Abstract
Featured Application
Poly(acrylic acid)/poly(acrylamide) microgels with an IPN structure demonstrate smart behavior with dual pH and temperature responsiveness. Both factors are determinative for human physiology. This, combined with the anionic nature of these microgels, determines their potential as a suitable carrier for the drug delivery of cationic drugs through the gastro-intestinal tract.
Abstract
Microgels with precisely tuned properties are of great importance as drug delivery systems. Here, we report the synthesis of microgel particles (MGs) with an interpenetrating polymer network structure composed of poly(acrylic acid) (PAA) and polyacrylamide (PAAM) for their potential application as cationic drug carriers. The MG properties were investigated via several analytical techniques, such as Dynamic Light Scattering (DLS) and zeta potential (ZP) measurements, Diffusion Nuclear Magnetic Resonance (NMR) spectroscopy, Asymmetrical Flow Field-Flow Fractionation (AF4) and Transmission Electron Microscopy (TEM). The MGs show pH-dependent swelling behavior with a radius of ~100 nm at collapsed state (pH < 4.5) and swell up to ~450 nm (pH~7), while their ZP decreases from −5 to −40 mV, depending on their composition. The results of the conducted studies demonstrate the potential of synthesized microgels for drug delivery in the gastrointestinal tract.
1. Introduction
Micro- and nanosized polymer particles based on hydrophilic polymers are promising drug delivery systems due to their biocompatibility []; stability, when compared to, e.g., micelles and liposomes; controllable size, ranging from micro- to nanoscale; high drug loading capacity and ability for smart response to changes in surrounding media, such as pH, ionic strength, temperature, light, etc. []. pH value determines the degree of ionization of weak polyelectrolytes. In turn, the change in the total charge results in swelling (deswelling) of the polyelectrolyte gel due to the change in balance between polymer elasticity and osmotic pressure []. Drug carriers based on pH-responsive polymers have been shown to be beneficial for controlled drug delivery into the intestine []. Polymer–solvent interactions determine the temperature-dependent swelling of some polymers. Based on their response to changes in the environmental temperature, two main subgroups of polymers (polymeric materials) can be differentiated—(i) polymers with lower critical solution temperature (LCST) behavior, where a phase separation occurs above a certain temperature [] and (ii) polymers with upper critical solution temperature (UCST), where above a certain temperature, the polymer and the respective solvent form a single-phase system []. While both types of polymers are within the scope of controlled drug delivery, the UCST systems offer the advantage of complete release of the loaded drug in contrast to LCST systems [].
Interpenetrating polymer networks (IPNs) are a specific class of polymer materials that could provide well-defined and controllable properties with the proper choice of their constituents as well as of the ratio between them. When polymers with smart responses to different external stimuli are used as IPN constituents, multi-stimuli responsive materials can be obtained. For example, IPNs of poly(acrylic acid) (PAA) and polyacrylamide (PAAM) possess dual stimuli responsiveness to temperature and pH [,]. While the former is due to the hydrogen bonds formed between PAA and PAAM constituent networks, the pH sensitivity is defined by the PAA component: its carboxylic groups have a pKa ~4.5–4.9, which makes the polymer neutral below this pH and positively charged above it. This dual-stimuli-responsive behavior is highly valuable for drug delivery. For example, Saruchi et al. [] studied the release of losartan potassium from the poly(acrylic acid-co-acrylamide)/gum tragacanth IPN at various pH values and found that the rate of drug release increases with increasing pH. Thus, IPNs are an example of a smart drug delivery system that can release a drug on demand depending on the external environment parameters, e.g., pH or temperature. In a previous study, we found that the pH-responsiveness of bulk PAA/PAAM IPNs depends on their composition—the IPNs with higher PAA content tend to swell more with increasing pH. However, it was not the IPN with the highest PAA content that showed the best drug release (of verapamil hydrochloride, VP), but the IPNs with comparable contents of PAA and PAAM. Thus, the drug release was shown to be dependent on the composition of the IPNs as not only the number of negatively charged carboxylic groups (defined by the PAA content), but also the increase in the IPN network density, due to the higher PAAM content and the associated enhanced hydrogen bond formation, are responsible for such behavior [].
IPNs of PAA and PAAM are known to exhibit an upper critical solution temperature (UCST) behavior [,,], which is evidenced by a strong increase in the IPN swelling ratio with increasing temperature. Moreover, the temperature response of the PAAM/PAA IPN is sigmoidal [], while the one of the respective copolymers is gradual and less sharp. This is due to the presence of larger blocks of AA and AAM monomer units in the IPN, as compared to their random copolymers []. At low temperatures, the hydrogen bonds between the PAA and PAAM monomer units are formed, which keep the polymer networks shrunk; meanwhile, upon temperature increase, these are destroyed, releasing part of the polymer chains, and enhancing the IPNs’ swelling ability. Thus, the IPN’s structure defines peculiar properties not attainable by copolymerization.
The IPNs of PAA and PAAM have a specific structure and morphology, which are also dependent on the order of formation of the two constituent networks. Previous studies on IPNs of PAA and PAAM have focused on a case where PAAM is formed as the 1st network followed by in situ PAA formation as the 2nd IPN component. A recent study [] has revealed using modeling that the PAAM network, when synthesized as the 1st network, has good swelling ability in the aqueous solution of the AA monomer, through which PAA is formed as the 2nd network of the PAAM/PAA IPN (we designate it as “straight” IPN). The hydrogen bonds between the H atoms of the AA monomers and amide group from the PAAM network were found to be stronger for the “straight” IPN than those formed when AAM monomer molecules enter the pre-formed 1st PAA network, i.e., in the so-called designated “reverse” IPN []. Thus, the “straight” IPN is homogeneous because PAAM is synthesized first, and its swelling in the AA monomer solution is more pronounced compared to the swelling of the PAA network in the AAM monomer solution, which is the procedure used to obtain the “reverse” IPN. Our studies have confirmed this conclusion by revealing the nanoscale phase separation in the “reverse” PAA/PAAM bulk IPNs [,].
The properties of the bulk PAA/PAAM IPNs have been studied [,,,] and they have been exploited for biomedical applications, showing very good potential as a drug delivery system for VP, as well as a matrix for a biomineralization mimicking approach for hybrid material preparation. In contrast, micro- and nanosized particles based on the “reversed” PAA/PAAM IPNs have not been reported so far, and their potential as smart drug delivery systems has yet to be revealed.
To our knowledge, only three papers have reported micro- and nanogels of PAAM/PAA IPNs, mainly revealing the physicochemical properties of the “straight” IPNs. Owens et al. [] have obtained spherical PAAM/PAA IPN nanoparticles with a diameter ~250 nm, which exhibit unique, rapid sigmoidal swelling transition at ~37–40 °C with temperature, confirming that IPNs have a much sharper swelling response upon temperature increase as compared to the copolymers. Alvarado et al. [] have synthesized pH- and temperature-responsive PAAM/PAA random copolymers as well as IPN nanogels. The latter exhibited a sharp swelling at ~25 °C, associated with their UCST, in contrast to the former, which showed less abrupt swelling with temperature increase. The effect of pH on the swelling of nanogels prepared from either random copolymer or the IPN of PAAM and PAA was more intense than that of temperature. This was driven by the electrostatic interactions between the carboxylic groups of PAA, which are stronger as compared to the hydrogen bonds formed between the amide groups of PAAM and the carboxylic groups of PAA (which define the temperature responsiveness). The authors also studied the ZP of PAAM/PAA IPN nanogels and found that they were less negatively charged as compared to the random copolymer nanogels. This is explained by the fact that the hydrogen bonding between PAA carboxylic groups and PAAM amide groups is stronger in the IPNs due to the closer neighborhood of these groups as compared to the random copolymer. We could not find any reported data so far on micro- and nanogels of the “reverse” PAA/PAAM IPNs.
