On the Performance of LDPC-Coded Large Intelligent Antenna System
Abstract
1. Introduction
1.1. Motivation
1.2. Structure of LDPC Code
1.3. Objective, Contribution, and Organization
2. System and Signal Characterization
- While MIMO systems have an antenna element separation of 3λ to 4λ, the LIS has an antenna element spacing typical of λ/2.
- Far-field wireless communications are typically established at propagation distances greater than the Fraunhofer distance (the Fraunhofer distance is only a few wavelengths).
- Individual elements of the LIS array can be seen in the far field, but the whole array, which acts in the short field, cannot be seen.
- Therefore, the focus is set on the distance, the bearing, and the elevation planes. This acts similar to a lens to focus the sun’s energy on a piece of paper. Note that traditional beamforming does not focus on distance, but only on bearing and elevation.
- LIS is different from traditional beamforming in that it can suppress the interference between users that are aligned, in terms of bearing and elevation, but at different ranges. This makes the process of concentrating energy even better.
3. System and Signal Model for the Receivers
3.1. Linear Feedforward Non-Iterative FDE Receivers
3.1.1. Zero Forcing
3.1.2. Minimum Mean Squared Error
3.1.3. Maximum Ratio Combining
3.1.4. Equal Gain Combining
3.2. Iterative MRC and EGC FDE Receivers (IB-DFE Receivers)
