Abstract
Fungal endophytes colonizing plant tissues are considered a reservoir of secondary metabolites that exhibit diverse bioactivities applicable in biomedicine. This study aims to reveal for the first time endophytic fungi associated with Keteleeria evelyniana as a potential source of bioactive compounds. A total of 24 fungal endophytes were successfully isolated from K. evelyniana and classified into 10 genera: Aspergillus, Penicillium, Fusarium, Xylaria, Talaromyces, Nodulisporium, Apiospora, Neopestalotiopsis, Diaporthe, and Hypoxylon. Screening for antimicrobial activity revealed that 8 out of 24 ethyl acetate extracts inhibited antimicrobial activity against at least one tested pathogen. Among them, Xylaria sp. KET18 showed the most potent antimicrobial activity with inhibition diameters ranging from 16.5 to 21.5 mm. In addition, the KET18 extract showed the most significant cytotoxic effects against A549 (IC50 = 18.8 ± 3.1 µg/mL) and MCF7 cell lines (IC50 = 24.1 ± 2.5 µg/mL). The KET18 extract showed moderate antioxidant activity against hydroxyl and 2,2-diphenyl-1-picrylhydrazyl (DPPH) free radicals. The chemical characterization and structural elucidation indicated the presence of four bioactive compounds that have not been found in fungi, including methyl pyroglutamate, prunetin, macrolactin A, and macrolactin F. These findings demonstrated that K. evelyniana is a host of endophytic fungi with antimicrobial, anticancer, and antioxidant potential.
1. Introduction
Fungal endophytes colonize plant species living throughout the Earth and form a balanced correlation with the host plants [1]. These fungi inter- or intracellularly reside in healthy plant tissues for a part or all of their life cycle without causing any disease sign to the host. Fungal endophytes are able to synthesize numerous metabolites classified into various groups such as alkaloids, coumarins, flavonoids, lignans, saponins, terpenes, quinones, and xanthones, which serve as prolific sources of antibiotic, anticancer, and antioxidant agents [1,2]. Brasiliamide J from the ethyl acetate extracts of Penicillium janthinellum isolated from Panax notoginseng showed significant inhibition of the Gram-positive B. subtilis and S. aureus but not Gram-negative bacteria [3]. Two macrolides named myrothecines H and I were isolated from the crude extract of Paramyrothecium roridum, both of which displayed cytotoxicity against SF-268 (human glioblastoma), NCI-H460 (human non-small cell lung cancer), and HepG-2 (human liver cancer) cell lines [4]. The trend of finding bioactive compounds from endophytic fungi is becoming expansive, as the demand for using new and cheaper drugs is rapidly increasing.
Xylariales is regarded as one of the most diverse groups of Ascomycota, with the abundant distribution expressed in robust growth in dead wood, plants, and nests of termites and ants [5]. Among them, the genus Xylaria offers a potential framework of bioactive compounds indicated by the discovery of 445 compounds since 1994. Xylaria cf. curta, isolated as an endophyte from potato stem tissue, produced xylarichalasin A that showed strong cytotoxicity against human breast adenocarcinoma (MCF-7) and human hepatocellular carcinoma (SMMC-7721) cancer cell lines, with IC50 values of 6.3 µM and 8.6 µM, respectively [5]. Xylareremophil produced by the endophytic fungus Xylaria sp. GDG-102 had antibacterial activity against Micrococcus luteus and Proteus vulgaris [6]. Notably, xylarglycosides A and B isolated from the Illigera celebica-derived fungus Xylaria sp. KYJ-15 exhibited not only antibacterial activities against S. aureus but also DPPH radical scavenging activity [7]. Xylaria spp. have been considered for their antimicrobial activity as beneficial interactions between medicinal plants and endophytes in response to pathogens and stress conditions.
Keteleeria evelyniana is one of the three currently existing Keteleeria species in the world and classified as Vulnerable (VU) in the IUCN Red List [8]. Importantly, it is distributed in southwestern China, Laos, and Vietnam only and partly used for traditional medicine. In folk medicine, the bark or leaves of K. evelyniana can be used as decoctions or ointments for pain relief and anti-inflammation. Essential oils isolated from Vietnamese Keteleeria evelyniana Mast are rich in α-pinene and β-pinene, (E)-β-caryophyllene, limonene, and (E)-β-caryophyllene [9]. A previous study isolated 12 compounds that belonged to benzoic acid allopyranosides and lignan glycosides from the twigs of K. evelyniana; however, no antibacterial and anticancer activities were detected [10]. In addition, bacteria associated with decaying sapwood and heartwood of K. evelyniana were identified using 16S rRNA gene sequencing [11]. Therefore, the present study focused on isolation, screening, and characterization of bioactive compounds produced by endophytic fungi isolated from K. evelyniana. This study can be novel as fungal endophytes from K. evelyniana have not been investigated yet.
2. Materials and Methods
2.1. Isolation of Fungal Endophytes
The leaves, roots, and twigs of healthy Keteleeria evelyniana Mast. were collected from specific locations in Duc Trong district (11°48′45″ N 108°26′24″ E), Lam Dong province, Vietnam, in January 2023. All samples were put in sterile polymer bags and delivered to the laboratories. A voucher specimen (HN000076376) after identification was deposited in herbariums at the Institute of Ecology and Biological Resources, Vietnam Academy of Science and Technology, for further reference. Fungal endophyte isolation was carried out at the Institute of Biotechnology according to our previous protocol [12]. Briefly, the plant specimens were cleaned with tap water, followed by sequential immersion in 70% ethanol for 30 s, 3.5% sodium hypochlorite solution for 2 min, and 70% ethanol for 2–5 s. The sterile samples were cut into small fragments (~1.0 × 0.5 cm) after being rinsed with sterile distilled water. Potato Dextrose Agar (PDA) medium supplemented with 100 mg/L streptomycin was prepared in 9 cm diameter Petri dishes. About 6 fragments were placed on the agar surface per one dish and then incubated at 28 °C for 7−10 days. After checking for fungal growth, hyphal tips of distinct morphologic isolates were inoculated onto fresh PDA plates for further purification. All fungal isolates were preserved in PDA slants at 4 °C and 20% (v/v) glycerol at −80 °C.
