Visual and Haptic Guidance for Enhancing Target Search Performance in Dual-Task Settings
Abstract
1. Introduction
- Dynamic visual arrows, as opposed to static ones, significantly improve both reaction time and selection time in target search tasks.
- Haptic feedback is introduced as a more salient guidance technique compared to visual cues. It is shown to facilitate quicker response times, enabling users to maintain visual attention on primary tasks while managing secondary tasks through haptic cues.
2. Related Works
2.1. Visual Displays for Attention Cue and Information Awareness
2.2. Haptic Displays for Attention Guidance and Information Awareness
2.3. Multimodal and Visual–Haptic Displays Design
3. Study 1: Visual Guidance Design and Evaluation
3.1. Study Design
3.1.1. Visual Guidance Interaction Design
3.1.2. Experimental Settings
3.1.3. Independent Variables
- Arrow Type (2 levels): Static Arrow and Dynamic Arrow;
- Visual Guidance Continuity (2 levels): Transient (disappear after the user turns 30° away from the forward direction) and Persistent (continues to display until the user correctly selects the target behind them);
- Target Row (5 levels): 1, 2, 3, 4, 5;
- Target Column (5 levels): 1, 2, 3, 4, 5.
- Arrow Type (2 levels): Static Arrow and Dynamic Arrow;
- Visual Guidance Continuity (2 levels): Transient and Persistent;
- Target Row (5 levels): 1, 2;
- Target Column (5 levels): 1, 2, 3, 4, 5.
3.1.4. Experimental Design
3.1.5. Participants and Procedure
3.2. Results
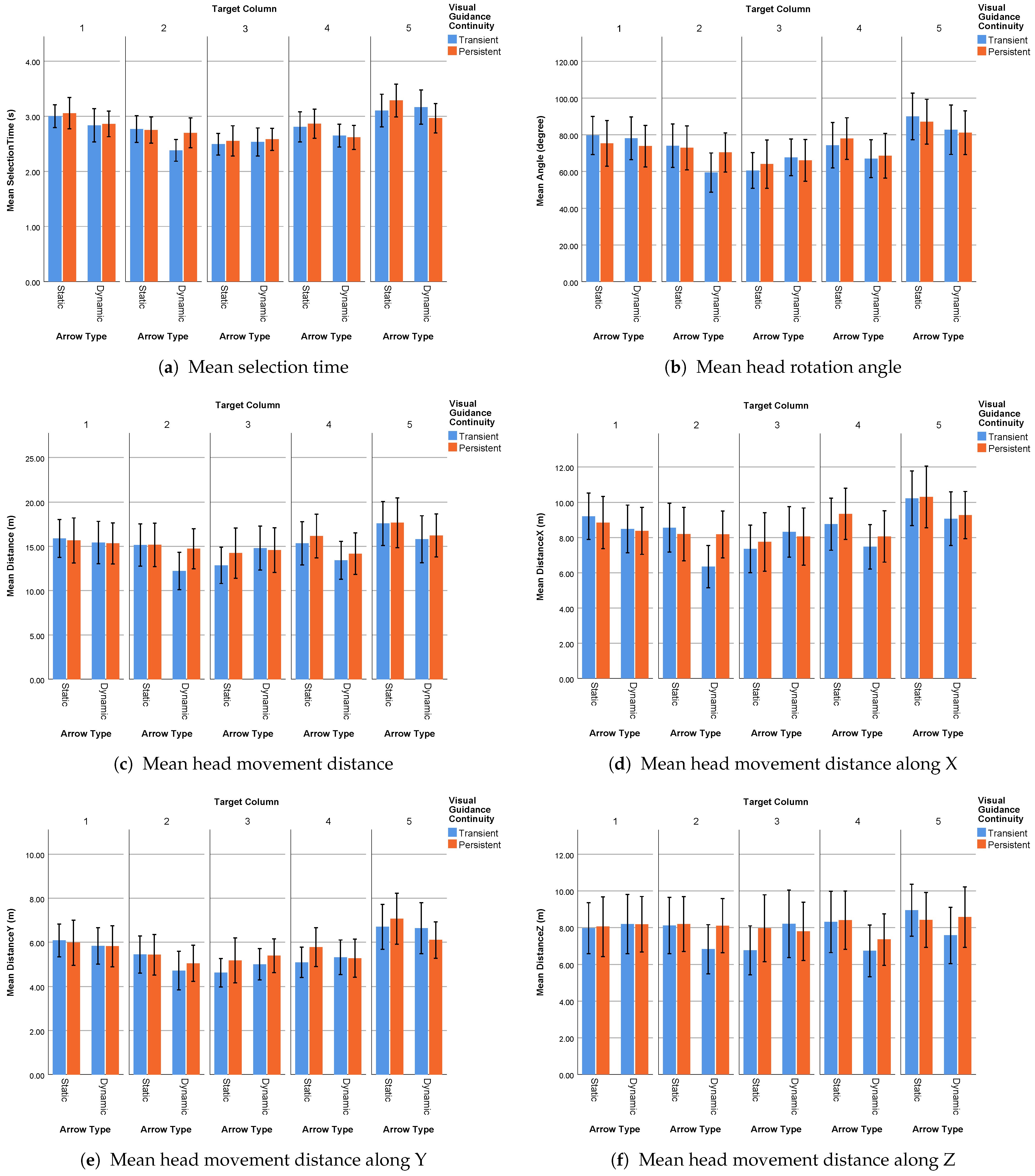
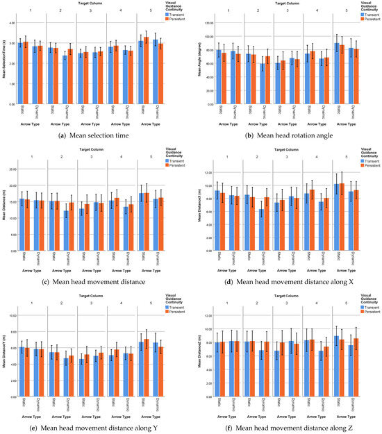
3.2.1. Selection Time and User Behavior Data in Primary Task of Study 1
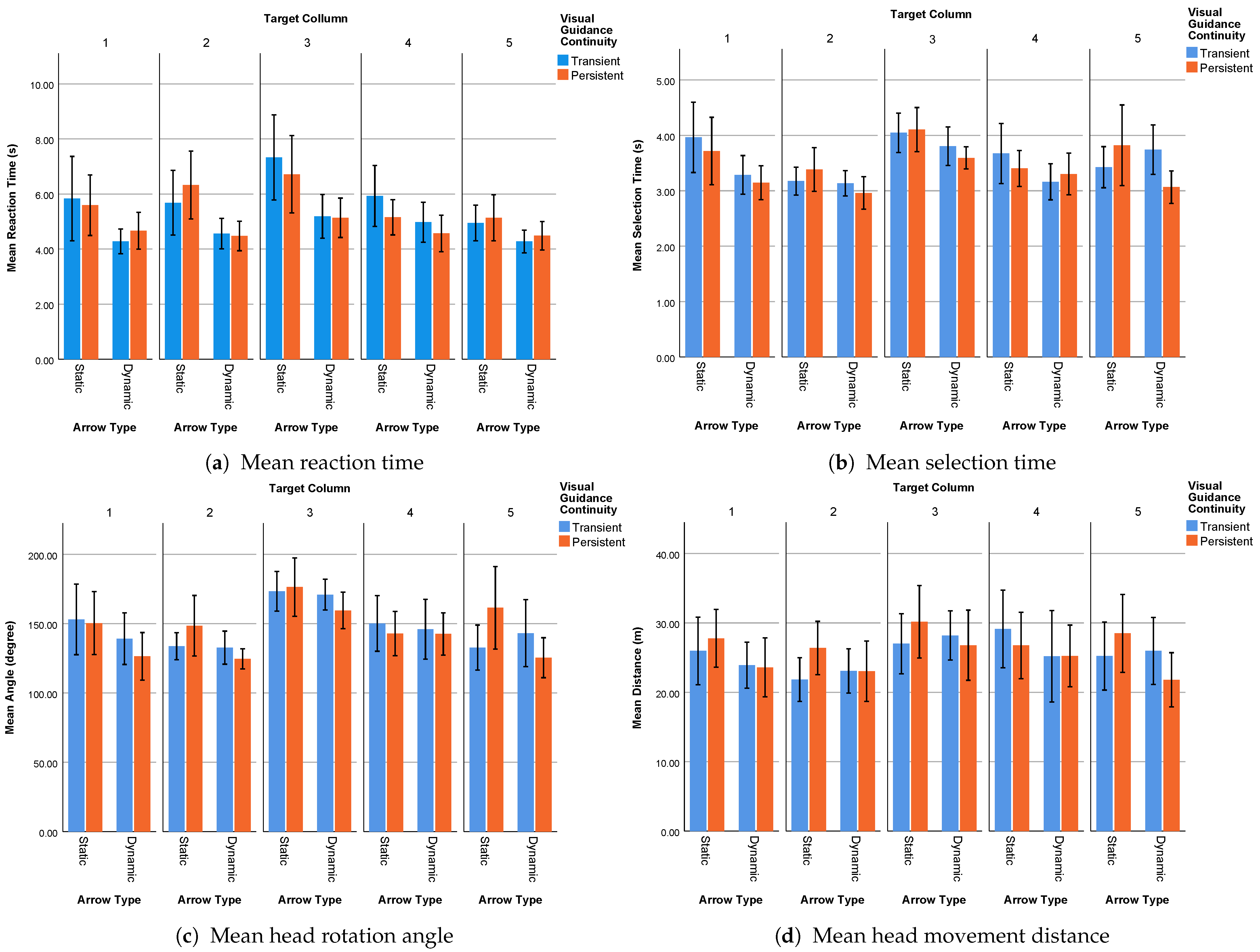
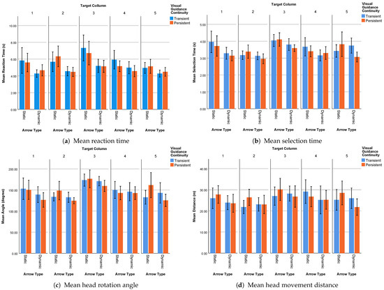
3.2.2. Reaction Time, Selection Time, and User Behavior Data in Secondary Task of Study 1
3.2.3. User Preference
3.2.4. Result Summary
4. Study 2: Visual–Haptic Guidance Design and Evaluation
4.1. Study Design
4.1.1. Haptic Feedback Design for Target Searching Task
4.1.2. Experimental Settings
4.1.3. Independent Variables
- Feedback Modality (3 levels): Visual Feedback, Haptic Feedback, and Visual–Haptic Feedback;
- Target Row (5 levels): 1, 2, 3, 4, 5;
- Target Column (5 levels): 1, 2, 3, 4, 5.
- Feedback Modality (3 levels): Visual Feedback, Haptic Feedback, and Visual–Haptic Feedback;
- Target Row (5 levels): 1, 2;
- Target Column (5 levels): 1, 2, 3, 4, 5.