4. Simulation Results and Analysis
5. Conclusions
6. Future Research
Author Contributions
Funding
Institutional Review Board Statement
Informed Consent Statement
Data Availability Statement
Acknowledgments
Conflicts of Interest
References
- Decarli, N.; Dardari, D. Communication Modes with Large Intelligent Surfaces in the Near Field. IEEE Digit. Object Identifier 2021, 9, 165648–165666. [Google Scholar] [CrossRef]
- Bjornson, E.; Özlem, T.; Sanguinetti, L. A primer on near-field beamforming for arrays and reconfigurable intelligent surfaces. In Proceedings of the 2021 55th Asilomar Conference on Signals, Systems, and Computers (ACSSC), Pacific Grove, CA, USA, 31 October–3 November 2021; pp. 105–112. [Google Scholar]
- Dajer, M.; Ma, Z.; Piazzi, L.; Narayan, P.; Qi, X.; Sheen, B.; Yang, J.; Yue, G. Reconfigurable Intelligent Surface: Design the Channel—A New Opportunity for Future Wireless Networks. arXiv 2020, arXiv:2010.07408v1. [Google Scholar] [CrossRef]
- Borger, D.; Dinis, R.; Montezuma, P. An MRC-Based Receiver for SC_FDE Modulations with Massive MIMO Schemes. In Proceedings of the 2016 IEEE Global Conference on Signal and Information Processing (Global SIP), Washington, DC, USA, 7–9 December 2016. [Google Scholar]
- Marques da Silva, M.; Dinis, R.; Guerriero, J. A Low Complexity Channel Estimation and Detection for Massive MIMO using SC-FDE. Telecom 2020, 1, 3–17. [Google Scholar] [CrossRef]
