Analytical and Experimental Investigation of Windage–Churning Behavior in Spur, Bevel, and Face Gears
Abstract
1. Introduction
2. No-Load Power Loss Formulas for a Rotating Part
2.1. Churning Parts
2.1.1. Dimension Analysis Method
2.1.2. Fluid Flow Method
2.2. Windage Parts
2.3. Air–Oil Ratio Relation
3. Experimental Methodology
3.1. Test Bench
3.2. Experimental Results
4. Results and Discussion
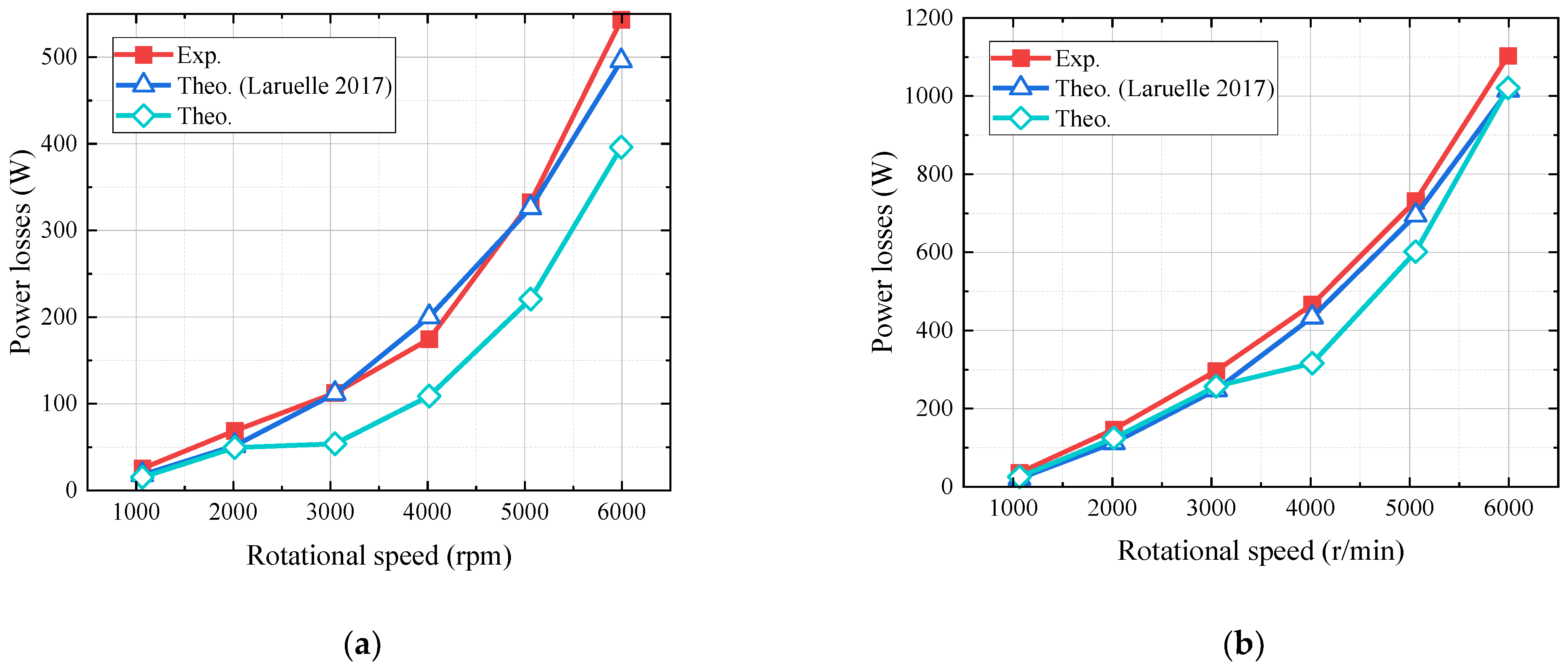
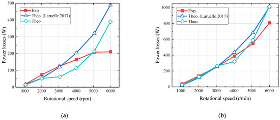
4.1. Comparisons of Various Methods
4.2. Predictions of Different Wheels
- There is no doubt that the rotational speed and oil-immersed depth are the most important parameters in energy dissipation. The higher the rotational speed of the gears is, the stronger the windage effect of the gear teeth becomes. The greater the oil depth of the wheels is, the more obvious is the churning effect of the cylinders. These two aspects balance and lead to these complex phenomena of various wheels under splash lubrication. It is also found that for spur, bevel, and face gears, the oil-churning characteristics are similar to that of the disc, and the influence of windage behavior can be neglected at low speeds.
