Construction and Optimization of Landslide Susceptibility Assessment Model Based on Machine Learning
Abstract
1. Introduction
2. Methodology
2.1. Frequency Ratio
2.2. Information Value Model
2.3. Machine Learning
2.3.1. Random Forest (RF)
2.3.2. Back Propagation Neural Network (BPNN)
3. Study Area and Data
3.1. Study Area
3.2. Database Preparation and Analysis
4. Results and Discussions
4.1. Sampling Partitioning and Ptimization Based on the Information Value Model
4.2. Landslide Susceptibility Mapping
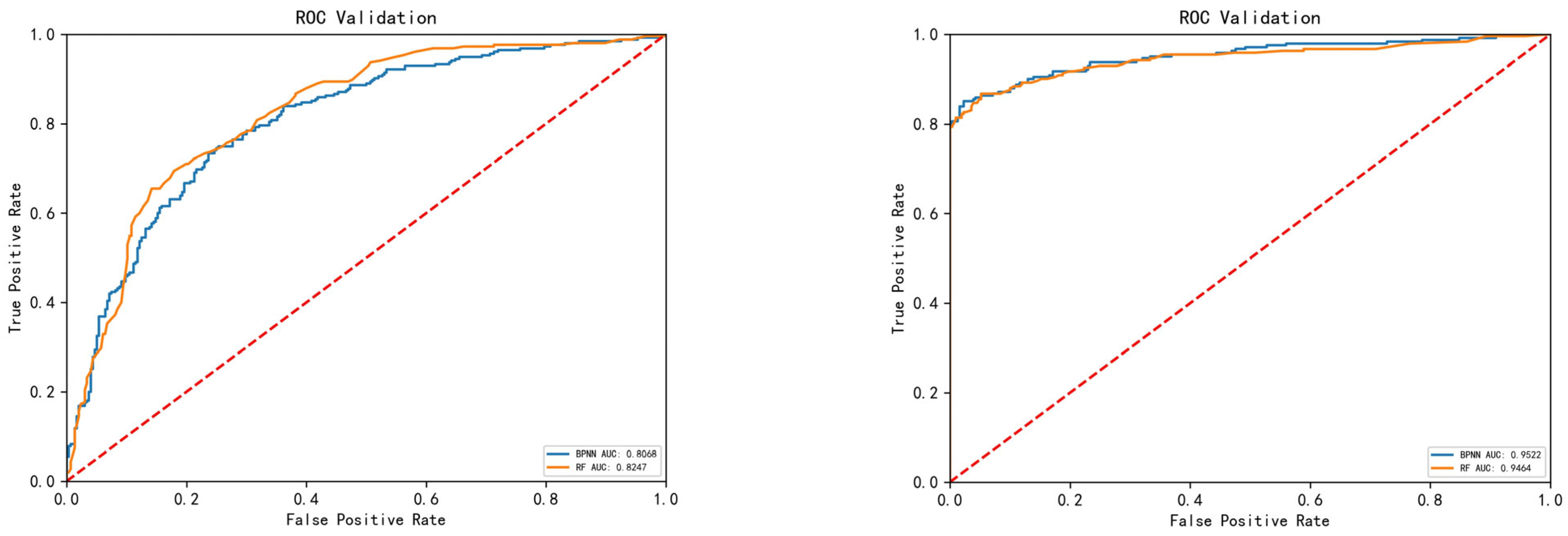
4.3. Accuracy Analysis
5. Conclusions
Author Contributions
Funding
Institutional Review Board Statement
Informed Consent Statement
Data Availability Statement
Conflicts of Interest
References
- Huang, F.; Xiong, H.; Jiang, S.-H.; Yao, C.; Fan, X.; Catani, F.; Chang, Z.; Zhou, X.; Huang, J.; Liu, K. Modelling landslide susceptibility prediction: A review and construction of semi-supervised imbalanced theory. Earth-Sci. Rev. 2024, 250, 104700. [Google Scholar] [CrossRef]
- Fell, R.F.; Corominas, J.; Bonnard, C.; Cascini, L.; Leroi, E.; Savage, W.Z. Guidelines for landslide susceptibility, hazard and risk zoning for land-use planning. Eng. Geol. 2008, 102, 85–98. [Google Scholar] [CrossRef]
- Do Pinho, T.M.; Augusto Filho, O. Landslide susceptibility mapping using the infinite slope, SHALSTAB, SINMAP, and TRIGRS models in Serra do Mar, Brazil. J. Mt. Sci. 2022, 19, 1018–1036. [Google Scholar] [CrossRef]
- Luo, W.; Liu, C. Innovative landslide susceptibility mapping supported by geomorphon and geographical detector methods. Landslides 2018, 15, 465–474. [Google Scholar] [CrossRef]
- Moragues, S.; Lenzano, M.G.; Lanfri, M.; Moreiras, S.M.; Lannutti, E.; Lenzano, L.E. Analytic hierarchy process applied to landslide susceptibility mapping of the North Branch of Argentino Lake, Argentina. Nat. Hazards 2020, 105, 915–941. [Google Scholar] [CrossRef]
- Akıncı, H.; Yavuz Ozalp, A. Landslide susceptibility mapping and hazard assessment in Artvin (Turkey) using frequency ratio and modified information value model. Acta Geophys. 2021, 69, 725–745. [Google Scholar] [CrossRef]
- Addis, A. GIS-Based Landslide Susceptibility Mapping Using Frequency Ratio and Shannon Entropy Models in Dejen District, Northwestern Ethiopia. J. Eng. 2023, 2023, 1062388. [Google Scholar] [CrossRef]
- Tehrani, F.S.; Calvello, M.; Liu, Z.-q.; Zhang, L.; Lacasse, S. Machine learning and landslide studies: Recent advances and applications. Nat. Hazards 2022, 114, 1197–1245. [Google Scholar] [CrossRef]
- Li, Y.; Wang, X.; Mao, H.-L. Influence of human activity on landslide susceptibility development in the Three Gorges area. Nat. Hazards 2020, 104, 2115–2151. [Google Scholar] [CrossRef]