In previous work, we have found that PAA/PAAM bulk IPNs are good candidates for the oral delivery of VP because its release is pH dependent, with minimal drug release in the stomach where pH = 1.2 and full release in the intestine where pH = 6.8. Moreover, the release profile of VP and the phase-separated structure was dependent on the PAA/PAAM weight ratio [,].
The aim of the present study is to obtain and study the properties of PAA/PAAM IPN MGs, demonstrating that they are materials able to respond to changes in pH and temperature, thus showing potential for drug delivery applications. The “reverse” order of their synthesis as well as their micro size are the factors expected to influence their performance as smart drug delivery system, as compared to their bulk analogs as well as to their “straight” IPN analogs.
2. Materials and Methods
2.1. Materials
Acrylamide (AAM, purum, ≥98.0%) was purchased from Fluka AG, Germany. Acrylic acid (AA, anhydrous, 99%) was purchased from Across Organics, Belgium. Potassium peroxodisulfate (PPS) and N,N′-methylenebisacrylamide (MBAA) were purchased from Sigma-Aldrich (St. Louis, MO, USA). Poly(oxyethylene) lauryl ether (Brij35) and dioctyl sulfosuccinate, sodium salt (96%), were purchased by Acros Organics (Geel, Antwerpen, Belgium). Cyclohexane and absolute ethanol were purchased from Fisher Scientific, UK. All reagents were used as received without further purification. Scheme S1 (Supplementary Materials) represents the structural formulas of the monomers used.
2.2. Methods
2.2.1. IPN MG Synthesis
IPN MGs were synthesized via a sequential approach in an inverse miniemulsion (Scheme S2, Supplementary Materials) consisting of 81 wt. % cyclohexane as a continuous phase, 13 wt. % AOT–Brij 35 (2:1 ratio) as surfactant, and 6 wt. % aqueous phase containing both monomers AA and AAM in different volume ratios for the preparation of IPN MGs with different compositions (Table 1). In a typical experiment, a two-neck round bottom flask was charged with the whole amount of the solvent (cyclohexane) and the mixed surfactant and stirred with a magnetic stirrer (750 rpm) at 25 °C for 60 min. To this solution, the desired volume of AA aqueous solution was added under constant stirring at 750 rpm, and the reaction mixture was homogenized by Ultra-Turrax, IKA, Wilmington, NC, at 24,000 rpm for 5 min. The AA aqueous solution contained 10 wt. % monomer, 0.5 mol. % initiator K2S2O8, and 4 mol. % crosslinking agent MBAA, with both the initiator and crosslinking agent concentrations being calculated related to the monomer (AA). After the homogenization, the AA crosslinking polymerization was performed by keeping the reaction vessel at 60 °C for 2.5 h.

Table 1.
Initial monomer feed composition and the respective IPN PAA/PAAM MG.
The next stage of the IPNs’ synthesis started with the addition of the desired volume of AAM solution to the reaction vessel at room temperature. AAM aqueous solution contained 10 mol. % AAM as monomer, 0.5 mol % initiator K2S2O8, and 0.1 mol % crosslinking agent MBAA, and both the initiator and crosslinking agent concentrations were calculated in relation to the AAM amount. After homogenization, the vessel was immersed in 60 °C water bath for 2.5 h to carry out the AAM crosslinking polymerization in situ in the PAA nanogels. The described procedure resulted in the formation of PAA/PAAM IPN MGs. By varying the volume of the aqueous solutions of both monomers AA and AAM, keeping the total aqueous phase content at 6 wt. %, IPN MGs with different PAA to PAAM weight ratios were obtained (Table 1).
This procedure was adapted from [] but modified in three ways: (i) PAA was synthesized at the first stage here instead of PAAM, as performed by Owens et al. []; (ii) we used a ~40 times higher concentration of the crosslinking agent for the 1st network (PAA) as compared to the 2nd network (PAAM); and (ii) Brij 35 was used instead of Brij 30.
Using only the 1st stage of the procedure described above, MGs from PAA and PAAM homopolymers were prepared for the sake of comparison.
In the next step, the formed MGs were purified to remove the cyclohexane phase. For this purpose, a rotary vacuum evaporator (Laborota 4000, Heidolph Instruments GmbH & Co. KG, Schwabach, Germany) was used at 40 °C and a reduced pressure of 235 mbar. The solvent evaporation was followed by washing the microgels from the surfactant with 25 mL of absolute ethanol and centrifugation at 4000 rpm for 60 min (Centrifuge 5804, Eppendorf, Hamburg, Germany). The washing procedure was repeated five times. Thus, the obtained polymer microgels were resuspended in water and the solution was placed in a dialysis membrane with a cut off of 12 kDa against Millipore water, changing with fresh water twice a day in order to remove the unreacted reagents (followed by UV). The IPN MGs were then freeze-dried and used for further investigations.
2.2.2. Characterization of MG
The freeze-dried IPN MGs were resuspended in water and their aqueous solutions with 1 mg/mL concentration were further used if not mentioned otherwise.
- Dynamic Light Scattering (DLS)
DLS measurements were conducted using a DynaPro NanoStar instrument (Wyatt Technology, Goleta, CA, USA) that utilizes a 658 nm laser. The system supports both Static and Dynamic Light Scattering Detection at a 90° angle in batch mode and operates across a temperature range of −15 to 150 °C. Data were captured by an avalanche photodiode with a temporal resolution of 100 ns, and analysis of the collected data was carried out using the DYNAMICS software (version 7.10.1.21) provided by Wyatt Technology. Each value of Rh was obtained via triplicate sample measurements, and the standard errors were determined.
- Zeta Potential ξ (ZP) measurements
The ξ of MG was determined by electrophoresis using a Malvern Zetasizer NanoS (Malvern, UK). The measuring cell was a disposable cell of polycarbonate with gold-plated electrodes. The electrolyte solution was 10−3 mol/L KCl. Each ξ value was obtained via triplicate sample measurements, and the standard errors were determined.
- pH titration
The freeze-dried MGs were resuspended in water, and their aqueous solutions with 1 mg/mL concentration in 0.001 M KCl were obtained, the latter being added to increase the ionic mobility. The ξ potential and hydrodynamic radius of MG were determined as described above. pH was changed over the range 2–10, using 0.1 M HCl and 0.1 M KOH. Each value of Rh and ξ was obtained via triplicate sample measurements, and the standard errors were determined.
- Transmission Electron Microscopy (TEM)
TEM JEOL 2100 operating at 200 kV was used for the TEM investigations. The specimens were prepared by resuspending the freeze-dried MG powders with 1 mg/mL concentration into Millipore water using ultrasonic treatment for 3 min and dripped on standard holey carbon/Cu grids.
