Effects of Red Dragon Fruit Puree Application on Physicochemical Properties of Selected Bakery Products
Abstract
1. Introduction
2. Materials and Methods
2.1. Materials
2.2. Methods
2.2.1. Bakery Products Preparation
- a.
- White bread
- b.
- Steamed Buns
- c.
- Donuts
2.2.2. Moisture Content Analysis
2.2.3. Specific Volume Analysis
2.2.4. Texture Analysis
2.2.5. Color Determination
2.2.6. Dietary Fiber Analysis
2.2.7. Methanolic Extract of Sample
2.2.8. Total Phenolic Content
2.2.9. DPPH Radical Scavenging Activity
2.2.10. Superoxide Radical Scavenging Activity
2.2.11. Sensory Analysis of Bakery Products
2.2.12. Statistical Analysis
3. Results and Discussion
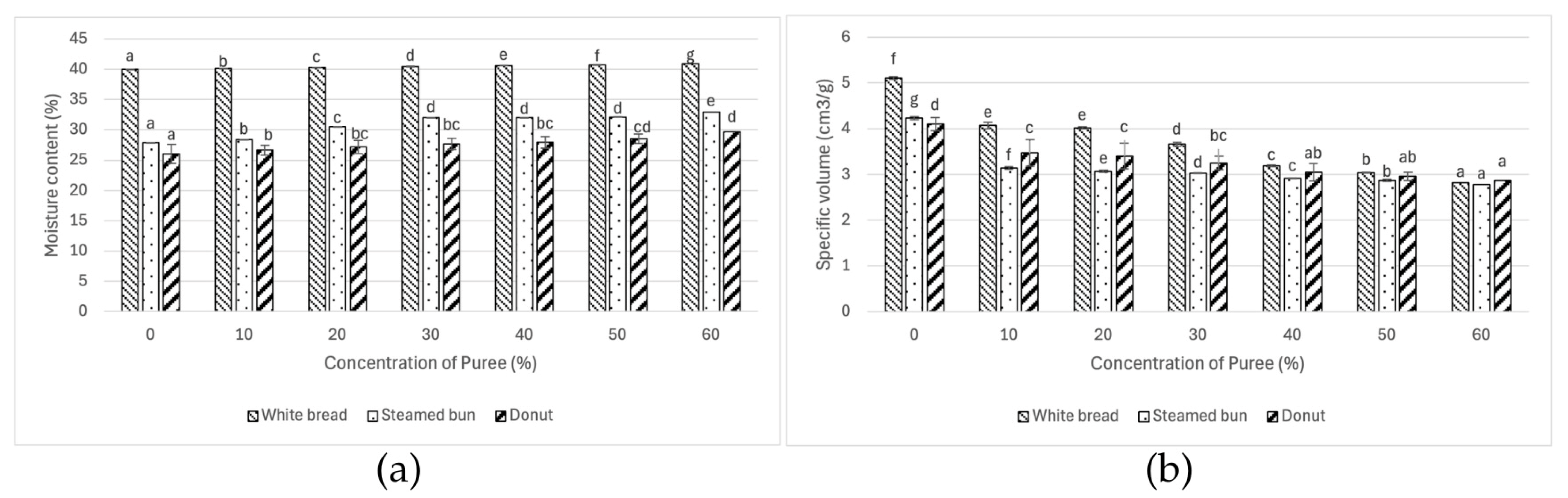
3.1. Moisture Content
3.2. Specific Volume
3.3. Texture
3.3.1. Hardness
3.3.2. Springiness
3.3.3. Cohesiveness
3.4. Color
3.5. Dietary Fiber
3.6. Phenolic and Antioxidant Activity
3.7. Sensory Analysis
4. Conclusions
Author Contributions
Funding
Institutional Review Board Statement
Informed Consent Statement
Data Availability Statement
Acknowledgments
Conflicts of Interest
References
- Hackenberg, S.; Verheyen, C.; Jekle, M.; Becker, T. Effect of Mechanically Modified Wheat Flour on Dough Fermentation Properties and Bread Quality. Eur. Food Res. Technol. 2017, 243, 287–296. [Google Scholar] [CrossRef]
- Ayustaningwarno, F.; Ayu, A.M.; Syiffah, L.; Muthia, H.; Amalina, F.A.; Afifah, D.N.; Nindita, Y.; Maharani, N.; Widyastuti, N.; Anjani, G.; et al. Physicochemical and Sensory Properties of Cookies with Cricket Powder as an Alternative Snack to Prevents Iron Deficiency Anemia and Chronic Energy Deficiency. Appl. Food Res. 2024, 4, 100485. [Google Scholar] [CrossRef]
- Ngadiarti, I.; Nurkolis, F.; Handoko, M.N.; Perdana, F.; Permatasari, H.K.; Taslim, N.A.; Mayulu, N.; Wewengkang, D.S.; Noor, S.L.; Batubara, S.C.; et al. Anti-Aging Potential of Cookies from Sea Grapes in Mice Fed on Cholesterol- and Fat-Enriched Diet: In Vitro with in Vivo Study. Heliyon 2022, 8, e09348. [Google Scholar] [CrossRef] [PubMed]
- Jones, K.D.; Ali, R.; Khasira, M.A.; Odera, D.; West, A.L.; Koster, G.; Akomo, P.; Talbert, A.W.; Goss, V.M.; Ngari, M.; et al. Ready-to-Use Therapeutic Food with Elevated n-3 Polyunsaturated Fatty Acid Content, with or without Fish Oil, to Treat Severe Acute Malnutrition: A Randomized Controlled Trial. BMC Med. 2015, 14, 93. [Google Scholar] [CrossRef] [PubMed]
- Shah, M.A.; Tariq, S.; Abuzar, S.M.; Ilyas, K.; Qadees, I.; Alsharif, I.; Anam, K.; Almutairi, R.T.; Al-Regaiey, K.A.; Babalghith, A.O.; et al. Peel Waste of Citrus Fruits: A Valuable and Renewable Source of Polyphenols for the Treatment of Diabesity. Curr. Res. Biotechnol. 2024, 7, 100204. [Google Scholar] [CrossRef]