- Hu, Q.; Zhou, Y.; Wang, S.; Wang, F. Machine learning and fractal theory models for landslide susceptibility mapping: Case study from the Jinsha River Basin. Geomorphology 2020, 351, 106975. [Google Scholar] [CrossRef]
- Xia, D.; Tang, H.; Sun, S.; Tang, C.; Zhang, B. Landslide Susceptibility Mapping Based on the Germinal Center Optimization Algorithm and Support Vector Classification. Remote Sens. 2022, 14, 2707. [Google Scholar] [CrossRef]
- Kavzoglu, T.; Teke, A. Predictive Performances of Ensemble Machine Learning Algorithms in Landslide Susceptibility Mapping Using Random Forest, Extreme Gradient Boosting (XGBoost) and Natural Gradient Boosting (NGBoost). Arab. J. Sci. Eng. 2022, 47, 7367–7385. [Google Scholar] [CrossRef]
- Zhou, X.; Wen, H.; Li, Z.; Zhang, H.; Zhang, W. An interpretable model for the susceptibility of rainfall-induced shallow landslides based on SHAP and XGBoost. Geocarto Int. 2022, 37, 13419–13450. [Google Scholar] [CrossRef]
- Bragagnolo, L.; Silva, R.V.d.; Grzybowski, J.M.V. Landslide susceptibility mapping with r.landslide: A free open-source GIS-integrated tool based on Artificial Neural Networks. Environ. Model. Softw. 2020, 123, 104565. [Google Scholar] [CrossRef]
- Nwazelibe, V.E.; Egbueri, J.C.; Unigwe, C.O.; Agbasi, J.C.; Ayejoto, D.A.; Abba, S.I. GIS-based landslide susceptibility mapping of Western Rwanda: An integrated artificial neural network, frequency ratio, and Shannon entropy approach. Environ. Earth Sci. 2023, 82, 439. [Google Scholar] [CrossRef]
- Cong, Y.; Inazumi, S. Integration of Smart City Technologies with Advanced Predictive Analytics for Geotechnical Investigations. Smart Cities 2024, 7, 1089–1108. [Google Scholar] [CrossRef]
- Katsuumi, A.; Cong, Y.; Inazumi, S. AI-Driven Prediction and Mapping of Soil Liquefaction Risks for Enhancing Earthquake Resilience in Smart Cities. Preprints 2024, 2024061310. [Google Scholar]
- Kazemi, F.; Asgarkhani, N.; Jankowski, R. Machine learning-based seismic fragility and seismic vulnerability assessment of reinforced concrete structures. Soil Dyn. Earthq. Eng. 2023, 166, 107761. [Google Scholar] [CrossRef]
- Simon, N.; Róiste, M.d.; Crozier, M.J.; Rafek, A.G.M. Representing landslides as polygon (areal) or points? How different data types influence the accuracy of landslide susceptibility maps. Sains Malays. 2017, 46, 27–34. [Google Scholar] [CrossRef]
- Regmi, A.D.; Yoshida, K.; Pourghasemi, H.R.; Dhital, M.R.; Pradhan, B. Landslide susceptibility mapping along Bhalubang—Shiwapur area of mid-Western Nepal using frequency ratio and conditional probability models. J. Mt. Sci. 2014, 11, 1266–1285. [Google Scholar] [CrossRef]