- Pereira, A.; Rusek, F.; Gomes, M.; Dinis, R. On the Complexity Requirements of a Panel-Based Large Intelligent Surface. In Proceedings of the 2020 IEEE Global Communications Conference, Taipei, Taiwan, 7–11 December 2020. [Google Scholar]
- Hu, S.; Rusek, F.; Edfors, O. Beyond Massive-MIMO: The Potential of Data-Transmission with Large Intelligent Surfaces. arXiv 2017, arXiv:1707.02887v1. [Google Scholar] [CrossRef]
- Sanchez, J.R.; Rusek, F.; Edfors, O.; Liang, L. Distributed and Scalable Uplink Processing for LIS: Algorithm, Architecture, and Design Trade-offs. arXiv 2020, arXiv:2012.05296v1. [Google Scholar]
- Wang, J.; Baykas, T.; Funada, R.; Sum, C.S.; Rahman, A.; Lan, Z.; Harada, H.; Kato, S. A SNR Mapping Scheme for ZF/MMSE Based SC-FDE Structured WPANs. In Proceedings of the VTC Spring 2009—IEEE 69th Vehicular Technology Conference, Barcelona, Spain, 26–29 April 2009. [Google Scholar]
- Pereira, A.; Bento, P.; Gomes, M.; Dinis, R.; Silva, V. Complexity analysis of FDE receivers for massive MIMO block transmission systems. IET Commun. Inst. Eng. Technol. 2019, 13, 1762–1768. [Google Scholar] [CrossRef]
- Wenling, B.; Daqiao, B.; Yue, X. Performance evaluation of MIMO SC-FDMA system with FDE recoveries. In Proceedings of the 2009 IEEE International Conference on Wireless Communications & Signal Processing, Nanjing, China, 13–15 November 2009. [Google Scholar] [CrossRef]