- Paramita, V.; Ummah, A.R.; Kusumayanti, H.; Amalia, R.; Widyati, W. Green Solvent on Microwave Assisted Extraction of Wuluh Star Fruit. Mater. Today Proc. 2023, 87, 86–92. [Google Scholar] [CrossRef]
- Betoret, E.; Rosell, C.M. Enrichment of Bread with Fruits and Vegetables: Trends and Strategies to Increase Functionality. Cereal Chem. 2020, 97, 9–19. [Google Scholar] [CrossRef]
- González, C.M.; Garzón, R.; Rosell, C.M. Insects as Ingredients for Bakery Goods. A Comparison Study of H. Illucens, A. Domestica and T. Molitor Flours. Innov. Food Sci. Emerg. Technol. 2019, 51, 205–210. [Google Scholar] [CrossRef]
- Tarte, I.; Singh, A.; Dar, A.H.; Sharma, A.; Altaf, A.; Sharma, P. Unfolding the Potential of Dragon Fruit (Hylocereus spp.) for Value Addition: A Review. eFood 2023, 4, e76. [Google Scholar] [CrossRef]
- Torgbo, S.; Sukatta, U.; Kamonpatana, P.; Sukyai, P. Ohmic Heating Extraction and Characterization of Rambutan (Nephelium lappaceum L.) Peel Extract with Enhanced Antioxidant and Antifungal Activity as a Bioactive and Functional Ingredient in White Bread Preparation. Food Chem. 2022, 382, 132332. [Google Scholar] [CrossRef]
- Yang, B.; Zhang, Y.; Yuan, J.; Yang, M.; Yang, R.; Gu, Z.; Xie, C.; Zhou, Q.; Jiang, D.; Zhou, J.; et al. Impact of Different Frozen Dough Technology on the Quality and Gluten Structure of Steamed Buns. Foods 2022, 11, 3833. [Google Scholar] [CrossRef] [PubMed]
- Huq, S.; Das, P.C.; Islam, M.A.; Jubayer, M.F.; Ranganathan, T.V.; Mazumder, M.A.R. Nutritional, Textural, and Sensory Quality of Oil Fried Donut Enriched with Extracted Dietary Fiber and Okara Flour. J. Food Process. Preserv. 2021, 45, e15310. [Google Scholar] [CrossRef]
- AOAC. Determination of Moisture, Ash, Protein and Fat. In Official Method of Analysis of the Association of Analytical Chemists; AOAC: Washington, DC, USA, 2005. [Google Scholar]
- Coţovanu, I.; Ungureanu-Iuga, M.; Mironeasa, S. Investigation of Quinoa Seeds Fractions and Their Application in Wheat Bread Production. Plants 2021, 10, 2150. [Google Scholar] [CrossRef] [PubMed]
- Ammar, A.; Zhang, H.; Siddeeg, A.; Chamba, M.V.M.; Kimani, B.G.; Hassanin, H.; Obadi, M.; Alhejj, N. Effect of the Addition of Alhydwan Seed Flour on the Dough Rheology, Bread Quality, Texture Profile and Microstructure of Wheat Bread. J. Texture Stud. 2016, 47, 484–495. [Google Scholar] [CrossRef]
- Tomić, J.; Torbica, A.; Belović, M. Effect of Non-Gluten Proteins and Transglutaminase on Dough Rheological Properties and Quality of Bread Based on Millet (Panicum miliaceum) Flour. LWT 2020, 118, 108852. [Google Scholar] [CrossRef]