2.2. Microscopic Examination and Molecular Identification
Each fungal isolate was cultivated in PDA Petri dishes to observe hyphal growth, colony characteristics, and pigment production. Mycelia, conidiophores, and conidia were observed with a light microscope (Zeiss, Oberkochen, Germany) at a magnification of 40×. For phylogenetic analyses, genomic DNA was extracted with the ZR Fungal/Bacterial DNA MiniPrep kit (Zymo Research, Irvine, CA, USA). The molecular identification was performed using the Internal Transcribed Spacer (ITS) as a molecular indicator, in which polymerase chain reaction (PCR) was utilized using the universal ITS primers, ITS1 (5′-TCCGTAGGTGAACCTGCGG-3′) and ITS4 (5′-TCCTCCGCTTATTGATATGC-3′) [13]. The amplified PCR products were checked on 1% (w/v) agarose gel and sent to First BASE Laboratories Sdn. Bhd. (Shah Alam, Malaysia) for sequencing. The obtained ITS sequences were compared for sequence homology with closely related fungi available on the GenBank database (NCBI) using BLASTn and then deposited onto GenBank with accession numbers represented in Table S2.
2.3. Secondary Metabolite Extraction and Antimicrobial Assay
Crude extracts of endophytic fungi were prepared using the previous procedure with a slight modification [12]. In brief, all fungal isolates were separately cultured in the modified Potato Dextrose Broth (PDB) medium (200 g/L potato extract, 20 g/L glucose, 2 g/L peptone, 0, pH 6.0) at 28 °C for 10 days under the orbital agitation of 200 rpm. After centrifugation, cell-free supernatant of each endophyte was extracted twice with a triple volume of ethyl acetate (EtOAc). The solvent phase was evaporated at 45 °C using rotary evaporator to obtain the total crude extract, which was subsequently dissolved in 1% (v/v) dimethyl sulfoxide (DMSO).
Antimicrobial activity was tested against Escherichia coli ATCC 11105, Pseudomonas auroginosa ATCC 9027, Bacillus cereus ATCC 11778, methicillin-resistant Staphylococcus epidermidis (MRSE) ATCC 35984, methicillin-resistant Staphylococcus aureus (MRSA) ATCC 33591, Enterococcus faecalis ATCC 29212, and Candida albicans ATCC 10231 using a modified agar well diffusion method [14]. Erythromycin and nystatin were used as the positive controls, and the antimicrobial activity was exhibited as the zone of inhibition (mm).
2.4. Cytotoxic Assay
The sulforhodamine B (SRB) assay was used to determine cell viability as described previously [15]. Human lung cancer (A549) and human breast adenocarcinoma (MCF7) cell lines were seeded on 96-well microplates with the starting density of 104 cells per well and cultivated at 37 °C, 95% humidity, and 5% carbon dioxide (CO2) for 24 h. The crude extracts and pure compounds were added to wells, left for 24 h, fixed with 10% (w/v) trichloroacetic acid at 4 °C for 1 h, and stained with 0.4% (w/v) SRB solution for 30 min. The cells were exposed to increasing concentrations of crude extract for 24 h, which were subsequently fixed with 10% (w/v) trichloroacetic acid, stained with 0.4% (w/v) SRB solution for 30 min, and washed twice with 1% (v/v) acetic acid solution. After double rinsing with 1% (v/v) acetic acid solution, the samples were measured at 540 nm on the BioTek EXL800 microplate reader (Agilent Technologies, Santa Clara, CA, USA). The half-maximal inhibitory concentration (IC50) was calculated as the sample concentration at which 50% of cancer cells survived by comparison with a control conducted in identical conditions. Ellipticine and 1% DMSO were utilized as positive and negative controls, respectively.
2.5. Determination of Total Polyphenol and Flavonoid Contents
The total polyphenol content present in the fungal extract was quantified by the Folin–Ciocalteu colorimetric method with slight modifications [15]. Basically, the fungal extract was dissolved in 70% ethanol; then, 20 μL of the fungal aliquot was mixed with 100 μL of Follin–Ciocalteu reagent and incubated at room temperature for 5 min. The mixture was treated with 80 μL of 4% (w/v) sodium carbonate and spectrophotometrically measured at 765 nm. Results were calculated as μg gallic acid equivalents per grams of crude extract (μg GAE/mg) based on a gallic acid calibration curve. To determine the total flavonoid content, a mixture including 10 μL of 5% (w/v) sodium nitrite (NaNO2), 10 μL of 10% (w/v) aluminum chloride (AlCl3), 60 μL of 1 M sodium hydroxide (NaOH), and 120 μL of distilled water was prepared [15]. The reaction started when 30 μL of fungal aliquot was added, followed by 30 min incubation at room temperature and the absorbance measurement at 510 nm. The total flavonoid content was represented as μg quercetin equivalents per g of fungal extract (μg QE/mg).
2.6. Antioxidant Assays
Antioxidant activity against hydroxyl and DPPH radicals was performed as described previously [16]. The assay was performed in 96-well microplates by the addition of 100 µL of ethanolic crude extract or pure compound (10–800 µg/mL; 0.625–10 mM) to a mixture containing 50 µL of 0.435 mM brilliant green, 75 µL of 3% (v/v) hydrogen peroxide (H2O2), and 100 µL of 0.5 mM Ferrous sulfate (FeSO4). After incubation at 37 °C for 30 min, the optical absorbance was measured at 624 nm, and 70% ethanol was used as the negative control. In terms of DPPH-scavenging activity, 0.1 mL of ethanolic aliquot was added to 0.1 mL of 0.1 mM DPPH dissolved in ethanol. The reaction was kept in darkness at room temperature for 30 min and then was measured at 517 nm in a microplate reader. Experiments were performed in triplicate.