- Nuclear Magnetic Resonance (NMR)
The NMR spectra were measured on a Bruker Avance II+ 600 NMR spectrometer, equipped with a 5 mm dual 1H/31P Diff30 probe and a 40A gradient amplifier, providing a maximum gradient strength of 11.8 Tm−1. 1H NMR spectra were measured with 32 K time domain points, a spectral width of 7200 Hz, and 128 scans. The following experimental parameters were used for the acquisition of the DOSY spectra: double-stimulated echo pulse sequence (to compensate for possible convection artifacts), monopolar sine-shaped gradient pulses, a gradient recovery delay τ of 100 µs, a longitudinal eddy current delay of 5 ms, and three spoiling gradients. The spectra were recorded with 32K time domain data points in t2 dimension, 32 gradient strength increments, linearly incremented from 10 to typically 50% of the maximum gradient output (78 to 392 G cm−1). For each gradient step, 64 scans and a relaxation delay of 2 s were used. Several experiments with different combinations of δ (from 2 to 10 ms) and Δ (from 50 to 250 ms) were measured to optimize the signal attenuation. The optimal values of δ and Δ used for all measurements were 3 ms and 100 ms, respectively. The air conditioning and the probe air flow were switched off during the experiments to minimize the temperature variations. Temperature regulation was achieved by the water-cooling system of the Diff30 probe. Exponential window function (line broadening factor 5), 64K data points in F2, and 258 data points in the diffusion dimension were used for spectra processing. To calculate the diffusion coefficients, the diffusion profiles (the normalized signal intensity as a function of the gradient strength G at the chemical shift in selected signals in the DOSY spectrum) were fitted with an exponential function using a Stejskal–Tanner equation adapted to the particular pulse sequence used. The apparent hydrodynamic radius, Rh, of the particles was calculated using the Stokes–Einstein Equation (1), assuming spherical shape approximation and the obtained value of the diffusion coefficient, D:
where T is the temperature (K), k is the Boltzmann constant (1.38064852 × 10−23 m2 kg s−2 K−1), and η is the solvent viscosity at the given temperature.
- Asymmetrical Flow Field-Flow Fractionation (AF4)
Fractionation was performed on an Eclipse DUALTEC AF4 system (Wyatt Technologies Europe, Dernbach, Germany) with an Agilent pump system (1260er series) in a short channel with a height of 350 µm and 0.02% aqueous NaN3 solution as eluent.
The spacer material for the channel, made of poly(tetrafluoroethylene) (PTFE), had a thickness of 490 μm, with channel dimensions extending 26.5 cm in length and tapering from a width of 2.1 cm to 0.6 cm. Regenerated cellulose membranes with a molecular weight cutoff of 10 kDa (Superon GmbH, Dernbach, Germany) served as the accumulation barrier. Flow rates were precisely managed using an isocratic pump (1200 series, Agilent Technologies, Santa Clara, CA, USA) equipped with a vacuum degassing unit. Detection was carried out with a DLS detector (DynaPro NanoStar, Wyatt Technologies, Santa Barbara, CA, USA) and a refractive index (RI) detector (Optilab T-rEX, Wyatt Technology Europe GmbH, Dernbach, Germany), both operating at a wavelength of 658 nm.
During standard AF4 operations, the channel flow rate (Fc) was maintained at 0.8 mL/min. Unless indicated otherwise, the focus flow rate (Ff) was set at 2.5 mL/min and applied for 5 min. Each fractogram presented reflects data from three independent measurements, showing the elution phase starting immediately after the transition from focusing to elution. Typically, an injection volume of 50 μL was employed. For online DLS analysis, the sample loading was increased to 150 µg (corresponding to a 1 mg/mL solution) to ensure reliable data and reduce scatterings.
Overloading effects are not considered as they do not affect the Rh data. Unless otherwise stated, the cross-flow rate (Fx) during the elution step was optimized by an exponential Fx decay with a curve factor of 1 from 1 to 0 mL/min in 30 min (method A). To improve the void peak separation of sample PC75, the initial Fx was increased to 2 mL/min with an exponential decay, with a curve factor of 1 to 0 mL/min in 30 min (method B). Data processing was performed by using Astra software (version 6). The angular dependence was calculated by using a 2nd order Berry fit. The profile of the AF4 separation method is shown in Figure 1.

Figure 1.
AF4 flow profiles for the separation of IPN MGs.
3. Results
The PAA/PAAM IPN microgels were synthesized with different ratios between both component networks, as reflected by the weight fraction of PAA in IPN MG (, Table 1).
3.1. pH Responsiveness of PAA/PAAM IPN MGs
The hydrodynamic radius (Rh) of PAA/PAAM IPN MGs under varying pH, as revealed by DLS, is shown in Figure 2. The MGs of the neat PAAM (sample PC0, Table 1) showed no pH dependence, which was expected since they were neutral within the studied pH range (pKa of PAAm is ~15 []) (Figure 2A). The size of PAAM MGs was constant, being around ~200 nm for all studied pH values. In contrast, the Rh of the neat PAA MGs (sample PC100, Table 1) was pH dependent (Figure 2A) due to the ionization of the AA moieties (pKa of PAA is ~4.5–4.9 []). The Rh values of the neat PAA MGs gradually increased from ~200 nm at pH~2 to ~500 nm at pH~6, where PAA carboxyl groups are known to be almost entirely transformed into carboxylates []. A further increase in pH did not significantly affect the neat PAA MGs and their size remains ~500 nm up to pH = 10 (Figure 2A). The observed plateau indirectly confirms that most of the acidic groups in PAA were converted into carboxylate anions [] as well as that the MGs reached their maximum swelling ratio, which was limited by their chemical crosslinking.

Figure 2.
Hydrodynamic radii, determined by DLS, of (A) neat PAAM MGd (PC0), neat PAA MGd (PC100), and (B) PAA/PAAM IPN MGs as a function of pH.
All IPN MGs (Table 1) exhibited a pH-dependent size behavior similar to that of neat PAA MGs (Figure 2B). At pH < 4, the Rh of the IPN MGs increased for all IPNs’ compositions due to the hydrophilic nature of their constituents. When the pH approached the pKa of PAA, the size of the IPN MGs continued to gradually increase, reaching a maximum size at pH~6, similar to the neat PAA MG (Figure 2A). A further increase in pH did not seem to affect the IPN MGs’ Rh, which remained almost constant for all IPN compositions up to pH 10, as was also observed for the neat PAA MGs. The increase in IPN MGs’ size was defined by the ionization of the AA moieties, as described above—at pH~6, almost all carboxyl groups in the AA monomer units were ionized, thus strongly repulsing each other and increasing the Rh of the MGs. The MG radii of the IPNs levelled off after pH~6 because all the -COOH groups were ionized and thus the further pH increase did not change the ionization of the carboxyl groups, i.e., did not further increase the number of anions. At the same time, the chemical crosslinking limited the MG swelling and defined the plateau in the pH dependence of their hydrodynamic radius.
The IPNs’ composition also influenced the Rh of the IPN MGs (Figure 2B). The contribution of the second IPN component, PAAM, to the hydrodynamic radius of the IPN MGs can be seen by comparing the radii of the neat PAA MGs (Figure 2A) and of IPN MGs with a higher PAA content (e.g., PC75 and PC50, Table 1) (Figure 2B). The hydrodynamic radius of IPN MGs at pH > 5 was higher as compared to the neat PAA MGs, and this was due to the presence of the 2nd network PAAM, which physically increased the volume of the MGs—a larger polymer amount built up the IPN MGs as compared to the homopolymeric MGs. In addition, PAAM is a hydrophilic polymer superabsorbent, which imparts an additional swelling capacity in water to the IPN MGs.
