Epilepsy EEG Seizure Prediction Based on the Combination of Graph Convolutional Neural Network Combined with Long- and Short-Term Memory Cell Network
Abstract
1. Introduction
- (1)
- The GCN-LSTM model proposed in this paper consists of multiple layers of graph convolutional networks (GCNs) and long short-term memory (LSTM) units, enabling it to learn features at different levels. At the electrode level of the signal acquisition device, the GCN learns spatial features at various hierarchical depths. Along the time axis, the LSTM network learns temporal sequence features, integrating spatial features with temporal ones to identify highly discriminative features for epilepsy detection.
- (2)
- The performance of the epilepsy seizure detection framework GCN-LSTM proposed in this article was verified using the epilepsy dataset of Boston Children’s Hospital. Compared with several existing models, the framework presented in this paper yields superior results, demonstrating the robust detection capability of the proposed network in the realm of epilepsy EEG recognition.
- (3)
- By analyzing the feature importance, we found the features that have a greater impact on epileptic seizure prediction.
2. Related Work
3. Proposed Method
3.1. System Model
3.2. Dataset and Preprocessing
3.2.1. Dataset Description
3.2.2. Dataset Preprocessing
3.2.3. Feature Extraction
3.2.4. Graph Construction
3.3. Deep Learning Framework
3.3.1. Graph Convolution Module
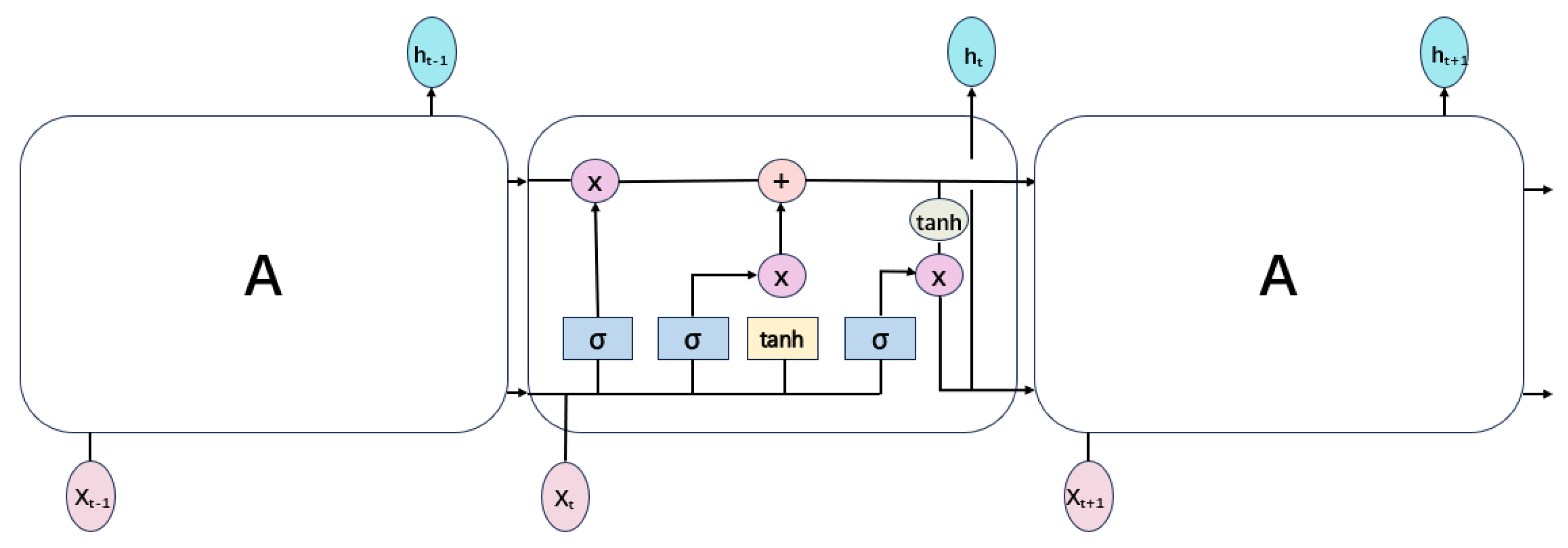
3.3.2. LSTM Timing Sequence Processing Module
4. Experiments and Result Analysis
4.1. Evaluation Index and Algorithm
| Algorithm 1 The training process of GCN-LSTM |
| Input: A labeled training data set , the maximum number of training epochs T, the initial adjacency Matrix A, regularization coefficient Output: The learned adjacency matrix A, the model parameter for GCN-LSTM and the predicted label y’
|
4.2. Experimental Result and Comparison
5. Conclusions
Author Contributions
Funding
Institutional Review Board Statement
Informed Consent Statement
Data Availability Statement
Conflicts of Interest
References
- Santhanam, G.; Ryu, S.I.; Yu, B.M.; Afshar, A.; Shenoy, K.V. A high-performance brain–computer interface. Nature 2006, 442, 195–198. [Google Scholar] [CrossRef] [PubMed]
- Niedermeyer, E.; da Silva, F.L. Electroencephalography: Basic principles, clinical applications, and related fields. Neurology 2006, 67, 2092. [Google Scholar]
- Guerrini, R. Epilepsy in children. Lancet 2006, 367, 499–524. [Google Scholar] [CrossRef] [PubMed]
- Elman, J.L. Finding Structure in Time. Cogn. Sci. 1990, 14, 179–211. [Google Scholar] [CrossRef]
- Bassett, D.S.; Sporns, O. Network neuroscience. Nat. Neurosci. 2017, 20, 353–364. [Google Scholar] [CrossRef]