2.7. Large-Scale Fermentation, Extraction, and Identification of Pure Compounds
Large-scale fermentation was performed in a 100 L fermenter containing 70 L of modified PDB medium in the following conditions: temperature 28 °C, aeration rate 0.5 vvm, agitation speed 200 rpm, and seed culture 10% (v/v) [2]. After 10 days, the cell-free supernatant and fungal mycelia were extracted with EtOAc and methanol (MeOH) at room temperature to give EtOAc and MeOH extracts, respectively. Both extracts were combined and evaporated using a rotary evaporator to give a residue (66 g). The residue was partitioned with n-hexane, dichloromethane (CH2Cl2), and EtOAc at least 3 times to give the corresponding extracts. The CH2Cl2 and EtOAc extracts were combined, subjected to reversed-phase (RP) C18 column chromatography (CC), and separately eluted with gradient (25:75, v/v) MeOH-H2O and 100% MeOH to obtain 4 fractions, D1 to D4. Each of them was subsequently purified with high-performance liquid chromatography (HPLC). Fraction D1 was purified with HPLC using (3:1, v/v) CH2Cl2-EtOAc as eluent to release D1D. Compound 1 (4 mg) was isolated from D1D using (11:89, v/v) acetone (ACN)–water (H2O). The subfraction D2D, which was partitioned from D2 with (3:1, v/v) CH2Cl2-EtOAc, was subjected to RP C18 prep. HPLC with (17:83, v/v) ACN-H2O to yield 2 (1.7 mg). Fraction D4 was purified with the gradient (11:10, v/v) ACN-H2O to release D4B and D4D. Compound 3 (1.9 mg) was isolated from D8B using (75:25, v/v) MeOH-H2O while compound 4 (1.8 mg) was obtained from D4D through the gradient (76:24, v/v) MeOH-H2O. The subfraction D3D, which was separated from D3 using the eluent (7:10, v/v) ACN-H2O, was used to purify 5 (2 mg) with (54:56, v/v) MeOH-H2O. The chemical structure of these biomolecules was determined through 1D and 2D NMR spectra.
3. Results
3.1. Distribution and Identification of Endophytic Fungi
A total of 24 fungal strains with distinct morphology were successfully isolated from the roots, stems, and leaves of K. evelyniana (Table S1). No fungal isolates were observed in the control samples, confirming the efficiency of the surface sterilization method and all fungal isolates originating from the tissues. The fungal endophytes distributed evenly in the roots (30.4%) and leaves (30.4%), while the percentage of isolates found in stems was larger (39.2%) (Figure 1a).
Figure 1.
The distribution of fungal isolates recovered from K. evelyniana. (a) The representative colonies of endophytic fungi isolated from different plant tissues. (b) The fungal isolates classified into different genera.
ITS gene sequence analysis revealed that all fungal endophytes belonged to 10 genera, including Aspergillus, Penicillium, Fusarium, Xylaria, Talaromyces, Nodulisporium, Apiospora, Neopestalotiopsis, Diaporthe, and Hypoxylon (Figure 1b), which was in agreement with the morphological and microscopic analysis. Among the 24 isolates, the greatest proportion was observed for Fusarium (21%), followed by Aspergillus (17.0%) and Penicillium (17.0%). Strains KET13, KET15, and KET17 had similar characteristics, such as the surface of the colonies containing many dry, pale green spores. These features represented the general morphological traits of the genus Penicillium [17,18]. Strains KET3 and KET5 had yellow colonies with white border and septate surface, which signified common attributes of Talaromyces fungi [19]. The other fungal strains were classified into the remaining genera based on basic characteristics of each genus related to colonies and spores. Data of colonies and conidia of 24 fungal isolates were provided in Table S1.
3.2. Screening Potential Endophytic Fungi for Antimicrobial Activity
The crude EtOAc extracts of endophytic fungi derived from K. evelyniana were evaluated for antimicrobial activity. Out of 24 endophytic fungi, 8 isolates (accounting for 33.3%) were able to inhibit at least one tested pathogen, with inhibition zone diameters ranging from 1.0 ± 0.4 mm to 21.5 ± 0.5 mm (Figure 2). MRSA ATCC 33591 was the most sensitive strain, as it was inhibited by 33.3% (8/24) of the active extracts, while Candida albicans ATCC 10231 was only inhibited by KET1 (5.0 ± 0.4 mm) and KET18 (16.5 ± 0.6 mm) extracts. In addition, only KET9 and KET18 displayed antimicrobial activities against six tested bacteria. The endophytic fungus Xylaria sp. KET18 displayed the strongest antibacterial activity against C. albicans ATCC 10231(16.5 ± 0.6 mm), B. cereus ATCC 11778 (17.3 ± 1.4 mm), MRSA ATCC 33591 (21.5 ± 0.5 mm), P. aeruginosa ATCC 9027 (20.5 ± 0.5 mm), E. coli ATCC 11105 (21.0 ± 0.7 mm), and E. faecalis ATCC 29212 (16.5 ± 0.1 mm) (Figure 2).
Figure 2.
A heatmap revealing the antimicrobial property of endophytic fungi isolated from K. evelyniana. (1) Candida albicans ATCC 10231; (2) MRSE ATCC 35984; (3) Bacillus cereus ATCC 11778; (4) MRSA ATCC 33591; (5) Pseudomonas aeruginosa ATCC 9027; (6) Escherichia coli ATCC 11105; and (7) Enterococcus faecalis ATCC 29212. Erythromycin and nystatin were used as positive controls.
3.3. Cytotoxicity of Fungal Crude Extracts
The cytotoxic effects of eight endophytic fungal extracts were tested against A549 and MCF7 cells using the SRB assay. As shown in Table 1, seven out of eight fungal extracts showed cytotoxicity against A549 and MCF7 cell lines with IC50 values ranging from 18.86 to 92.02 μg/mL. Indeed, seven extracts displayed cytotoxic activity on A549 with IC50 from 18.8 to 92.0 µg/mL, while five extracts showed strong cytotoxicity on MCF7 with IC50 from 24.1 to 53.6 µg/mL. In particular, the KET18 extract showed the most significant cytotoxic effects against A549 and MCF7 cell lines, with IC50 values of 18.8 ± 3.1 µg/mL and 24.1 ± 2.5 µg/mL, respectively. According to the standards of the US National Cancer Institute (NCI), IC50 < 20 µg/mL for crude extract is considered strong activity [20], indicating the potential of Xylaria sp. KET18.