Thus, two factors played a role in the observed behavior of the IPN MGs, namely the conversion of PAA into polyanion at pH > 5 and the ability of PAAM to swell but also to form hydrogen bonds among itself as well as with the carboxyl groups of PAA. Four scenarios can be described.
(1) At low pH and for MGs with prevailing PAA content, the MGs shrunk due to the hydrogen bond formation between both PAA and PAAM as well as between their own macromolecules, e.g., PAA-PAA and PAAM-PAAM. (2) Upon pH increase and after it became higher than 6, the carboxyl groups transformed into anions and the hydrogen bonds in which they participated were destroyed, allowing the MGs to expand more, and this expansion was additionally enhanced by the repulsion between the -COO− groups. (3) At low pH and for MGs with predominant PAAM in their composition, the same is valid as described above—hydrogen bonds formed between PAA and PAAM, as well as PAA-PAA and PAAM-PAAM. Therefore, for the low-pH region, we observed almost the same Rh for all studied MG compositions and their Rh increased linearly but also in a very similar way because the governing forces were the same (Figure S1 and Table S1, Supplementary Information). (4) With increasing pH, again, the hydrogen bonds started to disappear due to the formation of anions, but this time the swelling was controlled by the PAAM component (as it is prevailing), and since PAAM can swell significantly in water (it is superabsorbent), the relative increase in its size was higher as compared to the MGs where PAA was more abundant (Scheme 1).

Scheme 1.
PC25 and PC75 as differing in the ratio between the two polymer networks PAA (black) and PAAM (red).
To illustrate the effect of the PAAM content on the Rh dependence of the pH outlined above, we created Figure 3. Here, the relative increase in the MG diameters, defined as the ratio (RpH/Rmin) between the hydrodynamic radius of IPN MGs at different pH (RpH) levels and the hydrodynamic radius of the same IPN MGs at the lowest pH = 2.6 (Rmin), is presented as a function of pH. As can be seen from Figure 3, the higher the PAAM content, the higher the relative increase in the Rh. For example, the MGs with a higher PAAM content (PC25) showed the strongest increase in their size as compared to their size at pH = 2, while on the contrary for PC75, the relative increase in MG size was not as big, which is fully in line with the explanation provided above.

Figure 3.
Relative increase in the Rh of IPN MGs as a function of pH (compared to their initial radius at pH 2.6) calculated by the Rh data obtained by DLS.
In all cases, the IPN MGs with 66 mol. % PAA (PC66, Table 1) did not follow the above outlined dependencies. Their different behavior could be explained by the strong complexation between PAA and PAAM when in a 1:1 stoichiometric ratio, resulting in the formation of insoluble interpolymer complexes []. The slight deviation from the 1:1 stoichiometry could be explained by the inverse emulsion polymerization conditions, used in the current study. Under such conditions, AAM is known to remain in the water phase, while AA can partially “go” to the oil phase []. Thus, the PC66 MGs most likely have a lower AA content, i.e., closer to the 1:1 ratio, which defines the strong complexation mentioned above. It should be mentioned here that the IPN MG compositions, including the one with 66 mol. % AA in the IPN MGs, were obtained when using the PAA and PAAM conversions derived during the formation of their bulk analogues PAA/PAAM (Table 1, Materials and Methods section). Under inverse emulsion polymerization conditions, conversions close to 100% conversion were reported for PAAm MG, while for AA monomer, it was reported to be around 60% due to the partitioning of the AA monomer between the aqueous and the oil phases [].
In summary, due to the IPNs’ interlaced structure and the strong complexation between the two PAA and PAAM components, when in equimolar ratio, PC66 MGs have a compact shrunken structure, which was additionally fixed by the chemical crosslinking. Thus, the combination of the stoichiometric interpolymer complexes with the specific IPN structure defines the different way PC66 behaves as compared to the other IPN MGs.
3.2. pH-Dependent Zeta Potential (ZP) of MG
The pH dependence of ZP for the PAA MGs (PC100, Figure 4A) supports the results obtained for the pH dependence of their Rh (Figure 2A). In the following section, the absolute value of zeta potential |ZP|, reflecting the charge density, is discussed. Generally, the |ZP| of both PAA and PAAM MGs increased with increasing pH. The increase in |ZP| for PAA MG was due to the ionization of carboxyl groups, which reached a maximum at pH 6 and remained constant at higher pH levels. It was enhanced by the adsorption of negative ions (OH−), especially at low pH, when PAA was only weakly ionized. The isoelectric point (iep) at pH < 3 is typical for surfaces with dissociable acidic groups. Surfaces without dissociable groups normally exhibit an iep around pH 4 and—above pH 4—an increase in the |ZP| with increasing pH due to the adsorption of OH- ions on all surfaces. This should also account for PAAm. However, the measured iep of PAAM at pH << 2 is too low. An iep lower than that of the acidic PAA means that PAAM is more acidic than PAA. This low iep can therefore only be an effect of acidic contaminations by the surfactant or initiator—which, vice versa, could also affect the charge of the surface.

Figure 4.
Zeta potential as a function of pH of (A) homopolymeric MGs and (B) differently composed IPN MGs.
The ZP of the PAA MGs reflects the increased ionization of COOH groups with the increasing pH. As result of the ionization, PAA became more hydrophilic, and the negatively charged PAA chains repelled each other. Therefore, the MG absorbed water and swelled. The |ZP| of PAAM also increased not due to ionization, but due to OH- adsorption, if impurities are neglected. Therefore, the polymer chains remained unchanged, and the MGs did not swell.
For the different IPNs, there was a marginal tendency towards lower |ZP| for higher PAA content at lower pH levels (except for PC66). However, this tendency was very small and almost invisible in the alkaline range due to the large measurement error. The small influence of the PAA content on the zeta potential (and also on the swelling ratio) was probably due to the fact that the ionized PAA chains swelled and determined the surface charge, while the hydrophobic part of PAA remained inside the MGs.
3.3. NMR Study of IPN MGs
To explain the observed negative ZP of the PAAM MGs, we measured the 1H and 13C NMR spectra of polyacrylamide (PAAM) (Sigma Aldrich) and PAAM MGs (PC0) at three different pH values (2.0, 7 and 11) after incubation at the respective pH for 1 h, mimicking the procedure through which the pH dependence of ZP was obtained (Figures S1 and S2, Supplementary Materials). The 13C spectra of PAAM and PAAM MGs show a resonance at 181 ppm characteristic for the carbon atom of the –CONH2 group. The chemical shift of this resonance remained constant at all pH values for both PAAM and PAAM MGs, indicating that there was no hydrolysis (Figure S3). The 1H and 13C spectra of the PAAM MGs show the presence of small amounts of the surfactants AOT and Brij35 used during the MG synthetic procedure. Therefore, we confirm the assumption made based on ZP results (see previous section) that the remaining small amount of the anionic surfactant AOT, which has a negatively charged sulfo group in its molecule, could be the reason for the observed negative ZP of the PAAM MGs. Another possible reason could be the presence of sulfate ions coming from the initiator (K2S2O8), which remain bound to the polymer chain ends. The slight decrease in ZP could be explained by the exposure of more initiator-ended chains from the IPN due to the MG expansion with pH increase.
