Effects of Sprouted Barley with Different Cultivation Stages on Fermentation Characteristics and Degradation Kinetics in the Rumen
Abstract
:1. Introduction
2. Materials and Methods
2.1. Preparation of Sprouted Barley
2.2. Chemical Composition of Sprouted Barley
2.3. In Vitro Rumen Incubation
2.4. Digestibility and Fermentation Characteristics in the Rumen
2.5. Degradation Kinetics in the Rumen
2.6. Statistical Analysis
3. Results
3.1. Chemical Composition of Sprouted Barley
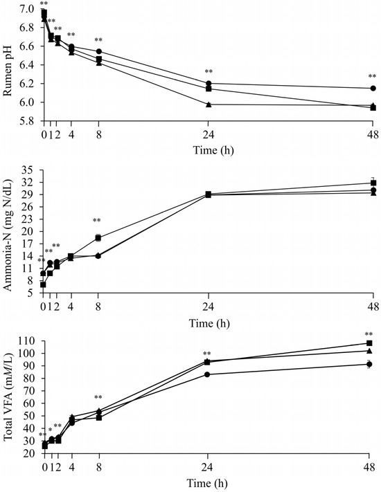
3.2. Digestibility and Fermentation Characteristics of Sprouted Barley in the Rumen
3.3. Degradation Kinetics of Sprouted Barley in the Rumen
4. Discussion
5. Conclusions
Author Contributions
Funding
Institutional Review Board Statement
Informed Consent Statement
Data Availability Statement
Conflicts of Interest
References
- Chavan, J.; Kadam, S.S. Nutritional improvement of cereals by sprouting. Crit. Rev. Food Sci. Nutr. 1989, 28, 401–437. [Google Scholar] [CrossRef] [PubMed]
- Peer, D.J.; Leeson, S. Nutrient content of hydroponically sprouted barley. Anim. Feed Sci. Technol. 1985, 13, 191–202. [Google Scholar] [CrossRef]
- Dung, D.D.; Godwin, I.R.; Nolan, J.V. Nutrient content and in sacco digestibility of barley grain and sprouted barley. J. Anim. Vet. Adv. 2010, 9, 2485–2492. [Google Scholar] [CrossRef]
- Hafla, A.N.; Soder, K.J.; Brito, A.F.; Rubano, M.D.; Dell, C.J. Effect of sprouted barley grain supplementation of an herbage-based or haylage-based diet on ruminal fermentation and methane output in continuous culture. J. Dairy Sci. 2014, 97, 7856–7869. [Google Scholar] [CrossRef] [PubMed]
- Farghaly, M.M.; Abdullah, M.A.M.; Youssef, I.M.I.; Abdel-Rahim, I.R.; Abouelezz, K. Effect of feeding hydroponic barley sprouts to sheep on feed intake, nutrient digestibility, nitrogen retention, rumen fermentation, and ruminal enzymes activity. Livest. Sci. 2019, 228, 31–37. [Google Scholar] [CrossRef]
- Reed, J.J.; Bauer, M.L.; Loe, E.R.; Caton, J.S.; Lardy, G.P. Effects of processing on feeding value of sprouted barley and sprouted durum wheat in growing and finishing diets for beef cattle. Prof. Anim. Sci. 2005, 21, 7–12. [Google Scholar] [CrossRef]
- Gebremedhin, W.K. Nutritional benefit and economic value of feeding hydroponically grown maize and barley fodder for Konkan Kanyal goats. IOSR J. Agric. Vet. Sci. 2015, 8, 24–30. [Google Scholar] [CrossRef]
- Saidi, A.R.M.A.; Omar, J.A. The biological and economical feasibility of feeding barley green fodder to lactating Awassi ewes. Open J. Anim. Sci. 2015, 5, 99–105. [Google Scholar] [CrossRef]