- Lv, J.; Nguyen, V.T.; van der Meer, J.; Breakspear, M.; Guo, C.C. N-way decomposition: Towards linking concurrent eeg and fmri analysis during natural stimulus. In Proceedings of the 20th International ConferenceMedical Image Computing and Computer Assisted Intervention (MICCAI 2017), Quebec City, QC, Canada, 11–13 September 2017; pp. 382–389. [Google Scholar]
- Scarselli, F.; Gori, M.; Tsoi, A.C.; Hagenbuchner, M.; Monfardini, G. The Graph Neural Network Model. IEEE Trans. Neural Netw. 2009, 20, 61–80. [Google Scholar] [CrossRef]
- Jia, M.; Liu, W.; Duan, J.; Chen, L.; Chen, C.L.P.; Wang, Q.; Zhou, Z. Efficient graph convolutional networks for seizure prediction using scalp EEG. Front. Neurosci. 2022, 16, 967116. [Google Scholar] [CrossRef]
- Tang, S.; Dunnmon, J.; Saab, K.; Zhang, X.; Huang, Q.; Dubost, F.; Rubin, D.L.; Lee-Messer, C. Self-Supervised Graph Neural Networks for Improved Electroencephalographic Seizure Analysis. arXiv 2021, arXiv:2104.08336. [Google Scholar]
- Ge, J.; Xu, G.; Zhang, Y.; Lu, J.; Chen, H.; Meng, X. Joint Optimization of Computation, Communication and Caching in D2D-Assisted Caching-Enhanced MEC System. Electronics 2023, 12, 3249. [Google Scholar] [CrossRef]
- Ge, J.; Xu, G.; Lu, J.; Xu, C.; Sheng, Q.Z.; Zheng, X. FedAGA: A federated learning framework for enhanced inter-client relationship learning. Knowl.-Based Syst. 2024, 286, 111399. [Google Scholar] [CrossRef]
- Acharya, U.R.; Oh, S.L.; Hagiwara, Y.; Tan, J.H.; Adeli, H. Deep convolutional neural network for the automated detection and diagnosis of seizure using EEG signals. Comput. Biol. Med. 2018, 100, 270–278. [Google Scholar] [CrossRef] [PubMed]
- Golmohammadi, M.; Ziyabari, S.; Shah, V.; de Diego, S.L.; Obeid, I.; Picone, J. Deep architectures for automated seizure detection in scalp EEGs. arXiv 2017, arXiv:1712.09776. [Google Scholar]
- Chaddad, A.; Wu, Y.; Kateb, R.; Bouridane, A. Electroencephalography Signal Processing: A Comprehensive Review and Analysis of Methods and Techniques. Sensors 2023, 23, 6434. [Google Scholar] [CrossRef] [PubMed]
- Golmohammadi, M.; Ziyabari, S.; Shah, V.; Von Weltin, E.; Campbell, C.; Obeid, I.; Picone, J. Gated recurrent networks for seizure detection. In Proceedings of the IEEE Signal Processing in Medicine and Biology Symposium (SPMB), Philadelphia, PA, USA, 2–3 December 2017; pp. 1–5. [Google Scholar]
- Golmohammadi, M.; Harati Nejad Torbati, A.H.; Lopez de Diego, S.; Obeid, I.; Picone, J. Automatic analysis of EEGs using big data and hybrid deep learning architectures. Front. Hum. Neurosci. 2019, 13, 76. [Google Scholar] [CrossRef]
- Hu, W.; Cao, J.; Lai, X.; Liu, J. Mean amplitude spectrum based epileptic state classification for seizure prediction using convolutional neural networks. J. Ambient. Intell. Humaniz. Comput. 2023, 14, 15485–15495. [Google Scholar] [CrossRef]