3.4. Transmission Electron Microscopy (TEM) Study of IPN MGs
The TEM images show that the obtained PAA/PAAM IPN MGs were in the sub-nanometer range when dried (Figure 5). The PC75 dry particles were less than 100 nm in diameter and formed agglomerates upon drying. Their nanoscale phase-separated structure is clearly visible (Figure 5B), consisting of loosely crosslinked PAAM domains (brighter spots) dispersed within the matrix from the denser PAA network, which was prepared using ~40 times higher crosslinking agent and thus appears darker (Figure 5B). In Figure 5C, the PC25 MGs are seen to be smaller in the dry state as compared to PC75, and no phase separation was observed for them (Figure 5D).

Figure 5.
TEM images of PAA/PAAM IPN MGs with two different compositions: (A,B) PC75 and (D,E) PC25, with their respective schematical representations (C,F) (PAA (black) and PAAM (red)).
These findings are consistent with our previous reports that the phase-separated morphology is observed for the “reverse” bulk PAA/PAAM IPNs []. The predicted reduced ability of AAM monomer solution to enter the preformed 1st network of PAA in the PAA/PAAM IPN [] may have also contributed to the observed phase separation. Thus, the IPN MGs, similar to their bulk analogs, have a phase-separated morphology which depends on their composition.
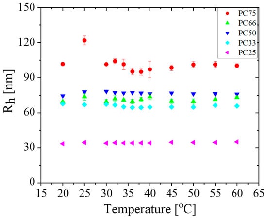
3.5. Temperature Responsiveness of IPN MGs
Diffusion-ordered NMR spectroscopy (DOSY) was used to study the temperature-responsiveness of PAA/PAAM IPN MGs. Diffusion NMR spectroscopy based on Pulsed Field Gradient NMR (PFG NMR) is a convenient non-destructive method for the investigation of translational molecular motion at the micrometer scale, allowing for the measurement of the translational diffusion coefficient of particles. DOSY has been recognized as a useful approach for the analysis of complex mixtures. The method exploits the differences in diffusion coefficients and particle sizes to separate the signals from the different components in a mixture. The DOSY spectrum is a two-dimensional map with a horizontal dimension representing the chemical shifts and a vertical dimension representing the diffusion coefficients, usually in a logarithmic format. The determined translational diffusion coefficient could be further used to calculate the size of the particles by applying an appropriate shape model. In this study, we used the Stokes–Einstein equation to calculate the apparent hydrodynamic radius, Rh, of the MG, assuming spherical-shaped particles (see Section 2). As an example, Figure 6 shows the DOSY spectrum of sample PC66, measured in D2O at 311K and pD = 5.27.

Figure 6.
DOSY spectrum of PC66 at 311 K and pD = 5.27.
The temperature dependence of Rh for PC66, calculated from the translational diffusion coefficients determined by DOSY measurements as a function of temperature at two different pD values, is presented in Figure 7.

Figure 7.
Hydrodynamic radius (Rh) temperature dependence at two pD values as revealed by DOSY for sample PC66.
The NMR data indicate that the Rh of the PC66 MGs slightly increased linearly with increasing temperature and that the particle size was larger in alkaline media; however, the IPN MGs did not show temperature sensitivity in either acidic or alkaline pH in the studied temperature range (Figure 7). This result, obtained by NMR, was confirmed by DLS measurements made in distilled water at pH = 7 (Figure 8). This reveals that no real temperature responsiveness was observed for any of the IPN MGs at neutral pH.

Figure 8.
Temperature responsiveness of PAA/PAAM IPN MGs with different compositions in distilled water, as revealed by DLS.
However, at pH~5, both methods, NMR and DLS, registered an upper critical solution temperature (UCST) for the PC66 MGs (Figure 9). The abrupt volume increase in the IPN MGs at the UCST was due to the disruption of the hydrogen bonds between PAA and PAAM. Both methods registered similar values for UCST around 37 °C, which deems these MGs appropriate for drug delivery.

Figure 9.
Hydrodynamic radius (Rh) temperature dependence at pH~5, as revealed by DOSY (A) and DLS (B) for sample PC66.
3.6. Asymmetrical Flow Field-Flow Fractionation (AF4)
AF4 measurements were carried out using Light Scattering Detection to determine the average molar masses and sizes of the particles in pure water at pH~7. Depending on the composition of the MG, these molecular parameters of the IPNs changed (see Table 2). IPN MGs with a low amount of PAA (PC25) possess properties similar to those of the neat PAA particles (PC100). As the PAAM content increased, the particles became progressively smaller and more spherical. In the case of PC50, the highest dispersity can be observed. The detector signals (RI and LS, see Figure 10A) of the AF4 measurements show multimodality. Obviously, there was a second fraction of non-crosslinked polymers with significantly lower molar masses and another conformation than the main particle fraction.

Table 2.
dn/dc values and AF4-LS results for IPN MGs.

Figure 10.
AF4 fractograms for samples PC 50 (A), molar masses (symbols) and PC 75 (B), and PC 33 (C), Rh (symbols); LS signal (solid line), RI signal (broken line) vs. elution time.
PC75 shows a very high void peak that can be assigned to very large particles or agglomerated structures that are not well separated. By optimizing the AF4 parameters (method B, see Section 2), a separation of IPN particles from large agglomerates is possible (see Figure 10B) and the average molar mass and radii can be determined. Nevertheless, overloading and slight co-elution was observed. PC100 particles were significantly larger and possessed higher molar masses than the other samples (Figure S4, Supplementary Materials). The size increase was previously revealed by batch DLS with increasing pH.
AF4-LS was used to determine both the averages of the hydrodynamic radius and the radius of gyration. The absolute Rh values increased with increasing PAA content in the IPN MGs. The ratio ρ = Rg/Rh delivers information about the molecular conformation (see Table 2). Most of the MGs had a very compact, spherical shape close to a hard sphere (theoretical value ρ = 0.778); meanwhile, the homopolymer MGs (PC100 and PC0) possessed a more open and heterogeneous shape, as typical for polymer coils [].
These findings are in line with the strong complexation described above between PAA and PAAM when they are in stoichiometric 1:1 ratio. The IPN MGs with a composition close to this ratio have the most compact structure, as revealed by the Rg/Rh value (Table 2). Thus, AF4 results confirm that the IPN MGs’ composition strongly influences their structure and properties.
4. Discussion
Microgels based on poly(acrylic acid) are pH responsive and suitable for oral drug delivery. At the low pH of the stomach, such microgels retain their hydrophobic, collapsed state, providing both protection of the drug against degradation in the stomach and minimal stomach release. This has been shown to be beneficial for the oral delivery of different drugs [,]. In addition, the targeted intestinal delivery may be beneficial for the treatment of certain diseases. A study from Knipe et al. demonstrates the delivery of siRNA to the intestinal regions with poly(methacrylic acid-co-N-vinyl-2-pyrrolidone) nanogels, owing the potential for the treatment of inflammatory bowel disease [].