- Abouelezz, K.F.M.; Sayed, M.A.M.; Abdelnabi, M.A. Evaluation of hydroponic barley sprouts as a feed supplement for laying Japanese quail: Effects on egg production, egg quality, fertility, blood constituents, and internal organs. Anim. Feed Sci. Technol. 2019, 252, 129–135. [Google Scholar] [CrossRef]
- Peer, D.J.; Leeson, S. Feeding value of hydroponically sprouted barley for poultry and pigs. Anim. Feed Sci. Technol. 1985, 13, 183–190. [Google Scholar] [CrossRef]
- Fazaeli, H.; Golmohammadi, H.A.; Shoayee, A.A.; Montajebi, N.; Mosharrat, S. Performance of feedlot calves fed hydroponics fodder barley. J. Agr. Sci. Technol. 2011, 13, 367–375. [Google Scholar]
- Lee, S.S.; Lee, H.J.; Paradhipta, D.H.V.; Joo, Y.H.; Kim, S.B.; Kim, D.H.; Kim, S.C. Temperature and microbial changes of corn silage during aerobic exposure. Asian-Australas. J. Anim. Sci. 2019, 32, 988–995. [Google Scholar] [CrossRef] [PubMed]
- AOAC. Official Method of Analysis, 18th ed.; Association of Official Analytical Chemists: Washington, DC, USA, 2005. [Google Scholar]
- Van Soest, P.J.; Robertson, J.B.; Lewis, B.A. Methods for dietary fiber, natural detergent fiber and non-starch polysaccharides in relation to animal nutrition. J. Dairy Sci. 1991, 74, 3583–3597. [Google Scholar] [CrossRef] [PubMed]
- Adesogan, A.T.; Krueger, N.K.; Kim, S.C. A novel, wireless, automated system for measuring fermentation gas production kinetics of feeds and its application to feed characterization. Anim. Feed Sci. Technol. 2005, 123, 211–223. [Google Scholar] [CrossRef]
- Paradhipta, D.H.V.; Joo, Y.H.; Lee, H.J.; Lee, S.S.; Noh, H.T.; Choi, J.S.; Kim, J.; Min, H.G.; Kim, S.C. Effects of inoculants producing antifungal and carboxylesterase activities on corn silage and its shelf life against mold contamination at feed-out phase. Microorganisms 2021, 9, 558. [Google Scholar] [CrossRef] [PubMed]
- Lee, S.S.; Kim, D.H.; Paradhipta, D.H.V.; Lee, H.J.; Yoon, H.; Joo, Y.H.; Adesogan, A.T.; Kim, S.C. Effects of wormwood (Artemisia montana) essential oil on digestibility, fermentation indices, and microbial diversity in the rumen. Microorganisms 2020, 8, 1605. [Google Scholar] [CrossRef] [PubMed]
- Chaney, A.L.; Marbach, E.P. Modified reagents for determination of urea and ammonia. Clin. Chem. 1962, 8, 130–132. [Google Scholar] [CrossRef]
- Muck, R.E.; Dickerson, J.T. Storage temperature effects on proteolysis in alfalfa silage. Trans ASAE. 1988, 31, 1005–1009. [Google Scholar] [CrossRef]
- McDonald, I. A revised model for the estimation of protein degradability in the rumen. J. Agri. Sci. 1981, 96, 251–252. [Google Scholar] [CrossRef]
- Hobson, P.N.; Stewart, C.S. The Rumen Microbial Ecosystem, 2nd ed.; Blackie Academic and Professional: London, UK, 1997. [Google Scholar] [CrossRef]
- Chung, T.Y.; Nwokolo, E.N.; Sim, J.S. Compositional and digestibility changes in sprouted barley and canola seeds. Plant Food Hum. Nutr. 1989, 39, 267–278. [Google Scholar] [CrossRef]
