Abstract
Efforts to optimize the design and enhance the efficiency of standing-wave thermoacoustic refrigerators (SWTARs), particularly those with parallel plate stacks, are crucial for achieving rapid and straightforward engineering estimates. This study primarily focused on optimizing the coefficient of performance (COP) by combining linear thermoacoustic theory (LTT) with the design of experiments (DOE) approach. The investigation centered around five key parameters affecting the COP once the working gas had been selected. Then, based on LTT, the COP was estimated numerically over defined intervals of those five parameters. Moreover, through quantitative and qualitative effect analyses, these five parameters and their interactions were determined. Utilizing a transfer function, the study aimed to delineate the best COP value (1.76) over a defined interval of the parameters as well as the contribution of the thermoacoustic main parameters (55.69%) and their interactions (two-way interactions = 33.30%, three-way interactions = 7.36%, and four-way interactions = 3.35%). Furthermore, a comparison between contour and surface responses and several statistical decision approaches applying the full factorial design verified the robustness of the study’s findings. Ultimately, the COP results obtained aligned with the existing literature, underscoring the validity and relevance of the study’s methodologies and conclusions.
1. Introduction
Thermoacoustic refrigerators are devices that use sound waves to generate cooling without moving parts, as discussed by Swift´s classic book [] and by recent review articles [,] that introduced the basic principles and current applications of thermoacoustic devices. Due to the complex relationship between the multiple variables that determine thermoacoustic refrigerator performance, optimization studies are required from a practical point of view. Many proposals are currently being explored to optimize thermoacoustic refrigerators, not only in terms of the performance response to environmental concerns related to many refrigerants but also to obtain fast and simple engineering estimates. The performance response depends primarily on the system’s design parameters, including the operating conditions, the structural geometry of the stack/regenerator, the thermo-physical properties of the stack, the working fluid, and the acoustic driver. These design parameters can be studied and optimized from different perspectives and study groups/areas, such as the following:
Energy efficiency and thermodynamics: Improving the energy efficiency of the thermoacoustic cycle involves studying heat transfers, energy losses, and conversion efficiencies in the cooling process. For example, Peng et al. [] developed a new iterative numerical scheme to optimize and solve acoustic field and heat flow in thermoacoustics stacks, applying genetic algorithms. Minner et al. [] maximized the COP efficiency to optimize thermoacoustic devices. Babaei et al. [] developed a comprehensive design and optimization algorithm for designing thermoacoustic devices that can serve as sustainable refrigeration systems. Wetzel et al. [] proposed an algorithm as an easy-to-follow guideline for the design of thermoacoustic refrigerators that predicted values of 40–50% of Carnot’s efficiency for the thermoacoustic core. Poignand et al. [] aimed to present a new kind of thermoacoustic standing wave-like device that would allow for easy and independent control of the pressure field and the particle velocity field after investigating the optimal acoustic field in the stack region for the main parameters of interest, i.e., the temperature gradient, the thermoacoustic heat flow, and the coefficient of performance. Tartibu et al. [] optimized the geometric variables, namely, the stack position, the stack length, the blockage ratio, and the plate spacing involved in designing thermoacoustic refrigerators formulated as a three-criterion non-linear programming problem with discontinuous derivatives (DNLP) in the software GAMS. Ong et al. [] aimed to achieve the highest coefficient of performance (COP = 4.89) by applying a genetic algorithm (the multi-objective genetic algorithm) to optimize the design parameters of the standing wave thermoacoustic refrigerator system. Wu et al. [] presented a generalized heat transfer model using a complex heat transfer exponent where both the real and the imaginary part of the heat transfer exponent change the power-versus-efficiency relationship quantitatively. Piccolo [] described the design methodology of thermoacoustic electricity generators using a standard loudspeaker as a linear alternator for low-cost, low-power thermoacoustic electricity generators.
Materials and structural design: Optimizing the materials of the acoustic resonator and internal components can enhance the durability and efficiency of the thermoacoustic cooler. This involves studies on composite materials, aerogels, thermal conductivity, mechanical resistance, and durability under operating conditions. For example, Abdel-Rahman et al. [] investigated as stack material cotton wool, glass wool, ceramics, silica aerogel, carbon fibers, and carbon powder by measuring flow resistance at high acoustic frequencies, 4–20 kHz, and thermal transport properties as the engines were miniaturized. Doutres et al. [] presented a straightforward application of an indirect method based on a three-microphone impedance tube setup to determine the non-acoustic properties of a sound-absorbing porous material. Kidner et al. [] presented a review on acoustic waves in porous media. Particular emphasis was placed on the relationship between the full Biot–Allard model and the simpler approximations presented by Zwikker and Kosten, Morse and Ingard, and others.
Acoustics and vibrations: Since thermoacoustic refrigerators use sound waves to generate pressure changes and, thus, cooling, they can be studied from the perspective of acoustics and vibrations. This includes optimizing acoustic resonator geometry and system design to maximize acoustic-to-thermal energy transfer efficiency. For example, Scott [] correlated the results of the theory with those of an earlier theory by Morse as long as the attenuation in the duct was not large. However, wide divergences appeared, particularly where the attenuation in the duct began to approach that characteristic of the propagation of sound through bulk lining material. Tijani [,] aimed to establish a compromise between the acoustic resonance frequency and the thermal penetration depth without paying attention to the need for the driver resonance to be matched to the resonator frequency, for the high efficiency of the driver. Channarong et al. [] highlighted the impact of the resonance tube on the performance of a thermoacoustic stack. The appropriate resonance tube’s length led to an increase in the performance of the stack, in terms of the temperature difference. Di Meglio et al. [] found that the viscous component of the pressure drop follows a quadratic trend with respect to the velocity inside the stack, while the inertial component is also linear in high-velocity regimes. The largest value of the non-linear coefficient related to the Forchheimer coefficient is found at low frequencies, as the fluid particle displacement is comparable to the stack length.
Control and electronics: Electronic control of the thermoacoustic cycle can be crucial to optimizing the stability and performance of the refrigerator. Control algorithms, temperature and pressure sensors, and the integration of electronic components can be studied, to improve system accuracy and efficiency [].
In the literature, the efficiency of a thermoacoustic device is given by the coefficient of performance () [], defined as the ratio between the heat flow () and the acoustic work (W) on the stack. From an energy efficiency optimization perspective, the generated in the stack must be maximized. Regarding geometrical optimization parameters, several studies have been carried out, including intelligent optimization techniques such as genetic algorithms [,], response surface methodology (RSM) [,], and non-linear programming models with discontinuous derivatives (DNLPs) []. Most of these works have been based on linear thermoacoustic theory (LTT), which assumes that acoustic wave amplitudes are small compared to the mean pressure [,]. This implies that the oscillations are weak and that non-linear effects are negligible. LTT simplifies the interaction between acoustic waves and thermal gradients, often using linearized heat transfer and fluid dynamics equations. Thus, LTT can provide a first-order approximation of the behavior of a thermoacoustic system by solving simplified versions of the governing equations. It is most useful for understanding the basic operation principles, stability analysis, and preliminary design of thermoacoustic devices. Following this, a computational fluid dynamics (CFD) model can be employed to represent multi-dimensional effects and design optimization [], complex geometries, non-linear losses of a parallel plate stack [], and realistic boundary conditions solving the full Navier–Stokes equations along with heat transfer and thermodynamic relations, capturing detailed flow and temperature fields [] not considered by LTT []. Using dimensionless analysis [] and short stack and boundary layer approximations, Tijani [] obtained dimensionless expressions for and W, which depended on eight dimensionless parameters. Despite these simplifications, to the authors’ knowledge no study has yet been carried out to identify and quantify the contribution of each of these parameters, as well as the cross-effect of their interactions in an air-based standing-wave thermoacoustic refrigerator []. When the working gas is chosen, the depends on five parameters, namely, D, B, , , and ; see Figure 1.