In this study, a series of PAA/PAAM MGs with an IPN structure and varying weight fractions of the PAA component were obtained. All IPN MG as well as the PAA SN MGs exhibited pH-dependent swelling behavior, as revealed by DLS (Figure 2). At pH~5, the pendant -COOH groups of PAA started to deprotonate and turn into -COO− anions, like their bulk analogues we synthesized previously []. Under physiological conditions where the gastric pH is ~1.2, i.e., below the pKa, and pH~7.4 in the intestines [], such behavior is beneficial for the delivery of drug molecules to the intestine. As has been demonstrated, this can provide a sustained drug release profile with enhanced drug bioavailability []. Ahmad et al. demonstrated that hydrogel particles of bacterial cellulose grafted with poly(acrylic acid) show a pH-responsive in vitro release of insulin to the colon, thus improving its oral bioavailability and exhibiting better hypoglycemic effects []. The |ZP| is known to directly affect the stability of suspensions as well as the interaction between charged drugs and polymeric microspheres []. The |ZP| values of the SNs and IPNs synthesized in this study showed a tendency to decrease with increasing pH up to pH~5, while their values decreased from ~−5 mV to ~−40 mV, depending on the MG composition (Figure 4). Baghersad et al. studied the potential of polyanionic pH-sensitive poly(2-acrylamido-2-methyl-1-propanesulfonic acid) (PAMPS) for the controlled delivery of the cationic drug doxorubicin. It was shown that the electrostatic attraction forces between the sulfonate groups of PAMPS favor drug loading and allow for a controlled release patterns with cumulative Dox release of 20% and 70% at pH 7.4 and 5.5, respectively []. Similarly, PAA/PAAM IPN MGs can be beneficial for the controlled release of cationic drugs by electrostatic attraction determined by the PAA pendant -COO− groups at pH levels above pKa. Another factor contributing to the in vivo performance of such microgels is their temperature responsiveness. As was revealed by NMR, the temperature responsiveness of the PAA/PAA MGs was determined by pH (Figure 7 and Figure 9). Such pH-defined temperature responsiveness is reported for the “straight” PAAM/PAA IPN nanogels at pH = 3 []. The authors report an abrupt change in the swelling degree of the IPN MGs as compared to the PAA-co-PAAM MGs at pH = 3. The higher pH at which we observed temperature responsiveness could be explained in terms of the parameters that influence the formation of PAA-PAAM interpolymer complexes. Mun et al. [] have reported that three parameters influence the critical pH values of the complexation between PAA and PAAM, namely an increase in polymer concentration, the molecular weight of PAA, and ionic strength favor the complexation and shift the critical pH values to the higher pH region. Thus, the high polymer content in the IPNs most probably contributed to the higher pH at which the formation of the PAA-PAAM complex started.
The different values of the IPN MG sizes that were obtained by both methods, NMR and DLS, were expected as they were received by measuring different properties of the IPN MGs, namely scattered light (DLS) vs. diffusion coefficient (NMR). However, both methods registered the same IPN MG behavior, demonstrating the ability of the IPN MGs to respond to temperature at pH~5. This pH value is closer to that of real biological systems, as compared to the “straight” IPNs which exhibit temperature responsiveness at a lower pH~3 [,]. Thus, the “reverse” PAA/PAAM IPN MGs could ensure drug release at “body-like” conditions, namely 37 °C and pH~5, which makes them appropriate for drug release systems triggered by external stimuli changes.
An important feature of such colloidal systems is their stability. As mentioned above, the |ZP| of the PAA/PAAM IPN MGs was influenced by pH and decreased to ~40 mV. For pharmaceutical applications, a |ZP| > ±30 mV ensures stability []. Assuming this, and as seen in Figure 4, the PAA/PAA MGs can be considered colloidally stable at pH levels above 4.5, which corresponds with the pKa of the PAA pendant carboxyl groups []. The colloidal properties of stimuli-responsive microgels are discussed in a comprehensive review by Agrawal et al. []. Regarding the stability of the microgels against degradation, it can be assumed that no degradation should occur under normal physiological conditions. The MGs synthesized in this study were formed through the copolymerization between the PAA (or PAAM) monomer and the bifunctional crosslinking agent MBAA. In other words, our MGs do not contain any cleavable crosslinks, and no bond breaking can occur, unlike other cases where this effect is desirable [].
The toxicity, cytotoxicity, and the biocompatibility of these MGs are of great importance. Previous studies demonstrate that PAA and PAAM composite nanogels do not exhibit cytotoxicity against A549 cells and NIH3T3 fibroblasts [,]. On the contrary, PAA appears to have a dose-dependent cytotoxic effect on MCF-7 and L-929 cells. PAA causes morphological deformation of the nucleus, and as a result the cells shrink, lose surface extension, and their surface coverage decreases []. Therefore, the potential toxicity of PAA/PAAM IPN MGs needs to be investigated.
5. Conclusions
PAA/PAAM MGs with an IPN structure were synthesized and their response to temperature and pH was studied. In contrast to the previously reported so far “straight” PAAM/PAA IPN nanogels, where the order of the network formation starts with PAAM followed by PAA formation, here the “reverse” PAA/PAAM IPN MGs were obtained. The synthesized IPN MGs show pH and temperature responsiveness, as revealed by DLS and diffusion NMR spectroscopy. A phase-separated structure was observed for some of the IPN compositions, which was similar to their bulk analogues and was due to the “reverse” order of the IPNs’ formation. Depending on their composition and when close to a 1:1 stoichiometric ratio, the IPN MGs have a very compact, spherical shape close to a hard sphere, in contrast to the neat PAA and PAAM MGs which possess a more open and heterogeneous shape typical for polymer coils. The results of this study indicate that PAA/PAAM IPN MGs have good potential for drug delivery and also show a smart response to pH and temperature. Testing these novel materials in real drug delivery applications is planned.
Supplementary Materials
The following supporting information can be downloaded at https://www.mdpi.com/article/10.3390/app142411562/s1, Scheme S1. Structural formulas of poly(acrylic acid) (A) and polyacrylamide (B). Scheme S2. Synthesis of PAA/PAAM IPN MGs via inverse miniemulsion method. Figure S1. Relative increase of the Rh of IPN MGs as a function of pH (compared to their initial radius at pH 2.6) calculated by the Rh data obtained by DLS, for pH ≤ 5. Figure S2. 1H NMR spectra of PAAM and PAAM MG at three different pH values. Figure S3. 13C NMR spectra of PAAM and PAAM MG at three different pH values (only the characteristic region for CONH2 (COOH) groups is presented). Figure S4. AF4 fractograms for samples PC0 (A), PC25 (B) and PC100 (C) molar masses (symbols), LS signal (solid line), RI signal (broken line) and vs. elution time. Table S1. Regression analysis data for the relative increase of the Rh of IPN MGs, for pH ≤ 5.
Author Contributions
Conceptualization: M.S. and E.V.; methodology: M.S. and P.S.; AF4 analysis and interpretation S.B. and A.L.; data curation: M.S. and P.S.; writing: M.S., S.B. and E.V.; original draft preparation: M.S. and E.V.; project administration: E.V. All authors have read and agreed to the published version of the manuscript.
Funding
This research was funded by DAAD, Grant number DNTS Germany 01/12.
Institutional Review Board Statement
Not applicable.
Informed Consent Statement
Not applicable.
Data Availability Statement
Dataset is available on request from the authors.