- Yuan, Y.; Xun, G.; Ma, F.; Suo, Q.; Xue, H.; Jia, K.; Zhang, A. A novel channel-aware attention framework for multi-channel eeg seizure detection via multi-view deep learning. In Proceedings of the IEEE EMBS International Conference on Biomedical & Health Informatics (BHI), Las Vegas, NV, USA, 4–7 March 2018; pp. 206–209. [Google Scholar]
- Gasparini, S.; Campolo, M.; Ieracitano, C.; Mammone, N.; Ferlazzo, E.; Sueri, C.; Tripodi, G.G.; Aguglia, U.; Morabito, F.C. Information theoretic-based interpretation of a deep neural network approach in diagnosing psychogenic non-epileptic seizures. Entropy 2018, 20, 43. [Google Scholar] [CrossRef]
- Singh, N.; Dehuri, S. Usage of deep learning in epileptic seizure detection through EEG signal. In Proceeding of the Nanoelectronics, Circuits and Communication Systems (NCCS), Ranchi, India, 27–29 November 2019; pp. 219–228. [Google Scholar]
- Wen, T.; Zhang, Z. Deep convolution neural network and autoencoders-based unsupervised feature learning of EEG signals. IEEE Access 2018, 6, 25399–25410. [Google Scholar] [CrossRef]
- Avcu, M.T.; Zhang, Z.; Chan, D.W.S. Seizure detection using least EEG channels by deep convolutional neural network. In Proceedings of the IEEE International Conference on Acoustics, Speech and Signal Processing (ICASSP), Brighton, UK, 12–17 May 2019; pp. 1120–1124. [Google Scholar]
- Abbasi, M.U.; Rashad, A.; Basalamah, A.; Tariq, M. Detection of epilepsy seizures in neo-natal EEG using LSTM architecture. IEEE Access 2019, 7, 179074–179085. [Google Scholar] [CrossRef]
- Tawhid, M.N.A.; Siuly, S.; Li, T. A convolutional long short-term memory-based neural network for epilepsy detection from EEG. IEEE Trans. Instrum. Meas. 2022, 71, 1–11. [Google Scholar] [CrossRef]
- Shen, M.; Wen, P.; Song, B.; Li, Y. An EEG based real-time epilepsy seizure detection approach using discrete wavelet transform and machine learning methods. Biomed. Signal Process. Control 2022, 77, 103820. [Google Scholar] [CrossRef]
- Sabarivani, A.; Ramadevi, R. Retracted: Detection and classification of epilepsy using hybrid convolutional neural network. Concurr. Eng. 2022, 30, 253–261. [Google Scholar] [CrossRef]
- Deepa, B.; Ramesh, K. Preprocessed CHB-MIT Scalp EEG Database. 2021. Available online: https://ieee-dataport.org/open-access/preprocessed-chb-mit-scalp-eeg-database (accessed on 1 January 2023). [CrossRef]
- Liu, X.; Hu, L.; Wang, S.; Shen, J. Localization of seizure onset zone with epilepsy propagation networks based on graph convolutional network. Biomed. Signal Process. Control 2022, 74, 103489. [Google Scholar] [CrossRef]
- Kipf, T.N.; Welling, M. Semi-supervised classification with graph convolutional networks. arXiv 2016, arXiv:1609.02907. [Google Scholar]
- Defferrard, M.; Bresson, X.; Vandergheynst, P. Convolutional neural networks on graphs with fast localized spectral filtering. In Proceedings of the Advances in Neural Information Processing Systems, Barcelona, Spain, 5–10 December 2016; Volume 29. [Google Scholar]