- Theander, O.; Åman, P.; Westerlund, E.; Graham, H. Enzymatic/Chemical Analysis of Dietary Fiber. J. Aoac Int. 1994, 77, 703–709. [Google Scholar] [CrossRef]
- Jati, I.R.A.P.; Darmoatmodjo, L.M.Y.D.; Suseno, T.I.P.; Ristiarini, S.; Wibowo, C. Effect of Processing on Bioactive Compounds, Antioxidant Activity, Physicochemical, and Sensory Properties of Orange Sweet Potato, Red Rice, and Their Application for Flake Products. Plants 2022, 11, 440. [Google Scholar] [CrossRef]
- Jati, I.R.A.P.; Setijawaty, E.; Utomo, A.R.; Darmoatmodjo, L.M.Y.D. The Application of Aloe Vera Gel as Coating Agent to Maintain the Quality of Tomatoes during Storage. Coatings 2022, 12, 1480. [Google Scholar] [CrossRef]
- Vadivel, V.; Biesalski, H.K. Contribution of Phenolic Compounds to the Antioxidant Potential and Type II Diabetes Related Enzyme Inhibition Properties of Pongamia pinnata L. Pierre Seeds. Process Biochem. 2011, 46, 1973–1980. [Google Scholar] [CrossRef]
- Ortiz De Erive, M.; He, F.; Wang, T.; Chen, G. Development of β-Glucan Enriched Wheat Bread Using Soluble Oat Fiber. J. Cereal Sci. 2020, 95, 103051. [Google Scholar] [CrossRef]
- Föste, M.; Verheyen, C.; Jekle, M.; Becker, T. Fibres of Milling and Fruit Processing By-Products in Gluten-Free Bread Making: A Review of Hydration Properties, Dough Formation and Quality-Improving Strategies. Food Chem. 2020, 306, 125451. [Google Scholar] [CrossRef] [PubMed]
- Zhou, Y.; Dhital, S.; Zhao, C.; Ye, F.; Chen, J.; Zhao, G. Dietary Fiber-Gluten Protein Interaction in Wheat Flour Dough: Analysis, Consequences and Proposed Mechanisms. Food Hydrocoll. 2021, 111, 106203. [Google Scholar] [CrossRef]
- Kęska, P.; Gazda, P.; Siłka, Ł.; Mazurek, K.; Stadnik, J. Nutrition Value of Baked Meat Products Fortified with Lyophilized Dragon Fruit (Hylocereus undatus). Foods 2023, 12, 3550. [Google Scholar] [CrossRef] [PubMed]
- Bassey, E.J.; Cheng, J.-H.; Sun, D.-W. Novel Nonthermal and Thermal Pretreatments for Enhancing Drying Performance and Improving Quality of Fruits and Vegetables. Trends Food Sci. Technol. 2021, 112, 137–148. [Google Scholar] [CrossRef]
- Verdonck, C.; De Bondt, Y.; Pradal, I.; Bautil, A.; Langenaeken, N.A.; Brijs, K.; Goos, P.; De Vuyst, L.; Courtin, C.M. Impact of Process Parameters on the Specific Volume of Wholemeal Wheat Bread Made Using Sourdough- and Baker’s Yeast-Based Leavening Strategies. Int. J. Food Microbiol. 2023, 396, 110193. [Google Scholar] [CrossRef]
- Arı Akın, P.; Tayfun, K.E.; Tamer, U.; Boyacı, İ.H. Use of Tea Fibers as a Source of Dietary Fiber in Wheat Flour and Bread. Cereal Chem. 2021, 98, 1049–1058. [Google Scholar] [CrossRef]
