Improvement of Optical-Induced Thermography Defect Detectability by Equivalent Heating and Non-Uniformity Compensation in Polyetheretherketone
Abstract
1. Introduction
2. Theory
2.1. Environmental Influences on Temperature Measurement
2.2. Lock-In Thermography (LIT)
2.3. Four-Point Phase Shifting Method
2.4. IR Data Non-Uniformity Compensation Method
3. Methods
3.1. Reference and Test Sample
3.2. Experimental Set-Up
4. Results and Discussion
4.1. Temperature Distribution at Raw IR Image
4.2. Data Contrast Enhacnement in Temperature, Amplitude, and Phase Image
4.3. Defect Detectabiliy Enhancement
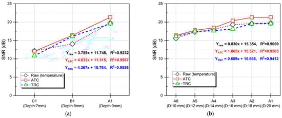
4.4. Defect Detectability and SNR Evaluation
5. Conclusions
- (1)
- Surface temperature uniformity is significantly improved due to uniform heating, which is achieved by applying an equivalent halogen array lamp.
- (2)
- By generating compensation techniques using reference samples and applying compensation techniques to defective samples, the contrast of thermal images was greatly improved. In particular, when applying the ATC compensation technique, the standard deviation of temperature distribution was improved by about half compared to raw data.
- (3)
- In addition, the SNR of IR images was improved through the application of compensation techniques, improving the defect detectability in amplitude and phase images.
- (4)
- Lastly, through the evaluation of the roundness of circular defects, it was found that the LIT technique is useful and reliable technology for the non-destructive evaluation of PEEK.
Author Contributions
Funding
Institutional Review Board Statement
Informed Consent Statement
Data Availability Statement
Conflicts of Interest
References
- Ma, H.; Suonan, A.; Zhou, J.; Yuan, Q.; Liu, L.; Zhao, X.; Lou, X.; Yang, C.; Li, D.; Zhang, Y. PEEK (Polyether-Ether-Ketone) and its Composite Materials in Orthopedic Implantation. Arab. J. Chem. 2021, 14, 102977. [Google Scholar] [CrossRef]
- Rinaldi, M.; Ferrara, M.; Pigliaru, L.; Allegranza, C.; Nanni, F. Additive Manufacturing of Polyether Ether Ketone-Based Composites for Space Application: A Mini-Review. CEAS Space J. 2023, 15, 77–87. [Google Scholar] [CrossRef]
- Francis, J.N.; Banerjee, I.; Chugh, A.; Singh, J. Additive Manufacturing of Polyetheretherketone and its Composites: A Review. Polym. Compos. 2022, 43, 5802–5819. [Google Scholar] [CrossRef]
- Ciampa, F.; Mahmoodi, P.; Pinto, F.; Meo, M. Recent Advances in Active Infrared Thermography for Non-Destructive Testing of Aerospace Components. Sensors 2018, 18, 609. [Google Scholar] [CrossRef]
- Chen, J.; Yu, Z.; Jin, H. Nondestructive Testing and Evaluation Techniques of Defects in Fiber-Reinforced Polymer Composites: A Review. Front. Mater. 2022, 9, 986645. [Google Scholar] [CrossRef]
- Ida, N.; Meyendorf, N. Handbook of Advanced Nondestructive Evaluation; Springer International Publishing: Cham, Switzerland, 2019. [Google Scholar]
