Abstract
The flow field and radiated noise resulting from water flowing through a fin and rudder were analyzed in this study. A hydrodynamic experiment was conducted in a water tunnel to measure the pressure fluctuations affecting a fin and rudder, and then the experimental data and Large Eddy Simulation (LES) results were compared and analyzed. The discussion presented herein focuses on the zero angle of attack and the Reynolds number based on a maximum width of the fin and rudder ranging from 3.6 × 106 to 9.7 × 106. Furthermore, a numerical model was developed using the LES turbulence model and Lighthill’s acoustic analog theory to predict the flow-induced noise generated by the fin and rudder. The test data reveal that the pressure fluctuation decreases as frequency increases, and the average rate of decrease is obtained for frequencies up to 5.0 kHz. Additionally, as flow velocity increases, the overall sound pressure level of flow-induced noise also increases. The relationship between the sound power radiated by the fin and rudder and the flow velocity approximately follows a power law with an exponent of seven, and the noise radiated on both sides is greater than that radiated in the direction of flow. The findings presented in this paper have practical implications for designing quieter rudders and optimizing the noise performance of underwater vehicles and ships, thereby addressing concerns regarding the impact of anthropogenic noise on marine life and ecosystems.
1. Introduction
Ocean noise has increased sharply in recent years due to the increase in human oceanic activities such as shipping, seismic exploration, and scientific investigation []. The underwater noise radiated by ships propagates as sound pressure waves in the water, affecting marine organisms, ecosystems, and the environment []. It is necessary to understand and reduce the radiated noise produced by ships [,]. In order to reduce underwater radiated noise generated by commercial shipping, the International Maritime Organization (IMO) has issued revised guidelines for reducing underwater radiated noise produced via shipping to limit its adverse impacts on marine life [].
A rudder serves as the primary component for controlling the direction of ships and underwater vehicles, but its turbulence induces hydrodynamic noise that radiates directly into the ocean. As flow velocity increases, this noise rapidly increases and cannot be disregarded []. Therefore, comprehending the mechanisms behind hydrodynamic noise generation from rudders is crucial in reducing its occurrence.
The hydrodynamic and noise characteristics of underwater rudders have been discussed by many scholars under different application scenarios. Brungart et al. [] conducted tests on a hydrofoil in a water tunnel facility, confirming the effectiveness of employing leading-edge isolation technology to reduce hydrofoil vibration and noise, resulting in a noise reduction of 5 to 10 dB. Felli et al. [] carried out an experimental study on a transient flow field around a propeller–rudder system in a cavitation tunnel and discussed the interaction between the propeller’s wake flow and the rudder. In a wind tunnel, Jiménez et al. [] built a submarine model with a rudder installed behind the DARPA SUBOFF and tested the effects of the rudder on its wake. Wu et al. [] used LES to study the flow field of a two-dimensional flap rudder and found that there were almost no eddies generated in the gap between the flap and the rudder when the angle of the flap was zero. Wang et al. [] predicted the flow-induced noise of an underwater vehicle without appendages, an underwater vehicle with a sail, and underwater vehicles with different types of rudders (cross-type, X-type, and T-type) and compared the radiated noise and directivity of these different objects. Song et al. [] adopted a corrected reverberation-measuring method and conducted experimental research on flow-induced noise in a submerged wing-shaped cavity in a gravitational water tunnel. Based on the experimental and simulation-derived results, they summarized that the sound power of a wing-shaped cavity is proportional to five to six times the power of the flow velocity. Khalid et al. [] utilized the FW-H method to investigate the flow noise generated by an oscillating hydrofoil and explored the influence of the Reynolds number, reduced frequency, and the Strouhal number on the sound pressure level. The results revealed a dipole-like pattern of sound at specific frequencies, influenced by the hydrodynamic coefficient, while the directivity of dipole axes was affected by the reduced frequency. Although the influence of the rudder on noise radiation was found to be different under different working conditions, research on the hydrodynamic and acoustic performance of the rudder itself will help us to design a quiet rudder.
In terms of numerical simulation, Kim et al. [] utilized Large Eddy Simulation (LES) to predict and analyze the flow-induced noise of an airfoil at a low angle of attack and obtained sound pressure spectrum results at far-field measuring points and directivity results regarding the OSPL. Zhang et al. [] applied two hybrid methods, LES with acoustic analogy theory and LES with vortex sound theory, to predict the flow-induced noise of an airfoil. The two numerical methods based on LES both yielded stable results, consistent with the experimental data. By combining the LES and boundary element methods, Croaker et al. [] established a method for predicting the flow-induced noise of a wall-mounted airfoil. The prediction results show that the intensity of pressure fluctuations on the airfoil surface determines the magnitude of low-frequency radiated noise. Si et al. [] and Dang et al. [] simulated the flow-induced noise of an airfoil and a hydrofoil, respectively. Based on the LES model and acoustic analogy theory, they found that the directivity of radiated noise on both sides of the airfoil/hydrofoil were greater than that in the direction of inlet flow and wake flow.