Table 1.
Cytotoxic activities of 8 fungal crude extracts.
3.4. Antioxidant Potential of the KET18 Extract
The antioxidant activity of the KET18 extract was evaluated through their ability to inhibit hydroxyl and DPPH free radicals. Regarding the hydroxyl radical, scavenging activity was observed at the concentration of 200 µg/mL (39.7 ± 2.6%) (Figure 3a). When the extract concentration doubled, the activity raised sharply and reached the highest percentage of 78.3 ± 2.9% at 600 µg/mL. Notably, the scavenging activity fell slightly when the extract concentration continued to raise. The DPPH-scavenging activity of the crude extract reached 69.06 ± 2.4% at a concentration of 50 µg/mL (Figure 3b). An increase in concentration to 800 µg/mL led to the maximal percentage inhibition of 91.36 ± 3.2%, confirming the dose-dependent activity of the KET18 extract. Briefly, the DPPH-scavenging activity of the KET18 extract at the concentration ranging from 100 to 800 µg/mL were consistently close to that of ascorbic acid. In support of the antioxidant activity, polyphenols (65.91 ± 0.7 μg GAE/mg) and flavonoids (81.25 ± 1.9 μg QE/mg) were present in the KET18 extract.
Figure 3.
Scavenging activity of the KET18 extract against hydroxyl (a) and DPPH (b) radicals with ascorbic acid as the positive control.
3.5. Discovery of Bioactive Compounds from Xylaria sp. KET18
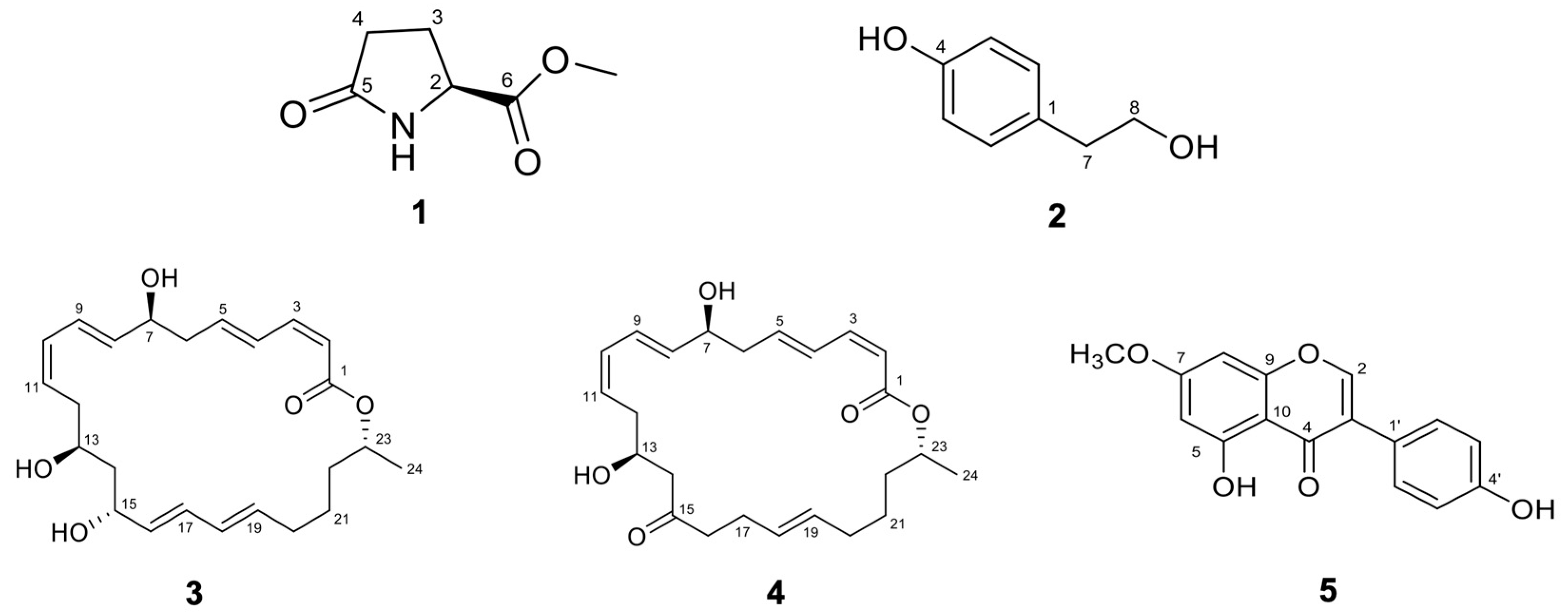
A total of five organic compounds were purified from the KET18 extract through CC and HPLC analyses (Figure 4). Compound 1 was described as an oily, colorless substance. On the 1H, 13C NMR spectrum, signals of two carbonyl carbons appeared at δC 181.6 and 174.5, two methylene groups at [δC 25.8 (C-3)/δH 2.52 and 2.39 (m), and δC 30.3 (C-4)/δH 2.39 and 2.20 (m)], a nitrogen-bonded methine group at δC 57.0 (C-2)/δH 4.33 (dd, J = 4.2, 9.0 Hz), and a methoxy group at δC 52.9/δH 3.78 (s). Compound 2 was an oily, colorless substance with an aromatic ring added by two substituents in the para position. The structure was observed from signals at δC 130.9 (C-2 and C-6)/δH 7.05 (2H, d, J = 8.4 Hz, H-2 and H-6) và δC 116.1 (C-3 and C-5)/δH 6.72 (2H, d, J = 8.4 Hz, H-3 and H-5). In addition, the 1H and 13C NMR spectra also displayed an oxymethylene group at δC 64.6 (C-8)/δH 3.70 (2H, t, J = 7.2 Hz) along with a methylene group at δC 39.4 (C-7)/δH 2.73 (2H, t, J = 7.2 Hz). Compounds 3 and 4 were both detected as powdery white substances. The 1H NMR spectrum of 3 indicated six double bonds with the appearance of 12 olefin protons and four double bonds in trans and two double bonds in cis configuration. In addition, the 1H NMR spectrum also recorded signals of four oxymethine groups [δH 4.35 (m, H-7), 3.98 (m, H-8), 4.52 (m, H-15), 5.04 (m, H-23)] and a methyl group at δH 1.28 (d, J = 6.6 Hz, H-24). On the 1H NMR spectrum of 4, signals of six double bonds were recorded, with the appearance of 10 olefin protons at δH 5.60. Moreover, 13C NMR and heteronuclear single quantum coherence (HSQC) spectra showed signals of 24 carbons, including two carbonyl carbons at δC 166.3 (C-1) and 211.9 (C-15), five double bonds, three oxymethine groups, seven methylene groups, and one methyl group. These data supported the fact that both 3 and 4 had a macrolide frame. Compound 5 was described as a powdery yellow substance. The 1H NMR spectrum displayed seven aromatic protons, including an A2B2 aromatic ring system at δH 7.35 (2H, d, J = 8.4 Hz, H-2ʹ, H-6ʹ) and 6.85 (2H, d, J = 8.4 Hz, H-3ʹ and H-5ʹ), an AX system at δH 6.44 (1H, br d, J = 2.4 Hz, H-6) and 6.45 (1H, br d, J = 1.8 Hz, H-8), and a singlet proton at δH 7.96 (1H, s, H-2). The 13C NMR spectrum of 5 revealed signals of 15 carbon atoms, including a carbonyl group at δC 177.8. The results from the 1H and 13C NMR spectrum confirmed that 5 was an isoflavonoid. Combining the analytical data with previous references, the five pure compounds were, respectively, identified as methyl pyroglutamate (1) [21], 2-(4-hydroxyphenyl)ethanol (2) [22], macrolactin A (3) [23], macrolactin F (4) [24], and prunetin (5) [25].
Figure 4.