Figure 1.
Structure diagram of a thermoacoustic refrigerator and selected five parameters ().
This study aimed to delineate the best response, as well as the quantitative and qualitative contribution over defined parameter intervals and their interactions by applying the design of experiments (DOE) method [], using MINITAB 19 []. This study built upon the methodology outlined by Tijani []; readers interested in a detailed development of the theory are encouraged to refer to this work.
This paper is organized as follows: estimation for thermoacoustic devices and design of experiments (DOE) methods in Section 2. The response applying the numerical routine, DOE setup, orthogonal array, Pearson analysis, ANOVA, and the transfer function of the response results in Section 3. Finally, the main conclusions are summarized in Section 4.
2. Methods
2.1. COP Estimation for Thermoacoustic Devices
In the context of the efficiency of transferring acoustic energy from the speaker to the environment, the and acoustic power are related [,] in two transformations. Firstly, an electrodynamic driver converts the electrical power (voltage times current) to acoustic power. Secondly, the acoustic power (pressure times velocity) is converted to a gradient temperature and heat flow . Hofler [] contributed foundational knowledge and methodologies for analyzing thermoacoustic systems, including the introduction and application of the to assess the efficiency of these refrigerators, and Tijani built upon Hofler’s principles, expanding the analysis of the in thermoacoustic devices by investigating the effects of various design parameters and operational conditions on system performance.
The performance of a thermoacoustic system depends strongly on the characteristics and properties of the porous medium (referred to in the literature as the stack) used to exchange heat with the working fluid; see Figure 1.
For the development of a thermoacoustic refrigerator, the basic theory and equations for linear standing-wave thermoacoustic systems have been extensively developed by Tijani [,]. The term “regenerator” or stack is used when the pore size of the porous element is small compared to the depth of thermal penetration. The stack is contained inside the resonator tube; see Figure 1. The thermal penetration depth refers to the layer around the regenerator where the thermoacoustic phenomenon occurs. The thermal and viscous penetration depths are defined as follows:
and
where the following apply:
- is the angular frequency of the sound wave; is the design frequency;
- , K, and are the viscosity, density, thermal conductivity, and isobaric specific heat of the gas, respectively.
The performance of the thermoacoustic regenerator depends on many parameters. Orson and Swift [] were the first to apply the similarity principle to thermoacoustic equations (continuity, motion, and heat transfer) written in their dimensionless form. The dimensionless cooling power obtained from the similitude and the acoustic power (where is the mean pressure, a is the sound velocity, and A is the cross-sectional area of the stack proposed by []) are mentioned by Tijani et al. [], rewriting and in dimensionless form by using dimensionless parameters as
where , is the dimensionless thermal penetration depth, is the regenerator blockage ratio, is half the distance between the stack plates, l is half the thickness of the regenerator planes (see Figure 2), is the Prandtl number, is the dimensionless temperature difference, is the ratio of isobaric to isochoric specific heats, is the dimensionless stack length, is the dimensionless stack position, k is the wave number, and is the drive ratio ( depends on D and ). If the gas and operating frequency are fixed, the parameters , , , and in Table 1 can be determined, so the depends on (A, B, C, D, E), defined in Table 2. plays a crucial role in describing the behavior of acoustic waves and their interaction with thermal systems, particularly in the stack and heat exchanger components of thermoacoustic engines and refrigerators. Swift [] explains that thermal penetration depth plays a role in optimizing heat transfer between the oscillating gas and the stack plates, and that the stack plate spacing should ideally be proportional to the thermal penetration depth to maximize heat transfer efficiency. When the thermal penetration depth matches the spacing of the stack plates, heat transfer is most efficient. Its role in heat transfer efficiency dictates the interaction between acoustic oscillations and thermal energy. Specifically, optimal stack spacing is typically in the range of 2 to 4 times the thermal penetration and enhances the and overall efficiency of the thermoacoustic refrigerator. Moreover, decreases as the frequency of the acoustic wave increases (frequency dependence). This means that for higher-frequency waves, the thermal oscillations occur over a shorter distance, affecting the design considerations of the stack.

Figure 2.
Structure diagram of a parallel stack.

Table 1.
Parameters for optimizing thermoacoustic refrigerator [].

