Equivalent Fatigue Constitutive Model Based on Fatigue Damage Evolution of Concrete
Abstract
1. Introduction
2. Methodology
2.1. Concrete Damaged Plasticity Model (CDPM)
2.1.1. Stress–Strain Relations in CDPM
2.1.2. Input of Plasticity Parameters
2.1.3. Input of Uniaxial Behavior
2.2. Fatigue Damage Evolution
2.2.1. Fatigue Damage Evolution Equation
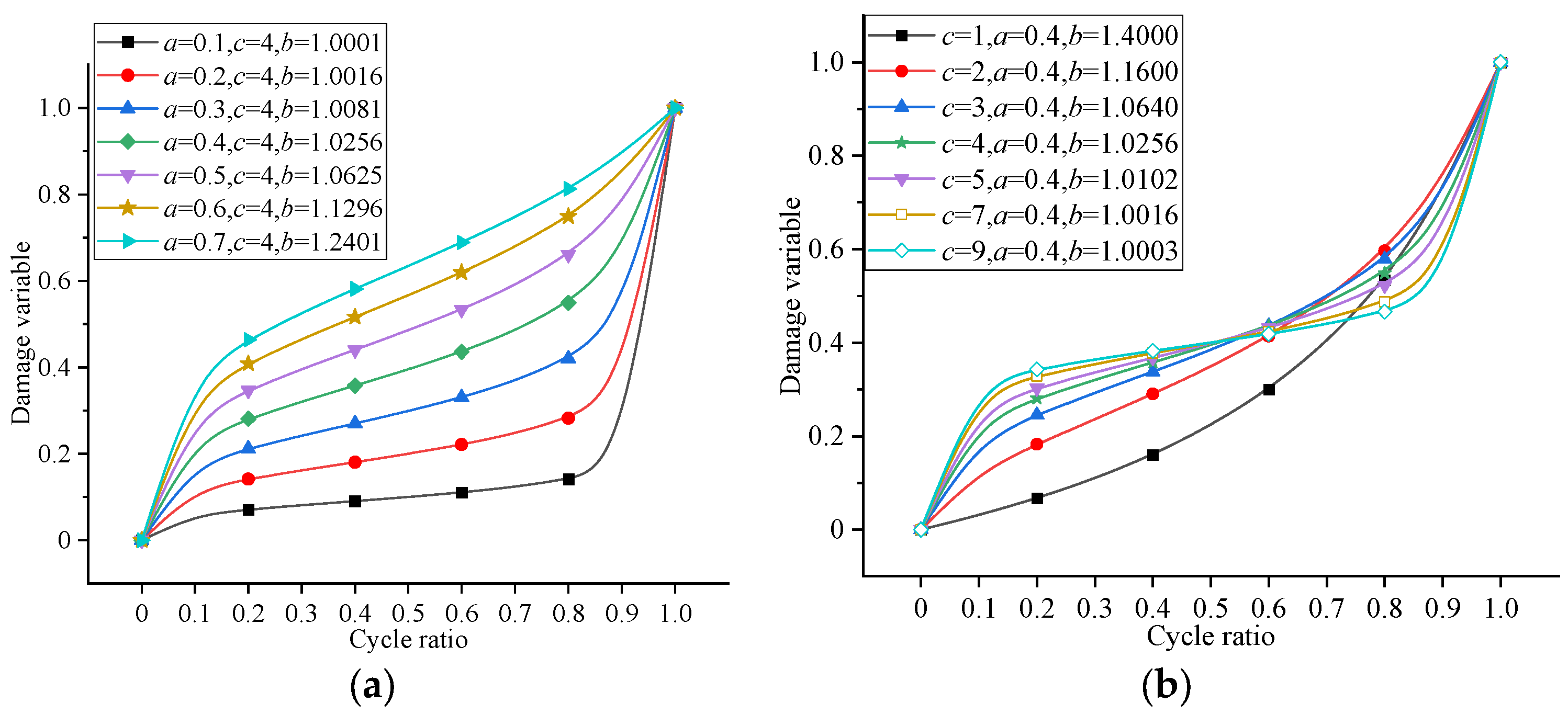
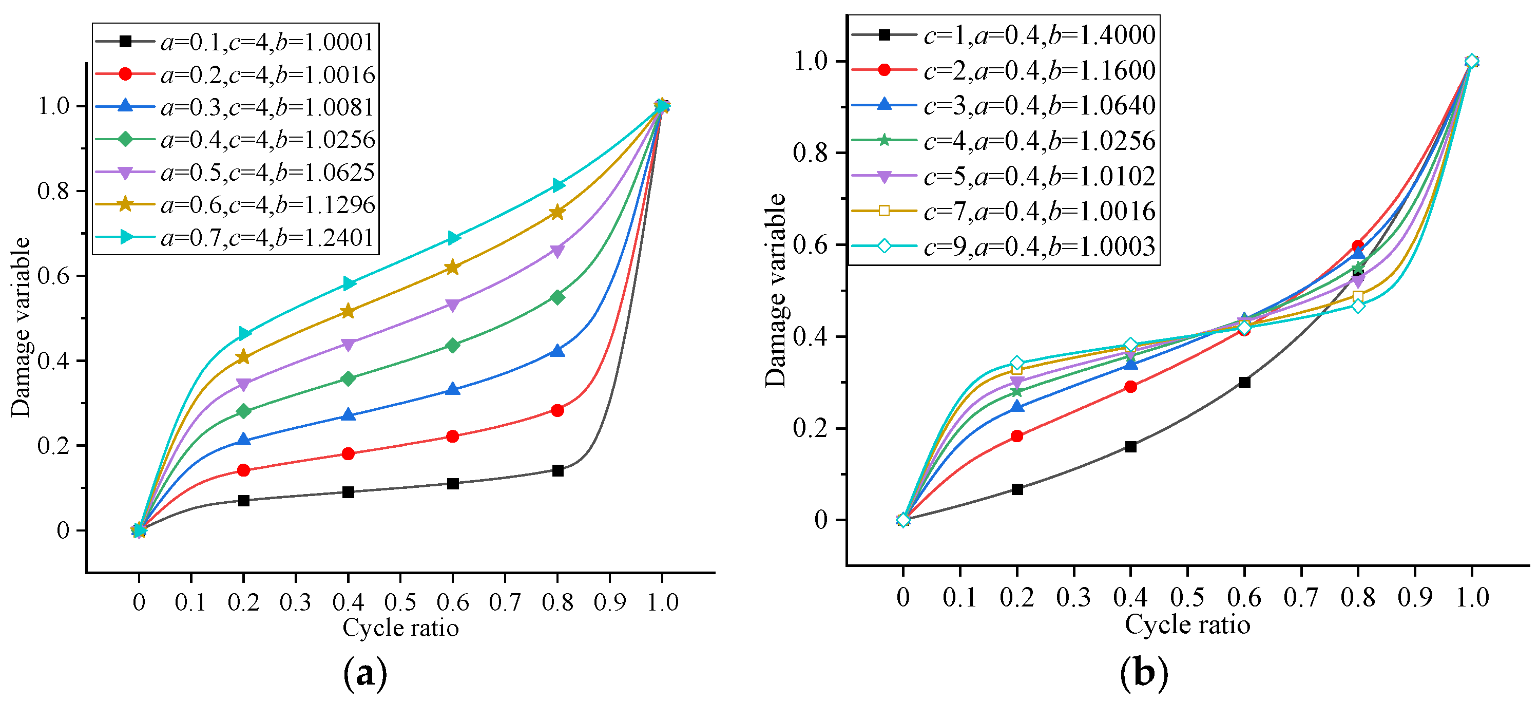
2.2.2. Analysis of Critical Parameters
2.2.3. Evolution Equation under Axial Compression
2.2.4. Evolution Equation under Flexural Tension
2.3. Equivalent Fatigue Damage Constitution
2.3.1. Calculation Assumptions
2.3.2. Fatigue Residual Strength
2.3.3. Fatigue Residual Elasticity Modulus
2.3.4. Fatigue Residual Strain
2.3.5. Equivalent Fatigue Constitution Based on Chinese Code [35]
3. Verifications
3.1. Feasibility of the Proposed Method
3.2. Discussion on Different Forms of Monotonic Constitution
3.3. Discussion on Concrete Parameters Affecting Fatigue Degradation
3.3.1. Loading Frequency
3.3.2. Size Effect
4. Applications
4.1. Concrete Fatigue in Axial Compression
4.1.1. Conversion of Material Parameters
4.1.2. Finite Element Simulation
4.2. Concrete Fatigue in Flexural Tension
4.2.1. Equivalent Fatigue Damage Constitutive Curve
4.2.2. Finite Element Analysis
4.3. Research Limitations and Future Work
5. Conclusions
Author Contributions
Funding
Institutional Review Board Statement
Informed Consent Statement
Data Availability Statement
Conflicts of Interest
References
- Lee, M.K.; Barr, B.I.G. An overview of the fatigue behaviour of plain and fibre reinforced concrete. Cem. Concr. Compos. 2004, 26, 299–305. [Google Scholar] [CrossRef]
- Liu, D.Y.; Wang, C.; Gonzalez-Libreros, J.; Guo, T.; Cao, J.; Tu, Y.M.; Elfgren, L.; Sas, G. A review of concrete properties under the combined effect of fatigue and corrosion from a material perspective. Constr. Build. Mater. 2023, 369, 130489. [Google Scholar] [CrossRef]