The chemical structure of 5 compounds from the Xylaria sp. KET18 extract. (1)—methyl pyroglutamate, (2)—2-(4-hydroxyphenyl)ethanol, (3)—macrolactin A, (4)—macrolactin F, (5)—prunetin.
3.6. Antimicrobial and Anticancer Activities of Pure Compounds
The antimicrobial potential of five pure compounds was evaluated against tested pathogens at the concentration of 10 mM. Of note, four compounds, including methyl pyroglutamate, 2-(4-hydroxyphenyl) ethanol (tyrosol), macrolactin A, and macrolactin F, showed antimicrobial activity against at least one pathogenic strain, while no antimicrobial activity was observed for prunetin (Table 2). E. coli ATCC 11105 and MRSA ATCC 33591 were inhibited by 2-(4-hydroxyphenyl) ethanol with inhibition zone sizes of 11.6 ± 1.5 and 9.8 ± 0.6, respectively. Macrolactin A and F showed similar antibacterial profiles expressed by strong inhibition against E. coli ATCC 11105, B. cereus ATCC 11778, and MRSA ATCC 33591 but not yeast C. albicans ATCC 10231. In contrast, methyl pyroglutamate only suppressed C. albicans ATCC 10231, with an inhibition zone size of 12.4 ± 0.7 mm.
Table 2.
Antimicrobial and anticancer activities of 5 pure compounds.
In terms of anticancer activity, three out of five pure compounds, including macrolactin A, macrolactin F, and prunetin, caused cytotoxicity against A549 and MCF7 cell lines at moderate levels (Table 2). Macrolactin A and F moderately showed the inhibitory effect on A549 and MCF7 cell lines, with IC50 values ranging from 82.4 ± 2.9 to 92.0 ± 8.8 µM). At the lower level, prunetin inhibited A549 and MCF7, with IC50 values of 98.9 ± 7.3 µM and 90.4 ± 8.2 µM, respectively.
For antioxidant activity, five compounds exhibited remarkable antioxidant activity against DPPH and hydroxyl radicals, with the IC50 values ranging from between 3.86–7.25 mM (Table 2). Specifically, prunetin was the most powerful antioxidant that scavenged DPPH and hydroxyl radicals, with the lowest IC50 of 3.86 ± 0.23 mM and 4.26 ± 0.20 mM, respectively. Macrolactins A and F showed equivalent scavenging activities to each radical. Methyl pyroglutamate had the lowest antioxidant activity against hydroxyls indicated by an IC50 of 7.25 ± 0.16 mM.
4. Discussion
Fungi colonizing the different tissues of medicinal plants are known as a prolific source of secondary metabolites with remarkable anticancer, antimicrobial, and antioxidant activities [12]. In the curent investigation, a total of 24 culturable fungi assigned to 10 genera, including Aspergillus, Penicillium, Fusarium, Xylaria, Talaromyces, Nodulisporium, Apiospora, Neopestalotiopsis, Diaporthe, and Hypoxylon, was successfully recovered from K. evelyniana. All the fungal isolates in this study belonged to the phylum Ascomycota, which is one of the most diverse and ubiquitous phyla of eukaryotes [26]. It was also in agreement with previous studies that the fungal genera most commonly isolated from medicinal plants are Fusarium, Aspergillus, and Penicillium [12,27]. According to Qadri et al. (2014) [28], the fungal endophytes isolated from Pinus wallichiana belong to 38 genera, in which Alternaria was the dominant. Alternaria endophytes were not found in K. evelyniana; meanwhile, the genera Talaromyces, Nodulisporium, Neopestalotiopsis, Apiospora, and Hypoxylon were not observed in P. wallichiana. Morphological traits of Penicillium fungi in K. evelyniana were consistent with those isolated from Tsuga chinensis [13], while some Fusarium strains in this study shared similar colony appearance with the endophytes found in Amentotaxus yunnanensis [2]. Interestingly, some novel Fusarium strains in this study (such as F. boothii, F. hainanense) have not been found in both T. chinensis and A. yunnanensis, though these Pinaceae plants serve as a habitat for several Fusarium species. It holds true that the distribution of fungal communities within plants always vary due to host specificity and their interactions with distinct ecological niches. To the best of our knowledge, this was the first study to report the presence of endophytic fungi from K. evelyniana.