- Che, C.; Wang, H.; Fu, Q.; Ni, X. Combining Multiple Deep Learning Algorithms for Prognostic and Health Management of Aircraft. Aerosp. Sci. Technol. 2019, 94, 105423. [Google Scholar] [CrossRef]
- Shoeb, A.H. Application of Machine Learning to Epileptic Seizure Onset Detection and Treatment. Ph.D. Thesis, Massachusetts Institute of Technology, Cambridge, MA, USA, 2009. [Google Scholar]
- Yao, X.; Li, X.; Ye, Q.; Huang, Y.; Cheng, Q.; Zhang, G.Q. A robust deep learning approach for automatic classification of seizures against non-seizures. Biomed. Signal Process. Control 2021, 64, 102215. [Google Scholar] [CrossRef]
- Craley, J.; Johnson, E.; Venkataraman, A. Integrating Convolutional Neural Networks And Probabilistic Graphical Modeling For Epileptic Seizure Detection In Multichannel Eeg. In Proceedings of the 26th International Conference Information Processing in Medical Imaging, Hong Kong, China, 2–7 June 2019; Volume 11492, pp. 291–303. [Google Scholar]
- Cao, J.; Zhu, J.; Hu, W.; Kummert, A. Epileptic signal classification with deep EEG features by stacked CNNs. IEEE Trans. Cogn. Dev. Syst. 2019, 12, 709–722. [Google Scholar] [CrossRef]
- Chen, X.; Zheng, Y.; Niu, Y.; Li, C. Epilepsy Classification for Mining Deeper Relationships Between EEG Channels Based on GCN. In Proceedings of the International Conference on Computer Vision, Image and Deep Learning (CVIDL), Nanchang, China, 15–17 May 2020; pp. 701–706. [Google Scholar]
- Serrano, D.R.; Luciano, F.C.; Anaya, B.J.; Ongoren, B.; Kara, A.; Molina, G.; Ramirez, B.I.; Sánchez-Guirales, S.A.; Simon, J.A.; Tomietto, G.; et al. Artificial Intelligence (AI) Applications in Drug Discovery and Drug Delivery: Revolutionizing Personalized Medicine. Pharmaceutics 2024, 16, 1328. [Google Scholar] [CrossRef]
- Sharma, A.K.; Sharma, R. Navigating the Ethical Landscape: Implementing Machine Learning in Smart Healthcare Informatics. Indian J. Community Health 2024, 36, 149–152. [Google Scholar] [CrossRef]












| Layer | Shape | Parameter |
|---|---|---|
| Graph convolution | Number of Features = 128 | |
| Graph convolution | Number of Features = 64 | |
| Full connection | 512 | Number of Features = 512 |
| Layer | Shape | Parameter |
|---|---|---|
| Input | / | |
| Long- and short-term memory cells | Number of features = 512 | |
| Long- and short-term memory cells | Number of features = 512 | |
| Long- and short-term memory cells | Number of features = 512 | |
| Draw | [512] | Take the last moment feature |
| Full connection | [Number of categories] | Number of features = 2 |
| Output | [Number of categories] | Softmax |
| Learning Rate | Hidden | GCN Layer | val_Accuracy (%) | val_Sensitivity (%) | val_Specificity (%) |
|---|---|---|---|---|---|
| 800 | 1 | 94.58 | 96.26 | 92.96 | |