With the increasing demand for stable and maneuverable underwater vehicles, various types of rudders have been designed, but the flow-induced noise characteristics of these rudders have not been discussed in detail. Therefore, the purpose of the present paper is to analyze the flow field and radiated noise resulting from water flowing through a fin and rudder. Pressure fluctuations and noise generation are analyzed via experimental measurements and LES simulations. Section 2 provides a detailed description of the geometry of the rudder and fin, the experimental platform, and the numerical model. Section 3 introduces the LES and Lighthill acoustic analogy theories employed in this study and verifies the mesh independence. In Section 4, the pressure fluctuations tested in the experiment and predicted by the numerical model are compared and analyzed. Section 5 introduces the flow-induced noise results derived at different flow velocities. Finally, Section 6 summarizes the conclusions of the present work.
2. Experimental and Numerical Models of the Fin and Rudder
2.1. Geometry of the Fin and Rudder
The focus of this study is a fin and rudder, depicted in Figure 1. Unlike a conventional rudder, the fin and rudder examined herein exhibit a greater lift coefficient. Positioned at the trailing edge of the fin, the rudder operates independently through a distinct actuation mechanism. The fundamental geometric measurements of the fin and rudder are detailed in Table 1.
Figure 1.
The side view of the fin and rudder.
Table 1.
The fundamental geometric measurements of the fin and rudder.
2.2. Hydrodynamic Experiment
An experiment was carried out in a water tunnel. Figure 2 shows the installation of the fin and rudder in a water tunnel during the experiment. Taking into account the intricacies of fluid–structure interaction and flow-induced noise, measurements were taken during the initial stages of experimental design to mitigate the impacts of the structure. This involved developing a structurally robust design to ensure high strength and stability. In this experiment, the model was constructed with a skin thickness of over 10 mm, and the internal structures were reinforced with ribs to enhance strength.
Figure 2.
The fin and rudder installed in the water tunnel: (a) side view of the fin; (b) side view of the rudder.
The measurement of hydrodynamic performance and pressure fluctuation can be carried out in a water tunnel for various types of ships and underwater vehicles. The water tunnel used had a total length of 55.00 m and a height of 16.40 m. Figure 3 shows a schematic diagram of the water tunnel. The main parameters of the test section for the current experiment are presented in Table 2.
Figure 3.
The schematic diagram of the water tunnel.
Table 2.
The main dimensions of the test section in the water tunnel.
The instruments used in this experiment and their parameters are listed in Table 3. The instruments used in this experiment were calibrated, ensuring their accuracy and reliability.
Table 3.
The instruments used in this experiment and their parameters.
A PCB HTM pressure sensor (FLSmidth A/S, Mariager, Denmark) was utilized in this experiment to measure the pressure fluctuation on the surface. The measurement locations on the surface were drilled for sensor installation. The sensor was fixed in place using adhesive, ensuring that the sensor head was flush with the outer surface of the model. The pressure fluctuation signal measured by the pressure sensor in the test was amplified by the filter amplifier. The data were collected synchronously using a real-time signal analysis system. A diagram of the data acquisition system used in the pressure fluctuation test is shown in Figure 4.
Figure 4.
Diagram of the pressure fluctuation test system.
The positions where the pressure sensors were installed on the fin and rudder are shown in Figure 5, with a total of 15 sensors deployed. Some points are not shown in Figure 5, but their locations can be derived from Table 4.
Figure 5.
Positional diagram of the pressure sensors used in the experiment.
Table 4.
Description of the pressure-monitoring points.
2.3. Computational Domain and Boundary Conditions of Flow Field
The computational domain was set with reference to the size of the test section of the water tunnel, as shown in Figure 6. Its dimensions were 10.50 m (length) × 2.20 m (width) × 2.00 m (height). The medium in the computational domain was water.
Figure 6.
Flow domain and boundary conditions in the flow field simulation.
The boundary conditions of the computational domain are presented in Figure 6. In the x-direction, which represents the inlet flow direction, the lengths of the fin and rudder are denoted as L. The distance from the velocity inlet to the fin and rudder is 3L, while the distance from the pressure outlet to the fin and rudder is 4.5L. Considering that the experiment was conducted in a finite space, all the wall surfaces of the computational domain were set to follow no-slip wall boundary conditions during the simulation.
2.4. Computational Domain and Boundary Conditions of Acoustic Field
The flow around the fin and rudder and in the wake is characterized by turbulence and disorder, resulting in significant contributions to flow-induced noise. Therefore, a rectangular domain was selected as the source domain for acoustic analysis [,], as shown in Figure 7. The elliptical domain surrounding the rectangular domain serves as the acoustic propagation domain, with its ellipsoidal surface acting as an infinite boundary surface. The monitoring points for flow-induced noise in the simulation were arranged based on the positions of the pressure sensors used in the experiment.
Figure 7.
Acoustic domain in the sound field simulation.
