Production of Carotenoids and Astaxanthin from Haematococcus pluvialis Cultivated Under Mixotrophy Using Brewery Wastewater: Effect of Light Intensity and Cultivation Time
Abstract
1. Introduction
2. Materials and Methods
2.1. Inoculum Preparation and Culture Medium
2.2. Experimental Setup and Cultivation Conditions
2.3. BWW Collection and Characterization
2.4. Cell Growth and Dry Weight Determination
2.5. Analysis of Pigments
2.6. Astaxanthin Extraction and Determination
3. Results and Discussion
3.1. Effect of Light Intensity on H. pluvialis Growth and Biomass Production
3.2. Effect of Light Intensity on Carotenoids and Astaxanthin Production by H. pluvialis
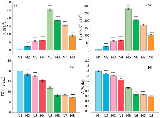
3.3. Effect of Nitrogen Starvation on Carotenoids and Astaxanthin Production by H. pluvialis
4. Conclusions
Author Contributions
Funding
Institutional Review Board Statement
Data Availability Statement
Conflicts of Interest
References
- Gurreri, L.; Rindina, M.C.; Luciano, A.; Lima, S.; Scargiali, F.; Fino, D.; Mancini, G. Environmental Sustainability of Microalgae-Based Production Systems: Roadmap and Challenges towards the Industrial Implementation. Sustain. Chem. Pharm. 2023, 35, 101191. [Google Scholar] [CrossRef]
- Samoraj, M.; Çalics, D.; Trzaska, K.; Mironiuk, M.; Chojnacka, K. Advancements in Algal Biorefineries for Sustainable Agriculture: Biofuels, High-Value Products, and Environmental Solutions. Biocatal. Agric. Biotechnol. 2024, 58, 103224. [Google Scholar] [CrossRef]
- Pereira, L.; Cotas, J.; Valado, A. Antioxidants from Microalgae and Their Potential Impact on Human Well-Being. Explor. Drug Sci. 2024, 2, 292–321. [Google Scholar] [CrossRef]
- Mutanda, T.; Naidoo, D.; Bwapwa, J.K.; Anandraj, A. Biotechnological Applications of Microalgal Oleaginous Compounds: Current Trends on Microalgal Bioprocessing of Products. Front. Energy Res. 2020, 8, 598803. [Google Scholar] [CrossRef]
- Concas, A.; Pisu, M.; Cao, G. Microalgal Cell Disruption through Fenton Reaction: Experiments, Modeling and Remarks on Its Effect on the Extracted Lipids Composition. Chem. Eng. Trans. 2015, 43, 367–372. [Google Scholar] [CrossRef]
- Osman, M.E.H.; Abo-Shady, A.M.; Gheda, S.F.; Desoki, S.M.; Elshobary, M.E. Unlocking the Potential of Microalgae Cultivated on Wastewater Combined with Salinity Stress to Improve Biodiesel Production. Environ. Sci. Pollut. Res. 2023, 30, 114610–114624. [Google Scholar] [CrossRef]
- Lutzu, G.A.; Marin, M.A.; Concas, A.; Dunford, N.T. Growing Picochlorum Oklahomensis in Hydraulic Fracturing Wastewater Supplemented with Animal Wastewater. Water Air Soil Pollut. 2020, 231, 457. [Google Scholar] [CrossRef]
- Onyeaka, H.; Miri, T.; Obileke, K.C.; Hart, A.; Anumudu, C.; Al-Sharify, Z.T. Minimizing Carbon Footprint via Microalgae as a Biological Capture. Carbon Capture Sci. Technol. 2021, 1, 100007. [Google Scholar] [CrossRef]