- Xin, T.; Tang, S.; Su, T.; Huang, Z.; Huang, F.; Zhang, R.; Dong, L.; Deng, M.; Shen, Y.; Su, D. Impact of Replacing Wheat Flour with Lychee Juice By-Products on Bread Quality Characteristics and Microstructure. LWT 2022, 165, 113696. [Google Scholar] [CrossRef]
- Guiné, R.P.F. Textural Properties of Bakery Products: A Review of Instrumental and Sensory Evaluation Studies. Appl. Sci. 2022, 12, 8628. [Google Scholar] [CrossRef]
- Bilgic, H.; Sensoy, I. Effect of Psyllium and Cellulose Fiber Addition on the Structure and the Starch Digestibility of Bread and Crackers. Food Struct. 2023, 35, 100302. [Google Scholar] [CrossRef]
- Mai, T.H.A.; Tran, T.T.T.; Le, V.V.M. Use of Pitaya Peel Powder for Partial Replacement of Wheat Flour in Cookie Making: Effects of Particle Size of Pitaya Peel Powder on the Product Quality. Food Process. Preserv. 2022, 46, e16214. [Google Scholar] [CrossRef]
- Baskaya-Sezer, D. The Characteristics of Microwave-treated Insoluble and Soluble Dietary Fibers from Grape and Their Effects on Bread Quality. Food Sci. Nutr. 2023, 11, 7877–7886. [Google Scholar] [CrossRef] [PubMed]
- Jia, M.; Yu, Q.; Chen, J.; He, Z.; Chen, Y.; Xie, J.; Nie, S.; Xie, M. Physical Quality and in Vitro Starch Digestibility of Biscuits as Affected by Addition of Soluble Dietary Fiber from Defatted Rice Bran. Food Hydrocoll. 2020, 99, 105349. [Google Scholar] [CrossRef]
- Bugarín, R.; Gómez, M. Can Citrus Fiber Improve the Quality of Gluten-Free Breads? Foods 2023, 12, 1357. [Google Scholar] [CrossRef] [PubMed]
- Chumroenvidhayakul, S.; Thilavech, T.; Abeywardena, M.; Adisakwattana, S. Dragon Fruit Peel Waste (Hylocereus undatus) as a Potential Ingredient for Reducing Lipid Peroxidation, Dietary Advanced Glycation End Products, and Starch Digestibility in Cookies. Antioxidants 2023, 12, 1002. [Google Scholar] [CrossRef]
- Conceição, L.D.S.; Almeida, B.S.D.; Souza, S.F.D.; Martinez, V.O.; Matos, M.F.R.D.; Andrade, L.L.; Ruggiero, W.F.; Pinto Matos, L.C. Critical Conditions for the Formation of Maillard Reaction Products (MRP) in Bread: An Integrative Review. J. Cereal Sci. 2024, 118, 103985. [Google Scholar] [CrossRef]
- Le, N.L. Functional Compounds in Dragon Fruit Peels and Their Potential Health Benefits: A Review. Int. J. Food Sci. Technol. 2022, 57, 2571–2580. [Google Scholar] [CrossRef]
- Pawde, S.; Talib, M.I.; Parate, V.R. Development of Fiber-Rich Biscuit by Incorporating Dragon Fruit Powder. Int. J. Fruit. Sci. 2020, 20, S1620–S1628. [Google Scholar] [CrossRef]