- Hu, Y.; Wang, W.; Lin, Z.; Ding, M. Performance Analysis of Reconfigurable Intelligent Surface Assisted Wireless System with Low-Density Parity-Check Code. IEEE Commun. Lett. 2021, 25, 2879–2883. [Google Scholar] [CrossRef]
- Wanda, T. A Study on Performance of LDPC Codes on Power Line Communications. In Proceedings of the 2004 IEEE International Conference on Communications (IEEE Cat. No.04CH37577), Paris, France, 20–24 June 2004. [Google Scholar]
- Asif, M.; Zhou, W.; Ajmal, M.; Akhtar, Z.A.; Khan, N.A. A Construction of High-Performance Quasi cyclic LDPC Codes: A Combinatoric Design Approach. Hindawi Wirel. Commun. Mob. Comput. 2019, 2019, 7468792. [Google Scholar] [CrossRef]
- Johnson, S. Introducing Low-Density Parity-Check Codes. Univ. Newctle. Aust. 2006, 1, 2006. [Google Scholar] [CrossRef]
- Yi, F.; Bi, G.; Yong Liang, G.; Lau, F. A Survey on Photograph LDPC Codes and Their Applications. IEEE Commun. Surv. Tutor. 2015, 17, 1989–2016. [Google Scholar]
- Gang, X.; Shalinee, K. Joint transmitter and receiver design with adaptive beamforming in MIMO SC-FDMA systems. In Proceedings of the 2011 IEEE International Conference on Acoustics, Speech and Signal Processing (ICASSP), Prague, Czech Republic, 22–27 May 2011. [Google Scholar]