- Broadly speaking, the calculations for these gears are in accordance with experiments. The accuracy of predictions for the oil depth of 0.5 is higher than that of 0.3. For the depth of 0.5, the average relative errors between the calculations based on Laruelle et al. [35] and the experiments are about 21.39%, 14.04%, and 12.02% for the spur, bevel, and face gears, respectively, while the average relative errors between the calculations based on the fluid flow method and experiments are about 16.89%, 10.09%, and 17.23%, respectively, as listed in Table 3. For the depth of 0.3, the average relative errors between the calculations based on Laruelle et al. [35] and experiments are about 27.58%, 48.71%, and 10.23% for the spur, bevel and face gears, respectively, while the average relative errors between the calculations based on the fluid flow method and experiments are about 28.75%, 16.29%, and 35.70%, respectively, as listed in Table 4. Both of these approaches have their merits, but the latter method loses to the experimental data, as the applicability and accuracy of the physical analytical method are better.
- Furthermore, different kinds of gears have different windage effects. The windage power losses of discs can be ignored as shown above. However, the windage losses of spatial crossed gears (bevel and face gears) are much higher than those of spur cylindrical gears, and this ultimately affects their total no-load power losses under the condition of splash lubrication.



4.3. Distributions of Different Power Losses
5. Conclusions
Author Contributions
Funding
Institutional Review Board Statement
Informed Consent Statement
Data Availability Statement
Acknowledgments
Conflicts of Interest
Nomenclature
| bg | teeth width, mm | 
| Cch | dimensionless churning torque coefficient | 
| Fr | |
| Fr* | Froude number for oil-free surface flows | 
| g | acceleration of gravity, m/s2 | 
| h | oil-immersed depth, mm | 
| dimensionless oil-immersed depth | |
| h* a | addendum coefficient | 
| k1, k2, k3, k4 | parameters calculated based on the boundary conditions | 
| Pch | churning losses, W | 
| Pwi | windage losses, W | 
| Pno-load | no-load power losses, W | 
| ri | external radius of the creeping flow, mm | 
| Rc | cone distance, mm | 
| Re | |
| R0 | outer radius, mm | 
| Rp | pitch radius of the bevel gear, mm | 
| Sm | oil-wetted area, mm2 | 
| V | linear velocity, m/s | 
| x1 | modification factor | 
| Z | teeth number | 
| α | pressure angle, rad | 
| air | air volume fraction | 
| δ | pitch angle, rad | 
| θc | angle across the tooth space, rad | 
| μair | air viscosity, Pa·s | 
| μoil | oil viscosity, Pa·s | 
| ξ | reduction coefficient | 
| ρmix | density of the air–oil mixture, kg/m3 | 
| ρair | air density, kg/m3 | 
| ρoil | oil density, kg/m3 | 
| air–oil ratio | |
| ω | angular velocity, rad/s | 
References
- Soo, S.L. Laminar flow over an enclosed rotating disk. Trans. ASME 1958, 80, 287–294. [Google Scholar] [CrossRef]
- Daily, J.W.; Nece, R.E. Chamber dimension effects on induced flow and frictional resistance of enclosed rotating disks. J. Basic Eng. 1960, 82, 217–230. [Google Scholar] [CrossRef]
- Mann, R.W.; Marston, C.H. Friction drag on bladed disks in housings as a function of Reynolds number, axial and radial clearance, and blade aspect ratio and solidity. J. Basic Eng. 1961, 83, 719–723. [Google Scholar] [CrossRef]