| 2 | 94.40 | 94.72 | 94.09 | ||
| 3 | 95.10 | 93.92 | 96.84 | ||
| 0.002 | 1000 | 1 | 94.58 | 96.26 | 92.96 |
| 2 | 95.37 | 93.55 | 97.14 | ||
| 3 | 94.04 | 91.71 | 96.30 | ||
| 1200 | 1 | 94.89 | 95.95 | 93.85 | |
| 2 | 93.56 | 92.76 | 94.33 | ||
| 3 | 95.28 | 94.17 | 96.36 | ||
| 800 | 1 | 97.15 | 97.57 | 97.22 | |
| 2 | 98.99 | 98.49 | 99.30 | ||
| 3 | 98.21 | 97.83 | 98.74 | ||
| 0.0002 | 1000 | 1 | 98.77 | 98.43 | 99.21 |
| 2 | 99.11 | 99.01 | 99.22 | ||
| 3 | 98.64 | 98.32 | 98.34 | ||
| 1200 | 1 | 98.67 | 98.32 | 98.77 | |
| 2 | 97.35 | 98.01 | 98.31 | ||
| 3 | 97.85 | 97.57 | 98.04 |
| Work | Year | Methord | Acc/% | Spe/% | Sen/% |
|---|---|---|---|---|---|
| Yuan et al. [18] | 2018 | SAE(2) | 96.6 | - | - |
| Yao et al. [33] | 2018 | Bi-LSTM(2) | 87.8 | 87 | 88.63 |
| Wen et al. [21] | 2018 | AE-CDNN(2) | 91 | - | - |
| Jeff et al. [34] | 2019 | PGN-CNN(2) | - | 98.7 | 61 |
| Cao et al. [35] | 2019 | SCNN(3) | 98.62 | - | - |
| Chen et al. [36] | 2020 | E-GCN(2) | 98.35 | - | - |
| Ours(2) | - | GCN-LSTM(2) | 99.39 | - | - |
| Ours(3) | - | GCN-LSTM(3) | 98.69 | 99.12 | 95.72 |
Disclaimer/Publisher’s Note: The statements, opinions and data contained in all publications are solely those of the individual author(s) and contributor(s) and not of MDPI and/or the editor(s). MDPI and/or the editor(s) disclaim responsibility for any injury to people or property resulting from any ideas, methods, instructions or products referred to in the content. |
© 2024 by the authors. Licensee MDPI, Basel, Switzerland. This article is an open access article distributed under the terms and conditions of the Creative Commons Attribution (CC BY) license (https://creativecommons.org/licenses/by/4.0/).
Share and Cite
Kuang, Z.; Liu, S.; Zhao, J.; Wang, L.; Li, Y. Epilepsy EEG Seizure Prediction Based on the Combination of Graph Convolutional Neural Network Combined with Long- and Short-Term Memory Cell Network. Appl. Sci. 2024, 14, 11569. https://doi.org/10.3390/app142411569
Kuang Z, Liu S, Zhao J, Wang L, Li Y. Epilepsy EEG Seizure Prediction Based on the Combination of Graph Convolutional Neural Network Combined with Long- and Short-Term Memory Cell Network. Applied Sciences. 2024; 14(24):11569. https://doi.org/10.3390/app142411569
Chicago/Turabian StyleKuang, Zhejun, Simin Liu, Jian Zhao, Liu Wang, and Yunkai Li. 2024. "Epilepsy EEG Seizure Prediction Based on the Combination of Graph Convolutional Neural Network Combined with Long- and Short-Term Memory Cell Network" Applied Sciences 14, no. 24: 11569. https://doi.org/10.3390/app142411569
APA StyleKuang, Z., Liu, S., Zhao, J., Wang, L., & Li, Y. (2024). Epilepsy EEG Seizure Prediction Based on the Combination of Graph Convolutional Neural Network Combined with Long- and Short-Term Memory Cell Network. Applied Sciences, 14(24), 11569. https://doi.org/10.3390/app142411569