- Laux, K.A.; Jean-Fulcrand, A.; Sue, H.J.; Bremner, T.; Wong, J. The Influence of Surface Properties on Sliding Contact Temperature and Friction for Polyetheretherketone (PEEK). Polymer 2016, 103, 397–404. [Google Scholar] [CrossRef]
- Yang, R.; He, Y. Optically and Non-Optically Excited Thermography for Composites: A Review. Infrared Phys. Technol. 2016, 75, 26–50. [Google Scholar] [CrossRef]
- Fitch, D.A.; Hoffmeister, B.K.; De Ana, J. Ultrasonic Evaluation of Polyether Ether Ketone and Carbon Fiber-Reinforced PEEK. J. Mater. Sci. 2010, 45, 3768–3777. [Google Scholar] [CrossRef]
- Katunin, A. Criticality of the Self-Heating Effect in Polymers and Polymer Matrix Composites during Fatigue, and their Application in Non-Destructive Testing. Polymers 2018, 11, 19. [Google Scholar] [CrossRef]
- Gupta, M.; Khan, M.A.; Butola, R.; Singari, R.M. Advances in Applications of Non-Destructive Testing (NDT): A Review. Adv. Mater. Process. Technol. 2022, 8, 2286–2307. [Google Scholar] [CrossRef]
- Doshvarpassand, S.; Wu, C.; Wang, X. An Overview of Corrosion Defect Characterization using Active Infrared Thermography. Infrared Phys. Technol. 2019, 96, 366–389. [Google Scholar] [CrossRef]
- Xie, J.; Xu, C.; Wu, C.; Gao, L.; Chen, G.; Li, G.; Song, G. Visualization of Defects in CFRP-Reinforced Steel Structures using Improved Eddy Current Pulsed Thermography. Autom. Constr. 2023, 145, 104643. [Google Scholar] [CrossRef]
- Olafsson, G.; Tighe, R.C.; Boyd, S.W.; Dulieu-Barton, J.M. Lock-in Thermography using Miniature Infra-Red Cameras and Integrated Actuators for Defect Identification in Composite Materials. Opt. Laser Technol. 2022, 147, 107629. [Google Scholar] [CrossRef]
- Poelman, G.; Hedayatrasa, S.; Segers, J.; Van Paepegem, W.; Kersemans, M. Adaptive Spectral Band Integration in Flash Thermography: Enhanced Defect Detectability and Quantification in Composites. Compos. Part B Eng. 2020, 202, 108305. [Google Scholar] [CrossRef]
- Liu, K.; Ma, Z.; Liu, Y.; Yang, J.; Yao, Y. Enhanced Defect Detection in Carbon Fiber Reinforced Polymer Composites Via Generative Kernel Principal Component Thermography. Polymers 2021, 13, 825. [Google Scholar] [CrossRef]
- Ratsakou, A.; Skarlatos, A.; Reboud, C.; Lesselier, D. Shape Reconstruction of Delamination Defects using Thermographic Infrared Signals Based on an Enhanced Canny Approach. Infrared Phys. Technol. 2020, 111, 103527. [Google Scholar] [CrossRef]
- Parrany, A.M. Damage Detection in Circular Cylindrical Shells using Active Thermography and 2-D Discrete Wavelet Analysis. Thin-Walled Struct. 2019, 136, 34–49. [Google Scholar] [CrossRef]
- Chung, Y.; Lee, S.; Kim, W. Latest Advances in Common Signal Processing of Pulsed Thermography for Enhanced Detectability: A Review. Appl. Sci. 2021, 11, 12168. [Google Scholar] [CrossRef]
- Poissenot-Arrigoni, C.; Marcon, B.; Rossi, F.; Fromentin, G. Fast and Easy Radiometric Calibration Method Integration Time Insensitive for Infrared Thermography. Infrared Phys. Technol. 2023, 133, 104741. [Google Scholar] [CrossRef]