4.1.4. Experimental Design
4.1.5. Participants and Procedure
4.2. Results
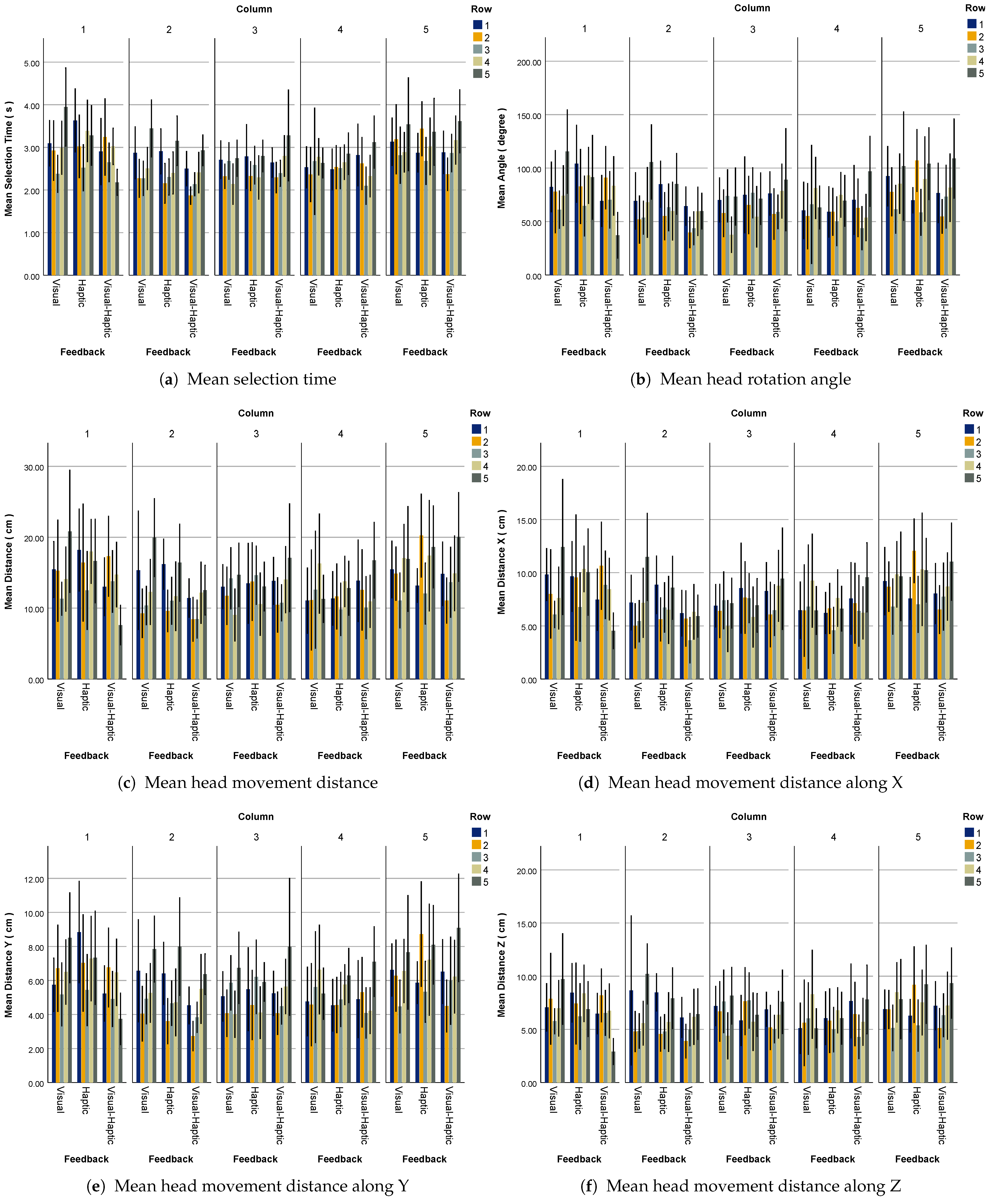
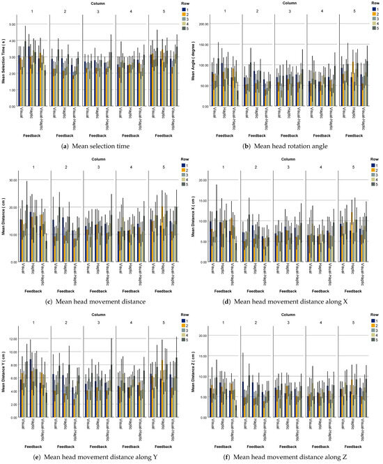
4.2.1. Selection Time and User Behavior Data in Primary Task of Study 2
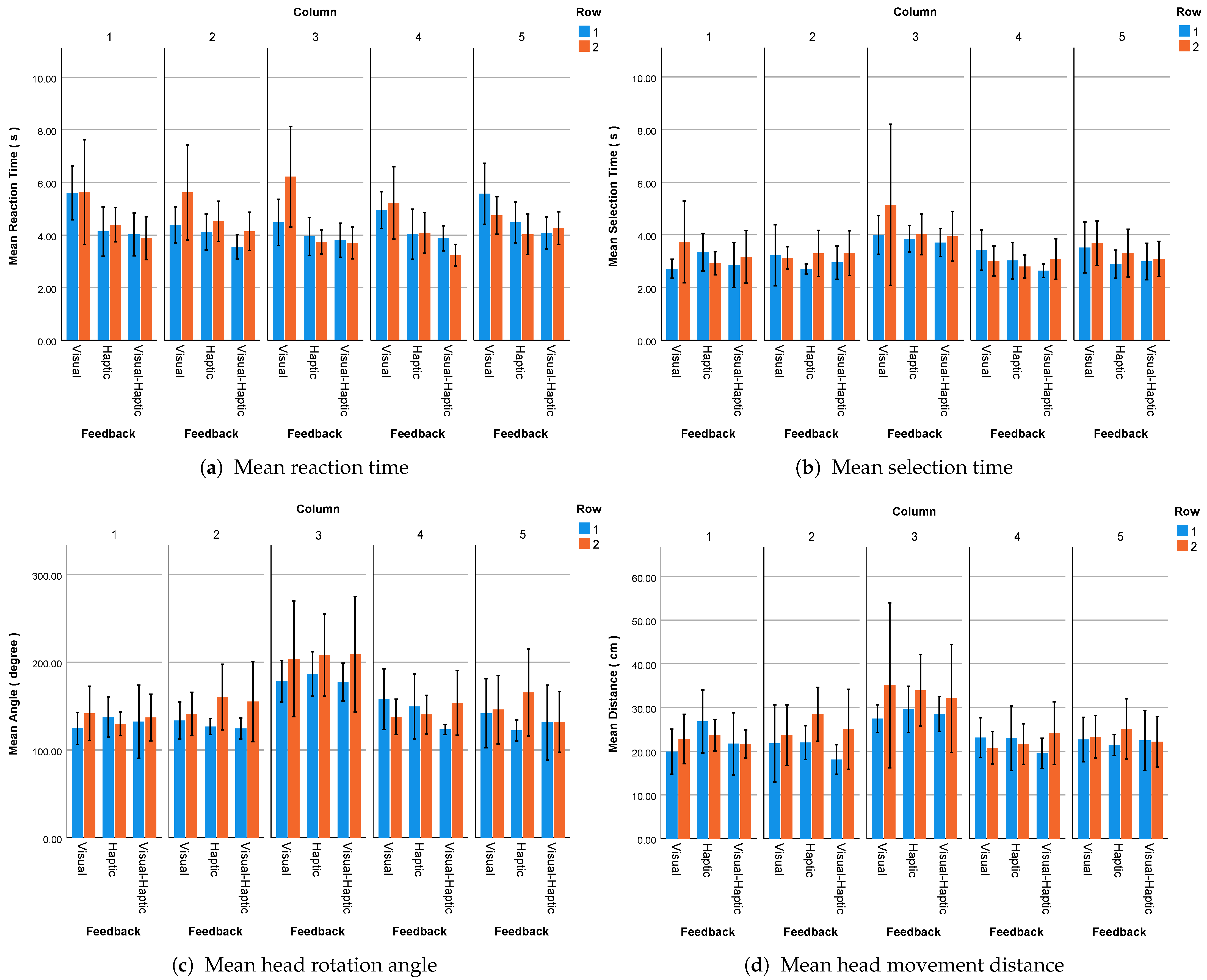
4.2.2. Reaction Time, Selection Time, and User Behavior Data in Secondary Task of Study 2
4.2.3. User Preference
4.2.4. Results Summary
5. Discussion
5.1. Effect of Visual Guidance
5.2. Effect of Haptic Feedback
5.3. Effect of Target Position
5.4. Implications and Guidelines for Designers
- Our first study demonstrated that the dynamic effect of arrow visual guidance could expedite both reaction and selection times compared to Static Arrow guidance, thereby enhancing the overall task performance in a multitask environment. Hence, when visual guidance is essential in multitask settings, interaction designers should consider incorporating dynamic effects, such as an oscillating arrow visual guide to indicate target direction.
- Haptic feedback may serve as a highly effective guidance modality in a multitask environment. Being more salient and easier to detect than visual guidance, especially in visually demanding environments, haptic feedback could lead to swifter response times. This allows users to focus their limited visual attention on a primary task, while still remaining attentive to the cues provided by the haptic modality.
- In simpler task settings, designers should aim to keep visual guidance concise and straightforward. This could potentially mitigate the side effects of visual guidance in easier task settings, while still keeping users informed.
- In a densely populated target setting, users tend to initiate their search from the center area. However, if the targets are sparsely distributed, users tend to begin their search according to their initial position. Therefore, if designers can control the target layout in a multitask environment, they can optimize the target searching and selection performances by placing important targets in suitable locations based on the complexity of the environment and users’ head movement patterns.
6. Conclusions and Future Work
Author Contributions
Funding
Institutional Review Board Statement
Informed Consent Statement
Data Availability Statement
Acknowledgments
Conflicts of Interest
Abbreviations
| VR | Virtual Reality; |
| HMD | Head-Mounted Display; |
| MRTK | Mixed Reality Toolkit; |
| 3D | Three-Dimensional. |
References
- Volonté, F.; Pugin, F.; Bucher, P.; Sugimoto, M.; Ratib, O.; Morel, P. Augmented reality and image overlay navigation with OsiriX in laparoscopic and robotic surgery: Not only a matter of fashion. J. Hepato Biliary Pancreat. Sci. 2011, 18, 506–509. [Google Scholar] [CrossRef] [PubMed]
- Renner, P.; Pfeiffer, T. Attention guiding techniques using peripheral vision and eye tracking for feedback in augmented-reality-based assistance systems. In Proceedings of the 2017 IEEE Symposium on 3D User Interfaces, Los Angeles, CA, USA, 18–19 March 2017; pp. 186–194. [Google Scholar] [CrossRef]
- Schinke, T.; Henze, N.; Boll, S. Visualization of off-screen objects in mobile augmented reality. In Proceedings of the 12th International Conference on Human Computer Interaction with Mobile Devices and Services, San Francisco, CA, USA, 21–24 September 2012; pp. 313–316. [Google Scholar] [CrossRef]
- Gruenefeld, U.; Lange, D.; Hammer, L.; Boll, S.; Heuten, W. FlyingARrow: Pointing Towards Out-of-View Objects on Augmented Reality Devices. In Proceedings of the 7th ACM International Symposium on Pervasive Displays, Munich, Germany, 6–8 June 2018; pp. 1–6. [Google Scholar] [CrossRef]
