Next Article in Journal
Effects of Different Basketball Shooting Positions and Distances on Gaze Behavior and Shooting Accuracy
Next Article in Special Issue
Sum Rate Optimization Scheme of UAV-Assisted NOMA under Hardware Impairments
Previous Article in Journal
Experimental Analysis of the Behavior of Mirror-like Objects in LiDAR-Based Robot Navigation
Previous Article in Special Issue
Power Allocation and User Grouping for NOMA Downlink Systems
 
 
Font Type:
Arial Georgia Verdana
Font Size:
Aa Aa Aa
Line Spacing:
Column Width:
Background:
Article

On the Performance of Coded Cooperative Communication with Multiple Energy-Harvesting Relays and Error-Prone Forwarding

1
Department of Computer Engineering and Networks, College of Computer and Information Sciences, Jouf University, Sakaka P.O. Box 2014, Saudi Arabia
2
College-Department of Computer Sciences, Taif University, Khurma 2935, Saudi Arabia
3
Laboratory of Statistics and Probability, Sciences Faculty, Sfax University, Sfax 3029, Tunisia
*
Author to whom correspondence should be addressed.
Appl. Sci. 2023, 13(5), 2910; https://doi.org/10.3390/app13052910
Submission received: 25 January 2023 / Revised: 19 February 2023 / Accepted: 22 February 2023 / Published: 24 February 2023
(This article belongs to the Special Issue Advances in Wireless Communication Technologies)

Abstract

In this paper, we consider a coded cooperative communication network with multiple energy-harvesting (EH) relays. In order to adequately address the problem of error propagation due to the erroneous decoding at the relays, as in the case of conventional decode and forward (DF) relaying protocol, we propose coded cooperative schemes with hard information relaying (HIR) and soft information relaying (SIR) strategies. The performance of the relayed communication with EH relay depends crucially on the channel decoding capability at the relay, channel gains at the source–relay and relay–destination links, and ultimately on the power-splitting ratio of the relay EH receiver. The exact closed-form expression for the outage probability performance of the coded cooperative scheme with HIR strategy and relay selection (CC-HIR-RS) is derived for both cases, namely for constant and optimal power-splitting ratios. Concerning the coded cooperative scheme with SIR strategy, a Rayleigh Gaussian log likelihood ratio-based model is used to describe the soft estimated symbols at the output of the relay soft encoder. Directives are provided to determine the model parameters, and, accordingly, the signal-to-noise ratio (SNR) of the equivalent one-hop relaying channel is derived. A closed-form expression for the outage probability performance of the proposed coded cooperative scheme with SIR and relay selection (CC-SIR-RS) is derived. In addition, a fuzzy logic-based power-splitting scheme in EH relay applying SIR is proposed. The fading coefficients of the source–relay and relay–destination links and distance between source and relay node are considered as input parameters of the fuzzy logic system to obtain an appropriate power-splitting ratio that leads to a quasi-optimal SNR of the equivalent end-to-end channel. Monte Carlo simulations are presented to demonstrate the validity of the analytical results, and a comparison between the performance of the CC-HIR-RS scheme with constant and optimized power-splitting ratios and that of the CC-SIR-RS scheme with constant and fuzzy logic-based power-splitting ratios is provided.