Table 2.
Low and high levels by factor used in the DOE.
Thus, the performance of the regenerator depends explicitly on dimensionless variables, as shown in Equations (3) and (4). It is important to note that the Prandtl number is proportional to the ratio of the thermal and viscous penetration depths; see Equations (1) and (2), respectively. The introduction of as the Prandtl number in thermoacoustic theory would make sense if the relationship between this term and the classical Prandtl number was clarified. The Prandtl number (Pr) is a dimensionless number used in fluid dynamics and heat transfer:
where the following apply:
- is the kinematic viscosity (moment diffusivity);
- is the thermal diffusivity;
- is the dynamic viscosity;
- is the specific heat at constant pressure;
- k is the thermal conductivity.
In thermoacoustic theory, the behavior of gas within a stack (or heat exchangers) is governed by both the thermal and viscous effects defined above. The and are critical in defining how heat and momentum are transferred near solid boundaries. The Prandt number helps to relate these two penetration depths. If is large, the viscous effect dominates, meaning the moment boundary layer is thicker than the thermal boundary layer. If is small, thermal effects dominate, meaning heat diffuses more effectively. Therefore, the design of the stack in thermoacoustic devices often takes into account the thermal penetration depth, which is related to the Prandtl number, when choosing the appropriate blockage ratio. The Prandtl number is an essential parameter for understanding and analyzing the convective heat transfer characteristics of fluids. The Prandtl number and the blockage ratio are not directly related in a mathematical sense, but both affect the overall performance of thermoacoustic systems. The Prandtl number influences the boundary layer thickness, while the blockage ratio is a geometric parameter controlling the interaction between the gas and the solid boundaries. For the analysis in this study, five of these dimensionless variables were selected from Table 1: the drive ratio D, the blockage ratio B, the dimensionless temperature difference , the dimensionless stack position , and the dimensionless stack length . The dimensionless viscous penetration depth was implicit in the calculation, even though it is not present in Equations (3) and (4). The analysis focused on those variables defined above in Equations (3) and (4) through the performance of the stack in terms of the as
Our analysis considered a quarter-wavelength resonator using air as a working gas [].
2.2. Design of Experiments (DOE)
The design of experiments (DOE), or factorial design, is a regression analysis extensively employed in industry to identify and control the critical parameters for enhancing product quality []. Experimental studies are normally time-consuming and require examining the effects of two or more factors. Factorial design allows for the investigation of all possible combinations of the levels of the specified factors (see Figure 3). Due to the time and expense of the experiments, the selection of the factors to be analyzed must be made with careful consideration. One of the main reasons to apply the DOE is to minimize the number of experimental trials and to derive a transfer function. Another benefit of using the DOE is the seamless integration of experimental data with numerical methods, such as the finite element method (FEM), to simulate alterations in physical parameters (factors).

Figure 3.
DOE geometric representation. In each case, high levels are highlighted in blue, low levels in red [].
A complete factorial design incorporates all possible “levels” of a given number of “factors”. These levels are categorized as “low” (in red) and “high” (in blue) and are represented by the symbols “−” and “+”, respectively (see Figure 3). The effect of a factor is defined as the change in the response caused by altering the level of that factor. This is referred to as the main effect because it represents the primary influence in the experiment. The main effect of a factor can be thought of as the difference between the average response at the low level minus the average response at the high level []. Furthermore, the difference in response in some experiments between levels of one factor may vary across the levels of the other factors. When this variation occurs, it indicates an interaction between the factors. Analyzing the main effects and interactions between factors results in the achievement of one or more of the following objectives:
- Determining the optimal condition within a specified range;
- Assessing the contribution of individual factors and their interactions;
- Predicting the response under optimal conditions.
The estimation of the contribution of each factor and their interactions will be determined within a specified range or limit.
In this study, the parameter range is set to derive a response function (), which is defined by the parameters or factors (), the coefficients (), and the error term (); see Equations (7)–(9):
where
The response of the is represented by , where is an matrix of independent variables (defined as A,B,C,D, and E in Table 2). The vector b contains the regression coefficients, and is a vector of random errors. The system’s is calculated in the following section, using the dimensionless parameters expressed in Equations (3) and (4).
Additionally, once the parameters are established, the DOE is primarily analyzed in three stages, encompassing all the theoretical calculation. These stages are as follows:
- Planning stage;
- Analysis stage;
- Results stage.
The most crucial part of the DOE is the planning stage. The development of an orthogonal matrix is vital, to account for the effects of various factors influencing the response. According to the literature, the relationship of these factors depends on the physical parameters of the thermoacoustic refrigerator; details are not given in Table 2 but in Table 3. These factors will be analyzed quantitatively and qualitatively in the DOE.

Table 3.
Level and interval values by factor used in the DOE.
Therefore, five parameters, each with two levels (low and high), are put forward as factors to create a full factorial, using the full factorial design method defined in []. In a full factorial design, every possible combination of factor levels is tested. This means that for a system with n factors, each at k levels, the total number of experiments would be . Table 4 illustrates the matrix to be followed based on the levels by the factors in Table 2. The low and high levels must remain orthogonal to each other, preserving the same proportion between the factors. These values depend on the nominal values chosen for the DOE. Multiplying the factors by this value to adjust for the lower and upper limits is referred to as orthogonality in the full factorial design, which helps to maintain the “balance” of the DOE. For instance, if the nominal value of a factor is 0.10, the low and high limits will be 0.05 and 0.15, respectively. The determination of the interaction signs is calculated by multiplying the signs of each interaction shown in Table 4 up to the third interaction for matrix size ratios. For example, the first value in column AB is “+”, derived by multiplying the signs and . For the higher interactions, the remaining signs are calculated similarly. Using these interaction signs and the response, the average values (low and high) are computed, to obtain the coefficients. These coefficients are calculated with MINITAB 19 [] and are used to generate the main interaction effects plots. To verify that the chosen parameters in a DOE are orthogonal (independent of each other), the variance inflation factor (VIF) is calculated with MINITAB 19 from Table 5. The VIF is a measure of how much the variance of a regression coefficient is inflated due to multicollinearity between factors []. A VIF close to 1 for all factors suggests that the factors are independent; see Table 6.

Table 4.
Design of experiments orthogonal array.

Table 5.
Design of Experiments orthogonal array with dimensional parameters.