- Zhang, Y.-x.; Lan, H.-x.; Li, L.-p.; Wu, Y.-m.; Chen, J.-h.; Tian, N.-m. Optimizing the frequency ratio method for landslide susceptibility assessment: A case study of the Caiyuan Basin in the southeast mountainous area of China. J. Mt. Sci. 2020, 17, 340–357. [Google Scholar] [CrossRef]
- Yin, K.-l. Statistical prediction model for slope instability of metamorphosed rocks. In Proceedings of the 5th International Symposium on Landslides, Lausanne, Sweitzerland, 10–15 July 1988. [Google Scholar]
- Sun, D.; Wu, X.; Wen, H.; Gu, Q. A LightGBM-based landslide susceptibility model considering the uncertainty of non-landslide samples. Geomat. Nat. Hazards Risk 2023, 14, 2213807. [Google Scholar] [CrossRef]
- Deng, H.; Wu, X.; Zhang, W.; Liu, Y.; Li, W.-l.; Li, X.; Zhou, P.; Zhuo, W. Slope-Unit Scale Landslide Susceptibility Mapping Based on the Random Forest Model in Deep Valley Areas. Remote Sens. 2022, 14, 4245. [Google Scholar] [CrossRef]
- Xiong, J.; Sun, M.; Zhang, H.; Cheng, W.; Yang, Y.J.; Sun, M.; Cao, Y.; Wang, J. Application of the Levenburg–Marquardt back propagation neural network approach for landslide risk assessments. Nat. Hazards Earth Syst. Sci. 2019, 19, 629–653. [Google Scholar] [CrossRef]
- Lee, S.; Talib, J.A. Probabilistic landslide susceptibility and factor effect analysis. Environ. Geol. 2005, 47, 982–990. [Google Scholar] [CrossRef]
- Bragagnolo, L.; Silva, R.V.d.; Grzybowski, J.M.V. Artificial neural network ensembles applied to the mapping of landslide susceptibility. Catena 2020, 184, 104240. [Google Scholar] [CrossRef]
- He, S.; Pan, P.; Dai, L.; Wang, H.; Liu, J. Application of kernel-based Fisher discriminant analysis to map landslide susceptibility in the Qinggan River delta, Three Gorges, China. Geomorphology 2012, 171, 30–41. [Google Scholar] [CrossRef]
- Panchal, S.; Shrivastava, A.K. A Comparative Study of Frequency Ratio, Shannon’s Entropy and Analytic Hierarchy Process (AHP) Models for Landslide Susceptibility Assessment. ISPRS Int. J. Geo Inf. 2021, 10, 603. [Google Scholar] [CrossRef]
- Pham, B.T.; Bui, D.T.; Dholakia, M.B.; Prakash, I.; Pham, H.V.; Mehmood, K.; Le, H.Q.; Xuân, T.; Nội, H.; Nam, V. A novel ensemble classifier of rotation forest and Naïve Bayer for landslide susceptibility assessment at the Luc Yen district, Yen Bai Province (Viet Nam) using GIS. Geomat. Nat. Hazards Risk 2017, 8, 649–671. [Google Scholar] [CrossRef]
- Khan, H.; Shafique, M.; Khan, M.A.; Bacha, M.A.; Shah, S.U.; Calligaris, C. Landslide susceptibility assessment using Frequency Ratio, a case study of northern Pakistan. Egypt. J. Remote Sens. Space Sci. 2019, 22, 11–24. [Google Scholar] [CrossRef]