- Warden, A.C.; Wickens, C.D.; Mifsud, D.; Ourada, S.; Clegg, B.A.; Ortega, F.R. Visual Search in Augmented Reality: Effect of Target Cue Type and Location. Proc. Hum. Factors Ergon. Soc. Annu. Meet. 2022, 66, 373–377. [Google Scholar] [CrossRef]
- Baudisch, P.; Rosenholtz, R. Halo: A technique for visualizing off-screen objects. In Proceedings of the SIGCHI Conference on Human Factors in Computing Systems, New York, NY, USA, 5–10 April 2003; pp. 481–488. [Google Scholar] [CrossRef]
- Biocca, F.; Tang, A.; Owen, C.; Xiao, F. Attention funnel: Omnidirectional 3D cursor for mobile augmented reality platforms. In Proceedings of the SIGCHI Conference on Human Factors in Computing Systems, New York, NY, USA, 22–27 April 2006; pp. 1115–1122. [Google Scholar] [CrossRef]
- Gustafson, S.; Baudisch, P.; Gutwin, C.; Irani, P. Wedge: Clutter-free visualization of off-screen locations. In Proceedings of the SIGCHI Conference on Human Factors in Computing Systems, New York, NY, USA, 5–10 April 2008; pp. 787–796. [Google Scholar] [CrossRef]
- Israr, A.; Kim, S.C.; Stec, J.; Poupyrev, I. Surround haptics: Tactile feedback for immersive gaming experiences. In Proceedings of the CHI ’12 Extended Abstracts on Human Factors in Computing Systems, New York, NY, USA, 5–10 May 2012; pp. 1087–1090. [Google Scholar] [CrossRef]
- Elvitigala, D.S.; Boldu, R.; Nanayakkara, S.; Matthies, D.J.C. TickleFoot: Design, Development and Evaluation of a Novel Foot-Tickling Mechanism That Can Evoke Laughter. ACM Trans. Comput. Hum. Interact. 2022, 29, 20:1–20:23. [Google Scholar] [CrossRef]
- Asif, A.; Boll, S. Where to turn my car? comparison of a tactile display and a conventional car navigation system under high load condition. In Proceedings of the 2nd International Conference on Automotive User Interfaces and Interactive Vehicular Applications, Pittsburgh, PA, USA, 11–12 November 2010; pp. 64–71. [Google Scholar] [CrossRef]
- Prasad, M.; Taele, P.; Goldberg, D.; Hammond, T.A. HaptiMoto: Turn-by-turn haptic route guidance interface for motorcyclists. In Proceedings of the SIGCHI Conference on Human Factors in Computing Systems, Toronto, ON, Canada, 26 April–1 May 2014; pp. 3597–3606. [Google Scholar] [CrossRef]
- Zhu, M.; Sun, Z.; Zhang, Z.; Shi, Q.; He, T.; Liu, H.; Chen, T.; Lee, C. Haptic-feedback smart glove as a creative human-machine interface (HMI) for virtual/augmented reality applications. Sci. Adv. 2020, 6, eaaz8693. [Google Scholar] [CrossRef] [PubMed]
- Pfeiffer, M.; Schneegass, S.; Alt, F.; Rohs, M. Let me grab this: A comparison of EMS and vibration for haptic feedback in free-hand interaction. In Proceedings of the 5th Augmented Human International Conference, New York, NY, USA, 7–9 March 2014; pp. 1–8. [Google Scholar] [CrossRef]
- Pezent, E.; O’Malley, M.K.; Israr, A.; Samad, M.; Robinson, S.; Agarwal, P.; Benko, H.; Colonnese, N. Explorations of Wrist Haptic Feedback for AR/VR Interactions with Tasbi. In Proceedings of the Extended Abstracts of the 2020 CHI Conference on Human Factors in Computing Systems, New York, NY, USA, 25–30 April 2020; pp. 1–4. [Google Scholar] [CrossRef]
- Ren, G.; Li, W.; O’Neill, E. Towards the design of effective freehand gestural interaction for interactive TV. arXiv 2016, arXiv:1603.08103. [Google Scholar] [CrossRef]
- Gaffary, Y.; Lécuyer, A. The Use of Haptic and Tactile Information in the Car to Improve Driving Safety: A Review of Current Technologies. Front. ICT 2018, 5. [Google Scholar] [CrossRef]
- Jamil, S.; Golding, A.; Floyd, H.L.; Capelli-Schellpfeffer, M. Human Factors in Electrical Safety. In Proceedings of the 2007 IEEE Petroleum and Chemical Industry Technical Conference, Calgary, AB, Canada, 17–19 September 2007; pp. 1–8. [Google Scholar]