- Huang, Y.; He, M.; Kasapis, S.; Brennan, M.; Brennan, C. The Influence of the Fortification of Red Pitaya (Hylocereus polyrhizus) Powder on the in Vitro Digestion, Physical Parameters, Nutritional Profile, Polyphenols and Antioxidant Activity in the Oat-wheat Bread. Int. J. Food Sci. Technol. 2022, 57, 2729–2738. [Google Scholar] [CrossRef]
- Xu, J.; Li, Y.; Zhao, Y.; Wang, D.; Wang, W. Influence of Antioxidant Dietary Fiber on Dough Properties and Bread Qualities: A Review. J. Funct. Foods 2021, 80, 104434. [Google Scholar] [CrossRef]
- He, Y.; Wang, B.; Wen, L.; Wang, F.; Yu, H.; Chen, D.; Su, X.; Zhang, C. Effects of Dietary Fiber on Human Health. Food Sci. Hum. Wellness 2022, 11, 1–10. [Google Scholar] [CrossRef]
- Nishikito, D.F.; Borges, A.C.A.; Laurindo, L.F.; Otoboni, A.M.M.B.; Direito, R.; Goulart, R.D.A.; Nicolau, C.C.T.; Fiorini, A.M.R.; Sinatora, R.V.; Barbalho, S.M. Anti-Inflammatory, Antioxidant, and Other Health Effects of Dragon Fruit and Potential Delivery Systems for Its Bioactive Compounds. Pharmaceutics 2023, 15, 159. [Google Scholar] [CrossRef] [PubMed]
- Dadhaneeya, H.; Kesavan, R.K.; Inbaraj, B.S.; Sharma, M.; Kamma, S.; Nayak, P.K.; Sridhar, K. Impact of Different Drying Methods on the Phenolic Composition, In Vitro Antioxidant Activity, and Quality Attributes of Dragon Fruit Slices and Pulp. Foods 2023, 12, 1387. [Google Scholar] [CrossRef] [PubMed]
- Tan, C.X.; Lim, S.W.; Tan, S.S.; Tan, S.T. Characterization of Juice Extracted from Ultrasonic-Treated Red Pitaya Flesh. Horticulturae 2023, 9, 92. [Google Scholar] [CrossRef]
- Li, C.; Wang, S.; Tao, J.; Wang, J.; Wu, Z. Monitoring Quality Parameters and Antioxidant Potential of Fresh-Cut Red Pitaya Fruit Treated with Gaseous Ozone Using Kinetic Models. Food Meas. 2023, 17, 4208–4224. [Google Scholar] [CrossRef]
- Rahayuningsih, E.; Setiawan, F.A.; Rahman, A.B.K.; Siahaan, T.; Petrus, H.T.B.M. Microencapsulation of Betacyanin from Red Dragon Fruit (Hylocereus polyrhizus) Peels Using Pectin by Simple Coacervation to Enhance Stability. J. Food Sci. Technol. 2021, 58, 3379–3387. [Google Scholar] [CrossRef] [PubMed]
- Arivalagan, M.; Karunakaran, G.; Roy, T.K.; Dinsha, M.; Sindhu, B.C.; Shilpashree, V.M.; Satisha, G.C.; Shivashankara, K.S. Biochemical and Nutritional Characterization of Dragon Fruit (Hylocereus Species). Food Chem. 2021, 353, 129426. [Google Scholar] [CrossRef]
- Dang-Bao, T.; Tran, U.P.N. Stability Improvement of Betalains Recovered from Red Dragon Fruit Peels (Hylocereus polyrhizus) by Cellulose-Based Encapsulation. Fibers Polym. 2023, 24, 2683–2696. [Google Scholar] [CrossRef]
- Smith, J.; Noble, H. Bias in Research. Evid. Based Nurs. 2014, 17, 100–101. [Google Scholar] [CrossRef]



| Product | Ingredients | Formulation | |||||