Acknowledgments
Research equipment of Distributed Research Infrastructure INFRAMAT, part of Bulgarian National Roadmap for Research Infrastructures, supported by Bulgarian Ministry of Education and Science was used in this investigation.
Conflicts of Interest
The authors declare no conflicts of interest.
References
- Sanson, N.; Rieger, J. Synthesis of Nanogels/Microgels by Conventional and Controlled Radical Crosslinking Copolymerization. Polym. Chem. 2010, 1, 965. [Google Scholar] [CrossRef]
- Kabanov, A.V.; Vinogradov, S.V. Nanogels as Pharmaceutical Carriers: Finite Networks of Infinite Capabilities. Angew. Chem. Int. Ed. 2009, 48, 5418–5429. [Google Scholar] [CrossRef] [PubMed]
- Liu, L.; Yao, W.; Rao, Y.; Lu, X.; Gao, J. pH-Responsive Carriers for Oral Drug Delivery: Challenges and Opportunities of Current Platforms. Drug Deliv. 2017, 24, 569–581. [Google Scholar] [CrossRef] [PubMed]
- Nishi, K.; Hiroi, T.; Hashimoto, K.; Fujii, K.; Han, Y.S.; Kim, T.H.; Katsumoto, Y.; Shibayama, M. SANS and DLS Study of Tacticity Effects on Hydrophobicity and Phase Separation of Poly(N-Isopropylacrylamide). Macromolecules 2013, 46, 6225–6232. [Google Scholar] [CrossRef]
- Ruff, K.M.; Roberts, S.; Chilkoti, A.; Pappu, R.V. Advances in Understanding Stimulus-Responsive Phase Behavior of Intrinsically Disordered Protein Polymers. J. Mol. Biol. 2018, 430, 4619–4635. [Google Scholar] [CrossRef]
- Jia, Y.-G.; Chen, K.-F.; Gao, M.; Liu, S.; Wang, J.; Chen, X.; Wang, L.; Chen, Y.; Song, W.; Zhang, H.; et al. Visualizing Phase Transition of Upper Critical Solution Temperature (UCST) Polymers with AIE. Sci. China Chem. 2020, 64, 403–407. [Google Scholar] [CrossRef]
- Brannon-Peppas, L.; Peppas, N.A. Dynamic and Equilibrium Swelling Behaviour of PH-Sensitive Hydrogels Containing 2-Hydroxyethyl Methacrylate. Biomaterials 1990, 11, 635–644. [Google Scholar] [CrossRef]
- Wang, L.; Ren, J.; Yao, M.; Yang, X.; Yang, W.; Li, Y. Synthesis and Characterization of Self-Oscillating P(AA-Co-AM)/PEG Semi-IPN Hydrogels Based on a PH Oscillator in Closed System. Chin. J. Polym. Sci. 2014, 32, 1581–1589. [Google Scholar] [CrossRef]
- Saruchi; Kaith, B.S.; Jindal, R.; Kumar, V.; Bhatti, M.S. Optimal Response Surface Design of Gum Tragacanth-Based Poly[(Acrylic Acid)-Co-Acrylamide] IPN Hydrogel for the Controlled Release of the Antihypertensive Drug Losartan Potassium. RSC Adv. 2014, 4, 39822–39829. [Google Scholar] [CrossRef]
- Simeonov, M.; Kostova, B.; Vassileva, E. Interpenetrating Polymer Networks of Poly(Acrylic Acid) and Polyacrylamide for Sustained Verapamil Hydrochloride Release. Macromol. Symp. 2015, 358, 225–231. [Google Scholar] [CrossRef]
- Xiao, X.C.; Chu, L.Y.; Chen, W.M.; Zhu, J.H. Monodispersed Thermoresponsive Hydrogel Microspheres with a Volume Phase Transition Driven by Hydrogen Bonding. Polymer 2005, 46, 3199–3209. [Google Scholar] [CrossRef]
- Owens, D.E.; Eby, J.K.; Jian, Y.; Peppas, N.A. Temperature-Responsive Polymer–Gold Nanocomposites as Intelligent Therapeutic Systems. J. Biomed. Mater. Res. A 2007, 83A, 692–695. [Google Scholar] [CrossRef] [PubMed]
- Bouillot, P.; Vincent, B. A Comparison of the Swelling Behaviour of Copolymer and Interpenetrating Network Microgel Particles. Colloid. Polym. Sci. 2000, 278, 74–79. [Google Scholar] [CrossRef]
- Boudraa, K.; Bouchaour, T. Investigating Physical Behavior of Polyacrylamide/Polyacrylic Acid Interpenetrating Polymer Networks through Atomistic Molecular Dynamics Simulations. Mech. Soft Mater. 2021, 3, 8. [Google Scholar] [CrossRef]
- Simeonov, M.S.; Apostolov, A.A.; Vassileva, E.D. In Situ Calcium Phosphate Deposition in Hydrogels of Poly(Acrylic Acid)–Polyacrylamide Interpenetrating Polymer Networks. RSC Adv. 2016, 6, 16274–16284. [Google Scholar] [CrossRef]
- Katono, H.; Maruyama, A.; Sanui, K.; Ogata, N.; Okano, T.; Sakurai, Y. Thermo-Responsive Swelling and Drug Release Switching of Interpenetrating Polymer Networks Composed of Poly(Acrylamide-Co-Butyl Methacrylate) and Poly (Acrylic Acid). J. Control. Release 1991, 16, 215–227. [Google Scholar] [CrossRef]
- Katono, H.; Sanui, K.; Ogata, N.; Okano, T.; Sakurai, Y. Drug Release off Behavior and Deswelling Kinetics of Thermo-Responsive IPNs Composed of Poly(Acrylamide-Co-Butyl Methacrylate) and Poly(Acrylic Acid). Polym. J. 1991, 23, 1179–1189. [Google Scholar] [CrossRef]
- Wang, Q.; Li, S.; Wang, Z.; Liu, H.; Li, C. Preparation and Characterization of a Positive Thermoresponsive Hydrogel for Drug Loading and Release. J. Appl. Polym. Sci. 2009, 111, 1417–1425. [Google Scholar] [CrossRef]
- Owens, D.E.; Jian, Y.; Fang, J.E.; Slaughter, B.V.; Chen, Y.-H.; Peppas, N.A. Thermally Responsive Swelling Properties of Polyacrylamide/Poly(Acrylic Acid) Interpenetrating Polymer Network Nanoparticles. Macromolecules 2007, 40, 7306–7310. [Google Scholar] [CrossRef]
- Alvarado, A.G.; Cortés, J.A.; Pérez-Carrillo, L.A.; Rabelero, M.; Arellano, J.; Sánchez-Díaz, J.C.; Puig, J.E.; Arellano, M. Temperature and PH-Responsive Polyacrylamide/Poly(Acrylic Acid) Interpenetrating Polymer Network Nanoparticles. J. Macromol. Sci. B 2016, 55, 1086–1098. [Google Scholar] [CrossRef]
- Simeonov, M.; Monova, A.; Kostova, B.; Vassileva, E. Drug Transport in Stimuli Responsive Acrylic and Methacrylic Interpenetrating Polymer Networks. J. Appl. Polym. Sci. 2017, 134, 45380. [Google Scholar] [CrossRef]
- Acrylamide|79-06-1. ChemicalBook. Available online: https://www.chemicalbook.com/ChemicalProductProperty_EN_CB4690458.htm (accessed on 15 August 2023).