In the simulation, a circle of far-field measurement points with a radius of 50 m was arranged in the XY, XZ, and YZ planes, taking the center of the fin and rudder as the origin, for the directional evaluation of radiated noise. The pressure fluctuation within the frequency range of 100 to 5000 Hz and the flow-induced noise within the frequency range of 20 to 1000 Hz were calculated at flow velocities of 3 m/s, 5 m/s, and 8 m/s, corresponding to the Reynolds number based on the maximum width of the fin and rudder ranging from 3.6 × 106 to 9.7 × 106.
3. Method
3.1. Large Eddy Simulation
In LES, the direct resolution of large energy-containing eddies is coupled with the modeling of smaller-scale eddies using subgrid-scale (SGS) models. A spatial filtering operation is employed to separate the large-scale and small-scale flow features. This approach enables the precise prediction of turbulent phenomena, surpassing the capabilities of conventional RANS simulations [].
The continuity equation and momentum equation applied in the flow field computation are given in Equation (1) and Equation (2), respectively.
where p and v represent the pressure and velocity of the medium, respectively, and
where δij is the Kronecker symbol. The turbulent stress can be written as follows:
where is the strain rate of the flow.
To ascertain the impact of small-scale vortices on flow, the LES turbulence model incorporates subgrid-scale stress. One commonly employed SGS model is the Wall-Adapting Local-Eddy Viscosity (WALE) model, which represents the turbulent viscosity, as follows:
where ρ is the density, Δ represents the turbulence length scale, and Sw is the parameter that characterizes the local strain rate of the flow.
The flow field was calculated using the commercial software product ANSYS Fluent (v6.3). During our simulation, the SST k-ω turbulence model was used to predict an initial flow field in a steady state. Then, based on this steady flow field, transient computations were performed until the flow field was stable, that is, the point at which the time average of the flow variables basically did not change. Finally, LES was utilized to obtain flow filed solution data, which were also the source data used for acoustic prediction. The flow field solution data for acoustic prediction were computed with a time step of 0.0001 s for a total of 10,000 time steps. The pressure at each step was saved, enabling frequency analysis up to 5000 Hz.
3.2. Lighthill Acoustic Analogy Theory
The Lighthill acoustic analogy method is used to calculate flow-induced noise. For low-Mach-number flow and small sound wave amplitudes, high-order terms beyond the second order are disregarded, along with both entropy source and viscous stress. Ultimately, the Lighthill acoustic analogy is formulated as follows:
In this formulation, ρa represents the density variation caused by sound pressure, while c0 represents the speed of sound in the region outside the source. The Lighthill stress tensor Tij is expressed as follows:
The Lighthill acoustic analogy combines the continuity equation and the momentum conservation equation to determine the unknown quantity Tij by solving the complete Navier–Stokes equation through flow field calculations []. The left-hand side of Equation (6) represents the acoustic wave equation, while the right-hand side, obtained from the flow field calculation, represents the source term. By utilizing the Lighthill acoustic analogy in conjunction with the sound wave equation, the sound source can be obtained from the results of the flow field calculation. In addition, the numerical method used in our work has been verified in a previously published article [], in which the results are compared with those from other studies.
3.3. Mesh Independence
In order to obtain a computational model with mesh independence, models with different CFD mesh types, namely, coarse mesh, medium mesh, and fine mesh, were used to predict the flow field. The mesh number of these models increased gradually. By comparing the numerical results, a CFD mesh that meets the requirements for flow field prediction can be obtained.
As an example, a midsection view of the medium CFD mesh with a mesh number of 30 million is shown in Figure 8. To better capture the flow characteristics and details of the flow field, mesh refinement is performed in the vicinity of the wall and areas with significant velocity gradient changes, such as the fin and rudder and the gap regions.
Figure 8.
Sectional view of medium CFD mesh.
Considering noise generation in the wake region, mesh refinement was applied to the region 2L downstream of the trailing edge of the fin and rudder. In the region far from the fin and rudder, a larger mesh size was employed to reduce the computational resources required. A sectional view of the local mesh and details of the gap between the fin and the rudder are shown in Figure 9. This figure shows that the gap between the fin and the rudder is filled with mesh, and the transition of mesh size is relatively smooth. The first layer of mesh on most of the fin and rudder satisfies a normal thickness with y+ < 1, and 35 mesh layers are generated outward using a growth rate of 1.2 for height.
Figure 9.
Sectional view of the local mesh and details of the gap between the fin and the rudder.
After the prediction of the flow field, the drag coefficient and the pressure coefficient of the fin and rudder were calculated. The simulation results with different meshes are shown in Table 5. Considering the negligible differences in the drag coefficient and pressure coefficient compared to those with 37 million meshes, the medium CFD mesh was chosen for the flow field computation.
Table 5.
Drag coefficient and pressure coefficient results with different CFD meshes.
The time-domain pressure at monitoring point #1 with a flow velocity of 5 m/s is shown in Figure 10a. To analyze the frequency characteristics of the pressure fluctuation, the temporal data of the pressure were processed using the Fast Fourier Transform (FFT) algorithm. To minimize spectral leakage and enhance the spectral resolution, the Hanning window was applied.