- Concas, A.; Pisu, M.; Cao, G. Mathematical Modelling of Chlorella Vulgaris Growth in Semi-Batch Photobioreactors Fed with Pure CO2. Chem. Eng. Trans. 2013, 32, 1021–1026. [Google Scholar]
- Casula, M.; Caboni, P.; Fais, G.; Dessì, D.; Scano, P.; Lai, N.; Cincotti, A.; Cao, G.; Concas, A. In-Situ Resource Utilization to Produce Haematococcus Pluvialis Biomass in Simulated Martian Environment. Algal Res. 2024, 79, 103489. [Google Scholar] [CrossRef]
- An, Y.; Kim, T.; Byeon, H.; Rayamajhi, V.; Lee, J.; Jung, S.; Shin, H. Improved Production of Astaxanthin from Haematococcus Pluvialis Using a Hybrid Open--Closed Cultivation System. Appl. Sci. 2024, 14, 1104. [Google Scholar] [CrossRef]
- Li, L.; Wu, Y.; Acheampong, A.; Huang, Q. Red Light Promotes Autotrophic Growth of Haematococcus Pluvialis with Improved Carbonic Anhydrase Activity and CO2 Utilization. Aquaculture 2023, 571, 739462. [Google Scholar] [CrossRef]
- Bjørklund, G.; Gasmi, A.; Lenchyk, L.; Shanaida, M.; Zafar, S.; Mujawdiya, P.K.; Lysiuk, R.; Antonyak, H.; Noor, S.; Akram, M.; et al. The Role of Astaxanthin as a Nutraceutical in Health and Age-Related Conditions. Molecules 2022, 27, 7167. [Google Scholar] [CrossRef] [PubMed]
- Citi, V.; Torre, S.; Flori, L.; Usai, L.; Aktay, N.; Dunford, N.T.; Lutzu, G.A.; Nieri, P. Nutraceutical Features of the Phycobiliprotein C-Phycocyanin: Evidence from Arthrospira Platensis (Spirulina). Nutrients 2024, 16, 1752. [Google Scholar] [CrossRef]
- Pertiwi, H.; Nur Mahendra, M.Y.; Kamaludeen, J. Astaxanthin as a Potential Antioxidant to Improve Health and Production Performance of Broiler Chicken. Vet. Med. Int. 2022, 2022, 4919442. [Google Scholar] [CrossRef]
- Oslan, S.N.H.; Shoparwe, N.F.; Yusoff, A.H.; Rahim, A.A.; Chang, C.S.; Tan, J.S.; Oslan, S.N.; Arumugam, K.; Ariff, A.B.; Sulaiman, A.Z.; et al. A Review on Haematococcus Pluvialis Bioprocess Optimization of Green and Red Stage Culture Conditions for the Production of Natural Astaxanthin. Biomolecules 2021, 11, 256. [Google Scholar] [CrossRef]
- Li, F.; Cai, M.; Wu, Y.; Lian, Q.; Qian, Z.; Luo, J.; Zhang, Y.; Zhang, N.; Li, C.; Huang, X. Effects of Nitrogen and Light Intensity on the Astaxanthin Accumulation in Motile Cells of Haematococcus Pluvialis. Front. Mar. Sci. 2022, 9, 909237. [Google Scholar] [CrossRef]
- Yang, S.; Zhao, W.; Mou, H.; Sun, H. Improving Astaxanthin Production of Haematococcus Pluvialis by an Efficient Fed-Batch Strategy in a Photobioreactor. Algal Res. 2021, 60, 102539. [Google Scholar] [CrossRef]
- Waissman-Levy, N.; Leu, S.; Khozin-Goldberg, I.; Boussiba, S. Manipulation of Trophic Capacities in Haematococcus Pluvialis Enables Low-Light Mediated Growth on Glucose and Astaxanthin Formation in the Dark. Algal Res. 2019, 40, 101497. [Google Scholar] [CrossRef]
- Khazi, M.I.; Liaqat, F.; Gu, W.; Mohamed, B.; Zhu, D.; Li, J. Astaxanthin Production from the Microalga Haematococcus Lacustris with a Dual Substrate Mixotrophy Strategy. Biotechnol. J. 2023, 18, 2300095. [Google Scholar] [CrossRef]