- Aslani, F.; Jowkarmeimandi, R. Stress-strain model for concrete under cyclic loading. Mag. Concr. Res. 2012, 64, 673–685. [Google Scholar] [CrossRef]
- Sima, J.F.; Roca, P.; Molins, C. Cyclic constitutive model for concrete. Eng. Struct. 2008, 30, 695–706. [Google Scholar] [CrossRef]
- Lin, Q. Studies on Fatigue Damage Constitutive Model and Evaluation Method of Fatigue Performance of Concrete. Master’s Thesis, Hefei University of Technology, Hefei, China, 2019. [Google Scholar]
- Wang, Y.P. A new insight into the three phases of secant stiffness degradation of concrete under fatigue loading. Int. J. Fatigue 2023, 167, 107323. [Google Scholar] [CrossRef]
- Alfarah, B.; Lopez-Almansa, F.; Oller, S. New methodology for calculating damage variables evolution in Plastic Damage Model for RC structures. Eng. Struct. 2017, 132, 70–86. [Google Scholar] [CrossRef]
- Lubliner, J.; Oliver, J.; Oller, S.; Oñate, E. A plastic-damage model for concrete. Int. J. Solids Struct. 1989, 25, 299–326. [Google Scholar] [CrossRef]
- Dassault Systemes Simulia Corp. Abaqus Analysis Users’ Manual; Dassault Systemes Simulia Corp.: Providence, RI, USA, 2019. [Google Scholar]
- Zhu, J.S.; Zhu, X.C. Study on simplified method for the analysis of fatigue failure process of RC bridges. Eng. Mech. 2012, 29, 107–114+121. [Google Scholar]
- Cojocaru, D.; Karlsson, A.M. A simple numerical method of cycle jumps for cyclically loaded structures. Int. J. Fatigue 2006, 28, 1677–1689. [Google Scholar] [CrossRef]
- Kindrachuk, V.M.; Titscher, T.; Unger, J.F. A Fourier transformation-based method for gradient-enhanced modeling of fatigue. Int. J. Numer. Methods Eng. 2018, 114, 196–214. [Google Scholar] [CrossRef]
- Titscher, T.; Unger, J.F. Efficient higher-order cycle jump integration of a continuum fatigue damage model. Int. J. Fatigue 2020, 141, 105863. [Google Scholar] [CrossRef]
- Zanuy, C.; Fuente, P.D.L.; Albajar, L. Effect of fatigue degradation of the compression zone of concrete in reinforced concrete sections. Eng. Struct. 2007, 29, 2908–2920. [Google Scholar] [CrossRef]