- Handschuh, M.; Guner, A.; Kahraman, A. An experimental investigation of windage and oil churning power losses of gears and discs. Proc. Inst. Mech. Eng. Part J. J. Eng. Tribol. 2023, 237, 163–177. [Google Scholar] [CrossRef]
- Andersson, M. Churning Losses and Efficiency in Gearboxes. Doctoral Dissertation, KTH Royal Institute of Technology, Stockholm, Sweden, 2014. [Google Scholar]
- Changenet, C.; Velex, P. A model for the prediction of churning losses in geared transmissions—Preliminary results. J. Mech. Des. 2007, 129, 128–133. [Google Scholar] [CrossRef]
- Changenet, C.; Velex, P. Housing influence on churning losses in geared transmissions. J. Mech. Des. 2008, 130, 062603. [Google Scholar] [CrossRef]
- Changenet, C.; Leprince, G.; Ville, F.; Velex, P. A note on flow regimes and churning loss modeling. J. Mech. Des. 2011, 133, 121009. [Google Scholar] [CrossRef]
- Seetharaman, S.; Kahraman, A.; Moorhead, M.; Petry-Johnson, T. Oil churning power losses of a gear pair: Experiments and model validation. J. Tribol. Trans. ASME 2009, 131, 022202. [Google Scholar] [CrossRef]
- Seetharaman, S.; Kahraman, A. Load-independent spin power losses of a spur gear pair: Model formulation. J. Tribol. Trans. ASME 2009, 131, 022201. [Google Scholar] [CrossRef]
- Neurouth, A.; Changenet, C.; Ville, F.; Octrue, M.; Tinguy, E. Experimental investigations to use splash lubrication for high-speed gears. J. Tribol. Trans. ASME 2017, 139, 061104. [Google Scholar] [CrossRef]
- Quiban, R.; Changenet, C.; Marchesse, Y.; Ville, F. Experimental investigations about the power loss transition between churning and windage for spur gears. J. Tribol. Trans. ASME 2021, 143, 024501. [Google Scholar] [CrossRef]
- Dai, Y.; Zhang, Y.; Zhu, X. Generalized analytical model for evaluating the gear power losses transition changing from windage to churning behavior. Tribol. Int. 2023, 185, 108572. [Google Scholar] [CrossRef]
- Concli, F.; Gorla, C. Analysis of the Oil Squeezing Power Losses of a Spur Gear Pair by Mean of CFD Simulations; ASME Engineering Systems Design and Analysis: Nantes, France, 2012. [Google Scholar]
- Concli, F.; Gorla, C. Influence of lubricant temperature, lubricant level and rotational speed on the churning power losses in an industrial planetary speed reducer: Computational and experimental study. Int. J. Comput. Methods Exp. Meas. 2013, 1, 353–366. [Google Scholar]
- Concli, F.; Maccioni, L.; Gorla, C. Lubrication of gearboxes: CFD analysis of a cycloidal gear set. WIT Trans. Eng. Sci. 2019, 123, 101–112. [Google Scholar]
- Mastrone, M.N.; Concli, F. CFD simulation of grease lubrication: Analysis of the power losses and lubricant flows inside a back-to-back test rig gearbox. J. Non-Newton. Fluid Mech. 2021, 297, 104652. [Google Scholar] [CrossRef]
- Mastrone, M.N.; Concli, F. CFD simulations of gearboxes: Implementation of a mesh clustering algorithm for efficient simulations of complex system’s architectures. Int. J. Mech. Mater. Eng. 2021, 16, 12. [Google Scholar] [CrossRef]
- Kodela, C.; Kraetschmer, M.; Basa, S. Churning loss estimation for manual transmission gear box using CFD. SAE Int. J. Passeng. Cars-Mech. Syst. 2015, 8, 391–397. [Google Scholar] [CrossRef]