- Grujić, V.J.; Todorović, B.; Ambrožič-Dolinšek, J.; Kranvogl, R.; Ciringer, T. Diversity and Content of Carotenoids and Other Pigments in the Transition from the Green to the Red Stage of Haematococcus Pluvialis Microalgae Identified by HPLC-DAD and LC-QTOF-MS. Plants 2022, 11, 1026. [Google Scholar] [CrossRef] [PubMed]
- Sipaúba-Tavares, L.H.; Tedesque, M.G.; Fenerick, D.C.; Millan, R.N.; Scardoeli-Truzzi, B. Effect of Light/Dark Cycles on the Growth of Haematococcus Pluvialis in Mixotrophic Cultivation with Alternative Culture Media. Biotechnol. Res. Innov. 2022, 6, e2022202. [Google Scholar] [CrossRef]
- Lutzu, G.A.; Zhang, W.; Liu, T. Feasibility of Using Brewery Wastewater for Biodiesel Production and Nutrient Removal by Scenedesmus Dimorphus. Environ. Technol. 2016, 37, 1568–1581. [Google Scholar] [CrossRef] [PubMed]
- Miotti, T.; Sansone, F.; Lolli, V.; Concas, A.; Lutzu, G.A. Mixotrophic and Heterotrophic Metabolism in Brewery Wastewater by Chlorella Vulgaris: Effect on Growth, FAME Profile and Biodiesel Properties. Chem. Eng. Trans. 2024, 109, 97–102. [Google Scholar]
- Wang, P. Culture Medium and Culture Method for Culturing Haematococcus Pluvialis by Using Brewery Wastewater. CN103966103A, 6 August 2014. [Google Scholar]
- Amenorfenyo, D.K.; Huang, X.; Zhang, Y.; Zeng, Q.; Zhang, N.; Ren, J.; Huang, Q. Microalgae Brewery Wastewater Treatment: Potentials, Benefits and the Challenges. Int. J. Environ. Res. Public Health 2019, 16, 1910. [Google Scholar] [CrossRef]
- Cavallini, A.; Torre, S.; Usai, L.; Casula, M.; Fais, G.; Nieri, P.; Concas, A.; Lutzu, G.A. Effect of Cheese Whey on Phycobiliproteins Production and FAME Profile by Arthrospira Platensis (Spirulina): Promoting the Concept of a Circular Bio-Economy. Sustain. Chem. Pharm. 2024, 40, 101625. [Google Scholar] [CrossRef]
- Stanier, R.Y.; Kunisawa, R.; Mandel, M.; Cohen-Bazire, G. Purification and Properties of Unicellular Blue-Green Algae (Order Chroococcales). Bacteriol. Rev. 1971, 35, 171–205. [Google Scholar] [CrossRef]
- Zhang, Y.; Chang, F.; Zhang, X.; Li, D.; Liu, Q.; Liu, F.; Zhang, H. Release of Endogenous Nutrients Drives the Transformation of Nitrogen and Phosphorous in the Shallow Plateau of Lake Jian in Southwestern China. Water 2022, 14, 2624. [Google Scholar] [CrossRef]
- He, Z.; Chen, J.; Lu, J.; Jiang, S.Y.; Su, L.; Lee, C.H.; Ruan, H.D. Batch and Column Adsorption of Phosphorus by Modified Montmorillonite. Appl. Sci. 2022, 12, 5703. [Google Scholar] [CrossRef]
- Weatherburn, M.W. Phenol-Hypochlorite Reaction for Determination of Ammonia. Anal. Chem. 1967, 39, 971–974. [Google Scholar] [CrossRef]
- Jiang, M.; Jing, C.; Lei, C.; Han, X.; Wu, Y.; Ling, S.; Zhang, Y.; Li, Q.; Yu, H.; Liu, S.; et al. A Bio-Based Nanofibre Hydrogel Filter for Sustainable Water Purification. Nat. Sustain. 2024, 7, 168–178. [Google Scholar] [CrossRef]