- Bai, X.; He, M.J.; Ma, R.L.; Huang, D.P.; Chen, J.L. Modelling fatigue degradation of the compressive zone of concrete in onshore wind turbine foundations. Constr. Build. Mater. 2017, 132, 425–437. [Google Scholar] [CrossRef]
- Guo, X.Y.; Wang, Y.L.; Huang, P.Y.; Chen, Z.B. Finite element modeling for fatigue life prediction of RC beam strengthened with prestressed CFRP based on failure modes. Compos. Struct. 2019, 226, 111289. [Google Scholar] [CrossRef]
- Zou, C.L.; Ibrahim, Z.; Hashim, H.; Jamadin, A.; Ayough, P. Nonlinear analysis of reinforced concrete slabs under high-cyclic fatigue loading. J. Mater. Res. Technol. 2022, 21, 992–1012. [Google Scholar] [CrossRef]
- Zou, C.L.; Ibrahim, Z.; Hashim, H.; Liang, Q.Q.; Ayough, P.; Jameel, M. Fatigue performance simulation of reinforced concrete beams externally strengthened with side bonded CFRP sheets. Eng. Struct. 2024, 316, 118530. [Google Scholar] [CrossRef]
- Liu, F.P.; Zhou, J.T. Concrete bending strength degradation analysis based on fatigue strain evolution. China J. Highw. Transp. 2017, 30, 97–105. [Google Scholar] [CrossRef]
- Zhao, D.F.; Gao, H.J.; Yang, J.H. Variable-amplitude fatigue properties of plain concrete under biaxial tension-compression and triaxial tension-compression-compression cyclic loading. Eng. Mech. 2017, 34, 154–160. [Google Scholar]
- Wei, J.; Li, S.L.; Dong, R.Z.; Liu, X.C. Fatigue damage constitutive model of concrete considering the effect of residual deformation. J. Hunan Univ.-Nat. Sci. Edit. 2016, 43, 57–61. [Google Scholar]
- Oneschkow, N. Fatigue behaviour of high-strength concrete with respect to strain and stiffness. Int. J. Fatigue 2016, 87, 38–49. [Google Scholar] [CrossRef]
- Meng, X.H. Experimental and Theoretical Research on Residual Strength of Concrete under Fatigue Loading. Ph.D. Thesis, Dalian University of Technology, Dalian, China, 2006. [Google Scholar]