- Wickens, C.D. Processing resources and attention. In Multiple Task Performance; CRC Press: Boca Raton, FL, USA, 1991. [Google Scholar]
- Sigrist, R.; Rauter, G.; Riener, R.; Wolf, P. Augmented visual, auditory, haptic, and multimodal feedback in motor learning: A review. Psychon. Bull. Rev. 2013, 20, 21–53. [Google Scholar] [CrossRef] [PubMed]
- Marquardt, A.; Trepkowski, C.; Eibich, T.D.; Maiero, J.; Kruijff, E.; Schoning, J. Comparing Non-Visual and Visual Guidance Methods for Narrow Field of View Augmented Reality Displays. IEEE Trans. Vis. Comput. Graph. 2020, 26, 3389–3401. [Google Scholar] [CrossRef] [PubMed]
- Tivadar, R.I.; Arnold, R.C.; Turoman, N.; Knebel, J.F.; Murray, M.M. Digital haptics improve speed of visual search performance in a dual-task setting. Sci. Rep. 2022, 12, 9728. [Google Scholar] [CrossRef]
- Chen, T.; Wu, Y.S.; Zhu, K. Investigating different modalities of directional cues for multi-task visual-searching scenario in virtual reality. In Proceedings of the 24th ACM Symposium on Virtual Reality Software and Technology, New York, NY, USA, 28 November 2018; pp. 1–5. [Google Scholar] [CrossRef]
- Teber, D.; Guven, S.; Simpfendörfer, T.; Baumhauer, M.; Güven, E.O.; Yencilek, F.; Gözen, A.S.; Rassweiler, J. Augmented reality: A new tool to improve surgical accuracy during laparoscopic partial nephrectomy? Preliminary in vitro and in vivo results. Eur. Urol. 2009, 56, 332–338. [Google Scholar] [CrossRef]
- Wieland, J.; Garcia, R.C.H.; Reiterer, H.; Feuchtner, T. Arrow, Bézier Curve, or Halos?—Comparing 3D Out-of-View Object Visualization Techniques for Handheld Augmented Reality. In Proceedings of the 2022 IEEE International Symposium on Mixed and Augmented Reality (ISMAR), Singapore, 17–21 October 2022; pp. 797–806. [Google Scholar] [CrossRef]
- Biswas, N.; Singh, A.; Bhattacharya, S. Augmented 3D arrows for visualizing off-screen Points of Interest without clutter. Displays 2023, 79, 102502. [Google Scholar] [CrossRef]
- Markov-Vetter, D.; Luboschik, M.; Islam, A.T.; Gauger, P.; Staadt, O. The Effect of Spatial Reference on Visual Attention and Workload during Viewpoint Guidance in Augmented Reality. In Proceedings of the 2020 ACM Symposium on Spatial User Interaction, New York, NY, USA, 17–19 September 2020; pp. 1–10. [Google Scholar] [CrossRef]
- Woodworth, J.W.; Yoshimura, A.; Lipari, N.G.; Borst, C.W. Design and Evaluation of Visual Cues for Restoring and Guiding Visual Attention in Eye-Tracked VR. In Proceedings of the 2023 IEEE Conference on Virtual Reality and 3D User Interfaces Abstracts and Workshops (VRW), Shanghai, China, 25–29 March 2023; pp. 442–450. [Google Scholar] [CrossRef]
- Yeh, M.; Wickens, C.D. Display Signaling in Augmented Reality: Effects of Cue Reliability and Image Realism on Attention Allocation and Trust Calibration. Hum. Factors 2001, 43, 355–365. [Google Scholar] [CrossRef] [PubMed]
- Dixon, B.J.; Daly, M.J.; Chan, H.; Vescan, A.D.; Witterick, I.J.; Irish, J.C. Surgeons blinded by enhanced navigation: The effect of augmented reality on attention. Surg. Endosc. 2013, 27, 454–461. [Google Scholar] [CrossRef] [PubMed]
- Vatavu, R.D.; Vanderdonckt, J. Design Space and Users’ Preferences for Smartglasses Graphical Menus: A Vignette Study. In Proceedings of the 19th International Conference on Mobile and Ubiquitous Multimedia, New York, NY, USA, 22 November 2020; pp. 1–12. [Google Scholar] [CrossRef]
- Israr, A.; Poupyrev, I. Tactile brush: Drawing on skin with a tactile grid display. In Proceedings of the SIGCHI Conference on Human Factors in Computing Systems, Vancouver, BC, Canada, 7–12 May 2011; pp. 2019–2028. [Google Scholar] [CrossRef]
- Israr, A.; Poupyrev, I. Control space of apparent haptic motion. In Proceedings of the 2011 IEEE World Haptics Conference, Istanbul, Turkey, 21–24 June 2011; pp. 457–462. [Google Scholar] [CrossRef]