- Chen, S.; Matsumoto, S. Influence of relative position of gears and casing wall shape of gear box on churning loss under splash lubrication condition some new ideas. Tribol. Trans. 2016, 59, 993–1004. [Google Scholar] [CrossRef]
- Cavotta, M.; Hotait, M.; Singh, A. A Computational Fluid Dynamics (CFD) Model for Gear Churning; SAE Technical Papers; SAE: Singapore, 2018. [Google Scholar]
- Hu, X.; Li, P.; Wu, M. Influence of the dynamic motion of a splash-lubricated gearbox on churning power losses. Energies 2019, 12, 3225. [Google Scholar] [CrossRef]
- Atencio, B.; Yao, H.; Chernoray, V. Experiments and lattice-boltzmann simulation of flow in a vertically aligned gearbox. J. Tribol. Trans. ASME 2023, 145, 114103. [Google Scholar] [CrossRef]
- Liebrecht, J.; Si, X.; Sauer, B.; Schwarze, H. Investigation of drag and churning losses on tapered roller bearings. Stroj. Vestn.-J. Mech. Eng. 2015, 61, 399–408. [Google Scholar] [CrossRef]
- Maccioni, L.; Chernoray, V.G.; Mastrone, M.N.; Bohnert, C.; Concli, F. Study of the impact of aeration on the lubricant behavior in a tapered roller bearing: Innovative numerical modelling and validation via particle image velocimetry. Tribol. Int. 2022, 165, 107301. [Google Scholar] [CrossRef]
- Mauz, W. Hydraulische Verluste von Strinradgetrieben bei Umfansgsgeschwindigkeiten bis 60m/s; IMK: Stuttgart, Germany, 1987. [Google Scholar]
- Diab, Y.; Ville, F.; Velex, P.; Changenet, C. Windage losses in high speed gears—Preliminary experimental and theoretical results. J. Mech. Des. 2004, 126, 903–908. [Google Scholar] [CrossRef]
- Seetharaman, S.; Kahraman, A. A windage power loss model for spur gear pairs. Tribol. Trans. 2010, 53, 473–484. [Google Scholar] [CrossRef]
- Diab, Y.; Ville, F.; Houjoh, H.; Sainsot, P.; Velex, P. Experimental and numerical investigations on the air-pumping phenomenon in high-speed spur and helical gears, P.I. Mech. Eng. C J. Mec. 2005, 219, 785–800. [Google Scholar]
- Talbot, D.; Kahraman, A.; Seetharaman, S. A helical gear pair pocketing power loss model. J. Tribol. Trans. ASME 2014, 136, 021105. [Google Scholar] [CrossRef]
- Marchesse, Y.; Changenet, C.; Ville, F.; Velex, P. Investigations on CFD Simulations for Predicting Windage Power Losses in Spur Gears. J. Mech. Des. 2011, 133, 024501. [Google Scholar] [CrossRef]
- Pallas, S.; Marchesse, Y.; Changenet, C.; Ville, F.; Velex, P. A windage power loss model based on CFD study about the volumetric flow rate expelled by spur gears. Mech. Ind. 2012, 13, 317–323. [Google Scholar] [CrossRef]
- Ruzek, M.; Ville, F.; Velex, P.; Boni, J.; Marchesse, Y. On windage losses in high-speed pinion-gear pairs. Mech. Mach. Theory 2019, 132, 123–132. [Google Scholar] [CrossRef]
- Dai, Y.; Xu, L.; Zhu, X.; Ouyang, B. Application of an unstructured overset method for predicting the gear windage power losses. Eng. Appl. Comp. Fluid Mech. 2021, 15, 130–141. [Google Scholar] [CrossRef]
- Laruelle, S.; Fossier, C.; Changenet, C.; Ville, F.; Koechlin, S. Experimental investigations and analysis on churning losses of splash lubricated spiral bevel gears. Mech. Ind. 2017, 18, 412. [Google Scholar] [CrossRef]
- Quiban, R.; Changenet, C.; Marchesse, Y.; Ville, F.; Belmonte, J. Churning losses of spiral bevel gears at high rotational speed. Proc. Inst. Mech. Eng. Part J J. Eng. Tribol. 2020, 234, 172–182. [Google Scholar] [CrossRef]