- Pan, Y.; Zhixiang, D. Channel Estimation for Wireless Communication Systems Aided By Large Intelligent Reflecting Surface. In Proceedings of the IEEE 2nd International Conference on Big Data, Artificial Intelligence and Internet of Things Engineering (ICBAIE 2021), Nanchang, China, 26–28 March 2021. [Google Scholar]
- Henghao, L.; Yongkui, M. Low-Complexity Iterative Block Decision Feedback Equalization for SC-FDE System. In Proceedings of the IEEE Eighth International Conference on Instrumentation & Measurement, Computer, Communication and Control (IMCCC), Harbin, China, 19–21 July 2018. [Google Scholar]
- Montezuma, P.; Borges, D.; Dinis, R. Low Complexity MRC and EGC Based Receivers for SC-FDE Modulations with Massive MIMO Schemes. In Proceedings of the IEEE Global Conference on Signal and Information Processing-Global SIP, Washington, DC, USA, 7–9 December 2016. [Google Scholar]
- Chen, J.; Liang, Y.C.; Cheng, H.V.; Yu, W. Channel Estimation for Reconfigurable Intelligent Surface Aided Multi-User MIMO Systems. arXiv 2019, arXiv:1912.03619v1. [Google Scholar] [CrossRef]
- Long, R.; Liang, Y.C.; Pei, Y.; Larsson, G.E. Active Reconfigurable Intelligent Surface Aided Wireless Communications. IEEE Trans. Wirel. Commun. 2021, 20, 4962–4975. [Google Scholar] [CrossRef]
- Simon, M.K.; Alouini, M.S. Digital Communication over Fading Channels; Wiley-IEEE Press: New York, NY, USA, 2005. [Google Scholar]
- Edfors, O. Analysis of DFT-Based Channel Estimators for OFDM. Wirel. Pers. Commun. 2000, 12, 55–70. [Google Scholar] [CrossRef]