- Gebhardt, J.E.; Fuerstenau, D.W. Adsorption of Polyacrylic Acid at Oxide/Water Interfaces. Colloids Surf. 1983, 7, 221–231. [Google Scholar] [CrossRef]
- Edwards, M.; Benjamin, M.M.; Ryan, J.N. Role of Organic Acidity in Sorption of Natural Organic Matter (NOM) to Oxide Surfaces. Colloids Surf. A Physicochem. Eng. Asp. 1996, 107, 297–307. [Google Scholar] [CrossRef]
- Jiang, M.; Li, M.; Xiang, M.; Zhou, H. Interpolymer Complexation and Miscibility Enhancement by Hydrogen Bonding. In Polymer Synthesis/Polymer-Polymer Complexation; Springer: Berlin/Heidelberg, Germany, 1999; pp. 121–196. [Google Scholar] [CrossRef]
- Daubreasse, C.; Grandols, C.; Jerome, R.; Teyssie, P. Enzyme immobilization in reactive nanoparticles produced by inverse microemulsion polymerization. Colloid Polym. Sci. 1996, 274, 482–489. [Google Scholar] [CrossRef]
- Boye, S.; Ennen, F.; Scharfenberg, L.; Appelhans, D.; Nilsson, L.; Lederer, A. From 1D Rods to 3D Networks: A Biohybrid Topological Diversity Investigated by Asymmetrical Flow Field-Flow Fractionation. Macromolecules 2015, 48, 4607–4619. [Google Scholar] [CrossRef]
- Karnoosh-Yamchi, J.; Mobasseri, M.; Akbarzadeh, A.; Davaran, S.; Ostad-Rahimi, A.R.; Hamishehkar, H.; Salehi, R.; Bahmani, Z.; Nejati-Koshki, K.; Darbin, A.; et al. Preparation of PH Sensitive Insulin-Loaded Nano Hydrogels and Evaluation of Insulin Releasing in Different PH Conditions. Mol. Biol. Rep. 2014, 41, 6705–6712. [Google Scholar] [CrossRef]
- Wahlgren, M.; Christensen, K.L.; Jørgensen, E.V.; Svensson, A.; Ulvenlund, S. Oral-Based Controlled Release Formulations Using Poly(Acrylic Acid) Microgels. Drug Dev. Ind. Pharm. 2009, 35, 922–929. [Google Scholar] [CrossRef]
- Knipe, J.M.; Strong, L.E.; Peppas, N.A. Enzyme- and PH-Responsive Microencapsulated Nanogels for Oral Delivery of SiRNA to Induce TNF-α Knockdown in the Intestine. Biomacromolecules 2016, 17, 788–797. [Google Scholar] [CrossRef]
- Singh, J.; Nayak, P. pH-Responsive Polymers for Drug Delivery: Trends and Opportunities. J. Polym. Sci. 2023, 61, 2828–2850. [Google Scholar] [CrossRef]
- Lamprecht, A.; Yamamoto, H.; Takeuchi, H.; Kawashima, Y. pH-Sensitive Microsphere Delivery Increases Oral Bioavailability of Calcitonin. J. Control. Release 2004, 98, 1–9. [Google Scholar] [CrossRef]
- Ahmad, N.; Mohd Amin, M.C.I.; Ismail, I.; Buang, F. Enhancement of Oral Insulin Bioavailability: In Vitro and in Vivo Assessment of Nanoporous Stimuli-Responsive Hydrogel Microparticles. Expert Opin. Drug Deliv. 2016, 13, 621–632. [Google Scholar] [CrossRef] [PubMed]
- Berthold, A.; Cremer, K.; Kreuter, J. Preparation and Characterization of Chitosan Microspheres as Drug Carrier for Prednisolone Sodium Phosphate as Model for Anti-Inflammatory Drugs. J. Control. Release 1996, 39, 17–25. [Google Scholar] [CrossRef]
- Baghersad, M.H.; Jamshidi, S.; Habibi, A.; Salimi, A. Synthesis, Characterization, and in Vitro Evaluation of Super Paramagnetic Nanoparticles Grafted with PAMPS for Controlled Delivery of Cationic Drugs. ChemistrySelect 2019, 4, 810–815. [Google Scholar] [CrossRef]
- Mun, G.A.; Nurkeeva, Z.S.; Khutoryanskiy, V.V.; Sarybayeva, G.S.; Dubolazov, A.V. PH-Effects in the Complex Formation of Polymers I. Interaction of Poly(Acrylic Acid) with Poly(Acrylamide). Eur. Polym. J. 2003, 39, 1687–1691. [Google Scholar] [CrossRef]
- Sharma, S.; Shukla, P.; Misra, A.; Mishra, P. Interfacial and Colloidal Properties of Emulsified Systems; Elsevier: Amsterdam, The Netherlands, 2014; pp. 149–172. [Google Scholar] [CrossRef]
- Agrawal, G.; Agrawal, R. Stimuli-Responsive Microgels and Microgel-Based Systems: Advances in the Exploitation of Microgel Colloidal Properties and Their Interfacial Activity. Polymers 2018, 10, 418. [Google Scholar] [CrossRef]
- Mackiewicz, M.; Dagdelen, S.; Marcisz, K.; Waleka-Bargiel, E.; Stojek, Z.; Karbarz, M. Redox-Degradable Microgel Based on Poly(Acrylic Acid) as Drug-Carrier with Very High Drug-Loading Capacity and Decreased Toxicity against Healthy Cells. Polym. Degrad. Stab. 2021, 190, 109652. [Google Scholar] [CrossRef]
- Ghorbaniazar, P.; Sepehrianazar, A.; Eskandani, M.; Nabi-Meibodi, M.; Kouhsoltani, M.; Hamishehkar, H. Preparation of Poly Acrylic Acid-Poly Acrylamide Composite Nanogels by Radiation Technique. Adv. Pharm. Bull. 2015, 5, 269–275. [Google Scholar] [CrossRef]
- Jeong, J.-O.; Park, J.-S.; Kim, E.J.; Jeong, S.-I.; Lee, J.Y.; Lim, Y.-M. Preparation of Radiation Cross-Linked Poly(Acrylic Acid) Hydrogel Containing Metronidazole with Enhanced Antibacterial Activity. Int. J. Mol. Sci. 2019, 21, 187. [Google Scholar] [CrossRef]
- Ersoz, M.; Allahverdiyev, A. Investigation of Polyacrylic Acid Toxicity in Human Breast Cancer (MCF-7) and Mouse Fibroblast (L-929) Cell Lines. EuroBiotech J. 2021, 5, 123–129. [Google Scholar] [CrossRef]
Disclaimer/Publisher’s Note: The statements, opinions and data contained in all publications are solely those of the individual author(s) and contributor(s) and not of MDPI and/or the editor(s). MDPI and/or the editor(s) disclaim responsibility for any injury to people or property resulting from any ideas, methods, instructions or products referred to in the content. |
© 2024 by the authors. Licensee MDPI, Basel, Switzerland. This article is an open access article distributed under the terms and conditions of the Creative Commons Attribution (CC BY) license (https://creativecommons.org/licenses/by/4.0/).