- Russell, J.B. The importance of pH in the regulation of ruminal acetate to propionate ration and methane production in vitro. J. Dairy Sci. 1998, 81, 3222–3230. [Google Scholar] [CrossRef] [PubMed]
- Sutton, J.D.; Dhanoa, M.S.; Morant, S.V.; France, J.; Napper, D.J.; Schuller, E. Rates of production of acetate, propionate, and butyrate in the rumen of lactating dairy cows given normal and low-roughage diets. J. Dairy Sci. 2003, 86, 3620–3633. [Google Scholar] [CrossRef] [PubMed]
- Aiello, R.J.; Armentano, L.E.; Bertics, S.J.; Murphy, A.T. Volatile fatty acid uptake and propionate metabolism in ruminant hepatocytes. J. Dairy Sci. 1988, 72, 942–949. [Google Scholar] [CrossRef] [PubMed]
- Weigand, E.; Young, J.W.; McGilliard, A.D. Volatile fatty acid metabolism by rumen mucosa from cattle fed hay or grain. J. Dairy Sci. 1974, 58, 1294–1300. [Google Scholar] [CrossRef]



| Cultivation Stage, Days | SEM | Contrast | ||||
|---|---|---|---|---|---|---|
| 0 | 4 | 8 | Linear | Quadratic | ||
| Dry matter (DM), % | 92.3 a | 30.4 b | 18.2 c | 0.482 | 0.001 | 0.254 |
| Crude protein (CP), % DM | 10.1 c | 12.3 b | 15.5 a | 0.428 | 0.001 | 0.253 |
| Ether extract (EE), % DM | 2.93 c | 3.65 b | 4.23 a | 0.112 | 0.001 | 0.253 |
| Crude ash (CA), % DM | 2.28 b | 2.66 ab | 2.90 a | 0.165 | 0.020 | 0.994 |
| Neutral detergent fiber (NDF), % DM | 19.3 c | 31.0 b | 44.0 a | 0.783 | <0.001 | 0.927 |
| Acid detergent fiber (ADF), % DM | 5.56 c | 12.5 b | 20.1 a | 0.360 | <0.001 | 0.781 |
| Hemicellulose (HEMI), % DM | 13.7 c | 18.4 b | 23.9 a | 0.577 | <0.001 | 0.961 |
| Neutral detergent soluble carbohydrate (NDSC), % DM | 65.4 a | 50.4 b | 33.4 c | 1.051 | <0.001 | 0.288 |
| Cultivation Stage, Days | SEM | Contrast | ||||
|---|---|---|---|---|---|---|
| 0 | 4 | 8 | Linear | Quadratic | ||
| In vitro digestibility, % DM | ||||||
| DM | 34.9 c | 65.0 a | 56.2 b | 1.268 | 0.126 | <0.001 |
| NDF | 70.1 b | 77.0 a | 74.2 ab | 2.014 | 0.286 | 0.005 |
| Fermentation characteristics | ||||||
| pH | 5.94 b | 5.97 b | 6.15 a | 0.029 | <0.001 | 0.097 |
| Ammonia-N, mg N/dL | 31.9 | 29.4 | 30.1 | 1.775 | 0.238 | 0.241 |
| Total VFA, mM/L | 108.2 a | 102.1 ab | 91.4 b | 2.580 | 0.003 | 0.379 |
| Acetate, % of molar | 62.8 | 61.2 | 61.5 | 0.788 | 0.175 | 0.203 |
| Propionate, % of molar | 11.1 b | 17.3 a | 17.4 a | 0.272 | <0.001 | 0.145 |
| Iso-butyrate, % of molar | 1.34 b | 1.22 b | 1.58 a | 0.047 | 0.300 | 0.003 |
| Butyrate, % of molar | 19.7 a | 15.5 b | 15.5 b | 0.743 | 0.020 | 0.058 |
| Iso-valerate, % of molar | 3.29 a | 3.13 a | 2.39 b | 0.287 | 0.036 | 0.249 |
| Valerate, % of molar | 1.85 | 1.59 | 1.66 | 0.115 | 0.175 | 0.059 |
| Acetate:Propionate | 5.69 a | 3.53 b | 3.55 b | 0.087 | 0.048 | <0.001 |