- Kachkouch, F.Z.; Noberto, C.C.; Babadopulos, L.F.d.A.L.; Melo, A.R.S.; Machado, A.M.L.; Sebaibi, N.; Boukhelf, F.; El Mendili, Y. Fatigue behavior of concrete: A literature review on the main relevant parameters. Constr. Build. Mater. 2022, 338, 127510. [Google Scholar] [CrossRef]
- Isojeh, B.; El-Zeghayar, M.; Vecchio, F.J. Concrete damage under fatigue loading in uniaxial compression. ACI Mater. J. 2017, 114, 225–235. [Google Scholar] [CrossRef]
- Li, C.Y.; Song, Y.P.; Cheng, Y. Study on cumulative damage behavior of concrete under uniaxial cyclic load. China Civil Eng. J. 2002, 35, 38–40. [Google Scholar]
- Chen, Y.B.; Lu, Z.N.; Huang, D. Fatigue defect of layer steel fiber reinforced concrete. J. Wuhan Univ. Technol.-Nat. Sci. Edit. 2003, 18, 65–68. [Google Scholar] [CrossRef]
- Xie, J.B.; He, T.C.; Cheng, H.M. Investigation flexural fatigue behavior of steel fiber reinforced concrete for pavement surface stratum under cyclic load. J. Lanzhou Univ. Technol. 2004, 30, 104–109. [Google Scholar]
- Sidoroff, F. Description of anisotropic damage application to elasticity. In Physical Non-Linearities in Structural Analysis; Hult, J., Lemaitre, J., Eds.; Springer: Berlin/Heidelberg, Germany, 1981; pp. 237–244. [Google Scholar] [CrossRef]
- Zhu, J.S.; Song, Y.P.; Xiao, R.C. Fatigue behavior and post-damaged equivalent constitutive law of plain concrete. J. Build. Mater. 2005, 8, 609–614. [Google Scholar]
- Kim, J.K.; Kim, Y.Y. Experimental study of the fatigue of high strength concrete. Cem. Concr. Res. 1996, 26, 1513–1523. [Google Scholar] [CrossRef]
- Chen, H.T.; Sun, Z.Y.; Zhang, X.W.; Fan, J.H. Tensile fatigue properties of ordinary plain concrete and reinforced concrete under flexural loading. Materials 2023, 16, 6447. [Google Scholar] [CrossRef]
- Chen, H.T.; Sun, Z.Y.; Zhong, Z.F.; Huang, Y. Fatigue factor assessment and life prediction of concrete based on Bayesian regularized BP neural network. Materials 2022, 15, 4491. [Google Scholar] [CrossRef]
- GB/T 50081; Standard for Test Methods of Concrete Physical and Mechanical Properties. China Architecture & Building Press: Beijing, China, 2019; pp. 28–30.