Figure 10.
Comparison of the time-domain and frequency-domain curves of pressure fluctuation at monitoring point #1: (a) time-domain; (b) frequency-domain.
The third-octave spectrum divides the audible frequency range into bands and presents the results of spectral analysis in terms of band energy. Firstly, the center frequency of the third-octave bands is predefined, allowing for the upper and lower band limits of each octave band and the number of spectral lines within each band to be determined. By using Equation (8), the pressure root-mean-square values for different octave bands can be calculated. Applying Equation (9) enables the acquisition of the corresponding sound pressure levels within each octave band. These values are then assigned to the center frequencies of the respective octave bands. Using the obtained frequency domain data, we can construct a spectrum, with the vertical axis representing decibels (dB), resulting in the pressure fluctuation spectrum in the third-octave shown in Figure 10b.
where represents the pressure fluctuation data or sound pressure of the spectral line; represents the pressure fluctuation or the sound pressure root-mean-square value within the octave band; and denotes the reference sound pressure, which is 1 × 10−6 Pa for underwater conditions. While p represents pressure fluctuation data, SPL represents the magnitude of the sound pressure level of the pressure fluctuation. In addition, while p represents sound pressure, SPL represents the magnitude of the sound pressure level of the noise.
In order to represent the trend of the pressure fluctuation decreasing with an increasing frequency, we define the slope a of the fluctuating pressure curve in the third-octave band as follows:
where f1 = 100 Hz is the minimum frequency of pressure fluctuation studied in this paper, while f2 = 5000 Hz is the maximum frequency. represents the sound pressure level of the pressure fluctuation magnitude at the center frequency of 100 Hz in the third-octave band, and represents the sound pressure level magnitude at 5000 Hz.
The acoustic model was also analyzed with three different meshes to verify mesh independence. Acoustic mesh is commonly regarded as having a uniform distribution and at least six mesh cells per wavelength. The maximum mesh size and OSPL (20–1000 Hz) with different mesh numbers are shown in Table 6. It can be seen that the OSPL error is less than 1.5%, and the acoustic mesh with 0.65 million meshes can be used.
Table 6.
Numerical results obtained using different acoustic meshes.
4. Flow Field and Pressure Fluctuation
4.1. Flow Field Simulation Results
The accuracy of flow field computation is important as it determines the accuracy of subsequent noise calculations. Figure 11 presents the pressure field in the XZ plane for three flow velocities: 3 m/s, 5 m/s, and 8 m/s. Meanwhile, Figure 12 depicts the pressure field in the XY plane. The maximum pressure mainly occurs at the leading edge of the fin and rudder. The minimum pressure occurs on the rear surfaces of the rudder and fin sides. As the inlet velocity increases, the pressure on the fin and rudder gradually increases.
Figure 11.
Comparison of the pressure field for different flow velocities in the XZ plane: (a) 3 m/s; (b) 5 m/s; (c) 8 m/s.
Figure 12.
Comparison of the pressure field for different flow velocities in the XY plane: (a) 3 m/s; (b) 5 m/s; (c) 8 m/s.
Figure 13 presents the velocity field and streamline in the XY plane for three flow velocities: 3 m/s, 5 m/s, and 8 m/s. Meanwhile, Figure 14 depicts the velocity field and streamline in the XZ plane. The Reynolds number is calculated based on the maximum length of the fin and rudder. After comparison, it can be observed that there is similarity in the regions exhibiting significant velocity gradients. Apart from variations in the magnitude of the flow velocities depicted in the images, a higher flow velocity leads to a more pronounced level of turbulence in the flow field. An effect of the fin and rudder on the flow field can be observed, leading to the formation of a distinct wake region.
Figure 13.
Velocity field and streamline for different flow velocities in the XZ plane: (a) 3 m/s, Re ≈ 3.6 × 106; (b) 5 m/s, Re ≈ 6.1 × 106; (c) 8 m/s, Re ≈ 9.7 × 106.
Figure 14.
Velocity field and streamline for different flow velocities in the XY plane: (a) 3 m/s, Re ≈ 3.6 × 106; (b) 5 m/s, Re ≈ 6.1 × 106; (c) 8 m/s, Re ≈ 9.7 × 106.
The vorticity distributions for inlet velocities of 3 m/s, 5 m/s, and 8 m/s are shown in Figure 15. It can be observed that the tip vortex is formed at the top of the fin, the horseshoe vortex is formed at the bottom of the fin, and vortex separation occurs at the tail edge of the rudder. These flow regimes are also involved in the flow around a surface-mounted finite-length airfoil []. At low flow velocity, the formation of a horseshoe vortex is not obvious in the figure, but an obvious horseshoe vortex is formed when the flow velocity increases. The trailing edge turbulence also becomes more severe when velocity increases. These vortices are generally considered to be the main source of flow-induced noise.
Figure 15.
Vorticity distribution for different flow velocities (Q = 12 s−1): (a) 3 m/s; (b) 5 m/s; (c) 8 m/s.