- Torres, P.; Charrua, L.; Gusmao, A. On the Uplink Detection Performance in MU-MIMO Broadband Systems with a Large Number of BS Antennas. In Proceedings of the 18th International OFDM Workshop 2014, Essen, Germany, 27–28 August 2014. [Google Scholar]










| Acronym | Description |
|---|---|
| AWGN | Additive White Gaussian Noise |
| BER | Bit Error Rate |
| BS | Base Station |
| CSI | Channel State Information |
| CP | Cyclic Prefix |
| DFT | Discrete Fourier Transform |
| EGC | Equal Gain Combining |
| IB-DFE | Iterative Block Decision Feedback Equalization |
| ELAA | Extremely Large Antenna Arrays |
| IB-DFE | Iterative Block—Decision Feedback Equalization |
| IDFT | Inverse DFT |
| IoT | Internet of Things |
| IRS | Intelligent Reflecting Surface |
| LDPC | Low-Density Parity-Check |
| LIS | Large Intelligent Surface |
| m-MIMO | Massive Multiple-Input Multiple-Output |
| MFB | Matched Filter Bound |
| MIMO | Multiple-Input Multiple-Output |
| MRC | Maximum Ratio Combining |
| MMSE | Minimum Mean Squared Error |
| OFDM | Orthogonal Frequency Division Multiplexing |
| QC-LDPC | Quasi Cyclic—Low Density Parity Check |
| QoS | Quality of Service |
| SC-FDE | Single Carrier with Frequency Domain Equalization |
| UE | User Equipment |
| UM-MIMO | Ultra Massive Multiple-Input Multiple-Output |
| ZF | Zero Forcing |