- Moore, I.D.; Grayson, R.B.; Ladson, A.R. Digital terrain modelling: A review of hydrological, geomorphological, and biological applications. Hydrol. Process. 1991, 5, 3–30. [Google Scholar] [CrossRef]
- Fan, X.; Scaringi, G.; Xu, Q.; Zhan, W.; Dai, L.; Li, Y.; Pei, X.-j.; Yang, Q.; Huang, R.-q. Coseismic landslides triggered by the 8th August 2017 Ms 7.0 Jiuzhaigou earthquake (Sichuan, China): Factors controlling their spatial distribution and implications for the seismogenic blind fault identification. Landslides 2018, 15, 967–983. [Google Scholar] [CrossRef]
- Pham, B.T.; Pradhan, B.; Bui, D.T.; Prakash, I.; Dholakia, M.B. A comparative study of different machine learning methods for landslide susceptibility assessment: A case study of Uttarakhand area (India). Environ. Model. Softw. 2016, 84, 240–250. [Google Scholar] [CrossRef]









| Environmental Factors | Classes | % Class Pixels | % Landslide Pixels | FR |
|---|---|---|---|---|
| Elevation | 0–200 m | 8.59% | 0.84% | 0.098 |
| 200–400 m | 22.21% | 9.59% | 0.432 | |
| 400–600 m | 19.24% | 25.42% | 1.321 | |
| 600–800 m | 14.91% | 29.86% | 2.003 | |
| 800–1000 m | 13.29% | 22.06% | 1.660 | |
| 1000–1200 m | 11.00% | 7.31% | 0.665 | |
| 1200–1400 m | 6.86% | 3.96% | 0.577 | |
| >1400 m | 3.90% | 0.96% | 0.246 | |
| Slope | 0°–10° | 43.49% | 34.05% | 0.783 |
| 10°–20° | 27.85% | 36.81% | 1.322 | |
| 20°–30° | 18.27% | 22.78% | 1.247 | |
| 30°–40° | 8.48% | 5.76% | 0.679 | |
| 40°–50° | 1.76% | 0.60% | 0.340 | |
| >50° | 0.14% | 0.00% | 0.000 | |
| Aspect | Flat (−1) | 0.28% | 0.00% | 0.000 |
| North (0–22.5, 337.5–360) | 12.77% | 10.79% | 0.845 | |
| Northeast (22.5–67.5) | 13.88% | 13.55% | 0.976 | |
| East (67.5–112.5) | 12.89% | 12.47% | 0.967 | |
| Southeast (112.5–157.5) | 11.70% | 16.07% | 1.374 | |
| South (157.5–202.5) | 12.69% | 14.15% | 1.115 | |
| Southwest (202.5–247.5) | 12.61% | 13.67% | 1.084 | |
| West (247.5–292.5) | 11.69% | 9.59% | 0.820 | |
| Northwest (292.5–337.5) | 11.50% | 9.71% | 0.845 | |
| Profile curvature | <−1 | 5.79% | 4.08% | 0.704 |
| −1~−0.5 | 11.26% | 7.31% | 0.649 | |
| −0.5~0 | 32.99% | 29.74% | 0.901 | |
| 0~0.5 | 32.04% | 33.33% | 1.040 | |
| 0.5~1 | 12.00% | 17.75% | 1.479 | |
| >1 | 5.91% | 7.79% | 1.319 | |
| Land cover | Plowland | 42.47% | 46.64% | 1.098 |
| Forest | 43.60% | 38.01% | 0.872 | |
| Grass land | 6.76% | 10.31% | 1.526 | |
| Wetland | 0.23% | 0.12% | 0.527 | |
| Water body | 0.90% | 0.12% | 0.133 | |
| Artificial surface | 6.02% | 4.80% | 0.797 | |
| Bare land | 0.03% | 0.00% | 0.000 | |
| Lithology | The lithology of the strata is predominantly composed of andesite, with minor occurrences of basaltic andesite, rhyolite, and volcaniclastic rocks. | 17.61% | 26.62% | 1.511 |