4.2. Comparison of Pressure Fluctuation Results
In this section, an analysis of the deviation between the experimental data and simulated results regarding pressure fluctuation at the same location is conducted. In the simulation, pressure measuring points were established, and their positions are consistent with those of the pressure sensors mentioned in Section 2.2. The accuracy of the sensors was verified, and the circuit connections were checked prior to the experiments. However, during the experiments, a few pressure sensors located at monitoring points #2, #12, and #14 experienced circuit connectivity issues, resulting in an inability to obtain pressure readings at these measurement points. Most of the pressure sensors worked normally.
A comparison of the pressure fluctuation spectra between the simulation results and experimental data at each monitoring point for a flow velocity of 3 m/s is shown in Figure 16. The top-right corner of the graph represents the magnitude of the OSPL for pressure fluctuations. The pressure fluctuation monitoring points are located on the fin in Figure 16a–d. The OSPL values of these monitoring points obtained through the simulation are relatively close. In the experiment, monitoring point #3 exhibited the highest value at 114.88 dB. In contrast, in the simulation, monitoring point #1 showed the highest value at 123.20 dB. In Figure 16e–l, the monitoring points for pressure fluctuations are positioned on the rudder. Among these, monitoring points #7, #9, and #11 show similar OSPL values for pressure fluctuations between the experiment and the simulation. The highest OSPL values among these points are observed at monitoring point #9, reaching 130.53 dB in the experiment and 140.80 dB in the simulation.

Figure 16.
Comparison of simulated and experimental pressure fluctuations in the 100–5000 Hz range at 3 m/s.
Using Equation (10), the rate of decrease in the pressure fluctuation spectrum at each measuring point in the experiment can be calculated, and the average pressure fluctuation at 3 m/s can be obtained, as shown in Table 7. The mean rate of decrease in the pressure fluctuation for all monitoring points at a flow velocity of 3 m/s was determined to be 10.08 dB/Oct.
Table 7.
Rate of decrease in pressure fluctuation spectrum at different monitoring points in the experiment at a velocity of 3 m/s.
A comparison of the pressure fluctuation spectra between the simulation results and experimental data at each monitoring point for a flow velocity of 5 m/s is shown in Figure 17. In Figure 17a–d, the monitoring points for pressure fluctuations are located on the fin. Among these, monitoring points #3 and #5 show a close resemblance in terms of the OSPL of the pressure fluctuation between the experiment and simulation. In the experiment, monitoring point #5 showed the highest pressure fluctuation value at 128.08 dB. In the simulation, monitoring point #1 exhibited the highest value at 134.71 dB. In Figure 17e–l, the monitoring points for pressure fluctuation are positioned on the rudder. Among these, monitoring points #7 and #9 show similar pressure fluctuation levels between the experiment and simulation. In the experiment, monitoring point #11 showed the highest pressure fluctuation value at 148.96 dB, while in the simulation, monitoring point #6 showed the highest value at 163.41 dB.

Figure 17.
Comparison of simulated and experimental pressure fluctuations in the 100–5000 Hz range at 5 m/s.
Using Equation (10), the rate of decrease at each measuring point in the experiment can be calculated, and the average pressure fluctuation at 5 m/s can be obtained, as shown in Table 8. The mean rate of decrease in the pressure fluctuation for all monitoring points at a flow velocity of 5 m/s was determined to be 10.30 dB/Oct.
Table 8.
Rate of decrease in pressure fluctuation at different monitoring points in the experiment at a velocity of 5 m/s.
Figure 18 provides a comparison of the pressure fluctuation spectra between the simulation results and the experimental data at each monitoring point for a flow velocity of 8 m/s. In Figure 18a–d, the monitoring points for pressure fluctuation are located on the fin. In the experiment, monitoring point #5 had the highest pressure fluctuation value at 135.01 dB. In the simulation, monitoring point #1 exhibited the highest value at 143.90 dB. Regarding Figure 18e–l, the monitoring points for pressure fluctuations are positioned on the rudder. In the experiment, monitoring point #11 showed the highest pressure fluctuation value at 162.09 dB, while in the simulation, monitoring point #6 showed the highest value at 174.18 dB.

Figure 18.
Comparison of simulated and experimental pressure fluctuations in the 100–5000 Hz range at 8 m/s.
As can be seen from the data in Figure 16, Figure 17 and Figure 18, the trends regarding variation between the numerical results and the experimental data are similar; that is, the pressure fluctuation decreases with an increase in frequency. The difference is that the experimental values of most measurement points are smaller than the numerical results, and the decreasing trend in the experimental values with an increase in frequency is greater than that in the simulation values. The observed differences may be due to experimental error and discrepancies between the actual testing conditions and the assumptions inherent in the simulation model. For example, due to the size of the sensor, the pressure sensor measures the pressure change of a plane instead of a point; further, the inlet of the flow in the simulation is set to be uniform, which is inconsistent with the experimental environment. The pressure fluctuations at different flow velocities show that the simulation results can reflect the amplitude of the pressure and the change trend with respect to frequency. In addition, it can be seen that the pressure fluctuations at monitoring points #1 to #5 are smaller compared to those at monitoring points #6 to #15 at the same flow velocity. As monitoring points #1 to #5 are located on the fin, while monitoring points #6 to #15 are located on the rudder, it can be inferred that the intensity of the pressure fluctuations on the fin is lower than that on the rudder. The OSPL values of pressure fluctuations at the same monitoring points on both sides of the fin and rudder are approximately consistent.