- Israr, A.; Zhao, S.; Schwalje, K.; Klatzky, R.; Lehman, J. Feel Effects: Enriching Storytelling with Haptic Feedback. Acm Trans. Appl. Percept. 2014, 11, 11:1–11:17. [Google Scholar] [CrossRef]
- Schneider, O.S.; Israr, A.; MacLean, K.E. Tactile Animation by Direct Manipulation of Grid Displays. In Proceedings of the 28th Annual ACM Symposium on User Interface Software & Technology, New York, NY, USA, 8–11 November 2015; pp. 21–30. [Google Scholar] [CrossRef]
- Elsayed, H.; Weigel, M.; Müller, F.; Schmitz, M.; Marky, K.; Günther, S.; Riemann, J.; Mühlhäuser, M. VibroMap: Understanding the Spacing of Vibrotactile Actuators across the Body. Proc. ACM Interact. Mob. Wearable Ubiquitous Technol. 2020, 4, 125:1–125:16. [Google Scholar] [CrossRef]
- Berning, M.; Braun, F.; Riedel, T.; Beigl, M. ProximityHat: A head-worn system for subtle sensory augmentation with tactile stimulation. In Proceedings of the 2015 ACM International Symposium on Wearable Computers; 2015; pp. 31–38. [Google Scholar] [CrossRef]
- de Jesus Oliveira, V.A.; Brayda, L.; Nedel, L.; Maciel, A. Designing a Vibrotactile Head-Mounted Display for Spatial Awareness in 3D Spaces. IEEE Trans. Vis. Comput. Graph. 2017, 23, 1409–1417. [Google Scholar] [CrossRef] [PubMed]
- Kaul, O.B.; Rohs, M. HapticHead: A Spherical Vibrotactile Grid around the Head for 3D Guidance in Virtual and Augmented Reality. In Proceedings of the 2017 CHI Conference on Human Factors in Computing Systems, Denver, CO, USA, 6 May 2017; pp. 3729–3740. [Google Scholar] [CrossRef]
- Kaul, O.B.; Rohs, M. Wearable head-mounted 3D tactile display application scenarios. In Proceedings of the 18th International Conference on Human-Computer Interaction with Mobile Devices and Services Adjunct. Association for Computing Machinery, Florence, Italy, 6–9 September 2016; pp. 1163–1167. [Google Scholar] [CrossRef]
- Alirezaee, P.; Weill-Duflos, A.; Schlesinger, J.J.; Cooperstock, J.R. Exploring the Effectiveness of Haptic Alarm Displays for Critical Care Environments. In Proceedings of the 2020 IEEE Haptics Symposium (HAPTICS), Washington, DC, USA, 28–31 March 2020; pp. 948–954. [Google Scholar] [CrossRef]
- Mujibiya, A. Haptic feedback companion for Body Area Network using body-carried electrostatic charge. In Proceedings of the 2015 IEEE International Conference on Consumer Electronics (ICCE), Las Vegas, NV, USA, 9–12 January 2015; pp. 571–572. [Google Scholar]
- Withana, A.; Groeger, D.; Steimle, J. Tacttoo: A Thin and Feel-Through Tattoo for On-Skin Tactile Output. In Proceedings of the 31st Annual ACM Symposium on User Interface Software and Technology, Berlin, Germany, 14–17 October 2018; pp. 365–378. [Google Scholar] [CrossRef]
- Vo, D.B.; Brewster, S.A. Touching the invisible: Localizing ultrasonic haptic cues. In Proceedings of the 2015 IEEE World Haptics Conference (WHC), Evanston, IL, USA, 22–26 June 2015; pp. 368–373. [Google Scholar] [CrossRef]
- Harrington, K.; Large, D.R.; Burnett, G.; Georgiou, O. Exploring the Use of Mid-Air Ultrasonic Feedback to Enhance Automotive User Interfaces. In Proceedings of the 10th International Conference on Automotive User Interfaces and Interactive Vehicular Applications, Toronto, ON, Canada, 23–25 September 2018; pp. 11–20. [Google Scholar] [CrossRef]
- Ratsamee, P.; Orita, Y.; Kuroda, Y.; Takemura, H. FlowHaptics: Mid-Air Haptic Representation of Liquid Flow. Appl. Sci. 2021, 11, 8447. [Google Scholar] [CrossRef]
- Lee, J.; Lee, G. Designing a Non-contact Wearable Tactile Display Using Airflows. In Proceedings of the 29th Annual Symposium on User Interface Software and Technology, Tokyo, Japan, 16–19 October 2016; pp. 183–194. [Google Scholar] [CrossRef]