- Wellburn, A.R. The Spectral Determination of Chlorophylls a and b, as Well as Total Carotenoids, Using Various Solvents with Spectrophotometers of Different Resolution. J. Plant Physiol. 1994, 144, 307–313. [Google Scholar] [CrossRef]
- Yap, S.M.; Lan, J.C.W.; Kee, P.E.; Ng, H.S.; Yim, H.S. Enhancement of Protein Production Using Synthetic Brewery Wastewater by Haematococcus Pluvialis. J. Biotechnol. 2022, 350, 1–10. [Google Scholar] [CrossRef] [PubMed]
- O’Rourke, R.; Gaffney, M.; Murphy, R. The Effects of Parachlorella Kessleri Cultivation on Brewery Wastewater. Water Sci. Technol. 2016, 73, 1401–1408. [Google Scholar] [CrossRef]
- Wong, Y. Effects of light intensity, illumination cycles on microalgae haematococcus pluvialis for production of astaxanthin. J. Mar. Biol. Aquac. 2016, 2, 1–6. [Google Scholar] [CrossRef][Green Version]
- Sforza, E.; Simionato, D.; Giacometti, G.M.; Bertucco, A.; Morosinotto, T. Adjusted Light and Dark Cycles Can Optimize Photosynthetic Efficiency in Algae Growing in Photobioreactors. PLoS ONE 2012, 7, e38975. [Google Scholar] [CrossRef]
- Subramanian, G.; Yadav, G.; Sen, R. Rationally Leveraging Mixotrophic Growth of Microalgae in Different Photobioreactor Configurations for Reducing the Carbon Footprint of an Algal Biorefinery: A Techno-Economic Perspective. RSC Adv. 2016, 6, 72897–72904. [Google Scholar] [CrossRef]
- Byeon, H.; An, Y.; Kim, T.; Rayamajhi, V.; Lee, J.; Shin, H.; Jung, S. Effects of Four Organic Carbon Sources on the Growth and Astaxanthin Accumulation of Haematococcus Lacustris. Life 2023, 14, 29. [Google Scholar] [CrossRef]
- Yu, X.; Ye, X.; Hu, C.; Xu, N.; Sun, X. Sodium Acetate Can Promote the Growth and Astaxanthin Accumulation in the Unicellular Green Alga Haematococcus Pluvialis as Revealed by a Proteomics Approach. J. Oceanol. Limnol. 2022, 40, 2052–2067. [Google Scholar] [CrossRef]
- van der Spiegel, M.; Noordam, M.Y.; van der Fels-Klerx, H.J. Safety of Novel Protein Sources (Insects, Microalgae, Seaweed, Duckweed, and Rapeseed) and Legislative Aspects for Their Application in Food and Feed Production. Compr. Rev. Food Sci. Food Saf. 2013, 12, 662–678. [Google Scholar] [CrossRef]
- Coutinho Rodrigues, O.H.; Itokazu, A.G.; Rörig, L.; Maraschin, M.; Corrêa, R.G.; Pimentel-Almeida, W.; Moresco, R. Evaluation of Astaxanthin Biosynthesis by Haematococcus Pluvialis Grown in Culture Medium Added of Cassava Wastewater. Int. Biodeterior. Biodegrad. 2021, 163, 105269. [Google Scholar] [CrossRef]
- de Carvalho, J.C.; Goyzueta-Mamani, L.D.; Molina-Aulestia, D.T.; Magalhães Júnior, A.I.; Iwamoto, H.; Ambati, R.R.; Ravishankar, G.A.; Soccol, C.R. Microbial Astaxanthin Production from Agro-Industrial Wastes—Raw Materials, Processes, and Quality. Fermentation 2022, 8, 484. [Google Scholar] [CrossRef]
- Ahirwar, A.; Meignen, G.; Jahir Khan, M.; Sirotiya, V.; Harish; Scarsini, M.; Roux, S.; Marchand, J.; Schoefs, B.; Vinayak, V. Light Modulates Transcriptomic Dynamics Upregulating Astaxanthin Accumulation in Haematococcus: A Review. Bioresour. Technol. 2021, 340, 125707. [Google Scholar] [CrossRef]