1. Introduction

Several relaying strategies are applied in cooperative networks such as the amplify-and-forward (AF) [1], the decode-and-forward (DF) [2], and the coded cooperation (CC) [3] strategies. The relay node amplifies and forwards the received signal when deploying the AF protocol. This technique suffers from noise amplification. In contrast, the DF protocol allows one to decode source messages first and then forwards them to the destination. However, this approach assumes error-free decoding at the relay, which is not warranted in real networks, and error-propagation will affect the performance of the cooperative communication. In CC, cooperative signaling is integrated with channel coding. The idea is that nodes transmit incremental redundancy for their partner to mitigate error-propagation instead of direct relaying or repetition of messages. Coded cooperative schemes with low-density parity-check (LDPC) were presented in [4]. In [5], a joint source channel decoding for coded cooperative communication with error-corrupted relay observations was presented. The authors in [6] investigated the performance of a generalized distributed turbo codes-based coded cooperation scheme in a multiple relay network.
One effective forwarding technique for handling with erroneous decoding at the relay is the soft information relaying (SIR). In [7], SIR was proposed to attenuate the error-propagation from the relay node, and suitable distributed coding schemes were presented for soft re-encoding. It is worth noting that the performance of the cooperative scheme using SIR strategy depends crucially on the deployed model applied to the soft information message that is passed to the destination node. Most of the work in the literature model the soft estimated symbols as output of additive Gaussian channels. For instance, in the soft noise (SN) model presented in [8], the log likelihood ratios (LLRs) at the output of the relay soft encoder were mapped to soft bits with soft noise modeled as non-zero-mean Gaussian noise. The authors in [9] proposed the Gaussian LLR (GL)-based model where the LLRs at the output of the relay soft encoder were modeled as output LLRs of an additive Gaussian channel. Nevertheless, the authors in [10] used the soft scalar (SS) model, where the soft bits were modeled through a soft error and a soft scalar equivalent to a fading coefficient. It is worth noting that the estimation of the models’ parameters in [8,10] need the knowledge of the transmitted symbols. The statistical parameters are either estimated by means of training sequences or computed offline to proceed to decoding at the destination. However, it is of great interest to work with a model where the parameters are online determined and without additional cost.
In a multiple relay network, relay selection schemes are usually applied to enhance the diversity performance of cooperative communications [11]. Most relay selection criteria rely on the transmission reliability at the source–relay and relay–destination paths to minimize the sum bit error rate [12]. The reliability of paths and relay selection protocols depend on the deployed powers at each segment. Relay selection methods, such as partial [13,14] and opportunistic [11,15] selections, consider channel gains for the relay selection decision in DF and AF relaying techniques. In [16], the authors proposed relay selection schemes in two-way relay channels with SIR and network coding. Moreover, energy-harvesting (EH) and power-splitting based relaying protocol have gained a lot of attention over the last few years. EH is recognized as an efficient technique in which wireless devices collect radio-frequency signals from their surrounding environment to harvest energy [17]. In [18], energy constrained relays in an AF cooperative network were considered and power-splitting based relaying protocol were proposed to enable EH and information processing at the relay. The authors in [19] presented and analyzed relay selection schemes based on the maximization of the SNRs in different hops (first, second, and end-to-end) of a cooperative communication network with multiple EH and DF relays. In [20], the authors proposed an adaptive EH relay power transmission policy for minimizing the outage probability. In [21], an optimal power allocation scheme that jointly considers the optimization of the signal power-splitting ratio and the transmission power allocation was proposed. The authors in [22] studied and analyzed two relay selection schemes in EH cooperative networks with DF technique. They have shown that the lifetime of devices can be significantly improved when using EH. In [23], the authors proposed a joint optimization solution based on geometric programming and binary particle swarm optimization to solve the non-convex problem of joint power-splitting and source-relay selection in an EH relay network with DF. In [24], an optimal power allocation and relay selection strategy to select the optimal cooperative AF relay was proposed. In [25], the authors developed an approximation of the outage probability expression in a two-way relaying system with DF and EH. In a similar context, the authors in [26] proposed an optimal power-splitting and joint source relay selection scheme in a cooperative communication network with EH and DF relays.
In this work, we propose coded cooperative schemes with hard information relaying (HIR) and SIR strategies in a multiple EH relay network. The HIR and SIR strategies aim to adequately address the error-propagation problem due to the erroneous decoding at the relays. In the HIR strategy, only relays that correctly decode the received message from the source node are considered in the relay selection process. This may affect the diversity capacity in the case of erroneous decoding at the relays and supports the SIR strategy. In fact, in the SIR strategy, all available relays participate in the relay selection process, even if erroneous decoding occurs in some relays. Thus, SIR can be particularly useful when such relay channels have good channel fading coefficients on the forwarding relay–destination link. In addition, in the HIR strategy, cyclic redundancy check (CRC) bits are needed in the source message to verify the error-free decoding at the relay. This is not the case with the SIR strategy, but additional computational costs arise when using the SIR approach due to the calculation of soft estimated symbols and related modeling. The main contributions of this paper can be summarized as follows:
  • We propose a coded cooperative scheme with HIR strategy and relay selection (CC-HIR-RS). We derive the optimal power-splitting ratio that leads to the capacity maximization of the relaying channel. Exact closed-form expressions for the outage probability performance of the CC-HIR-RS with constant and optimal power-spitting ratios are derived.
  • We propose a coded cooperative scheme with SIR strategy and relay selection (CC-SIR-RS). First, we prove by means of the normal quantile–quantile (Q-Q) plot technique [27] that the LLRs at the output of the relay soft encoder, under Rayleigh fading channel at the different links, are not Gaussian, which puts the LLR-based GL model [9] in question. Therefore, the LLR-based soft estimated symbols at the output of the relay soft encoder are modeled as output LLRs of a Rayleigh fading channel with additive zero-mean Gaussian noise, which is referred to as a Rayleigh Gaussian LLR (RGL) model. Directives are provided to determine the parameters of the proposed model. In contrast to the SN model in [8] and SS model in [10], the parameters of the proposed RGL model are computed online and forwarded to the destination that is of practical interest. The adequacy of the proposed RGL model is experimentally justified by the outperformance of the coded cooperative scheme with SIR deploying the RGL model compared to that using the GL, SN, and SS models. Thereafter and according to the proposed RGL model, the SNR of the end-to-end relaying channel and a closed-form expression for the outage probability performance of the CC-SIR-RS scheme with constant power-splitting ratio are derived.
  • A fuzzy logic-based power-splitting scheme for an EH relay with SIR strategy is proposed. This solution takes into account the fading coefficients of the source–relay and relay–destination links and the distance between source and relay nodes as input parameters of the fuzzy logic system to deliver an appropriate power-splitting ratio, leading to a quasi-optimal SNR of the equivalent end-to-end link.
  • A comparative study on the outage probability performance of the CC-HIR-RS and CC-SIR-RS schemes is carried out, and Monte Carlo simulations are presented to demonstrate the validity of the analytical results.
The rest of this paper is organized as follows. Section 2 describes the transmission model. In Section 3, the CC-HIR-RS schemes with constant and optimal power-splitting ratios are presented, and closed-form expressions on the corresponding outage performances are derived. The CC-SIR-RS scheme is presented in Section 4, where the modeling for the soft estimated symbols and a closed-form expression on the outage performance are presented. A subsection is dedicated for the fuzzy logic-based power-splitting approach. In Section 5, Monte Carlo simulation results are presented and evaluated. Section 6 provides a conclusion.