- Han, T.; Anderson, F.; Irani, P.; Grossman, T. HydroRing: Supporting Mixed Reality Haptics Using Liquid Flow. In Proceedings of the 31st Annual ACM Symposium on User Interface Software and Technology, New York, NY, USA, 14–17 October 2018; pp. 913–925. [Google Scholar] [CrossRef]
- Trepkowski, C.; Marquardt, A.; Eibich, T.D.; Shikanai, Y.; Maiero, J.; Kiyokawa, K.; Kruijff, E.; Schoning, J.; Konig, P. Multisensory Proximity and Transition Cues for Improving Target Awareness in Narrow Field of View Augmented Reality Displays. IEEE Trans. Vis. Comput. Graph. 2022, 28, 1342–1362. [Google Scholar] [CrossRef]
- Shelley, S.; Alonso, M.; Hollowood, J.; Pettitt, M.; Sharples, S.; Hermes, D.; Kohlrausch, A. Interactive Sonification of Curve Shape and Curvature Data. In Proceedings of the Haptic and Audio Interaction Design: 4th International Conference, HAID 2009, Dresden, Germany, 10–11 September 2009; pp. 51–60. [Google Scholar] [CrossRef]
- Ribeiro, F.; Florêncio, D.; Chou, P.A.; Zhang, Z. Auditory augmented reality: Object sonification for the visually impaired. In Proceedings of the 2012 IEEE 14th International Workshop on Multimedia Signal Processing (MMSP), Banff, AB, Canada, 17–19 September 2012; pp. 319–324. [Google Scholar] [CrossRef]
- Blum, J.R.; Bouchard, M.; Cooperstock, J.R. What’s around Me? Spatialized Audio Augmented Reality for Blind Users with a Smartphone. In Proceedings of the Mobile and Ubiquitous Systems: Computing, Networking, and Services: 8th International ICST Conference, MobiQuitous 2011, Copenhagen, Denmark, 6–9 December 2011; pp. 49–62. [Google Scholar] [CrossRef]
- Katz, B.F.G.; Kammoun, S.; Parseihian, G.; Gutierrez, O.; Brilhault, A.; Auvray, M.; Truillet, P.; Denis, M.; Thorpe, S.; Jouffrais, C. NAVIG: Augmented reality guidance system for the visually impaired. Virtual Real. 2012, 16, 253–269. [Google Scholar] [CrossRef]
- Black, D.; Hettig, J.; Luz, M.; Hansen, C.; Kikinis, R.; Hahn, H. Auditory feedback to support image-guided medical needle placement. Int. J. Comput. Assist. Radiol. Surg. 2017, 12, 1655–1663. [Google Scholar] [CrossRef]
- Roodaki, H.; Navab, N.; Eslami, A.; Stapleton, C.; Navab, N. SonifEye: Sonification of Visual Information Using Physical Modeling Sound Synthesis. IEEE Trans. Vis. Comput. Graph. 2017, 23, 2366–2371. [Google Scholar] [CrossRef] [PubMed]
- Soto-Faraco, S.; Lyons, J.; Gazzaniga, M.; Spence, C.; Kingstone, A. The ventriloquist in motion: Illusory capture of dynamic information across sensory modalities. Cogn. Brain Res. 2002, 14, 139–146. [Google Scholar] [CrossRef] [PubMed]
- Hopkins, K.; Kass, S.J.; Blalock, L.D.; Brill, J.C. Effectiveness of auditory and tactile crossmodal cues in a dual-task visual and auditory scenario. Ergonomics 2017, 60, 692–700. [Google Scholar] [CrossRef] [PubMed]
- Ngo, M.K.; Spence, C. Auditory, tactile, and multisensory cues facilitate search for dynamic visual stimuli. Atten. Percept. Psychophys. 2010, 72, 1654–1665. [Google Scholar] [CrossRef] [PubMed]
- Koelewijn, T.; Bronkhorst, A.; Theeuwes, J. Competition between auditory and visual spatial cues during visual task performance. Exp. Brain Res. 2009, 195, 593–602. [Google Scholar] [CrossRef] [PubMed]
- Lehtinen, V.; Oulasvirta, A.; Salovaara, A.; Nurmi, P. Dynamic tactile guidance for visual search tasks. In Proceedings of the 25th Annual ACM Symposium on User Interface Software and Technology, Cambridge, MA, USA, 7–10 October 2012; pp. 445–452. [Google Scholar]
- Chung, S.; Lee, K.; Oh, U. Understanding the Two-Step Nonvisual Omnidirectional Guidance for Target Acquisition in 3D Spaces. In Proceedings of the 2021 IEEE International Symposium on Mixed and Augmented Reality (ISMAR), Bari, Italy, 4–8 October 2021; pp. 339–346. [Google Scholar] [CrossRef]