- Dai, Y.; Ma, F.; Zhu, X.; Ouyang, B. Development of an analytical model to estimate the churning power losses of a spiral bevel gear. Tribol. Int. 2020, 151, 106536. [Google Scholar] [CrossRef]
- Hu, X.; Jiang, Y.; Luo, C.; Feng, L.; Dai, Y. Churning power losses of a gearbox with spiral bevel geared transmission. Tribol. Int. 2019, 129, 398–406. [Google Scholar] [CrossRef]
- Hu, X.; Wang, A.; Li, P.; Wang, J. Influence of dynamic attitudes on oil supply for bearings and churning power losses in a splash lubricated spiral bevel gearbox. Tribol. Int. 2021, 159, 106951. [Google Scholar] [CrossRef]
- Lu, F.; Wang, M.; Bao, H.; Huang, W.; Zhu, R. Churning power loss of the intermediate gearbox in a helicopter under splash lubrication. Proc. Inst. Mech. Eng. Part J J. Eng. Tribol. 2022, 236, 49–58. [Google Scholar] [CrossRef]
- Legrady, B.; Taesch, M.; Tschirschnitz, G.; Mieth, C. Prediction of churning losses in an industrial gear box with spiral bevel gears using the smoothed particle hydrodynamic method. Forsch. Ingenieurwesen-Eng. Res. 2021, 86, 379–388. [Google Scholar] [CrossRef]
- Shen, L.; Zhu, Y.; Shao, S.; Zhou, H.; Wang, Z. Research on splash lubrication characteristics of a spiral bevel gearbox based on the MPS method. Lubricants 2023, 11, 520. [Google Scholar] [CrossRef]
- Rapley, S.; Eastwick, C.; Simmons, K. The Application of CFD to Model Windage Power Loss from a Spiral Bevel Gear; ASME Turbo Expo: Montreal, QC, Canada, 2007. [Google Scholar]
- Rapley, S.; Eastwick, C.; Simmons, K. Effect of Variations in Shroud Geometry on Single Phase Flow over a shrouded Single Spiral Gear; ASME Turbo Expo: Berlin, Germany, 2008. [Google Scholar]
- Zhu, X.; Dai, Y.; Ma, F. Development of a quasi-analytical model to predict the windage power losses of a spiral bevel gear. Tribol. Int. 2020, 146, 106258. [Google Scholar] [CrossRef]
- Zhu, X.; Dai, Y.; Ma, F. CFD modelling and numerical simulation on windage power loss of aeronautic high-speed spiral bevel gears. Simul. Model. Pract. Theory 2020, 103, 102080. [Google Scholar] [CrossRef]
- Zhu, X.; Dai, Y.; Ma, F. On the estimation of the windage power losses of spiral bevel gears: An analytical model and CFD investigation. Simul. Model. Pract. Theory 2021, 110, 102334. [Google Scholar] [CrossRef]
- Johnson, G.; Chandra, B.; Foord, C.; Simmons, K. Windage power losses from spiral bevel gears with varying oil flows and shroud configurations. J. Turbomach. Trans. ASME 2009, 131, 041019. [Google Scholar] [CrossRef]
- Zhang, Y.; Li, L.; Zhao, Z. Optimal design of computational fluid dynamics: Numerical calculation and simulation analysis of windage power losses in the aviation. Processes 2021, 9, 1999. [Google Scholar] [CrossRef]
- Li, L.; Wang, S.; Liu, L. An analysis model for predicting windage power loss of aviation spiral bevel gears under optimal injection jet layout. Tribol. Trans. 2023, 66, 1057–1077. [Google Scholar] [CrossRef]
- Li, L.; Wang, S. Experimental study and numerical analysis on windage power loss characteristics of aviation spiral bevel gear with oil injection lubrication. Stroj. Vestn.-J. Mech. Eng. 2023, 69, 235–247. [Google Scholar] [CrossRef]
- Dai, Y.; Ma, F.; Zhu, X.; Jia, J. Numerical simulation investigation on the windage power loss of a high-speed face gear drive. Energies 2019, 12, 2093. [Google Scholar] [CrossRef]