- Wang, S.; Meng, Y.; Liu, J.; Cao, X.; Xue, S. Accurate Quantification of Astaxanthin from Haematococcus Pluvialis Using DMSO Extraction and Lipase-Catalyzed Hydrolysis Pretreatment. Algal Res. 2018, 35, 427–431. [Google Scholar] [CrossRef]
- Razzak, S.A.; Bahar, K.; Islam, K.M.O.; Haniffa, A.K.; Faruque, M.O.; Hossain, S.M.Z.; Hossain, M.M. Microalgae Cultivation in Photobioreactors: Sustainable Solutions for a Greener Future. Green Chem. Eng. 2023, 5, 418–439. [Google Scholar] [CrossRef]
- Zhang, W.; Wang, J.; Wang, J.; Liu, T. Attached Cultivation of Haematococcus Pluvialis for Astaxanthin Production. Bioresour. Technol. 2014, 158, 329–335. [Google Scholar] [CrossRef] [PubMed]
- Samhat, K.; Kazbar, A.; Takache, H.; Ismail, A.; Pruvost, J. Influence of Light Absorption Rate on the Astaxanthin Production by the Microalga Haematococcus Pluvialis during Nitrogen Starvation. Bioresour. Bioprocess. 2023, 10, 78. [Google Scholar] [CrossRef]
- Lee, E.; Jalalizadeh, M.; Zhang, Q. Growth Kinetic Models for Microalgae Cultivation: A Review. Algal Res. 2015, 12, 497–512. [Google Scholar] [CrossRef]
- Fang, L.; Zhang, J.; Fei, Z.; Wan, M. Chlorophyll as Key Indicator to Evaluate Astaxanthin Accumulation Ability of Haematococcus Pluvialis. Bioresour. Bioprocess. 2019, 6, 52. [Google Scholar] [CrossRef]
- Tamary, E.; Nevo, R.; Naveh, L.; Levin-Zaidman, S.; Kiss, V.; Savidor, A.; Levin, Y.; Eyal, Y.; Reich, Z.; Adam, Z. Chlorophyll Catabolism Precedes Changes in Chloroplast Structure and Proteome during Leaf Senescence. Plant Direct 2019, 3, e00127. [Google Scholar] [CrossRef]
- Sun, H.; Wang, Y.; He, Y.; Liu, B.; Mou, H.; Chen, F.; Yang, S. Microalgae-Derived Pigments for the Food Industry. Mar. Drugs 2023, 21, 82. [Google Scholar] [CrossRef] [PubMed]







| BG11 | A5 Solution | ||
|---|---|---|---|
| NaNO3 | 1500 mg L−1 | H3BO3 | 2.86 g L−1 |
| K2HPO4 | 40 mg L−1 | MnCl2·4H2O | 1.81 g L−1 |
| MgSO4·7H2O | 75 mg L−1 | CuSO4·7H2O | 0.079 g L−1 |
| CaCl2·2H2O | 36 mg L−1 | Na2MoO4·2H2O | 0.39 g L−1 |
| Na2CO3 | 20 mg L−1 | ZnSO4·7H2O | 0.222 g L−1 |
| Citric acid | 6 mg L−1 | Co(NO3)2·6H2O | 0.049 g L−1 |
| Ferric ammonium | 6 mg L−1 | ||
| EDTA | 1 mg L−1 | ||
| Trace element A5 solution | 1 mL L−1 |
| BG11 | BWW | Exp. 1 | Exp. 2 | Exp. 3 | |
|---|---|---|---|---|---|
| Culture Medium | (% vol) | (% vol) | Light Intensity (µmol m−2 s−1) | ||
| CTRL | 100 | 0 | 35 (6) | 140 (6) | 35 (5) + 140 (5) |
| BG11-BWW 1:1 | 50 | 50 | 35 (6) | 140 (6) | 35 (5) + 140 (5) |
| BG11-BWW 1:3 | 25 | 75 | 35 (6) | 140 (6) | 35 (5) + 140 (5) |
| BWW | 0 | 100 | 35 (6) | 140 (6) | 35 (5) + 140 (5) |
| COD Range (mg O2 L−1) | TN (mg L−1) | TP (mg L−1) | N-NH4+ (mg L−1) | pH (/) |
|---|---|---|---|---|
| 2080–5805 | 4.75 ± 0.14 | 0.44 ± 0.003 | 0.004 ± 0.001 | 6.89 ± 0.51 |
| Chl a mg L−1 | Chl b mg L−1 | TChl mg L−1 | TC mg L−1 | Car/Chl / | Vol TC mg L−1day−1 | |