The preliminary screening of the antimicrobial activity revealed K. evelyniana as the host of endophytic fungi producing significant antimicrobial activity. About 33.3% of fungal strains exhibited antimicrobial activity against at least one pathogen, which was higher in comparison with 26.1% of active fungal extracts isolated from Pinus wallichiana [28]. In contrast, only 19% of total fungal endophytes isolated from the medicinal plant Arrabidaea chica could inhibit at least two pathogens, which was lower than that of K. evelyniana. Among bioactive strains, the most potent antibacterial activity was exhibited by the extract of F. boothii KET9. The fungus F. boothii is an important pathogen of barley, maize, pecan, and wheat [29]; however, the origin of this strain as an endophyte and its antibacterial activity have not been reported. Therefore, the extraction and determination of antimicrobial compounds produced by F. boothii KET9 will be an interesting subject in the near future.
It was observed that the extract of Xylaria sp. KET18 displayed the most powerful antimicrobial and anticancer activities. The chemical analysis revealed the presence of five known compounds, including methyl pyroglutamate, 2-(4-hydroxyphenyl) ethanol, prunetin, macrolactin A, and macrolactin F. Methyl pyroglutamate and 2-(4-hydroxyphenyl)ethanol are two oily, colorless compounds; meanwhile, the two macrolactins are powdery yellow compounds, and prunetin is a powdery white compound. Previous studies indicated that methyl pyroglutamate and prunetin are plant-derived compounds, while macrolactins are mainly produced by Bacillus spp. [21,30]. For the first time, this study demonstrates the production of methyl pyroglutamate, prunetin, and macrolactins by an endophytic fungus. Prunetin has been demonstrated for the cytotoxic effects on AGS [31] (human gastric adenocarcinoma) and MG-63 [32] (human osteosarcomacell lines). In this study, prunetin was demonstrated for cytotoxicity against A549 and MCF7 cell lines (IC50 < 100 µM). This strongly confirms that prunetin is an anticancer compound active on human cancer cell lines. Macrolactin A derived from Bacillus amyloliquefaciens CHO104 was reported for the antibacterial against S. aureus (inhibition zone of 12 mm) and E. coli (11 mm) [23]. Compared with macrolactin A extracted from Xylaria sp. KET18, those results were 1.6-fold and 1.5-fold lower for MRSA and E. coli, respectively. In addition, 2-(4-hydroxyphenyl) ethanol, known as tyrosol, has been proven for the antioxidant and antimicrobial activities. Tyrosol was able to not only scavenge hydroxyl and H2O2 but also inhibit E. coli and S. aureus [33]. It was in agreement with our results that tyrosol exhibited both radical scavenging (DPPH and hydroxyl) and antibacterial (E. coli and MRSA) activities. The presence of tyrosol in plant, fungi extracts was previously reported [15], which might result from multifaced interactions between fungal endophytes and plants. To sum up, this study provides new insights into bioactive compounds extracted from endophytic fungi is the first report to demonstrate the production of methyl pyroglutamate, prunetin, and macrolactins by an endophytic fungus.
5. Conclusions
In conclusion, this study reports for the first time the distribution and biological activity of endophytic fungi isolated from K. evelyniana. The results above prove that K. evelyniana is a host of promising fungi with anticancer and antimicrobial activities. The most potent endophytic fungus Xylaria sp. KET18 was also found to produce methyl pyroglutamate, prunetin, 2-(4-hydroxyphenyl) ethanol (tyrosol), macrolactin A, and macrolactin F, which have not been produced by fungi to date. All the compounds exhibited bioactivities, among which prunetin and two macrolactins showed antimicrobial, cytotoxic, and antioxidant effects. This study also implies that Xylaria sp. KET18 is a potential source of bioactive compounds applied in biomedicine. Future studies are required to shed light on metabolic and biosynthetic pathways of bioactive compounds at molecular and mechanistic levels.
Supplementary Materials
The following supporting information can be downloaded at https://www.mdpi.com/article/10.3390/app142311070/s1, Table S1: Morphological characteristics of colonies and sporangiums of some endophytic fungal strains isolated from K. evelyniana; Table S2: Molecular identification of 24 endophytic fungi isolated from K. evelyniana.
Author Contributions
Conceptualization, A.T.P., N.S.P., T.T.X.L. and Q.A.P.; methodology, T.H.N.V., N.T.Q., T.T.L.N., N.S.P. and T.T.D.; investigation, T.T.X.L., Q.A.P., H.Q.T. and H.A.D.; writing—original draft preparation, T.T.X.L. and N.S.P.; writing—review and editing, K.-S.C., H.H.C. and Q.-T.P. All authors have read and agreed to the published version of the manuscript.
Funding
This study was funded by the Vietnam Academy of Science and Technology (VAST) under grant number CSCL08.04/23-24.
Institutional Review Board Statement
Not applicable.
Informed Consent Statement
Not applicable.
Data Availability Statement
The data presented in this study are available in this paper.
Acknowledgments
The authors would like to acknowledge the support of the VAST-Culture Collection of Microorganisms (VCCM), Institute of Biotechnology, Vietnam Academy of Science and Technology (http://vccm.vast.vn/en) (accessed on 26 November 2024).
Conflicts of Interest
The authors declare no conflicts of interest.