Using Equation (10), the rate of decrease at each measuring point in the experiment can be calculated, and the average pressure fluctuation at 8 m/s can be obtained, as shown in Table 9. The mean rate of decrease in the pressure fluctuation for all monitoring points at a flow velocity of 8 m/s was determined to be 8.84 dB/Oct. By taking the average of the decrease rate obtained at three different velocities, the overall decrease rate of pressure fluctuations in this experiment was determined to be 9.7 dB/Oct.
Table 9.
Rate of decrease in pressure fluctuation at different monitoring points obtained during the experiment at a velocity of 8 m/s.
5. Flow-Induced Noise Characteristics
5.1. Directivity of Flow-Induced Noise at 5 m/s
The distribution contours of sound pressure at frequencies of 100 Hz, 500 Hz, and 1000 Hz in the XZ, XY, and YZ planes are depicted in Figure 19, Figure 20 and Figure 21, respectively, for a flow velocity of 5 m/s.
Figure 19.
Sound pressure contours in the XZ plane at different frequencies: (a) 100 Hz; (b) 500 Hz; (c) 1000 Hz.

Figure 20.
Sound pressure contours in the XY plane at different frequencies: (a) 100 Hz; (b) 500 Hz; (c) 1000 Hz.
Figure 21.
Sound pressure contours in the YZ plane at different frequencies: (a) 100 Hz; (b) 500 Hz; (c) 1000 Hz.
Radiated Noise Level (RNL) is used to render SPL values at different distances from the sound source equivalent to the SPL at a fixed distance so as to compare different computation conditions. RNL is defined as:
where pref represents the far-field root-mean-square sound pressure; pref represents the reference sound pressure; D represents the distance from the monitoring point to the center of the source; and Dref represents the reference value for distance, which is 1 m [].
In addition, the Sound Power Level (SWL) represents the radiated sound power. Its formula is as follows:
The RNL values at 5 m/s from the monitoring points positioned in a far-field configuration were extracted and depicted as directivity curves in Figure 22. In this way, the noise radiation in various directions surrounding the fin and rudder can be observed directly [].
Figure 22.
Directivity of flow-induced noise at 5 m/s: (a) XY plane; (b) XZ plane; (c) YZ plane.
In the XY plane, the noise radiation exhibits noticeable directional and symmetrical characteristics, which can also be seen in the literature about hydrofoil noise []. It can be observed that the noise values generated on the sides and rear of the fin and rudder are relatively higher compared to those at the leading edge. The noise has high values at around 120° and 240°. This correlation can be attributed to the presence of significant vortices in the rear region and wake area, as illustrated by the vorticity distribution in Figure 15.
In the XZ plane, the noise level at the top of the fin and rudder is significantly higher than that at the bottom. This phenomenon can be attributed to the complex flow dynamics at the top of the fin and rudder, as it is connected to the top wall of the computational domain, leading to more intricate flow patterns compared to those at the bottom of the fin and rudder. In the YZ plane, it can be observed that the noises radiating in all directions are mostly on the same level.
5.2. Flow-Induced Noise at Different Flow Velocities
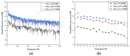
The RNL values for different flow velocities at a far-field monitoring point on the side of the fin and rudder are shown in Figure 23. The value in the upper right corner of the figure is the overall RNL of the monitoring point.
Figure 23.
RNL of the flow-induced noise at a monitoring point: (a) narrow band (20–1000 Hz); (b) third-octave band.
Upon examining the figure, it can be seen that at high flow velocities, the magnitude of the sound pressure level is greater than that at low flow velocities. As the frequency increases, the RNL of flow-induced noise gradually decreases. This is consistent with the observed trends in the variations in pressure fluctuations at different flow velocities, as described above. In Figure 23b, the change in the sound pressure level of flow-induced noise is more clearly presented by the third-octave frequency.
To investigate the overall noise characteristics, the values of sound pressure received by 108 far-field monitoring points positioned 50 m away from the model in the XY, XZ, and YZ planes were considered. By utilizing Equation (11) to calculate the RNL for each monitoring point, the overall RNL can be obtained as an indicator of the magnitude of flow-induced noise. The values reflecting different cases can be found in Table 10. By comparing the data in the table, it can be found that as flow velocity increases, the overall RNL of flow-induced noise also increases. The relationship between the radiated sound power of the fin and rudder and the flow velocity corresponds to a power of about seven.
Table 10.
Comparison of overall RNL values at different flow velocities.