- GB 50010-2010; Code for Design of Concrete Structures. China Architecture & Building Press: Beijing, China, 2015.
- Ortiz, M. A constitutive theory for the inelastic behavior of concrete. Mech. Mater. 1985, 4, 67–93. [Google Scholar] [CrossRef]
- Wang, R.M.; Zhao, G.F.; Song, Y.P. Fatigue of plain concrete under compression. China Civil Eng. J. 1991, 24, 38–47. [Google Scholar]
- CEB-FIP. fib Model Code for Concrete Structures 2010; Wilhelm Ernst & Sohn: Berlin, Germany, 2013. [Google Scholar]
- Viswanath, S.; LaFave, J.M.; Kuchma, D.A. Concrete compressive strain behavior and magnitudes under uniaxial fatigue loading. Constr. Build. Mater. 2021, 296, 123718. [Google Scholar] [CrossRef]
- Medeiros, A.; Zhang, X.; Ruiz, G.; Yu, R.C.; Velasco, M.d.S.L. Effect of the loading frequency on the compressive fatigue behavior of plain and fiber reinforced concrete. Int. J. Fatigue 2015, 70, 342–350. [Google Scholar] [CrossRef]
- Sparks, P.R.; Menzies, J.B. The effect of rate of loading upon the static and fatigue strengths of plain concrete in compression. Mag. Concr. Res. 1973, 25, 73–80. [Google Scholar] [CrossRef]
- Ou, J.P.; Lin, Y.Q. Experimental study on performance degradation of plain concrete due to high-cycle fatigue damage. China Civ. Eng. J. 1999, 32, 15–22. [Google Scholar]
- Liu, W.; Xu, M.; Chen, Z.F. Parameters calibration and verification of concrete damage plasticity model of Abaqus. Ind. Constr. 2014, 44, 167–171. [Google Scholar] [CrossRef]
- Lin, Y.Q.; Ou, J.P. A new method to infer the initial compressive strength of a single concrete specimen in its fatigue damage test. J. Harbin Univ. Archit. Eng. 1997, 30, 9–20. [Google Scholar]
- Guo, Z.H.; Shi, X.D. Principle and Analysis of Reinforced Concrete; Tsinghua University Press: Beijing, China, 2003; pp. 136–140. [Google Scholar]
- Wosatko, A.; Winnicki, A.; Polak, M.; Pamin, J. Role of dilatancy angle in plasticity-based models of concrete. Arch. Civ. Mech. Eng. 2019, 19, 1268–1283. [Google Scholar] [CrossRef]
- Hong, J.X.; Miao, C.W.; Shi, X.X.; Wan, Y. Proportion relation and strain rate of three-stage concrete’s fatigue deformation curve. J. Nanjing Univ. Sci. Technol. 2013, 37, 150–155. [Google Scholar] [CrossRef]





























| Compressive Strength (Mpa) | Cement (kg/m3) | Water (kg/m3) | Fine Aggregates (kg/m3) | Coarse Aggregates (kg/m3) | Admixture (%) | Slump (mm) |
|---|---|---|---|---|---|---|
| 26 | 320 | 218 | 717 | 931 | / | 61 |
| 52 | 450 | 156 | 698 | 1047 | 3 | 81 |
| 84 | 442 | 156 | 633 | 1032 | 2 | 169 |
| Controlling Factor | a | b | c | R2 | |
|---|---|---|---|---|---|
| Maximum stress level Smax | 0.75 | 0.442 | 1.020 | 4.786 | 0.98 |
| 0.80 | 0.491 | 1.038 | 4.475 | 0.97 | |
| 0.85 | 0.550 | 1.086 | 4.000 | 0.96 | |
| 0.95 | 0.662 | 1.182 | 3.800 | 0.96 | |
| Strength f (Mpa) | 26 | 0.537 | 1.098 | 3.739 | 0.89 |