2. Transmission Model

Consider a multiple relay cooperative communication where a source node S transmits information with the help of n R EH relay nodes R 1 , , R n R , as shown in Figure 1. The cooperation phase consists of two time-slots. In the first time-slot, the source node broadcasts a data message to the relay nodes. It is assumed that the direct links between source node and destination node are not available due to masking effects. In the second time-slot, the selected relay forwards the message to the destination node. Source and relay nodes are assumed to transmit through wireless orthogonal channels operating in a half-duplex mode. In the EH relay, the received source signal is divided with a power-splitter into two parts, where the first part is fed to the channel decoder and channel encoder, and the second part is used for supplying the power of message forwarding module. The power splitting ratio (PSR) of an EH relay R r is denoted by ρ r , ( 0 < ρ r < 1 ) , which is defined as the ratio of the energy harvested for the information forwarding to the total received energy. The remaining fraction 1 ρ r of the received energy is allocated for the decoding and re-encoding of the message.
Let u = ( u 1 , , u K ) be the information sequence of the source node S, where K denotes the information word length. In this work, the source node employs binary channel code of rate R S = K / N S , where N S denotes the source code-word length. Let c = ( c 1 , , c N S ) be the source code-word. The code bits of c are mapped into a modulated sequence x . A binary phase-shift keying (BPSK) modulation is considered. During the first time-slot, the received sequence at the rth relay node is expressed as
y S R r = h S R r P S R r x + n S R r ,
where h S R r is the channel fading coefficient at the S R r link, which is modeled as a Rayleigh distributed random variable with normalized second order moment, P S R r is the average received signal power at the EH relay node R r , and n S R r is the additive noise, which is modeled as a zero-mean Gaussian random variable with variance σ n 2 . In this paper, we consider quasi-static fading channels where the fading coefficients are constant within a block and change independently from one block to another. For the sake of fair comparison with the direct communication, let P S D be the received signal power at the destination node of the direct link as if the direct link between the source node and destination node were available; P S D is considered as the reference signal power, and, accordingly, the SNR of the received signal part at the EH relay node R r used to process the data from the source is expressed as
Γ S R r = | h S R r | 2 ( 1 ρ r ) G S R r P S D σ n 2 ,
where G S R r is referred to as the power gain of the S R r link and is given by d S D / d S R r α , whereby d S R r and d S D are, respectively, the normalized distances of the S R r and S D links, and α is the path-loss exponent. It is worth noting that the normalized distance of a link T x R x is given by d ^ T x R x / D T x , where d ^ T x R x is the Euclidean distance separating the node T x and R x , and D T x is a reference distance of the node T x  [28]. Let Γ ¯ S R r = ( 1 ρ r ) G S R r P S D / σ n 2 denote the average SNR of Γ S R r . The transmit power used for information relaying at the relay R r is expressed as
P R r = ρ r ν | h S R r | 2 G S R r P S D ,
where 0 < ν < 1 denotes the EH conversion efficiency of the receiver, which is assumed to be constant for all relay nodes. After receiving the messages from the source node in the first time-slot, the process of decoding and forwarding in the relays begins. The relay’s ability to correctly decode the source information or not has a crucial impact on system performance. Error-free decoding at the relay nodes is not guaranteed in real practice. If the relay node does not succeed in decoding the message correctly, then the forwarded code-word will suggest a wrong information sequence at the destination node, which is referred to as error-propagation. In the following sections we present coded cooperation schemes with hard and soft information relaying strategies and relay selection to address the issue of error-propagation.