| The lithology of the strata mainly consists of shale, sandstone, limestone, and dolomite. | 5.39% | 8.63% | 1.601 | |
| The primary lithologies consist of clay, silty clay, clayey silt, and loess, with the presence of alluvial sand and gravel layers at the base. | 11.87% | 6.00% | 0.505 | |
| The lithology of the strata comprises shallow metamorphic clastic rocks interbedded with carbonate rocks, characterized by carbonaceous material, intercalated coal seams, and interbedded coarse-grained (basaltic) rocks. | 1.07% | 4.44% | 4.158 | |
| The lithology of the strata primarily consists of gneiss, schist, amphibolite, and phyllite, intercalated with marble and magnetite quartzite. | 4.35% | 4.20% | 0.965 | |
| The lithology of the strata is predominantly composed of limestone. It includes chert-banded limestone and limestone containing interbedded chert. | 5.00% | 3.48% | 0.695 | |
| The lithology comprises silty clay, clayey silt, and sandy gravel. | 7.88% | 2.76% | 0.350 | |
| … | … | … | … | |
| TWI | <5.0 | 34.17% | 36.45% | 1.067 |
| 5.0~7.5 | 46.91% | 43.29% | 0.923 | |
| 7.5~10.0 | 11.93% | 10.55% | 0.885 | |
| 10.0~12.5 | 4.45% | 5.88% | 1.321 | |
| 12.5~15.0 | 1.62% | 2.64% | 1.626 | |
| >15.0 | 0.91% | 1.20% | 1.311 | |
| Distance from river | 0~500 m | 9.60% | 13.55% | 1.411 |
| 500~1000 m | 8.39% | 8.99% | 1.071 | |
| 1000~1500 m | 7.81% | 7.91% | 1.014 | |
| 1500~2000 m | 7.33% | 8.15% | 1.112 | |
| 2000~2500 m | 6.84% | 7.31% | 1.070 | |
| >2500 m | 60.03% | 54.08% | 0.901 | |
| Distance from faults | 0~1000 m | 10.74% | 12.71% | 1.184 |
| 1000~2000 m | 10.48% | 9.83% | 0.938 | |
| 2000~3000 m | 9.75% | 9.23% | 0.947 | |
| 3000~4000 m | 8.99% | 10.19% | 1.134 | |
| 4000~5000 m | 8.11% | 7.79% | 0.961 | |
| 5000~6000 m | 6.84% | 6.47% | 0.947 | |
| 6000~7000 m | 5.78% | 6.59% | 1.141 | |
| 7000~8000 m | 5.00% | 4.44% | 0.888 | |
| >8000 m | 34.33% | 32.73% | 0.954 | |
| Distance from road | 0~200 m | 32.29% | 54.08% | 1.675 |
| 200~400 m | 23.40% | 18.94% | 0.810 | |
| 400~600 m | 16.33% | 10.07% | 0.617 | |
| 600~800 m | 10.93% | 7.79% | 0.713 | |
| 800~1000 m | 7.01% | 4.68% | 0.667 | |
| >1000 m | 10.03% | 4.44% | 0.442 |
| Model | Susceptibility Level | Class Pixels | %Class Pixels | Landslide Pixels | %Landslide Pixels | FR |
|---|---|---|---|---|---|---|
| I-RF | Very Low | 8,757,965 | 26.97% | 6 | 0.72% | 0.027 |
| Low | 8,696,789 | 26.78% | 24 | 2.88% | 0.107 | |
| Medium | 6,442,641 | 19.84% | 53 | 6.35% | 0.320 | |
| High | 5,086,075 | 15.66% | 127 | 15.23% | 0.972 | |
| Very High | 3,487,518 | 10.74% | 624 | 74.82% | 6.966 | |