|---|---|---|---|---|---|---|---|
| P1 | P2 | P3 | P4 | P5 | P6 | ||
| White Bread | wheat flour (g) | 500 | 500 | 500 | 500 | 500 | 500 |
| cold water (g) | 225 | 200 | 175 | 150 | 125 | 100 | |
| red dragon fruit puree (g) | 25 | 50 | 75 | 100 | 125 | 150 | |
| yeast (g) | 10 | 10 | 10 | 10 | 10 | 10 | |
| bread improver (g) | 4 | 4 | 4 | 4 | 4 | 4 | |
| sucrose (g) | 100 | 100 | 100 | 100 | 100 | 100 | |
| salt (g) | 5 | 5 | 5 | 5 | 5 | 5 | |
| milk powder (g) | 40 | 40 | 40 | 40 | 40 | 40 | |
| margarine (g) | 60 | 60 | 60 | 60 | 60 | 60 | |
| egg yolk (g) | 24 | 24 | 24 | 24 | 24 | 24 | |
| egg white (g) | 36 | 36 | 36 | 36 | 36 | 36 | |
| Total | 1029 | 1029 | 1029 | 1029 | 1029 | 1029 | |
| Steamed Bun | wheat flour (g) | 500 | 500 | 500 | 500 | 500 | 500 |
| cold water (g) | 225 | 200 | 175 | 150 | 125 | 100 | |
| red dragon fruit puree (g) | 25 | 50 | 75 | 100 | 125 | 150 | |
| yeast (g) | 10 | 10 | 10 | 10 | 10 | 10 | |
| sucrose (g) | 100 | 100 | 100 | 100 | 100 | 100 | |
| baking powder (g) | 5 | 5 | 5 | 5 | 5 | 5 | |
| egg white (g) | 36 | 36 | 36 | 36 | 36 | 36 | |
| salt (g) | 3 | 3 | 3 | 3 | 3 | 3 | |
| shortening (g) | 50 | 50 | 50 | 50 | 50 | 50 | |
| Total | 918 | 918 | 918 | 918 | 918 | 918 | |
| Donut | wheat flour (g) | 500 | 500 | 500 | 500 | 500 | 500 |
| cold water (g) | 225 | 200 | 175 | 150 | 125 | 100 | |
| red dragon fruit puree | 25 | 50 | 75 | 100 | 125 | 150 | |
| yeast (g) | 10 | 10 | 10 | 10 | 10 | 10 | |
| egg yolk (g) | 24 | 24 | 24 | 24 | 24 | 24 | |
| egg white (g) | 36 | 36 | 36 | 36 | 36 | 36 | |
| bread improver (g) | 4 | 4 | 4 | 4 | 4 | 4 | |
| sucrose (g) | 100 | 100 | 100 | 100 | 100 | 100 | |
| salt (g) | 5 | 5 | 5 | 5 | 5 | 5 | |
| margarine (g) | 60 | 60 | 60 | 60 | 60 | 60 | |
| milk powder (g) | 40 | 40 | 40 | 40 | 40 | 40 | |
| Total | 1029 | 1029 | 1029 | 1029 | 1029 | 1029 | |
| Parameters | Products | Concentration of Dragon Fruit Puree (%) * | ||||||
|---|---|---|---|---|---|---|---|---|
| 0 | 10 | 20 | 30 | 40 | 50 | 60 | ||
| Hardness | White bread | 958 ± 24.1 a | 1014.22 ± 39.8 b | 1549.49 ± 30.2 c | 1852.95 ± 31.9 d | 2104.63 ± 27.5 e | 2348.59 ± 25.1 f | 2946.46 ± 22.3 g |
| Steamed bun | 873 ± 14.5 a | 1022.6 ± 22.1 b | 1623.26 ± 28.4 c | 2020.83 ± 24.9 d | 2664.54 ± 35.6 e | 3053.57 ± 29.4 f | 3259.69 ± 31.5 g | |
| Donut | 892 ± 21.8 a | 1456.94 ± 31.6 b | 1694.46 ± 27.2 c | 2174.51 ± 35.7 d | 2407.77 ± 29.5 e | 2906.78 ± 31.4 f | 3280.88 ± 34.9 g | |
| Springiness | White bread | 0.934 ± 0.05 a | 0.887 ± 0.03 b | 0.829 ± 0.05 c | 0.744 ± 0.05 d | 0.729 ± 0.06 e | 0.601 ± 0.01 f | 0.568 ± 0.03 g |