|---|---|---|---|---|---|---|
| Exp1: 35 µmol m−2 s−1 | ||||||
| BWW | 0.05 | 0.11 | 0.16 | 0.59 | 3.69 | 0.10 |
| BWW-BG11 1:1 | 0.08 | 0.11 | 0.19 | 0.76 | 4.00 | 0.13 |
| BWW-BG11 1:3 | 0.12 | 0.21 | 0.33 | 0.57 | 1.73 | 0.09 |
| BG11 | 0.54 | 0.56 | 1.1 | 0.67 | 0.60 | 0.11 |
| Exp2: 140 µmol m−2 s−1 | ||||||
| BWW | 0.04 | 0.03 | 0.07 | 0.79 | 11.28 | 0.13 |
| BWW-BG11 1:1 | 0.27 | 0.26 | 0.53 | 0.54 | 1.02 | 0.09 |
| BWW-BG11 1:3 | 0.19 | 0.24 | 0.43 | 0.43 | 1.00 | 0.07 |
| BG11 | 0.01 | 0.01 | 0.02 | 0.49 | 24.50 | 0.04 |
| Exp3: 35 µmol m−2 s−1 then 140 µmol m−2 s−1 | ||||||
| BWW | 0.3 | 0.19 | 0.49 | 0.64 | 1.28 | 0.10 |
| BWW-BG11 1:1 | 1.72 | 1.42 | 3.14 | 0.69 | 0.22 | 0.11 |
| BWW-BG11 1:3 | 1.59 | 1.8 | 3.39 | 0.42 | 0.17 | 0.07 |
| BG11 | 0.7 | 0.66 | 1.36 | 0.73 | 0.53 | 0.12 |
| Parameter | Value | Unit |
|---|---|---|
| μmax | 0.503 ± 0.181 | day−1 |
| km | 1.172 ± 0.784 | mM |
| ki | 9.726 ± 7.508 | mM2 |
| Reduced χ2 | 425.65 | - |
| R2 | 0.936 | - |
| Adjusted R2 | 0.905 | - |
Disclaimer/Publisher’s Note: The statements, opinions and data contained in all publications are solely those of the individual author(s) and contributor(s) and not of MDPI and/or the editor(s). MDPI and/or the editor(s) disclaim responsibility for any injury to people or property resulting from any ideas, methods, instructions or products referred to in the content. |
© 2024 by the authors. Licensee MDPI, Basel, Switzerland. This article is an open access article distributed under the terms and conditions of the Creative Commons Attribution (CC BY) license (https://creativecommons.org/licenses/by/4.0/).
Share and Cite
Lutzu, G.A.; Concas, A.; Damergi, E.; Chen, L.; Zhang, W.; Liu, T. Production of Carotenoids and Astaxanthin from Haematococcus pluvialis Cultivated Under Mixotrophy Using Brewery Wastewater: Effect of Light Intensity and Cultivation Time. Appl. Sci. 2024, 14, 9704. https://doi.org/10.3390/app14219704
Lutzu GA, Concas A, Damergi E, Chen L, Zhang W, Liu T. Production of Carotenoids and Astaxanthin from Haematococcus pluvialis Cultivated Under Mixotrophy Using Brewery Wastewater: Effect of Light Intensity and Cultivation Time. Applied Sciences. 2024; 14(21):9704. https://doi.org/10.3390/app14219704
Chicago/Turabian StyleLutzu, Giovanni Antonio, Alessandro Concas, Eya Damergi, Lin Chen, Wei Zhang, and Tianzhong Liu. 2024. "Production of Carotenoids and Astaxanthin from Haematococcus pluvialis Cultivated Under Mixotrophy Using Brewery Wastewater: Effect of Light Intensity and Cultivation Time" Applied Sciences 14, no. 21: 9704. https://doi.org/10.3390/app14219704
APA StyleLutzu, G. A., Concas, A., Damergi, E., Chen, L., Zhang, W., & Liu, T. (2024). Production of Carotenoids and Astaxanthin from Haematococcus pluvialis Cultivated Under Mixotrophy Using Brewery Wastewater: Effect of Light Intensity and Cultivation Time. Applied Sciences, 14(21), 9704. https://doi.org/10.3390/app14219704