Table 6.
Analysis of variance.
Several statistical decision approaches constitute the analysis phase: examining the significance of the distribution, performing analysis of variance (ANOVA), and evaluating the R-Sq coefficient (which represents the ratio of the variation explained by each variable). These methods enable the identification of significant coefficients and facilitate the construction of the transfer function in two stages.
Firstly, the significance of the distribution is assessed, to establish a confidence level of 95%, which corresponds to a significance level of = 0.05 for a single proportion of the population. Alpha () represents the maximum acceptable probability of incorrectly rejecting the null hypothesis when the alternative hypothesis is true. The results () are evaluated using average analysis (where denotes the measure of central tendency, representing the mean or average of all the population values []),
the standard deviation
the Sum-of-squares deviations
and the variance
of the factors affecting the , where N represents the number of runs and “” stands for degrees of freedom .
Secondly, the ANOVA test evaluates the averages that affect the , to identify the variance among factors and their interactions. A p-value ≤ 0.05 indicates the significance of the main parameters and their interactions in the ANOVA. Coefficients and errors are determined through statistical decision approximations using the Anderson–Darling test method with MINITAB 19, which assesses the significance and normality of the data distribution []. As shown in Table 4, the ANOVA is conducted using the responses derived from the orthogonal matrix. Numerous visualizations, such as main effects plots, interaction effects plots, Pareto charts, cube plots, contour plots, and surface plots, are utilized to analyze the factors and interactions affecting the .
Finally, the results phase entails constructing the transfer function using the coefficients derived from the R-Sq value. The relationship between the variation of each variable and the total variation (variation of the mean sum of squares (MSS)) is quantified with the coefficient of determination R-Sq. The R-Sq is also referred to as a measure of the goodness of fit. A higher R-Sq value, approaching 100%, suggests a better representation of the total variation of the response.
3. Results
3.1. COP Responses Applying the Numerical Routine
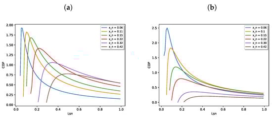
The selection of the parameter intervals for the was defined according to the validity of linear thermoacoustic theory on the intervals applied by Tijani [], except the temperature shown in Table 3. The defined temperature interval is well known in the literature for thermoacoustic devices working with air at ambient temperature (10–20 °C) []. The values for each trial were computed using a numerical routine in Python 3.6 [], applying Equations (3), (4), and (6) for each established interval; see Table 5 and their Geometrical parameters, Thermo-physical properties of the working gas and Operational Parameters defined in Table A1 in Appendix A, respectively. However, the full factorial design was performed with the random option. A representative plot obtained by Tijani in [] is shown in Figure 4a and compared to the obtained using the factors from Run 1 defined in Table 5, observed in Figure 4b, as a function of and using the developed numerical routine. Some key observations in Figure 4 are as follows:

Figure 4.
Representative response as a function of its dimensionless position and length calculated with the developed numerical routine in Python: (a) COP responses obtained by Tijani with parameters defined in []: = 10 bars, = 250 K, = 0.3, D = 0.02, f = 400 Hz, k = 2.68 m−1, a = 935 m/s, = 0.68, = 1.67, B = 0.75, = 0.66; (b) COP responses obtained by Run 1 parameters defined in Table 5: = 1 bar, = 298 K, = 0.017, D = 0.01, f = 122.85 Hz, k = 2.00 m−1, a = 344 m/s, = 0.7, = 1.67, B = 0.25, = 1.62.
- Initial increased: For all values of , there was an initial rise in the as increased from zero. This suggests that for smaller stack lengths the system is able to operate more efficiently, due to better thermal interaction within the resonator.
- Optimal stack length: Each curve had a distinct peak at a certain value of . This suggests that there is an optimal stack length for each position , where the is maximized. Designing the device to operate near these optimal points is critical for maximizing efficiency. For example:
- For = 0.06 (blue curve), the optimal was around 0.05.
- As increased, the position of the peak shifted to the right (larger ) and the maximum decreased, as seen in the green, red, and purple curves.
- Decreasing the beyond optimum: After the peak, the decreased as continued to increase. This indicates that beyond a certain stack length, the performance of the device worsens, due to factors like excessive thermal resistance or non-ideal gas behavior over long distances.
- Effect of stack position :
- A smaller (closer to the sound source or pressure antinode) generally resulted in higher peak values. The blue curve = 0.06 had the highest values, suggesting that placing the stack closer to the pressure antinode results in a better performance.
- As increased (further from the sound source), the maximum reduced and the optimal stack length shifted to a higher value of .
3.2. DOE Setup
Based on the maximum values obtained with the numerical routine, the DOE analysis was carried out in three steps:
- We established the orthogonal design, to determine the of a thermoacoustic cooling system, as outlined by Tijani [];
- We performed Pearson analysis, assessing the main and interaction effects, Pareto chart, cube plots, contours, and surfaces plots;
- We conducted an ANOVA and developed a transfer function.
3.3. COP Orthogonal Array
The full factorial design was created by generating a set of combinations based on the number of parameters and their specified values.
Table 3 provides the values for the lower and upper limits. Table 5 presents the matrix of = 32 runs plus the center point, along with the values obtained for each combination. The order of runs was randomized, to prevent aliasing (aliasing refers to confounding effects in the design that make it impossible to estimate certain effects separately []). The response was calculated for each combination of “low” and “high” values of the parameters.
The DOE was conducted using each combination, to determine the response. The subsequent step involved analyzing the main effects and interactions of the parameters affecting the . Note that Table 5 includes 33 runs, due to the inclusion of a central point to assess curvature. This central point, marked in red, is shown in Figure 5 and Figure 6. Where the central point deviates significantly from the line that joins the means of the vertex points, it indicates a potential curvature in the relationship, and its p-value was assessed for statistical significance. If the contribution of curvature was found to be insignificant, this implied that the variation in the response with the chosen factors did not exhibit substantial changes.

Figure 5.
Main factors for .