| 52 | 0.563 | 1.060 | 4.954 | 0.95 | |
| 84 | 0.476 | 1.037 | 4.458 | 0.94 | |
| Maximum Stress Level Smax | Stress Ratio | Frequency (Hz) | Number of Specimens |
|---|---|---|---|
| 0.85 | 0.3 | 1/16 | 2 |
| 0.85 | 0.3 | ¼ | 2 |
| 0.85 | 0.3 | 1 | 2 |
| 0.85 | 0.3 | 4 | 2 |
| 0.80 | 0.1 | 2 | 4 |
| 0.80 | 0.2 | 2 | 4 |
| 0.80 | 0.2 | 3 | 4 |
| 0.75 | 0.1 | 2 | 4 |
| 0.75 | 0.1 | 3 | 4 |
| 0.70 | 0.1 | 3 | 4 |
| Controlling Factor | a | b | c | R2 | |
|---|---|---|---|---|---|
| Frequency | 2 Hz | 0.550 | 1.015 | 7.000 | 0.94 |
| 3 Hz | 0.550 | 1.009 | 7.848 | 0.95 | |
| Maximum stress level Smax | 0.85 | 0.551 | 1.046 | 5.161 | 0.96 |
| 0.80 | 0.532 | 1.004 | 8.684 | 0.95 | |
| 0.75 | 0.524 | 1.002 | 9.515 | 0.97 | |
| Data Source | Specimen Size | Loading Frequency |
|---|---|---|
| Literature [31] | Φ100 mm × H200 mm | 1 Hz |
| Literature [42] | Φ150 mm × H250 mm | 5 Hz |
| Literature [40] | 100 mm × 100 mm × 100 mm | 1 Hz |
| Specimen | (MPa) | Converted fcu (MPa) | Converted fc (MPa) | Converted εp,c | Converted E0 (MPa) |
|---|---|---|---|---|---|
| F1 | 46.2 | 54 | 48.6 | 0.001899 | 35,573 |
| F3 | 43.9 | 51 | 45.9 | 0.001865 | 35,124 |
| Material | Dilatancy Angle (°) | Eccentricity | Ratio of Biaxial/Uniaxial Compressive Strength | Shape Factor of Yield Surface | Viscosity Parameter |
|---|---|---|---|---|---|
| Concrete | 55 | 0.1 | 1.16 | 0.667 | 0.0005 |
Disclaimer/Publisher’s Note: The statements, opinions and data contained in all publications are solely those of the individual author(s) and contributor(s) and not of MDPI and/or the editor(s). MDPI and/or the editor(s) disclaim responsibility for any injury to people or property resulting from any ideas, methods, instructions or products referred to in the content. |
© 2024 by the authors. Licensee MDPI, Basel, Switzerland. This article is an open access article distributed under the terms and conditions of the Creative Commons Attribution (CC BY) license (https://creativecommons.org/licenses/by/4.0/).
Share and Cite
Chen, H.; Sun, Z.; Zhang, X.; Zhang, W. Equivalent Fatigue Constitutive Model Based on Fatigue Damage Evolution of Concrete. Appl. Sci. 2024, 14, 8721. https://doi.org/10.3390/app14198721
Chen H, Sun Z, Zhang X, Zhang W. Equivalent Fatigue Constitutive Model Based on Fatigue Damage Evolution of Concrete. Applied Sciences. 2024; 14(19):8721. https://doi.org/10.3390/app14198721
Chicago/Turabian StyleChen, Huating, Zhenyu Sun, Xianwei Zhang, and Wenxue Zhang. 2024. "Equivalent Fatigue Constitutive Model Based on Fatigue Damage Evolution of Concrete" Applied Sciences 14, no. 19: 8721. https://doi.org/10.3390/app14198721
APA StyleChen, H., Sun, Z., Zhang, X., & Zhang, W. (2024). Equivalent Fatigue Constitutive Model Based on Fatigue Damage Evolution of Concrete. Applied Sciences, 14(19), 8721. https://doi.org/10.3390/app14198721