| Figure | Number of Antennas per Four Panels | Number of Users (Including the Reference User) | Equalization | Selective LIS | Number of Antennas Used in Selective LIS | LDPC | Objective |
|---|---|---|---|---|---|---|---|
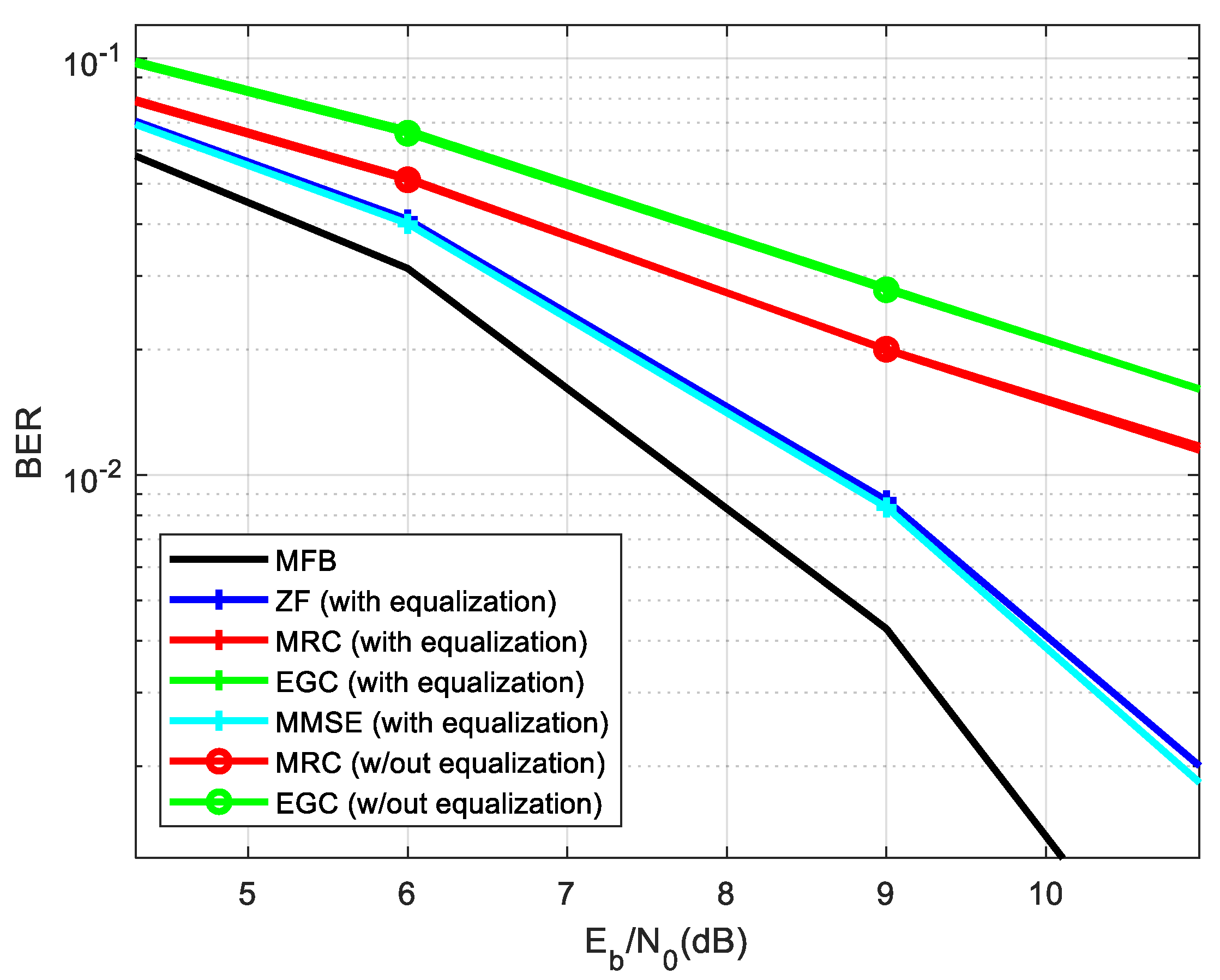
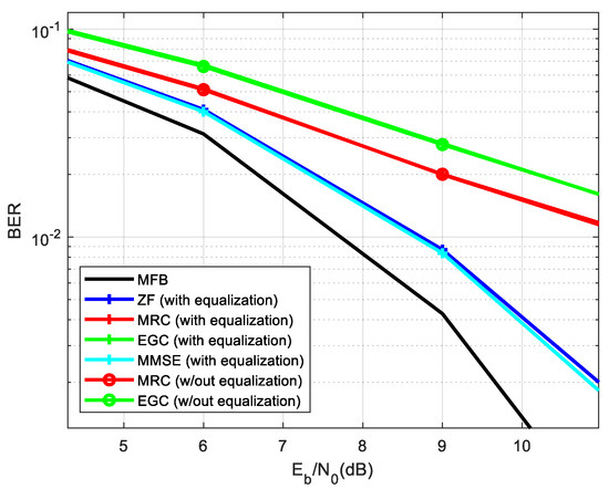
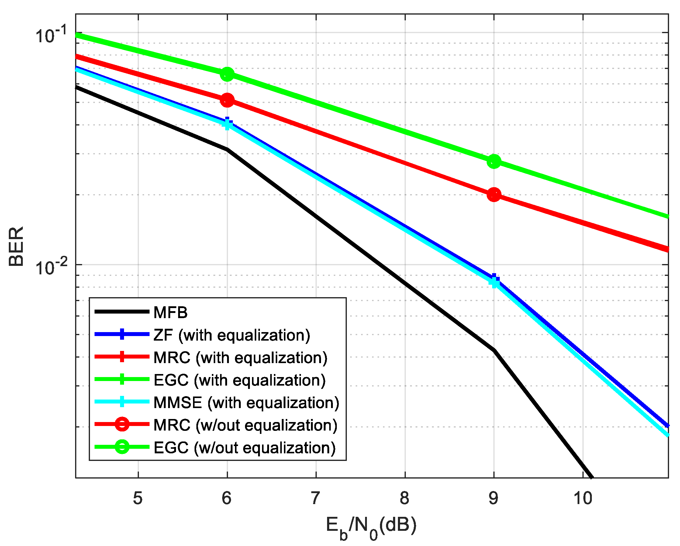
| Figure 4 | 25 | 5 | With and without | No | - | No | Absence of performance improvement with the use of equalization |
| Figure 5 | 225 | 5 | With and without | No | - | No | Absence of performance improvement with the use of equalization |
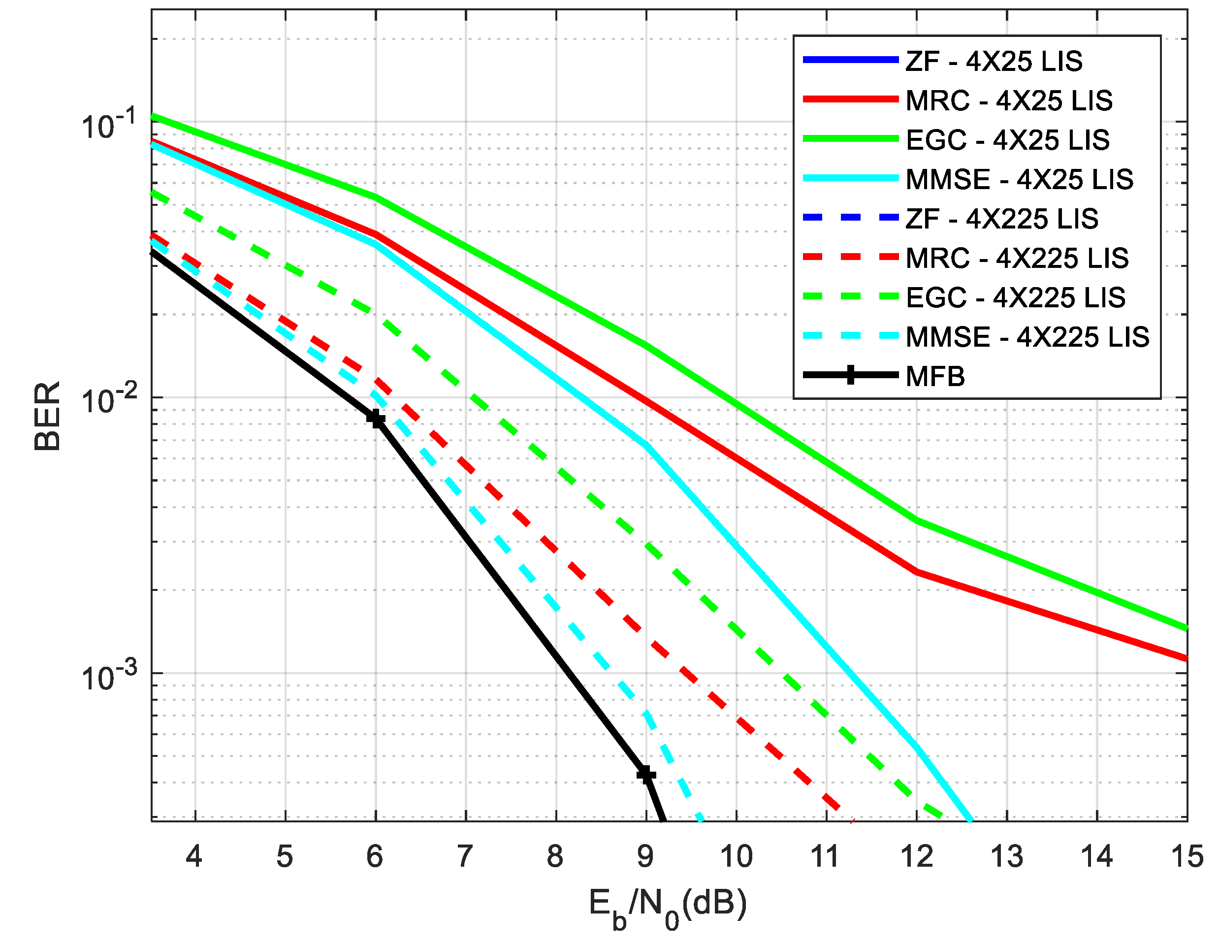
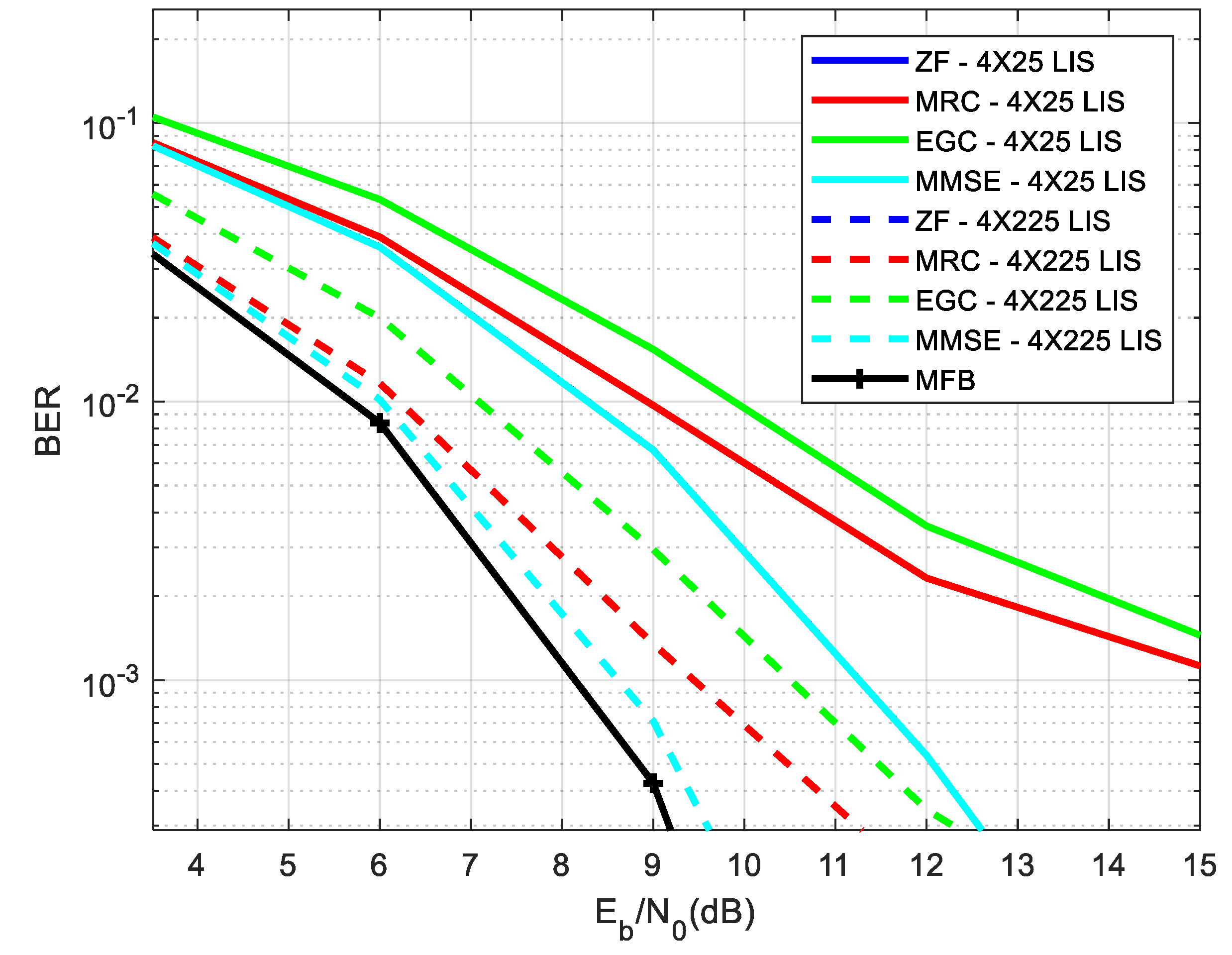
| Figure 6 | 25 versus 225 | 2 | Without | No | - | No | Performance of 4X25 versus 4X225 LIS system |
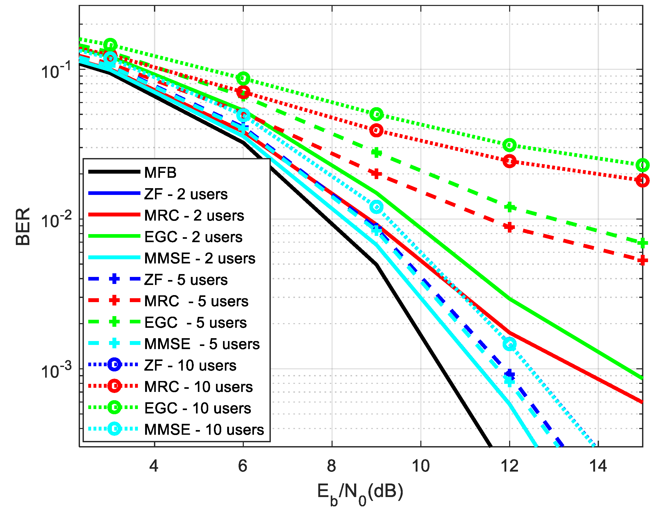
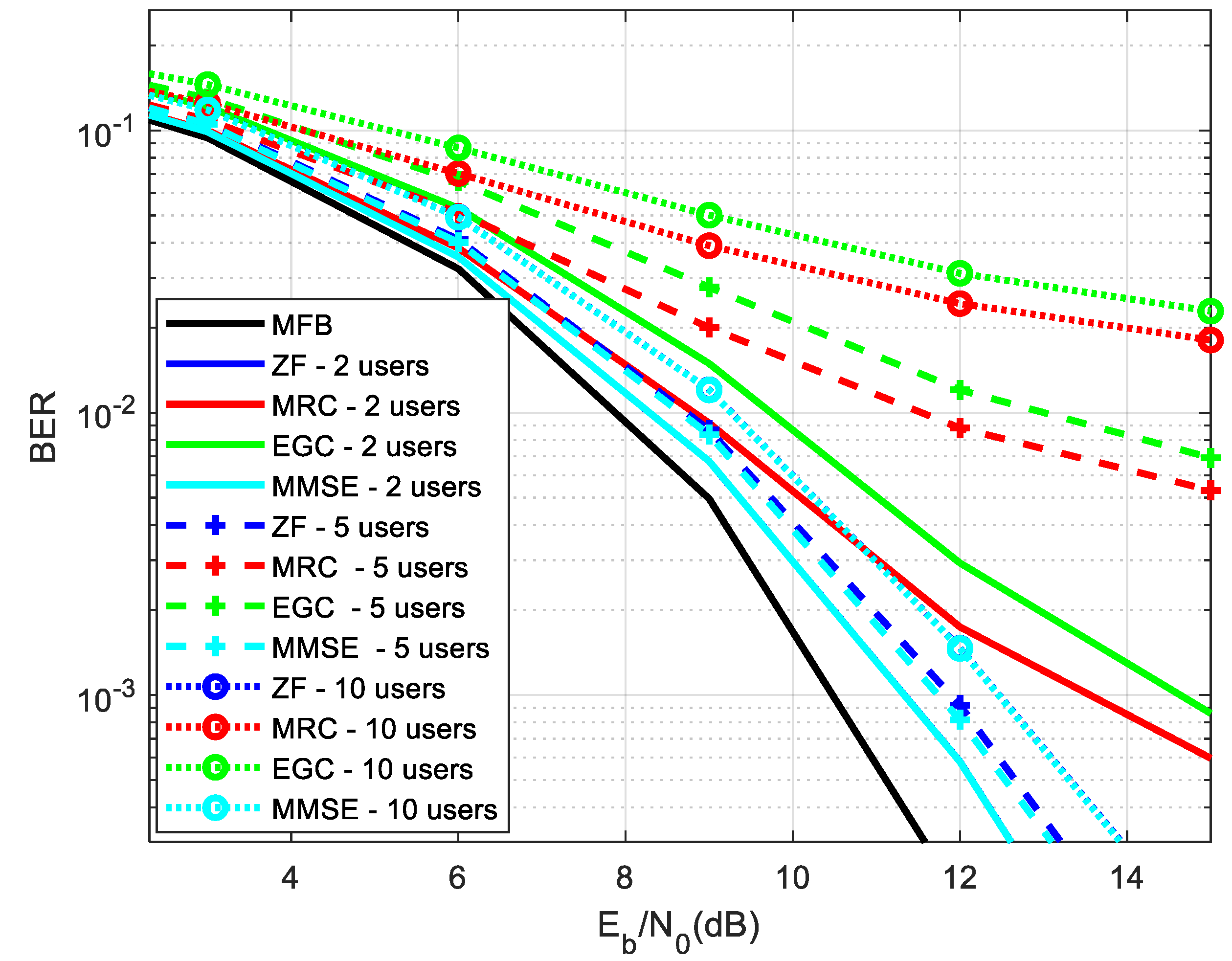
| Figure 7 | 25 | 2, 5 and 10 | Without | No | - | No | Loss of performance that occurred with the increase of the number of users |
| Figure 8 | 25 | 5 | Without | No | - | Yes and No | Performance improvement with LDPC codes, compared to the uncoded system, for 4X25 |
| Figure 9 | 225 | 5 | Without | No | - | Yes and No | Performance improvement with LDPC codes, compared to the uncoded system, for 4X225 |
| Figure 10 | 225 | 5 | Without | Yes and No | 20 and 100 | No | Performance degradation using Selective LIS, varying the number of antennas |