Figure 6.
Interaction of factors.
3.4. Pearson Analysis
When the values were obtained, based on the combinations in Table 5, a main effects analysis was conducted, to identify the critical parameters and interactions, using a Pearson correlation (the Pearson correlation provides a range of values from to , where a value of 0 indicates no linear relationship between the variables, a correlation of represents a perfect negative linear relationship, and indicates a perfect positive linear relationship []). A Pearson correlation assesses the linear relationship between defined variables for a given significance level (in this case, = 0.05). The main plot for the shows the effect of the main factors on the mean ; see Figure 5. Analyzing this plot can guide the design choices for a device aimed at achieving a high .
Moreover, interactions between the parameters were also assessed. It is crucial to understand that the range of values was established by multiplying each of the parameters at the central point of Table 5 (run 33) by a value of 0.5 and then adding and subtracting this result from the center point, to define the upper and lower limits, respectively.
The effects of each chosen parameter on the are depicted in Figure 5. The main effects were determined by the slope of the values obtained between the defined limits for each parameter: a steeper slope indicates a stronger effect of the parameter. According to the plot results, the dimension parameters with the most significant impact on the were the temperature difference , the length of the regenerator , the blockage ratio B, and its position . Counterintuitively, Factor A (D) did not have a notable effect on the . However, a comprehensive quotient analysis of Equations (3) and (4) reveal that this outcome was anticipated. From the Pearson analysis in Figure 5, Factor A (D) had no significant effect on the response.
Additionally, Figure 6 illustrates the interactions between the parameters. These interactions were identified based on the slope observed between the specified limits. The columns in the interaction graph represent the response for a specific interaction of a given factor (− or +), while the rows represent the average response for a particular configuration (− or +) of factor interactions (columns), as shown in Figure 6. Parallel lines in the interactions suggest no interaction effect, whereas a larger difference in slope between the lines indicates a stronger interaction effect. Consequently, the “low” values within the defined range show a positive effect on the results compared to the “high” values. The interactions with the most significant influence, depicted in Figure 6, were between the following parameter pairs in the lower section: *B, *, *B. These interactions, especially those in the lower section of the graph, positively impacted the average value, due to their interaction slopes. Only the pair * in the upper section also showed a positive effect on improving the average value.
When comparing the same level of Factor E (), Factor B () shows a different effect on the , depending on the level of Factor D (B). This difference in behavior can be explained by the interaction effect between Factors B and D. The interaction plot for B and D shows that the effect of Factor B on the changed, depending on the level of Factor D. Specifically, for lower levels of Factor D (closer to 0.25), an increase in Factor B had a stronger negative effect on the (a steeper downward slope). This indicates that when Factor D was low, increasing Factor B caused the to drop more drastically. Conversely, when Factor D was at a higher level (closer to 0.75), the negative effect of Factor B on was less pronounced, and the slope was less steep. This means that at a high Factor D, Factor B had a milder impact on the . Factor D may have acted as a moderator that altered how Factor B influenced the performance of the device. In technical systems, this kind of interaction can occur when one factor (here, Factor D) changes the operating conditions or the efficiency of the energy transfer processes influenced by another factor (here, Factor B). For example, Factor D could represent a parameter that impacts the acoustic field or thermal behavior of the system, altering the sensitivity of the system to changes in Factor B. When Factor D is low, the system may be more sensitive to variations in Factor B (leading to a stronger effect on the COP). At higher levels of Factor D, the system may operate in a regime where it is less sensitive to changes in Factor B, moderating its impact on the COP. In a thermoacoustic device, Factor D could relate to a variable that improves the coupling between thermal and acoustic fields, such as stack length or heat exchanger effectiveness. When Factor D is high, this coupling is more efficient, making the device less dependent on Factor B (which might represent a parameter like drive ratio or frequency). When Factor D is low, the efficiency of the coupling may decrease, making Factor B (e.g., the acoustic field strength) more critical to the overall performance; hence, the stronger negative impact of increasing Factor B. The positive effect on both the upper and lower limits of the interaction between *B factors is emphasized. However, the interaction graph alone does not reveal the statistical interaction significance of these interactions.
In the interaction plot, for the same levels of Factor B and Factor D, Factor C showed a dramatically different quantitative effect on the , depending on Factor E (e.g., stack length). This behavior is explained by the interaction effect between Factors C and E. The C * E interaction plot reveals that the effect of Factor C on was significantly different, depending on the level of Factor E. When Factor E was at a lower level, increasing Factor C tended to increase the significantly (the slope was upward). However, when Factor E was at a higher level, increasing Factor C had a reduced or even negative effect on the , as seen in a flatter or downward slope. This could happen where Factor E could influence the system’s ability to efficiently convert the temperature difference into useful work or cooling power. At lower levels of Factor E (e.g., shorter stack length, less efficient heat exchange), increasing the temperature difference could have a more direct impact on improving the because the temperature gradient is the main driving force for energy transfer. However, at higher levels of Factor E (e.g., longer stack length, more efficient heat exchange), the system might already be optimized in terms of heat transfer. In this case, increasing the temperature difference might no longer yield as much improvement in COP because the system could be operating closer to its maximum efficiency, or other limiting factors (like losses or inefficiencies) could come into play. Hence, the effect of Factor C becomes less pronounced or even negative. The strong interaction between Factors C and E means that the design of the device requires careful tuning of the temperature difference and stack length to achieve optimal performance.
To further understand the impact of main and interaction effects, a Pareto chart can be used (a Pareto chart of the standardized effects visually displays the magnitude of the effects of different factors or variables on a response variable in a systematic manner; it combines the principles of Pareto analysis, where factors are ranked by their impact, with statistical methods for analyzing experimental results []). A Pareto chart helps identify which factors have the most significant influence on the response. It shows the absolute values of the standardized effects, from the largest to the smallest. Standardized effects are t-statistics used to test the null hypothesis that the effect is zero []. The reference or threshold line for statistical significance depends on the significance level (denoted by ). Unless a stepwise selection method is used to define an alpha value, the significance level is calculated as 1 minus the confidence level for the analysis. The reference line indicates which effects are statistically significant. Factors such as , , the interaction *B, and the others with bars extending above the threshold red dashed line (value of 12.7) (see Figure 7) are typically the main contributors to be focused on for the subsequent analysis of variance (ANOVA) subsection. With the current model terms, these factors were statistically significant at the 0.05 level.

Figure 7.
COP Pareto plot.
Additionally, the cube plot, contour plots, and surface plots will offer a visual representation of the trends of each interaction based on the established intervals. A cube plot (see Figure 8) illustrates the relationships among the five factors and their impact on the response measure for two-level factorial designs or Plackett–Burman designs. This plot visually represents the factorial design, showing how different factors affect the values. By examining the cube plot, one can observe the most significant impacts on the values at the lower limits of the factors.

Figure 8.
COP cube plot.
Contour plots and surfaces are used to visualize and explore the potential interaction among all parameters relative to the response. Contour plots provide a two-dimensional view of the lower and upper limits, with the x and y axes representing these limits, while the contours indicates the response. The contour plots show how different variable interactions influence the of a system. Each subplot represents the interaction effects of two variables while keeping the others constant at specific hold values (shown on the bottom-right). The color scale indicates the , with darker greens corresponding to higher values and blues corresponding to lower values; see Figure 9 and Figure 10. In the contour plots, a maximum response of 1.76 can be observed in the products for the lower limits, such as , , , and , as shown in Figure 9 and Figure 10. Notably, at the center point in Figure 9, the maximum value is 1.4, specifically for the product .

Figure 9.
contour plots center point hold values.