- Strasburger, H.; Rentschler, I.; Juttner, M. Peripheral vision and pattern recognition: A review. J. Vis. 2011, 11, 13. [Google Scholar] [CrossRef] [PubMed]
- Marquardt, A.; Trepkowski, C.; Eibich, T.D.; Maiero, J.; Kruijff, E. Non-Visual Cues for View Management in Narrow Field of View Augmented Reality Displays. In Proceedings of the 2019 IEEE International Symposium on Mixed and Augmented Reality (ISMAR), Beijing, China, 14–18 October 2019; pp. 190–201. [Google Scholar] [CrossRef]
- Ren, G.; Wei, S.; O’Neill, E.; Chen, F. Towards the Design of Effective Haptic and Audio Displays for Augmented Reality and Mixed Reality Applications. Adv. Multimed. 2018, 2018, 4517150. [Google Scholar] [CrossRef]
- Maltz, M.; Shinar, D. New Alternative Methods of Analyzing Human Behavior in Cued Target Acquisition. Hum. Factors 2003, 45, 281–295. [Google Scholar] [CrossRef]
- Wang, G.; Ren, G.; Hong, X.; Peng, X.; Li, W.; O’Neill, E. Freehand Gestural Selection with Haptic Feedback in Wearable Optical See-Through Augmented Reality. Information 2022, 13, 566. [Google Scholar] [CrossRef]








| User Scenarios | |
|---|---|
| Visual Feedback | Surgery [1,24], Manual assembly assistance [2], Tourism navigation [3], Piloting unmanned air vehicles [29], Endoscopic navigation [30] |
| Haptic Feedback | Driving [22], Target searching [60], Digital gaming [9], Interactive storytelling [34,35], Stress relief [10], Automobile navigation [11,12] |
| Multimodal Feedback | Surgery [54,55], Object detecting [49] |
| Static Arrow | Dynamic Arrow | Improvement (%) | |
|---|---|---|---|
| Reaction Time | 5.87 s | 4.66 s | 20.61% |
| Selection Time | 3.67 s | 3.32 s | 9.54% |
| Head Rotation Angle | 152.26° | 141.06° | 7.36% |
| Visual Feedback | Visual–Haptic Feedback | Improvement (%) | |
|---|---|---|---|
| Reaction Time | 5.24 s | 3.86 s | 26.34% |
| User Preference | 4.25 | 7.75 | 82.35% |
| Task load | 34.31 | 23.89 | 30.37% |
| Primary Task | Secondary Task | |||
|---|---|---|---|---|
| Selection Time (s) | Head Rotation Angle (°) | Selection Time (s) | Head Rotation Angle (°) | |
| Columns 1 | 3.01 | 79.92 | 3.12 | 133.85 |
| Columns 3 | 2.59 | 67.79 | 4.11 | 193.91 |
| Columns 5 | 3.06 | 82.95 | 3.25 | 139.82 |
Disclaimer/Publisher’s Note: The statements, opinions and data contained in all publications are solely those of the individual author(s) and contributor(s) and not of MDPI and/or the editor(s). MDPI and/or the editor(s) disclaim responsibility for any injury to people or property resulting from any ideas, methods, instructions or products referred to in the content. |
© 2024 by the authors. Licensee MDPI, Basel, Switzerland. This article is an open access article distributed under the terms and conditions of the Creative Commons Attribution (CC BY) license (https://creativecommons.org/licenses/by/4.0/).
Share and Cite
Wang, G.; Wang, H.-H.; Ren, G. Visual and Haptic Guidance for Enhancing Target Search Performance in Dual-Task Settings. Appl. Sci. 2024, 14, 4650. https://doi.org/10.3390/app14114650
Wang G, Wang H-H, Ren G. Visual and Haptic Guidance for Enhancing Target Search Performance in Dual-Task Settings. Applied Sciences. 2024; 14(11):4650. https://doi.org/10.3390/app14114650
Chicago/Turabian StyleWang, Gang, Hung-Hsiang Wang, and Gang Ren. 2024. "Visual and Haptic Guidance for Enhancing Target Search Performance in Dual-Task Settings" Applied Sciences 14, no. 11: 4650. https://doi.org/10.3390/app14114650
APA StyleWang, G., Wang, H.-H., & Ren, G. (2024). Visual and Haptic Guidance for Enhancing Target Search Performance in Dual-Task Settings. Applied Sciences, 14(11), 4650. https://doi.org/10.3390/app14114650