| Cultivation Stage, Days | SEM | Contrast | ||||
|---|---|---|---|---|---|---|
| 0 | 4 | 8 | Linear | Quadratic | ||
| DM degradation kinetics | ||||||
| A, mL/g of DM | 12.2 c | 38.4 a | 25.9 b | 1.228 | 0.793 | <0.001 |
| B, mL/g of DM | 20.0 c | 37.1 a | 30.1 b | 3.026 | 0.739 | 0.001 |
| A+B, mL/g of DM | 32.2 c | 75.5 a | 56.0 b | 3.471 | 0.943 | <0.001 |
| C, %h | 0.28 a | 0.05 b | 0.05 b | 0.006 | 0.010 | 0.058 |
| L, h | 0.00 b | 22.5 a | 23.0 a | 0.185 | <0.001 | 0.358 |
| NDF degradation kinetics | ||||||
| A, mL/g of DM | 23.6 b | 43.4 a | 23.0 b | 1.992 | 0.761 | <0.001 |
| B, mL/g of DM | 48.4 ab | 47.2 b | 55.4 a | 1.676 | 0.025 | 0.046 |
| A + B, mL/g of DM | 72.0 b | 90.6 a | 78.4 b | 1.937 | 0.226 | 0.003 |
| C, %h | 0.24 a | 0.05 b | 0.05 b | 0.031 | 0.007 | 0.043 |
| L, h | 0.00 c | 20.7 b | 23.0 a | 0.651 | <0.001 | 0.057 |
Disclaimer/Publisher’s Note: The statements, opinions and data contained in all publications are solely those of the individual author(s) and contributor(s) and not of MDPI and/or the editor(s). MDPI and/or the editor(s) disclaim responsibility for any injury to people or property resulting from any ideas, methods, instructions or products referred to in the content. |
© 2023 by the authors. Licensee MDPI, Basel, Switzerland. This article is an open access article distributed under the terms and conditions of the Creative Commons Attribution (CC BY) license (https://creativecommons.org/licenses/by/4.0/).
Share and Cite
Kim, J.-Y.; Paradhipta, D.H.V.; Joo, Y.-H.; Seo, M.-J.; Baeg, C.-H.; Jeong, S.-M.; Kim, S.-C. Effects of Sprouted Barley with Different Cultivation Stages on Fermentation Characteristics and Degradation Kinetics in the Rumen. Appl. Sci. 2024, 14, 364. https://doi.org/10.3390/app14010364
Kim J-Y, Paradhipta DHV, Joo Y-H, Seo M-J, Baeg C-H, Jeong S-M, Kim S-C. Effects of Sprouted Barley with Different Cultivation Stages on Fermentation Characteristics and Degradation Kinetics in the Rumen. Applied Sciences. 2024; 14(1):364. https://doi.org/10.3390/app14010364
Chicago/Turabian StyleKim, Ji-Yoon, Dimas Hand Vidya Paradhipta, Young-Ho Joo, Myeong-Ji Seo, Chang-Hyun Baeg, Seung-Min Jeong, and Sam-Churl Kim. 2024. "Effects of Sprouted Barley with Different Cultivation Stages on Fermentation Characteristics and Degradation Kinetics in the Rumen" Applied Sciences 14, no. 1: 364. https://doi.org/10.3390/app14010364
APA StyleKim, J.-Y., Paradhipta, D. H. V., Joo, Y.-H., Seo, M.-J., Baeg, C.-H., Jeong, S.-M., & Kim, S.-C. (2024). Effects of Sprouted Barley with Different Cultivation Stages on Fermentation Characteristics and Degradation Kinetics in the Rumen. Applied Sciences, 14(1), 364. https://doi.org/10.3390/app14010364