| Steamed bun | 0.905 ± 0.04 d | 0.887 ± 0.02 d | 0.843 ± 0.02 cd | 0.793 ± 0.02 bc | 0.744 ± 0.02 ab | 0.726 ± 0.05 a | 0.697 ± 0.03 a | |
| Donut | 0.651 ± 0.08 b | 0.643 ± 0.11 b | 0.627 ± 0.10 b | 0.5 ± 0.07 a | 0.458 ± 0.07 a | 0.445 ± 0.03 a | 0.457 ± 0.06 a | |
| Cohesiveness | White bread | 0.442 ± 0.04 a | 0.452 ± 0.05 a | 0.473 ± 0.04 ab | 0.534 ± 0.05 bc | 0.589 ± 0.05 cd | 0.626 ± 0.04 de | 0.646 ± 0.01 e |
| Steamed bun | 0.523 ± 0.02 a | 0.52 ± 0.01 a | 0.516 ± 0.04 a | 0.562 ± 0.02 b | 0.573 ± 0.03 b | 0.626 ± 0.02 c | 0.646 ± 0.01 c | |
| Donut | 0.335 ± 0.02 a | 0.345 ± 0.04 a | 0.347 ± 0.02 a | 0.387 ± 0.02 ab | 0.388 ± 0.07 ab | 0.445 ± 0.03 bc | 0.472 ± 0.06 c | |
| Sample | Puree Concentration | Parameters * | ||||
|---|---|---|---|---|---|---|
| L* | a* | b* | C | Hue | ||
| White bread | 10 | 89.9 ± 0.2 f | 26.8 ± 0.5 a | 13.5 ± 0.5 a | 29.3 ± 0.9 a | 24.8 ± 0.7 a |
| 20 | 75.3 ± 2.5 e | 24.9 ± 1.5 b | 10.3 ± 0.5 b | 22.7 ± 1.3 b | 10.5 ± 0.4 b | |
| 30 | 72.7 ± 1.7 d | 26.8 ± 1.3 c | 15.5 ± 1.1 c | 28.3 ± 1.5 a | 23.2 ± 2.4 c | |
| 40 | 64.5 ± 1.02 c | 34.9 ± 1.2 d | 7.6 ± 1.4 d | 35.8 ± 0.9 c | 12.4 ± 1.2 d | |
| 50 | 60.2 ± 1.9 b | 32.1 ± 2.9 e | 11.8 ± 0.9 e | 33.5 ± 1.3 d | 19.9 ± 1.3 e | |
| 60 | 58.6 ± 1.4 a | 33.7 ± 1.4 f | 9.1 ± 0.4 f | 34.7 ± 1.5 d | 14.7 ± 1.3 f | |
| Steamed bun | 10 | 87.9 ± 0.2 f | 24.8 ± 0.7 a | 11.5 ± 0.5 a | 27.3 ± 0.9 a | 24.8 ± 0.7 a |
| 20 | 75.3 ± 2.5 e | 22.7 ± 1.3 b | 8.5 ± 0.4 b | 22.7 ± 1.3 b | 8.5 ± 0.4 b | |
| 30 | 67.5 ± 1.3 d | 26.4 ± 2.4 c | 10.1 ± 0.9 a | 28.3 ± 1.5 c | 20.9 ± 1.6 c | |
| 40 | 61.2 ± 1.1 c | 33.2 ± 1.3 d | 5.8 ± 1.5 c | 33.7 ± 0.9 d | 9.9 ± 1.2 d | |
| 50 | 59.5 ± 2.2 b | 30.2 ± 2.6 e | 9.7 ± 1.1 a | 31.7 ± 1.4 e | 17.8 ± 1.1 e | |
| 60 | 56.8 ± 1.2 a | 31.6 ± 1.5 f | 7.3 ± 0.7 d | 32.4 ± 1.6 f | 13.1 ± 0.3 f | |
| Donut | 10 | 72.8 ± 0.6 f | 15.5 ± 0.8 a | 19.4 ± 1.3 a | 24.7 ± 0.6 a | 50.0 ± 0.3 a |
| 20 | 69 ± 0.8 e | 21.4 ± 0.5 b | 16.2 ± 0.2 b | 27.0 ± 1.0 b | 37.5 ± 0.2 b | |
| 30 | 62.2 ± 0.6 d | 23.7 ± 0.3 c | 15.5 ± 0.5 c | 28.5 ± 0.9 c | 33.6 ± 0.2 c | |
| 40 | 59.2 ± 0.7 c | 25.6 ± 0.7 d | 10.8 ± 0.4 d | 29.1 ± 0.5 cd | 22.1 ± 0.2 d | |
| 50 | 58.8 ± 1.2 b | 28.0 ± 0.1 e | 10.0 ± 0.2 d | 29.8 ± 0.8 d | 19.5 ± 0.2 e | |
| 60 | 54.7 ± 1.2 a | 29.6 ± 0.4 f | 8.9 ± 0.4 e | 30.5 ± 0.6 d | 15.6 ± 0.3 f | |
| Parameters | Products | Concentration of Dragon Fruit Puree (%) * | |||||
|---|---|---|---|---|---|---|---|
| 10 | 20 | 30 | 40 | 50 | 60 | ||
| Color | White bread | 3.7 ± 1.0 a | 4.5 ± 1.7 ab | 3.6 ± 1.4 e | 5 ± 1.1 d | 5.6 ± 1.1 b | 4.0 ± 1.6 b |
| Steamed bun | 3.7 ± 1.8 a | 3.65 ± 1.5 a | 3.3 ± 1.4 a | 5.95 ± 1.1 c | 6.1 ± 1.2 c | 4.3 ± 1.6 b | |