Disclaimer/Publisher’s Note: The statements, opinions and data contained in all publications are solely those of the individual author(s) and contributor(s) and not of MDPI and/or the editor(s). MDPI and/or the editor(s) disclaim responsibility for any injury to people or property resulting from any ideas, methods, instructions or products referred to in the content. |
© 2023 by the authors. Licensee MDPI, Basel, Switzerland. This article is an open access article distributed under the terms and conditions of the Creative Commons Attribution (CC BY) license (https://creativecommons.org/licenses/by/4.0/).
Share and Cite
Gashtasbi, A.; da Silva, M.M.; Dinis, R.; Guerreiro, J. On the Performance of LDPC-Coded Large Intelligent Antenna System. Appl. Sci. 2023, 13, 4738. https://doi.org/10.3390/app13084738
Gashtasbi A, da Silva MM, Dinis R, Guerreiro J. On the Performance of LDPC-Coded Large Intelligent Antenna System. Applied Sciences. 2023; 13(8):4738. https://doi.org/10.3390/app13084738
Chicago/Turabian StyleGashtasbi, Ali, Mário Marques da Silva, Rui Dinis, and João Guerreiro. 2023. "On the Performance of LDPC-Coded Large Intelligent Antenna System" Applied Sciences 13, no. 8: 4738. https://doi.org/10.3390/app13084738
APA StyleGashtasbi, A., da Silva, M. M., Dinis, R., & Guerreiro, J. (2023). On the Performance of LDPC-Coded Large Intelligent Antenna System. Applied Sciences, 13(8), 4738. https://doi.org/10.3390/app13084738