- Falsetti, C.; Sisti, M.; Beard, P.F. Infrared Thermography and Calibration Techniques for Gas Turbine Applications: A Review. Infrared Phys. Technol. 2021, 113, 103574. [Google Scholar] [CrossRef]
- Schweikert, K.; Sielaff, A.; Stephan, P. Pixel-Wise in Situ Calibration Method for High Accuracy Infrared Thermography of Moving Targets. Infrared Phys. Technol. 2021, 118, 103862. [Google Scholar] [CrossRef]
- Pron, H.; Bouache, T. Alternative Thermal Calibrations of Focal Plane Array Infrared Cameras. Quant. InfraRed Thermogr. J. 2016, 13, 94–108. [Google Scholar] [CrossRef]
- Carlomagno, G.M.; Berardi, P.G. Unsteady Thermotopography in Non-Destructive Testing. In Proceedings of the 3rd Biannual Exchange, St. Louis, MO, USA, 24–26 August 1976; p. 26. [Google Scholar]
- Ranjit, S.; Kang, K.; Kim, W. Investigation of Lock-in Infrared Thermography for Evaluation of Subsurface Defects Size and Depth. Int. J. Precis. Eng. Manuf. 2015, 16, 2255–2264. [Google Scholar] [CrossRef]
- Lee, S.; Chung, Y.; Kim, C.; Shrestha, R.; Kim, W. Thermographic Inspection of CLP Defects on the Subsurface Based on Binary Image. Int. J. Precis. Eng. Manuf. 2022, 23, 269–279. [Google Scholar] [CrossRef]
- Song, H.; Zhang, K.; Tan, W.; Guo, F.; Zhang, X.; Cao, W. A Non-Uniform Correction Algorithm Based on Scene Nonlinear Filtering Residual Estimation. Curr. Opt. Photonics 2023, 7, 408–418. [Google Scholar]
- Poncelet, M.; Witz, J.; Pron, H.; Wattrisse, B. A Study of IRFPA Camera Measurement Errors: Radiometric Artefacts. Quant. InfraRed Thermogr. J. 2011, 8, 3–20. [Google Scholar] [CrossRef]
- Chung, Y.; Shrestha, R.; Lee, S.; Kim, W. Binarization Mechanism Evaluation for Water Ingress Detectability in Honeycomb Sandwich Structure using Lock-in Thermography. Materials 2022, 15, 2333. [Google Scholar] [CrossRef]
- Takashimizu, Y.; Iiyoshi, M. New Parameter of Roundness R: Circularity Corrected by Aspect Ratio. Prog. Earth Planet. Sci. 2016, 3, 2. [Google Scholar] [CrossRef]














| Material | Density ρ (kg/m3) | Thermal Conductivity k (W/m·K) | Heat Capacity Cp (J/kg·K) |
|---|---|---|---|
| Polyetheretherketone (PEEK) | 1300 | 0.25 | 250 |
| Data Type | Direction | Standard Deviation | |||||
|---|---|---|---|---|---|---|---|
| Parabolic Type | Equivalent Array Type | ||||||
| Raw | ATC | TRC | Raw | ATC | TRC | ||
| Temperature (Δ°C) | V | 5.1529 | 4.0193 (78%) | 4.8437 (94%) | 0.0834 | 0.0584 (70%) | 0.0651 (78%) |
| H | 2.0938 | 1.5075 (72%) | 1.4238 (68%) | 0.0727 | 0.0393 (54%) | 0.0458 (63%) | |
| Amplitude (A.u.) | V | 3.9835 | 2.6291 (66%) | 2.6689 (67%) | 0.0723 | 0.0557 (77%) | 0.0611 (84%) |
| H | 1.5819 | 1.0757 (68%) | 0.9898 (62%) | 0.0629 | 0.0377 (60%) | 0.0497 (79%) | |
| Phase (radian) | V | 0.0670 | 0.0550 (82%) | 0.0649 (97%) | 0.0277 | 0.0199 (72%) | 0.0249 (90%) |