6. Conclusions
In this study, LES was used to predict pressure fluctuation on the surface of a fin and rudder in a water tunnel experiment, and the noise generated by the turbulent flow was analyzed. The height of the rudder and fin model was 1.225 m, and the flow velocity discussed ranged from 3 m/s to 8 m/s. The following can be concluded:
- The pressure fluctuation at the monitoring points tested in the experiments decreased with an increase in frequency. The average rate of decrease in the pressure fluctuation was around 9.7 dB/Oct for frequencies of up to 5.0 kHz.
- As the flow velocity increases, the magnitude of pressure fluctuations also increases, indicating that the variation in flow velocity significantly affects the flow conditions around the fin and rudder region. The pressure fluctuations at the rudder are more pronounced compared to the pressure fluctuations at the fin.
- Flow-induced noise is mainly generated at the two sides of the fin and rudder and the wake region. As the flow velocity increases, the overall sound pressure level of flow-induced noise also increases. The relationship between the sound power radiated by the fin and rudder and the flow velocity corresponds to a power of about seven.
- The flow-induced noise basically maintains a symmetrical radiative directivity on both sides of the flap and rudder, and the noise radiated on both sides is greater than that radiated in the flow direction. On the symmetrical radiant surface, i.e., the XY plane in the present work, the noise presents high values around 120° and 240°.
By delving into the intricacies of pressure fluctuations and flow-induced noise, engineers are empowered to refine the contours and arrangements of the control surfaces of fins and rudders with the purpose of minimizing acoustic emissions and enhancing hydrodynamic performance. This deepened understanding also serves to guide the design of control surfaces capable of withstanding diverse hydrodynamic environments, constituting a vital step in augmenting maritime safety and reliability. The comparative use of experimental data and simulation results can enhance the accuracy of prediction results in the design stage. Furthermore, by optimizing the form and placement of fins and rudders in accordance with pressure variation data, engineers can improve propulsion systems and steering mechanisms for heightened efficiency, leading to more agile navigation and thriftier fuel consumption. Lastly, insights from the study have led to the development of noise reduction designs, thereby decreasing the noise level of underwater vehicles.
Author Contributions
Conceptualization, all authors; methodology, D.Q. and Y.L.; software, D.Q. and Y.C.; validation, D.Q. and R.L.; formal analysis, D.Q. and Y.Z.; investigation, Y.L.; resources, D.Q. and Y.L.; data curation, D.Q. and Y.C.; writing—original draft preparation, D.Q. and Y.C.; writing—review and editing, Y.L. and Y.Z.; visualization, D.Q. and R.L.; supervision, Y.L.; project administration, Y.L. and Y.Z.; funding acquisition, Y.L. All authors have read and agreed to the published version of the manuscript.
Funding
This research was funded by the National Natural Science Foundation of China (No. 52301393) and the Research and Development Fund of Naval University of Engineering (No. 425317T01D).
Institutional Review Board Statement
Not applicable.
Informed Consent Statement
Not applicable.
Data Availability Statement
The data presented in this study are available on request from the corresponding author. The data are not publicly available due to privacy.
Conflicts of Interest
The authors declare no conflicts of interest.
References
- Randone, M.; Bocci, M.; Castellani, C.; Laurent, C.; Piante, C. Safeguarding marine protected areas in the growing mediterranean blue economy—Recommendations for the maritime transport sector. Int. J. Des. Nat. Ecodynamics 2019, 14, 264–274. [Google Scholar] [CrossRef]
- Picciulin, M.; Facca, C.; Fiorin, R.; Riccato, F.; Zucchetta, M.; Malavasi, S. It is not just a matter of noise: Sciaena Umbra vocalizes more in the busiest areas of the Venice tidal inlets. J. Mar. Sci. Eng. 2021, 9, 237. [Google Scholar] [CrossRef]
- Smith, T.A.; Rigby, J. Underwater radiated noise from marine vessels: A review of noise reduction methods and technology. Ocean Eng. 2022, 266, 1. [Google Scholar] [CrossRef]
- Peng, C.; Zhao, X.; Liu, G. Noise in the sea and its impacts on marine organisms. Int. J. Environ. Res. Public Health 2015, 12, 12304–12323. [Google Scholar] [CrossRef] [PubMed]
- IMO (International Maritime Organization). Revised Guidelines for the Reduction of Underwater Radiated Noise from Shipping to Address Adverse Impacts on Marine Life. Available online: https://www.ccs.org.cn/ccswzen/articleDetail?id=202312271178266806 (accessed on 20 January 2024).