Figure 10.
contour plots lower limits hold values.
We highlight the highest values observations in Figure 10, as follows:
- B * A ( * D):
- For low values of (sweep), higher and lower values of D led to a higher ;
- At larger values of , the did not significantly vary D.
- C * A ( * D):
- The was relatively the same pattern as B * A across the entire range of both and D, showing little variation.
- D * A (B * D):
- The was uniformly high across the entire range, with minimal variation across different values of both B and D.
- E * A ( * D):
- The decreased slightly with increasing (stack length) for all values of D, but the effect was relatively small.
- C * B ( * ):
- This was a crucial interaction. Lower values of and lower resulted in a significantly higher , but increasing drastically reduced the .
- D * B (B * ):
- At low values of B, the increased as decreased, showing a substantial drop in performance with increasing .
- E * B ( * ):
- As increased, the decreased slightly, but the effect was more moderate compared to other plots.
- D * C (B * ):
- The increased with lower values of , especially when B was at the mid-range interval.
- E * C ( * ):
- Lower slightly increased the , but the minimum stack length had an important effect on performance.
- E * D ( * B):
- For lower values of B, the remained relatively higher, especially when was at its minimum value, showing little sensitivity to stack length.
The surface plots, illustrated in Figure 11 and Figure 12, display the variable response surfaces for the center point and lower limit hold values, respectively. Surface plots are particularly useful for examining the trends or behavior of the concerning a specific factor between the center point and lower limit hold values. Similar to a topographic map, where longitude, latitude, and elevation are plotted and connected by contour lines, the contour plot displays x, y, and z values connected by lines of constant response. A notable maximum ridge pattern response of 1.76 in the is observable for the products in Figure 12 at the lower limits hold values. The highest results for the lower limit values are seen in Run numbers 1 and 2 in Table 5. At the center point hold values depicted in Figure 11, the peak value was 1.4 for the product D*. The surface plots along with the contour paths provide a comprehensive visualization of the results. Adjusting the hold values will lead to changes in the response surface.

Figure 11.
surface with brightness 50% (Light 1: X = 0, Y = 1, Z = 1, Color = Automatic; Light 2: X = 0, Y = 0, Z = −1, Color = Automatic. Plot center point hold values.

Figure 12.
surface with brightness 50% (Light 1: X = 0, Y = 1, Z = 1, Color = Automatic; Light 2: X = 0, Y = 0, Z = −1, Color = Automatic. Plot lower limits hold values.
We highlight the highest values observations in Figure 12:
- A * B ( D * ):
- The plot showed relatively small variations in the across the entire range of both A and B (sweep), with a slight increase in the COP as B decreased. The system was more sensitive to changes in B, indicating that optimizing is more critical for the .
- A * C ( D * ):
- Lower values of resulted in higher , especially for all the intervals of D. The curvature of the surface suggests that there was a specific optimal range for to maximize performance.
- A * D ( D * B):
- The increased sharply when D (parameter related to blockage ratio) was at mid-range values. The plot also showed a peak, meaning there was an optimal configuration for these parameters to achieve higher (above 1.6).
- A * E ( D * ):
- This plot shows that changes in Factor E (D) only had an impact on the COP when (stack length minimum) was minimum. The surface was not relatively flat, meaning this parameter combination did significantly affect performance.
- B * C ( * ):
- There is a large, curved surface here, showing that decreasing and decreasing produced the highest COP. This confirms previous results that is a key factor in system efficiency.
- B * D ( * B ):
- A steep increase in the COP was observable when both and B were at mid-range values. This interaction is critical, as it suggests that finding the correct balance between and B could significantly enhance performance.
- B * E ( * ):
- The plot shows that was more influential than , as the COP decreased with increasing , whereas had a very limited effect on performance (a lower interval).
- C * D ( * B):
- This plot shows a pronounced peak where is low and B is moderate, suggesting that tuning blockage ratio B alongside decreasing led to optimal performance.
- C * E ( * ):
- Similar to the C * E plot, this interaction shows that had a more significant effect on the than , which contributed minimally to changes in performance.
- E * D ( * B):
- This interaction shows that had a more significant effect on the than D, which contributed to changes in performance in the lower interval.
3.5. COP ANOVA
ANOVA was employed to assess the significance of the design parameters affecting the . The analysis was conducted with a 95% confidence level, corresponding to = 0.05. The results obtained, as shown in Table 6, demonstrate that dividing the sum of squares by the main effects or interactions could reveal their impact on the response. The main effects contributed significantly (55.69%) to the response, followed by the two-way interactions (33.30%), the three-way interactions (7.36%), and the four-way interactions (3.35%). A parameter or interaction was deemed statistically significant if the p-value was less than 0.05. According to the ANOVA results in Table 6, the parameters, as well as the second, third, and fourth interactions in the model, had a significant impact on the response.
The influence of these interactions was visualized using the coefficient of determination R-Sq, which represents the ratio of the variation explained by the model to the total variation. An R-Sq value near to one indicates a better-fitting model []. For this model, the R-Sq value was 100.00%, accounting for up to four-way interactions, reflecting a high degree of variability in the data based on the factors and their interactions, as demonstrated by the values obtained in the previous subsection.
Transfer Function of the Response