References
- Jha, P.; Kaur, T.; Chhabra, I.; Panja, A.; Paul, S.; Kumar, V.; Malik, T. Endophytic fungi: Hidden treasure chest of antimicrobial metabolites interrelationship of endophytes and metabolites. Front. Microbiol. 2023, 14, 1227830. [Google Scholar] [CrossRef] [PubMed]
- Vu, T.H.N.; Pham, N.S.; Quach, N.T.; Le, P.C.; Pham, Q.A.; Ngo, C.C.; Nguyen, V.T.; Anh, D.H.; Quang, T.H.; Chu, H.H.; et al. Fusarium foetens AQF6 isolated from Amentotaxus ynnanensis H.L.Li as a prolific source of antioxidant compounds. Appl. Sci. 2024, 14, 2048. [Google Scholar] [CrossRef]
- Xie, J.; Wu, Y.-Y.; Zhang, T.-Y.; Zhang, M.-Y.; Peng, F.; Lin, B.; Zhang, Y.-X. New antimicrobial compounds produced by endophytic Penicillium janthinellum isolated from Panax notoginseng as potential inhibitors of FtsZ. Fitoterapia 2018, 131, 35–43. [Google Scholar] [CrossRef] [PubMed]
- Liu, H.; Chen, Y.; Li, S.; Zhang, W.; Liu, Z.; Tan, H.; Zhang, W. Trichothecene macrolides from the endophytic fungus Paramyrothecium roridum and their cytotoxic activity. Fitoterapia 2020, 147, 104768. [Google Scholar] [CrossRef]
- Becker, K.; Stadler, M. Recent progress in biodiversity research on the Xylariales and their secondary metabolism. J. Antibiot. 2021, 74, 1–23. [Google Scholar] [CrossRef]
- Liang, Y.; Xu, W.; Liu, C.; Zhou, D.; Liu, X.; Qin, Y.; Cao, F.; Li, J.; Yang, R.; Qin, J. Eremophilane sesquiterpenes from the endophytic fungus Xylaria sp. GDG-102. Nat. Prod. Res. 2019, 33, 1304–1309. [Google Scholar] [CrossRef]
- Gan, D.; Li, C.; Shu, Y.; Wang, J.; Wang, C.; Zhu, L.; Yang, Y.; Liu, J.; He, B.; Cai, L.; et al. Steroids and dihydroisocoumarin glycosides from Xylaria sp. by the one strain many compounds strategy and their bioactivities. Chin. J. Nat. Med. 2023, 21, 154–160. [Google Scholar] [CrossRef]
- Tang, C.Q.; Du, M.-R.; Wang, H.-C.; Shi, Y.-C.; Zeng, J.-L.; Xiao, S.-L.; Han, P.-B.; Wen, J.-R.; Yao, S.-Q.; Peng, M.-C.; et al. An unprotected vulnerable relict subtropical conifer—Keteleeria evelyniana: Its forests, populations, growth and endangerment by invasive alien plant species in China. Plant Divers. 2024, 46, 648–660. [Google Scholar] [CrossRef]
- Thai, T.H.; Hien, N.T.; Cuong, N.T.; Casanova, J.; Tomi, F.; Paoli, M. Chemical composition of essential oils isolated from leaves, twigs, roots and cones of Vietnamese Keteleeria evelyniana Mast. J. Essent. Oil Res. 2022, 34, 148–154. [Google Scholar] [CrossRef]
- He, W.J.; Fu, Z.H.; Han, H.J.; Yan, H.; Zeng, G.Z.; Ji, C.J.; Chu, H.B.; Zhang, Y.M.; Tan, N.H. Benzoic acid allopyranosides and lignan glycosides from the twigs of Keteleeria evelyniana. Z. Für Naturforschung B 2011, 66, 733–739. [Google Scholar] [CrossRef]
- Zhang, H.-B.; Yang, M.-X.; Tu, R. Unexpectedly high bacterial diversity in decaying wood of a conifer as revealed by a molecular method. Int. Biodeterior. Biodegrad. 2008, 62, 471–474. [Google Scholar] [CrossRef]
- Vu, T.H.N.; Quach, N.T.; Pham, Q.A.; Le, P.C.; Nguyen, V.T.; Le, T.T.X.; Do, T.T.; Anh, D.H.; Quang, T.H.; Chu, H.H.; et al. Fusarium solani PQF9 isolated from Podocarpus pilgeri growing in Vietnam as a new producer of paclitaxel. Indian J. Microbiol. 2023, 63, 596–603. [Google Scholar] [CrossRef] [PubMed]
- Vu, T.H.N.; Pham, N.S.; Le, P.C.; Pham, Q.A.; Quach, N.T.; Nguyen, V.T.; Do, T.T.; Chu, H.H.; Phi, Q.T. Distribution, cytotoxicity, and antioxidant activity of fungal endophytes isolated from Tsuga Chinensis (Franch.) Pritz. in Ha Giang province, Vietnam. Ann. Microbiol. 2022, 72, 36. [Google Scholar] [CrossRef]
- Quach, N.T.; Vu, T.H.N.; Bui, T.L.; Pham, A.T.; Nguyen, T.T.A.; Le, T.T.X.; Ta, T.T.T.; Dudhagara, P.; Phi, Q.T. Genome-guided investigation provides new insights into secondary metabolites of Streptomyces parvulus SX6 from Aegiceras corniculatum. Pol. J. Microbiol. 2022, 71, 381–394. [Google Scholar] [CrossRef]
- da Silva, M.H.R.; Cueva-Yesquén, L.G.; Júnior, S.B.; Garcia, V.L.; Sartoratto, A.; de Angelis, D.d.F.; de Angelis, D.A. Endophytic fungi from Passiflora incarnata: An antioxidant compound source. Arch. Microbiol. 2020, 202, 2779–2789. [Google Scholar] [CrossRef]
- Kadaikunnan, S.; Rejiniemon, T.; Khaled, J.M.; Alharbi, N.S.; Mothana, R. In-vitro antibacterial, antifungal, antioxidant and functional properties of Bacillus amyloliquefaciens. Ann. Clin. Microbiol. Antimicrob. 2015, 14, 9. [Google Scholar] [CrossRef]