- Li, B.; Xu, X.; Wu, J.; Zhang, L.; Wan, Z. Research on characteristics of flow noise and flow-induced noise. Appl. Sci. 2023, 13, 11095. [Google Scholar] [CrossRef]
- Brungart, T.A. Hydrofoil vibration and noise reduction with leading edge isolation. Shock. Vib. Dig. 2006, 38, 237–238. [Google Scholar] [CrossRef]
- Felli, M.; Roberto, C.; Guj, G. Experimental analysis of the flow field around a propeller–rudder configuration. Exp. Fluids 2009, 46, 147–164. [Google Scholar] [CrossRef]
- Jiménez, J.M.; Reynolds, R.T.; Smits, A.J. The effects of fins on the intermediate wake of a submarine model. J. Fluids Eng. 2010, 132, 031102. [Google Scholar] [CrossRef]
- Wu, S.; Liu, H. Numerical study of a flap rudder based on turbulence model LES. Appl. Mech. Mater. 2011, 88, 240–243. [Google Scholar]
- Wang, C.; Huang, L.; Zhao, Y.; Dai, J.; Jiang, Y. Influence of stern rudder type on flow noise of underwater vehicles. J. Mar. Sci. Eng. 2022, 10, 1866. [Google Scholar] [CrossRef]
- Song, H.; He, Y.; Yan, X. A numerical simulation of flow-induced noise from cavity based on LES and Lighthill acoustic theory. In Proceedings of the IEEE/OES China Ocean Acoustics Symposium, Harbin, China, 9–11 January 2016. [Google Scholar]
- Khalid, M.S.U.; Akhtar, I.; Wu, B. Quantification of flow noise produced by an oscillating hydrofoil. Ocean Eng. 2019, 171, 377–390. [Google Scholar] [CrossRef]
- Kim, H.J.; Lee, S.; Fujisawa, N. Computation of unsteady flow and aerodynamic noise of NACA0018 airfoil using large-eddy simulation. Int. J. Heat Fluid Flow 2006, 27, 229–242. [Google Scholar] [CrossRef]
- Zhang, N.; Xie, H.; Wang, X.; Wu, B. Computation of vortical flow and flow induced noise by large eddy simulation with FW-H acoustic analogy and Powell vortex sound theory. J. Hydrody. 2016, 28, 255–266. [Google Scholar] [CrossRef]
- Croaker, P.; Moreau, D.; Awasthi, M.; Karimi, M.; Doolan, C.; Kessissoglou, N. Numerical and experimental investigation of the flow-induced noise of a wall-mounted airfoil. In Flinovia—Flow Induced Noise and Vibration Issues and Aspects-II: A Focus on Measurement, Modeling, Simulation and Reproduction of the Flow Excitation and Flow Induced Response 2; Springer: Cham, Switzerland, 2019; pp. 99–112. [Google Scholar]
- Si, Q.; Liu, J.; Ali, A.; Jin, Z.; Chen, M.; Hong, X.; Iqbal, S. Study on flow-induced noise propagation mechanism of cylinder-airfoil interference model by using large eddy simulation combined with vortex-acoustic equation. AIP Adv. 2023, 13, 035305. [Google Scholar]
- Dang, Z.; Mao, Z.; Tian, W. Reduction of hydrodynamic noise of 3D hydrofoil with spanwise microgrooved surfaces inspired by sharkskin. J. Mar. Sci. Eng. 2019, 7, 136. [Google Scholar] [CrossRef]
- Kaltenbacher, M.; Escobar, M.; Becker, S.; Ali, I. Numerical simulation of flow-induced noise using LES/SAS and Lighthill’s acoustic analogy. Int. J. Numer. Meth. Fluids 2010, 63, 1103–1122. [Google Scholar] [CrossRef]
- Smith, T.A.; Ventikos, Y. A hybrid computational aeroacoustic model with application to turbulent flows over foil and bluff bodies. J. Sound Vib. 2022, 526, 116773. [Google Scholar] [CrossRef]
- Karthik, K.; Jeyakumar, S.; Sebastin, J.S. Numerical prediction of flow noise levels on towed sonar array. Proc. Inst. Mech. Eng. M J. Eng. Marit. Environ. 2021, 235, 600–606. [Google Scholar] [CrossRef]
- Fengtong, Z.; Mingsui, Y.; Xiaodong, J.; Deyou, W.; Yundong, S.; Yujin, L. Physical model for acoustic resonance in annular cavity structure. Chin. J. Aeronaut. 2020, 33, 3228–3237. [Google Scholar]
- Qu, Y.; Zhang, Y.O.; Li, Y.F.; Zhang, T. Similarity analysis of the flow-induced noise of a benchmark submarine. Front. Phys. 2023, 11, 270. [Google Scholar] [CrossRef]
- Yeo, S.J.; Hong, S.Y.; Song, J.H.; Kwon, H.W.; Seol, H.S. Integrated analysis of flow-induced noise from submarine under snorkel condition. Proc. Inst. Mech. Eng. 2020, 234, 771–784. [Google Scholar] [CrossRef]
Disclaimer/Publisher’s Note: The statements, opinions and data contained in all publications are solely those of the individual author(s) and contributor(s) and not of MDPI and/or the editor(s). MDPI and/or the editor(s) disclaim responsibility for any injury to people or property resulting from any ideas, methods, instructions or products referred to in the content. |
© 2024 by the authors. Licensee MDPI, Basel, Switzerland. This article is an open access article distributed under the terms and conditions of the Creative Commons Attribution (CC BY) license (https://creativecommons.org/licenses/by/4.0/).