- Zhu, X.; Dai, Y. Development of an analytical model to predict the churning power losses of an orthogonal face gear. Eng. Sci. Technol. Int. J. 2023, 41, 101383. [Google Scholar] [CrossRef]
- Terekhov, A.S. Hydraulic losses in gearboxes with oil immersion. Russ. Eng. J. 1975, 55, 7–11. [Google Scholar]
- Boness, R.J. Churning losses of discs and gears running partially submerged in oil. In Proceedings of the ASME International Power Transmission and Gearing Conference, Chicago, IL, USA, 25–28 April 1989. [Google Scholar]














| Type of Gear | Disc | Spur Gear | Bevel Gear | Face Gear | 
|---|---|---|---|---|
| 1000 | 0.0549 | 0.0519 | 0.0631 | 0.0259 | 
| 2000 | 0.0091 | 0.0200 | 0.0268 | 0.0170 | 
| 3000 | 0.0201 | 0.0310 | 0.0363 | 0.0216 | 
| 4000 | 0.0259 | 0.0472 | 0.0470 | 0.0403 | 
| 5000 | 0.0335 | 0.0870 | 0.0671 | 0.0691 | 
| 6000 | 0.0541 | 0.0642 | 0.0879 | 0.1019 | 
| Type of Gear | Disc | Spur Gear | Bevel Gear | Face Gear | 
|---|---|---|---|---|
| 1000 | 0.0109 | 0.0225 | 0.0457 | 0.0233 | 
| 2000 | 0.0147 | 0.0311 | 0.0367 | 0.0674 | 
| 3000 | 0.0381 | 0.0590 | 0.0916 | 0.0908 | 
| 4000 | 0.0753 | 0.1091 | 0.1340 | 0.1156 | 
| 5000 | 0.1094 | 0.1709 | 0.1663 | 0.1816 | 
| 6000 | 0.1691 | 0.2680 | 0.2222 | 0.2223 | 
| Type of Gear | Spur Gear | Bevel Gear | Face Gear | 
|---|---|---|---|
| Theoretical calculation (Laruelle et al. [35]) | 21.39% | 14.04% | 12.02% | 
| Theoretical calculation (This study) | 16.89% | 10.09% | 17.23% | 
| Type of Gear | Spur Gear | Bevel Gear | Face Gear | 
|---|---|---|---|
| Theoretical calculation (Laruelle et al. [35]) | 27.58% | 48.71% | 10.23% | 
| Theoretical calculation (This study) | 28.75% | 16.29% | 35.70% | 
| Disclaimer/Publisher’s Note: The statements, opinions and data contained in all publications are solely those of the individual author(s) and contributor(s) and not of MDPI and/or the editor(s). MDPI and/or the editor(s) disclaim responsibility for any injury to people or property resulting from any ideas, methods, instructions or products referred to in the content. | 
© 2024 by the authors. Licensee MDPI, Basel, Switzerland. This article is an open access article distributed under the terms and conditions of the Creative Commons Attribution (CC BY) license (https://creativecommons.org/licenses/by/4.0/).
Share and Cite
Dai, Y.; Yang, C.; Liu, H.; Zhu, X. Analytical and Experimental Investigation of Windage–Churning Behavior in Spur, Bevel, and Face Gears. Appl. Sci. 2024, 14, 7603. https://doi.org/10.3390/app14177603
Dai Y, Yang C, Liu H, Zhu X. Analytical and Experimental Investigation of Windage–Churning Behavior in Spur, Bevel, and Face Gears. Applied Sciences. 2024; 14(17):7603. https://doi.org/10.3390/app14177603
Chicago/Turabian StyleDai, Yu, Caihua Yang, He Liu, and Xiang Zhu. 2024. "Analytical and Experimental Investigation of Windage–Churning Behavior in Spur, Bevel, and Face Gears" Applied Sciences 14, no. 17: 7603. https://doi.org/10.3390/app14177603
APA StyleDai, Y., Yang, C., Liu, H., & Zhu, X. (2024). Analytical and Experimental Investigation of Windage–Churning Behavior in Spur, Bevel, and Face Gears. Applied Sciences, 14(17), 7603. https://doi.org/10.3390/app14177603
 
        





 
       