- Visagie, C.; Houbraken, J.; Frisvad, J.C.; Hong, S.-B.; Klaassen, C.; Perrone, G.; Seifert, K.; Varga, J.; Yaguchi, T.; Samson, R.A. Identification and nomenclature of the genus Penicillium. Stud. Mycol. 2014, 78, 343–371. [Google Scholar] [CrossRef]
- Moss, M.O. Morphology and physiology of Penicillium and Acremonium. In Penicillium and Acremonium; Springer: Berlin/Heidelberg, Germany, 1987; pp. 37–71. [Google Scholar]
- Stolk, A.C.; Samson, R.A. The Genus Talaromyces: Studies on Talaromyces and Related Genera II; Centraalbureau voor Schimmelcultures: Baarn, The Netherlands, 1972; Volume 2. [Google Scholar]
- Canga, I.; Vita, P.; Oliveira, A.I.; Castro, M.; Pinho, C. In vitro cytotoxic activity of African plants: A review. Molecules 2022, 27, 4989. [Google Scholar] [CrossRef]
- Yang, Y.-b.; Tan, N.-h.; Zhang, F.; Lu, Y.-q.; He, M.; Zhou, J. Cyclopeptides and amides from Pseudostellaria heterophylla (Caryophyllaceae). Helv. Chim. Acta 2003, 86, 3376–3379. [Google Scholar] [CrossRef]
- Kwak, J.H.; Kang, M.W.; Roh, J.H.; Choi, S.U.; Zee, O.P. Cytotoxic phenolic compounds from Chionanthus retusus. Arch. Pharmacal Res. 2009, 32, 1681–1687. [Google Scholar] [CrossRef]
- Lee, S.J.; Cho, J.Y.; Cho, J.I.; Moon, J.H.; Park, K.D.; Lee, Y.J.; Park, K.H. Isolation and characterization of antimicrobial substance macrolactin A produced from Bacillus amyloliquefaciens CHO104 isolated from soil. J. Microbiol. Biotechnol. 2004, 14, 525–531. [Google Scholar]
- Nagao, T.; Adachi, K.; Sakai, M.; Nishijima, M.; Sano, H. Novel macrolactins as antibiotic lactones from a marine bacterium. J. Antibiot. 2001, 54, 333–339. [Google Scholar] [CrossRef] [PubMed]
- Awouafack, M.D.; Spiteller, P.; Lamshöft, M.; Kusari, S.; Ivanova, B.; Tane, P.; Spiteller, M. Antimicrobial isopropenyl-dihydrofuranoisoflavones from Crotalaria lachnophora. J. Nat. Prod. 2011, 74, 272–278. [Google Scholar] [CrossRef] [PubMed]
- Katoch, M.; Phull, S.; Vaid, S.; Singh, S. Diversity, phylogeny, anticancer and antimicrobial potential of fungal endophytes associated with Monarda citriodora L. BMC Microbiol. 2017, 17, 44. [Google Scholar] [CrossRef]
- Abdel-Fatah, S.S.; El-Batal, A.I.; El-Sherbiny, G.M.; Khalaf, M.A.; El-Sayed, A.S. Production, bioprocess optimization and γ-irradiation of Penicillium polonicum, as a new Taxol producing endophyte from Ginko biloba. Biotechnol. Rep. 2021, 30, e00623. [Google Scholar] [CrossRef]
- Qadri, M.; Rajput, R.; Abdin, M.Z.; Vishwakarma, R.A.; Riyaz-Ul-Hassan, S. Diversity, molecular phylogeny, and bioactive potential of fungal endophytes associated with the Himalayan blue pine (Pinus wallichiana). Microb. Ecol. 2014, 67, 877–887. [Google Scholar] [CrossRef]
- Gryzenhout, M.; Khooa, B.; Landman, L. First report of Fusarium boothii from pecan (Carya illinoinensis) and camel thorn (Vachellia erioloba) trees in South Africa. S. Afr. J. Bot. 2016, 105, 158–162. [Google Scholar] [CrossRef]
- Wu, T.; Xiao, F.; Li, W. Macrolactins: Biological activity and biosynthesis. Mar. Life Sci. Technol. 2021, 3, 62–68. [Google Scholar] [CrossRef]
- Vetrivel, P.; Kim, S.M.; Ha, S.E.; Kim, H.H.; Bhosale, P.B.; Senthil, K.; Kim, G.S.J.B. Compound prunetin induces cell death in gastric cancer cell with potent anti-proliferative properties: In vitro assay, molecular docking, dynamics, and ADMET studies. Biomolecules 2020, 10, 1086. [Google Scholar] [CrossRef]
- Gao, M.; Wang, Y.; Liu, W.; Song, Z.; Wang, X.; Zhang, X.J.P.M. Prunetin Triggers ROS-mediated Apoptosis through the Suppression of MAPKs/STAT-3/NF-κB-p65 Signaling Pathway in Human Osteosarcoma Cells. Pharmacogn. Mag. 2024, 20, 336–346. [Google Scholar] [CrossRef]
- Casadey, R.; Challier, C.; Altamirano, M.; Spesia, M.B.; Criado, S.J.F.C. Antioxidant and antimicrobial properties of tyrosol and derivative-compounds in the presence of vitamin B2. Assays of synergistic antioxidant effect with commercial food additives. Food Chem. 2021, 335, 127576. [Google Scholar] [CrossRef]
Disclaimer/Publisher’s Note: The statements, opinions and data contained in all publications are solely those of the individual author(s) and contributor(s) and not of MDPI and/or the editor(s). MDPI and/or the editor(s) disclaim responsibility for any injury to people or property resulting from any ideas, methods, instructions or products referred to in the content. |
© 2024 by the authors. Licensee MDPI, Basel, Switzerland. This article is an open access article distributed under the terms and conditions of the Creative Commons Attribution (CC BY) license (https://creativecommons.org/licenses/by/4.0/).