After performing the ANOVA, the transfer function was determined, using the estimated uncoded coefficients derived from MINITAB 19 for the responses. The uncoded coefficients shown in Table 6 were based on the ANOVA analysis, including up to four-way interactions. It is important to emphasize the importance of including the appropriate number of interactions, to minimize error in the transfer function. The estimated uncoded coefficients, which considered up to four-way interactions, helped in reducing the error. As indicated in Table 6, the R-Sq, which measure the goodness of fit, decreased to 55.69% when only the main effects were considered. However, it improved to 88.99% when two-way interactions were included. The R-Sq value was calculated by dividing the Seq-SS of the main effects by the total sum of squares.
The regression equation in uncoded units with all terms is observed in Equation (14):
The transfer function in Equation (14) includes all coefficients, while Equation (15) features only those coefficients with a p-Value ≤ 0.05. Both functions were constructed using these uncoded units and highlight the most significant coefficients affecting the response. Specifically, Equation (15) contains only the significant coefficients, including the four-way interactions identified through the ANOVA of the results. Given the ANOVA results, the R-sq value from the response surface methodology (RSM) was not included, as it indicated a minimal contribution from the curvature in the full factorial (less than 1%); see Table 6. Consequently, the optimal value for the analyzed space could be calculated and validated using the “Solver” function in ‘Excel’ or ‘Libreoffice calc’, based on the transfer function derived from the parameters , , B, and and their interaction with the uncoded coefficients; see Equation (15). The residual error related in the ANOVA for this case was zero (0.00%). Additionally, the transfer function indicated that the parameter D and its interactions were not significant, based on the p-values presented in Table 6.
4. Conclusions
This study analyzed the coefficient of performance () of a thermoacoustic device based on five dimensionless parameters, using linear thermoacoustic theory. Employing the design of experiments (DOE) and statistical tools like ANOVA enabled a thorough evaluation of the contributions and interactions of these parameters, which is crucial for optimizing device performance. The key findings were as follows:
- A of 1.76 was achieved for = 0.05 m, = 5 K, B = 0.25, = 0.05 m, and D = 1.
- We note the importance of selecting the stack position to enhance the , as positioning it too far from the pressure antinode reduced efficiency. Interactions between parameters were also significant. For instance, Factor D influenced how Factor B affected the , emphasizing the need to consider these interactions in the design.
- The different effects of Factor B on the at varying levels of Factor D were due to their interaction. Factor D modified the sensitivity of the system to changes in Factor B, leading to different performance outcomes, depending on the level of Factor D. This highlights the importance of considering interactions between factors in the design and optimization of the device.
- The full factorial design allows for a systematic variation of all factors at all levels, providing comprehensive quantitative and qualitative insights into the main parameters and their interactions, it facilitates easy interpretation, due to the clear separation of effects, and it enables a systematic exploration of the parameter space, which may allow engineers to study the effects of each factor on performance metrics like the , acoustic power, and cooling capacity.
- Regarding optimization performance, the DOE not only helps to find the optimal parameter settings that maximize or minimize a desired response, such as maximizing the , but it also allows for the fine-tuning of the thermoacoustic engine design, leading to better performance and efficiency.
- Using the insights gained from the DOE, the design process can not only be streamlined and a more efficient prototype developed with a higher probability of meeting the desired performance targets, but it also helps in reducing the number of prototype iterations needed, saving time and resources.
- Statistical analyses, such as analysis of variance (ANOVA), can be used to determine the significance and sensibility of each factor and its interactions on the responses. This is useful in identifying robust designs that are less sensitive to variations in manufacturing or operating conditions.
A systematic exploration of parameter space will be proposed, to analyze the interval where the response value is 2.5. Finally, the performance relative to Carnot COPR vs the values obtained in Table 6 will be analyzed in future work, to find out the parameter differences, applying the proposed DOE methodology.
Author Contributions
Data curation, C.A.E.V.; formal analysis, H.P.F. and C.A.E.V.; investigation, H.P.F. and C.A.E.V.; methodology, H.P.F.; project administration, H.P.F. and C.A.E.V.; resources, H.P.F. and C.A.E.V.; software, H.P.F. and C.A.E.V.; supervision, C.A.E.V.; validation, H.P.F.; visualization, H.P.F. and C.A.E.V.; writing—original draft, H.P.F.; writing—review and editing, C.A.E.V. All authors have read and agreed to the published version of the manuscript.
Funding
This work was supported by CONAHCYT project 322615 (LaNITeF).
Institutional Review Board Statement
Not applicable.
Informed Consent Statement
Not applicable.
Data Availability Statement
The raw data supporting the conclusions of this article will be made available by the authors on request.
Acknowledgments
The authors would like to thank the “Laboratorio Nacional de Investigación en Tecnologías del Frío—LaNITeF”. C.A. Escalante-Velázquez would like to thank the CONAHCYT’s “Investigadoras e investigadores por México” program.
Conflicts of Interest
The authors declare no conflicts of interest.
Abbreviations
The following abbreviations are used in this manuscript:
ANOVA | analysis of variance |
CFD | computational fluids dynamics |
COP | coefficient of performance |
COPR | performance relative to Carnot |
DOAJ | directory of open-access journals |
DNLPs | non-linear programming models with discontinuous derivatives |
DOE | design of experiments |
GAMS | general algebraic modeling system |
LTT | linear thermoacoustic theory |
MDPI | multidisciplinary digital publishing institute |
MOGA | multi-objective genetic algorithm |
heat flow | |
RSM | response surface methodology |
VIF | variance inflation factor |
W | acoustic work |
Appendix A