| H | 0.0578 | 0.0532 (92%) | 0.0543 (94%) | 0.0330 | 0.0287 (87%) | 0.0320 (97%) | |
| ID | Roundness | ID | Roundness | ID | Roundness | |||
|---|---|---|---|---|---|---|---|---|
| Raw | ATC | Raw | ATC | Raw | ATC | |||
| A1 | 0.81 | 0.77 | B1 | 0.80 | 0.76 | C1 | 0.77 | 0.68 |
| A2 | 0.80 | 0.81 | B2 | 0.78 | 0.71 | C2 | 0.70 | 0.76 |
| A3 | 0.79 | 0.79 | B3 | 0.81 | 0.74 | C3 | 0.76 | 0.70 |
| A4 | 0.81 | 0.77 | B4 | 0.79 | 0.76 | C4 | 0.64 | 0.67 |
| A5 | 0.70 | 0.67 | B5 | 0.80 | 0.67 | C5 | 0.65 | 0.69 |
| A6 | 0.65 | 0.73 | B6 | 0.76 | 0.70 | C6 | 0.84 | 0.73 |
| A7 | 0.38 | 0.76 | B7 | 0.71 | 0.78 | C7 | - | 0.99 |
| A8 | - | 0.56 | B8 | - | 0.75 | C8 | - | - |
| A9 | - | - | B9 | - | 0.57 | C9 | - | - |
| A10 | - | - | B10 | - | - | C10 | - | - |
| ID | Roundness | ID | Roundness | ||
|---|---|---|---|---|---|
| Raw | ATC | Raw | ATC | ||
| A1 | 0.82 | 0.82 | B1 | 0.74 | 0.71 |
| A2 | 0.83 | 0.81 | B2 | 0.75 | 0.78 |
| A3 | 0.84 | 0.82 | B3 | 0.78 | 0.76 |
| A4 | 0.82 | 0.84 | B4 | 0.74 | 0.81 |
| A5 | 0.74 | 0.72 | B5 | 0.85 | 0.79 |
| A6 | 0.80 | 0.80 | B6 | 0.81 | 0.80 |
| A7 | 0.78 | 0.75 | B7 | 0.79 | 0.73 |
| A8 | 0.84 | 0.89 | B8 | - | 0.70 |
| A9 | - | 0.90 | B9 | - | - |
| A10 | - | - | B10 | - | - |
Disclaimer/Publisher’s Note: The statements, opinions and data contained in all publications are solely those of the individual author(s) and contributor(s) and not of MDPI and/or the editor(s). MDPI and/or the editor(s) disclaim responsibility for any injury to people or property resulting from any ideas, methods, instructions or products referred to in the content. |
© 2024 by the authors. Licensee MDPI, Basel, Switzerland. This article is an open access article distributed under the terms and conditions of the Creative Commons Attribution (CC BY) license (https://creativecommons.org/licenses/by/4.0/).
Share and Cite
Chung, Y.; Kim, C.; Lee, S.; Suh, H.; Kim, W. Improvement of Optical-Induced Thermography Defect Detectability by Equivalent Heating and Non-Uniformity Compensation in Polyetheretherketone. Appl. Sci. 2024, 14, 8720. https://doi.org/10.3390/app14198720
Chung Y, Kim C, Lee S, Suh H, Kim W. Improvement of Optical-Induced Thermography Defect Detectability by Equivalent Heating and Non-Uniformity Compensation in Polyetheretherketone. Applied Sciences. 2024; 14(19):8720. https://doi.org/10.3390/app14198720
Chicago/Turabian StyleChung, Yoonjae, Chunyoung Kim, Seungju Lee, Hyunkyu Suh, and Wontae Kim. 2024. "Improvement of Optical-Induced Thermography Defect Detectability by Equivalent Heating and Non-Uniformity Compensation in Polyetheretherketone" Applied Sciences 14, no. 19: 8720. https://doi.org/10.3390/app14198720
APA StyleChung, Y., Kim, C., Lee, S., Suh, H., & Kim, W. (2024). Improvement of Optical-Induced Thermography Defect Detectability by Equivalent Heating and Non-Uniformity Compensation in Polyetheretherketone. Applied Sciences, 14(19), 8720. https://doi.org/10.3390/app14198720