| I-BPNN | Very Low | 7,905,889 | 24.35% | 25 | 3.00% | 0.123 |
| Low | 8,143,737 | 25.08% | 71 | 8.51% | 0.339 | |
| Medium | 6,037,252 | 18.59% | 94 | 11.27% | 0.606 | |
| High | 5,208,466 | 16.04% | 194 | 23.26% | 1.450 | |
| Very High | 5,175,644 | 15.94% | 450 | 53.96% | 3.385 | |
| II-RF | Very Low | 11,034,546 | 33.98% | 13 | 1.56% | 0.046 |
| Low | 5,575,632 | 17.17% | 16 | 1.92% | 0.112 | |
| Medium | 3,204,537 | 9.87% | 33 | 3.96% | 0.401 | |
| High | 4,012,344 | 12.36% | 105 | 12.59% | 1.019 | |
| Very High | 8,643,929 | 26.62% | 667 | 79.98% | 3.004 | |
| II-BPNN | Very Low | 14,106,961 | 43.44% | 56 | 6.71% | 0.155 |
| Low | 3,051,532 | 9.40% | 39 | 4.68% | 0.498 | |
| Medium | 2,185,191 | 6.73% | 35 | 4.20% | 0.624 | |
| High | 2,418,843 | 7.45% | 58 | 6.95% | 0.934 | |
| Very High | 10,708,461 | 32.98% | 646 | 77.46% | 2.349 |
| Assessment Indicators | I-RF | I-BPNN | II-RF | II-BPNN |
|---|---|---|---|---|
| AUC | 82.47% | 80.68% | 94.64% | 95.22% |
| Accuracy | 75.68% | 74.41% | 91.29% | 90.93% |
| Specificity | 70.98% | 71.37% | 86.78% | 86.36% |
| Recall | 79.73% | 77.03% | 94.82% | 94.50% |
Disclaimer/Publisher’s Note: The statements, opinions and data contained in all publications are solely those of the individual author(s) and contributor(s) and not of MDPI and/or the editor(s). MDPI and/or the editor(s) disclaim responsibility for any injury to people or property resulting from any ideas, methods, instructions or products referred to in the content. |
© 2024 by the authors. Licensee MDPI, Basel, Switzerland. This article is an open access article distributed under the terms and conditions of the Creative Commons Attribution (CC BY) license (https://creativecommons.org/licenses/by/4.0/).
Share and Cite
Wang, X.; Ma, X.; Guo, D.; Yuan, G.; Huang, Z. Construction and Optimization of Landslide Susceptibility Assessment Model Based on Machine Learning. Appl. Sci. 2024, 14, 6040. https://doi.org/10.3390/app14146040
Wang X, Ma X, Guo D, Yuan G, Huang Z. Construction and Optimization of Landslide Susceptibility Assessment Model Based on Machine Learning. Applied Sciences. 2024; 14(14):6040. https://doi.org/10.3390/app14146040
Chicago/Turabian StyleWang, Xiaodong, Xiaoyi Ma, Dianheng Guo, Guangxiang Yuan, and Zhiquan Huang. 2024. "Construction and Optimization of Landslide Susceptibility Assessment Model Based on Machine Learning" Applied Sciences 14, no. 14: 6040. https://doi.org/10.3390/app14146040
APA StyleWang, X., Ma, X., Guo, D., Yuan, G., & Huang, Z. (2024). Construction and Optimization of Landslide Susceptibility Assessment Model Based on Machine Learning. Applied Sciences, 14(14), 6040. https://doi.org/10.3390/app14146040