| Donut | 2.3 ± 0.9 a | 2.85 ± 1.4 b | 4 ± 1.3 c | 5.4 ± 1 d | 6.1 ± 1.1 e | 5.65 ± 1.2 d | |
| Taste | White bread | 4.6 ± 1.6 a | 4.5 ± 1.5 a | 5.2 ± 1 b | 4.5 ± 1.6 a | 5.0 ± 1.5 b | 5.4 ± 1.1 b |
| Steamed bun | 5.3 ± 1.3 bc | 4.9 ± 1.4 ab | 4.85 ± 1.4 a | 4.85 ± 1.8 a | 5.8 ± 1.3 d | 5.7 ± 1.4 cd | |
| Donut | 4.5 ± 1.3 a | 4.55 ± 1.5 a | 4.55 ± 1.4 a | 5.65 ± 0.9 b | 5.8 ± 1.1 b | 5.5 ± 0.9 b | |
| Texture | White bread | 5.1 ± 1.6 a | 4.95 ± 1.3 ab | 4.45 ± 1.8 b | 5.05 ± 1.3 ab | 4.65 ± 1.8 ab | 4.85 ± 1.8 ab |
| Steamed bun | 5.1 ± 1.6 b | 4.95 ± 1.3 b | 4.45 ± 1.8 a | 5.05 ± 1.3 b | 4.65 ± 1.8 ab | 4.85 ± 1.8 ab | |
| Donut | 4.5 ± 1.8 a | 4.35 ± 1.5 a | 4.55 ± 1.5 a | 5.4 ± 1.3 b | 5.25 ± 1.2 b | 5.05 ± 1.2 b | |
| Easy to swallow | White bread | 4.96 ± 1.6 b | 5.04 ± 1.4 a | 5.2 ± 1.3 ab | 4.6 ± 1.6 a | 4.8 ± 1.3 b | 4.84 ± 1.7 a |
| Steamed bun | 5.2 ± 1.1 b | 4.6 ± 1.1 a | 4.9 ± 1.3 ab | 5.85 ± 0.8 c | 4.5 ± 1.6 a | 4.85 ± 1.8 ab | |
| Donut | 4.45 ± 1.8 a | 4.35 ± 1.5 a | 4.5 ± 1.5 a | 5.4 ± 0.5 b | 4.35 ± 1.3 a | 4.7 ± 1.5 a | |
Disclaimer/Publisher’s Note: The statements, opinions and data contained in all publications are solely those of the individual author(s) and contributor(s) and not of MDPI and/or the editor(s). MDPI and/or the editor(s) disclaim responsibility for any injury to people or property resulting from any ideas, methods, instructions or products referred to in the content. |
© 2024 by the authors. Licensee MDPI, Basel, Switzerland. This article is an open access article distributed under the terms and conditions of the Creative Commons Attribution (CC BY) license (https://creativecommons.org/licenses/by/4.0/).
Share and Cite
Jati, I.R.A.P.; Setijawaty, E.; Purwestri, R.C. Effects of Red Dragon Fruit Puree Application on Physicochemical Properties of Selected Bakery Products. Appl. Sci. 2024, 14, 11023. https://doi.org/10.3390/app142311023
Jati IRAP, Setijawaty E, Purwestri RC. Effects of Red Dragon Fruit Puree Application on Physicochemical Properties of Selected Bakery Products. Applied Sciences. 2024; 14(23):11023. https://doi.org/10.3390/app142311023
Chicago/Turabian StyleJati, Ignasius Radix A. P., Erni Setijawaty, and Ratna Chrismiari Purwestri. 2024. "Effects of Red Dragon Fruit Puree Application on Physicochemical Properties of Selected Bakery Products" Applied Sciences 14, no. 23: 11023. https://doi.org/10.3390/app142311023
APA StyleJati, I. R. A. P., Setijawaty, E., & Purwestri, R. C. (2024). Effects of Red Dragon Fruit Puree Application on Physicochemical Properties of Selected Bakery Products. Applied Sciences, 14(23), 11023. https://doi.org/10.3390/app142311023