Table A1.
Parameters and their values used in the numerical calculations.
Table A1.
Parameters and their values used in the numerical calculations.
Notation | Definition | Units | Numerical Value |
---|---|---|---|
Geometrical parameters | |||
Resonator tube length | m | 0.7 | |
S | Resonator tube section area | 7.854 × | |
Stack length | m | 0.1 | |
2 × l | Stack plate thickness | m | 1.6 × |
2 × | Fluid layer thickness | m | 4.8 × |
Thermo-physical properties of the working gas | |||
Density | kg m−3 | 1.2 | |
a | Adiabatic speed of sound | m/s | 344 |
K | Thermal conductivity | W m−1 K−1 | 2.55 × |
Specific heat coefficient per unit of mass | J kg−1 K−1 | 0.244 | |
Shear viscosity coefficient | kg m−1 | 1.82 × | |
Operational parameters | |||
Average pressure | Pa | 1.013 × | |
Average temperature | °K | 298 | |
f | Frequency | Hz | 122.85 |
References
- Swift, G.W. Thermoacoustics: A Unifying Perspective for Some Engines and Refrigerators, 2nd ed.; Springer: Cham, Switzerland, 2017. [Google Scholar]
- Chen, G.; Tang, L.; Mace, B.; Yu, Z. Multi-physics coupling in thermoacoustic devices: A review. Renew. Sustain. Energy Rev. 2021, 146, 111170. [Google Scholar] [CrossRef]
- Timmer, M.A.; de Blok, K.; van der Meer, T.H. Review on the conversion of thermoacoustic power into electricity. J. Acoust. Soc. Am. 2018, 143, 841–857. [Google Scholar] [CrossRef] [PubMed]
- Peng, Y.; Feng, H.; Mao, X. Optimization of Standing-Wave Thermoacoustic Refrigerator Stack Using Genetic Algorithm. Int. J. Refrig. 2018, 92, 246–255. [Google Scholar] [CrossRef]
- Minner, B.L.; Braun, J.E.; Mongeau, L. Optimizing the Design of a Thermoacoustic Refrigerator. Int. Refrig. Air Cond. Conf. 1996, 343, 315–322. [Google Scholar]
- Babaei, H.; Siddiqui, K. Design and optimization of thermoacoustic devices. Energy Convers. Manag. 2008, 49, 3585–3598. [Google Scholar] [CrossRef]
- Wetzel, M.; Herman, C. Design optimization of thermoacoustic refrigerators. Int. J. Refrig. 1997, 20, 3–21. [Google Scholar] [CrossRef]
- Poignand, G.; Lihoreau, B.; Lotton, P.; Gaviot, E.; Bruneau, M.; Gusev, V. Optimal acoustic fields in compact thermoacoustic refrigerators. Appl. Acoust. 2007, 68, 642–659. [Google Scholar] [CrossRef]
- Tartibu, L.K.; Sun, B.; Kaunda, M.A.E. Optimal Design of A Standing Wave Thermoacoustic Refrigerator Using GAMS. Procedia Comput. Sci. 2015, 62, 611–618. [Google Scholar] [CrossRef][Green Version]
- Ong, J.Y.; King, Y.J.; Saw, L.H.; Theng, K.K. Optimization of the Design Parameter for Standing Wave Thermoacoustic Refrigerator using Genetic Algorithm. In Proceedings of the IOP Conference Series: Earth and Environmental Science, Kuala Lumpur, Malaysia, 11–14 December 2018; Volume 268, p. 012021. [Google Scholar]
- Wu, F.; Wu, C.; Guo, F.; Li, Q.; Chen, L. Optimization of a Thermoacoustic Engine with a Complex Heat Transfer Exponent. Entropy 2003, 5, 444–451. [Google Scholar] [CrossRef]
- Piccolo, A. Study of Standing-Wave Thermoacoustic Electricity Generators for Low-Power Applications. Appl. Sci. 2018, 8, 287. [Google Scholar] [CrossRef]
- Abdel-Rahman, E.; Kwon, Y.; Symko, O.G. Investigation of stack materials for miniature thermoacoustic engines. J. Acoust. Soc. Am. 2001, 110 (Suppl. 5), 2677. [Google Scholar] [CrossRef]
- Doutres, O.; Salissou, Y.; Atalla, N.; Panneton, R. Evaluation of the acoustic and non-acoustic properties of sound absorbing materials using a three-microphone impedance tube. Appl. Acoust. 2010, 71, 506–509. [Google Scholar] [CrossRef]
- Kidner, M.R.F.; Hansen, C.H. A comparison and review of theories of the acoustics of porous materials. Int. J. Acoust. Vib. 2008, 13, 112–119. [Google Scholar]
- Scott, R.A. The propagation of sound between walls of porous materials. Proc. Phys. Soc. 1946, 58, 358–368. [Google Scholar] [CrossRef]
- Tijani, M.E.H. Loudspeaker-Driven Thermo-Acoustic Refrigeration. Ph.D. Thesis, Technische Universiteit Eindhoven, Eindhoven, The Netherlands, 10 September 2001. [Google Scholar]
- Tijani, M.E.H.; Zeegers, J.C.H.; de Waele, A.T.A.M. Design of thermoacoustic refrigerators. Cryogenics 2002, 42, 49–57. [Google Scholar] [CrossRef]
- Channarong, W.; Kriengkrai, A. The impact of the resonance tube on performance of a thermoacoustic stack. Front. Heat Mass Transf. 2012, 2, 1–8. [Google Scholar]
- Di Meglio, A.; Massarotti, N.; Roll, S.; Nithiarasu, P. Analysis of non-linear losses in a parallel plate thermoacoustic stack. Int. J. Numer. Methods Heat Fluid Flow 2024, 34, 353–377. [Google Scholar] [CrossRef]
- Patronis, E.T., Jr. The Electronics Handbook, 2nd ed.; Whitaker, J.C., Ed.; CRC Press, Taylor and Francis Group: Boca Raton, FL, USA, 2005; Chapter 1.3; pp. 20–30. ISBN 9781315220703. [Google Scholar]
- Hofler, T.J. Thermoacoustic Refrigeration Design and Performance. Ph.D. Dissertation, University of California, San Diego, CA, USA, 1986. [Google Scholar]
- Los Alamos National Laboratories. DeltaEC: Design Environment for Low-Amplitude Thermoacoustic Energy Conversion. Software, version 6.3b11 (Windows, 18-Feb-12). Available online: http://www.lanl.gov/thermoacoustics/DeltaEC.html (accessed on 20 August 2024).
- Desai, A.B.; Desai, K.P.; Naik, H.B.; Atrey, M.D. Optimization of thermoacoustic engine driven thermoacoustic refrigerator using response surface methodology. IOP Conf. Ser. Mater. Sci. Eng. 2017, 171, 012132. [Google Scholar] [CrossRef]
- Swift, G.W. Thermoacoustic engines. J. Acoust Soc. Am. 1988, 84, 1146–1180. [Google Scholar] [CrossRef]
- Kamil, M.Q.; Yahya, S.G.; Azzawi, I.D.J. Design methodology of standing-wave thermoacoustic refrigerator: Theoretical analysis. Int. J. Air-Cond. Ref. 2023, 31, 7. [Google Scholar] [CrossRef]
- Bouramdane, Z.; Bah, A.; Alaoui, M.; Martaj, N. Design optimization and CFD analysis of the dynamic behavior of a standing wave thermoacoustic engine with various geometry parameters and boundary conditions. Int. J. Air-Cond. Ref. 2023, 31, 1. [Google Scholar] [CrossRef]
- Christensen, R.H.; Skov, U. Compression Driver Simulation incl. Vibroacoustic, Viscothermal, and Porous Acoustics. In Proceedings of the COMSOL Conference 2011 in Stuttgart, Stuttgart, Germany, 26 October 2011. [Google Scholar]
- Di Meglio, A.; Massarotti, N. CFD Modeling of Thermoacoustic Energy Conversion: A Review. Energies 2022, 15, 3806. [Google Scholar] [CrossRef]
- Olson, J.R.; Swift, G.W. Similitude in thermoacoustic. J. Acoust. Soc. Am. 1994, 95, 1405–1412. [Google Scholar] [CrossRef]
- Chaiwongsa, P.; Wongwises, S. Experimental Study of the Performance of the Air-Based Standing Wave Thermoacoustic Refrigerator Using Parallel Wave Stack. Int. J. Thermophys. 2022, 43, 152. [Google Scholar] [CrossRef]
- Montgomery, D.C. Design and Analysis of Experiments, 10th ed.; John Wiley & Sons: New York, USA, 2019; ISBN 978-1-119-49244-3. [Google Scholar]
- Minitab 19 Statistical Software; Computer software; Minitab, 1829 Pine Hall Road, Inc.: State Collage, PA, USA, 2010; Available online: www.minitab.com (accessed on 30 September 2024).
- Python 3.6 Software, 2001–2024, 20 August 2024, Python Software Foundation License Version 2. Available online: https://docs.python.org/3/license.html (accessed on 30 September 2024).
- Peredo Fuentes, H. Model Reduction of Components and Assemblies Made of Composite Materials as Part of Complex Technical Systems to Simulate the Overall Dynamic Behaviour. Ph.D. Thesis, Technische Universität Berlin, Berlin, Germany, 30 December 2017. [Google Scholar] [CrossRef]
Disclaimer/Publisher’s Note: The statements, opinions and data contained in all publications are solely those of the individual author(s) and contributor(s) and not of MDPI and/or the editor(s). MDPI and/or the editor(s) disclaim responsibility for any injury to people or property resulting from any ideas, methods, instructions or products referred to in the content. |
© 2024 by the authors. Licensee MDPI, Basel, Switzerland. This article is an open access article distributed under the terms and conditions of the Creative Commons Attribution (CC BY) license (https://creativecommons.org/licenses/by/4.0/).