEE International Conference on Systems, Man and Cybernetics (IEEE Cat. No.04CH37583), The Hague, The Netherlands, 10–13 October 2004; Volume 6, pp. 5013–5018. [Google Scholar] [CrossRef]
- McMahan, B.; Moore, E.; Ramage, D.; Hampson, S.; Arcas, B.A.y. Communication-Efficient Learning of Deep Networks from Decentralized Data. In Proceedings of the PMLR, 20th International Conference on Artificial Intelligence and Statistics, Fort Lauderdale, FL, USA, 20–22 April 2017; Volume 54, pp. 1273–1282. [Google Scholar]
- Li, T.; Hu, S.; Beirami, A.; Smith, V. Ditto: Fair and Robust Federated Learning Through Personalization. In Proceedings of the PMLR, 38th International Conference on Machine Learning, Virtual, 18–24 July 2021; Volume 139, pp. 6357–6368. [Google Scholar]
- Elgamal, T. A public key cryptosystem and a signature scheme based on discrete logarithms. IEEE Trans. Inf. Theory 1985, 31, 469–472. [Google Scholar] [CrossRef]
- Li, Q.; Diao, Y.; Chen, Q.; He, B. Federated Learning on Non-IID Data Silos: An Experimental Study. In Proceedings of the 2022 IEEE 38th International Conference on Data Engineering (ICDE), Kuala Lumpur, Malaysia, 9–12 May 2022; pp. 965–978. [Google Scholar] [CrossRef]
- Yurochkin, M.; Agarwal, M.; Ghosh, S.; Greenewald, K.; Hoang, N.; Khazaeni, Y. Bayesian Nonparametric Federated Learning of Neural Networks. In Proceedings of the PMLR, 36th International Conference on Machine Learning, Long Beach, CA, USA, 9–15 June 2019; Volume 97, pp. 7252–7261. [Google Scholar]






| Role | Level 1 Receiver | Level 2 Receiver | Level 3 Receiver |
|---|---|---|---|
| Level 1 Sender | 🗸 | × | × |
| Level 2 Sender | 🗸 | 🗸 | × |
| Level 3 Sender | 🗸 | 🗸 | 🗸 |
| i | Encryption Key | Ciphertext | Sanitizer Key | Decryption Key | Decryption Result |
|---|---|---|---|---|---|
| 1 | |||||
| 2 | |||||
| 3 |
| Algorithm | Setup | Enc | San | Dec |
|---|---|---|---|---|
| Time (ms) | 10.97 | 46.02 | 47.81 | 9.66 |
Disclaimer/Publisher’s Note: The statements, opinions and data contained in all publications are solely those of the individual author(s) and contributor(s) and not of MDPI and/or the editor(s). MDPI and/or the editor(s) disclaim responsibility for any injury to people or property resulting from any ideas, methods, instructions or products referred to in the content. |
© 2024 by the authors. Licensee MDPI, Basel, Switzerland. This article is an open access article distributed under the terms and conditions of the Creative Commons Attribution (CC BY) license (https://creativecommons.org/licenses/by/4.0/).
Share and Cite
Wang, J.; Li, J. Blockchain and Access Control Encryption-Empowered IoT Knowledge Sharing for Cloud-Edge Orchestrated Personalized Privacy-Preserving Federated Learning. Appl. Sci. 2024, 14, 1743. https://doi.org/10.3390/app14051743
Wang J, Li J. Blockchain and Access Control Encryption-Empowered IoT Knowledge Sharing for Cloud-Edge Orchestrated Personalized Privacy-Preserving Federated Learning. Applied Sciences. 2024; 14(5):1743. https://doi.org/10.3390/app14051743
Chicago/Turabian StyleWang, Jing, and Jianhua Li. 2024. "Blockchain and Access Control Encryption-Empowered IoT Knowledge Sharing for Cloud-Edge Orchestrated Personalized Privacy-Preserving Federated Learning" Applied Sciences 14, no. 5: 1743. https://doi.org/10.3390/app14051743
APA StyleWang, J., & Li, J. (2024). Blockchain and Access Control Encryption-Empowered IoT Knowledge Sharing for Cloud-Edge Orchestrated Personalized Privacy-Preserving Federated Learning. Applied Sciences, 14(5), 1743. https://doi.org/10.3390/app14051743