3. Coded Cooperation with Hard Information Relaying and Relay Selection

In this section, we propose a coded cooperative scheme with hard information relaying and relay selection (CC-HIR-RS). In order to mitigate error-propagation from faulty relays and increase the communication performance, correct decoding of the messages should be ensured. Let R r be the selected relay to forward the information to the destination node. We assume that the received messages are decoded correctly at relay R r , then the hard decoded information is re-encoded with a channel encoder of rate R R = K / N R and transmitted to the destination node, where N R is the code-word length at the relay. The received signal at the destination node can be expressed as
y R r D = h R r D G S R r d R r D α R R R S ρ r ν | h S R r | 2 P S D x + n R r D ,
where h R r D is the channel fading coefficient at the R r D link, which is modeled as a Rayleigh distributed random variable with normalized second order moment, n R r D is the additive white Gaussian noise at the destination with variance σ n 2 , and d R r D is the normalized distance of the R r D link. The received SNR at the destination node from the signal y R r D is expressed as
Γ R r D = | h S R r | 2 | h R r D | 2 G S R r d R r D α R R R S ρ r ν P S D σ n 2 = | h S R r | 2 | h R r D | 2 Γ ¯ R r D ,
where Γ ¯ R r D = ( G S R r / d R r D α ) ( R R / R S ) ρ r ν P S D / σ n 2 denotes the average received signal power at the destination from the relay R r . The outage probability analyses of the proposed CC-HIR-RS scheme is performed in the next subsection.

3.1. Outage Probability Analyses of the CC-HIR-RS Scheme

Each relaying channel is a cascade of the two channels S R r and R r D with capacities C S R r and C R r D , respectively. On each channel, reliable communication at information rate R is possible only if R is less than the corresponding capacity. The capacity of the en-to-end channel S R r D is then given by the
C S R r D = min { C S R r , C R r D } ,
where
C T x R x = 1 2 log 2 1 + Γ T x R x , T x R x = S R r , R r D .
Hence, end-to-end reliable communication is possible only if R < C S R r D . In the following subsections, we will discuss and derive the closed-form outage probability of the the CC-HIR-RS scheme with constant PSR in all relays (hence, it is denoted as CC-HIR-RS-CPS) and of the CC-HIR-RS scheme with optimal power allocation in which the optimal PSR in each relay is determined to maximize the capacity of the end-to-end channel (hence, it is denoted as CC-HIR-RS-OPS).

3.1.1. CC-HIR-RS Scheme with Constant PSR (CC-HIR-RS-CPS)

In this subsection, we discuss the CC-HIR-RS-CPS scheme and perform the derivation of its exact closed-form outage probability expression. The PSR is assumed to be constant for all relays. In order to avoid error-propagation, only relays that correctly decode the received message from the source node are considered in the second time-slot of the cooperative transmission. This can be verified by means of a cyclic redundancy check (CRC) code, which allows one to check the correctness of the received message. To ensure that the messages are decoded correctly at the decoder of relay R r , the channel capacity of the S R r link should be no less than the information rate R. Hence, the set of candidate relays for forwarding the message can be given by
Ψ = { r : C S R r = 1 2 log 2 1 + Γ S R r > R } ,
where Γ S R r is given in (2). In the proposed CC-HIR-RS-CPS scheme, the best relay is selected based on maximizing Γ R r D through all relays that correctly decode the message from the source node. The best relay of the CC-HIR-RS-CPS scheme is obtained by the following expression:
R opt CC - HIR - RS - CPS = arg max R r , r Ψ { Γ R r D } = arg max R r , r Ψ { Γ ¯ R r D | h S R r | 2 | h R r D | 2 } .
For simple notation, let γ S R r = | h S R r | 2 and γ R r D = | h R r D | 2 ; γ S R r and γ R r D are exponential distributed with means γ ¯ S R r and γ ¯ R r D , respectively. The outage probability of the CC-HIR-RS-CPS occurs in the two cases described below:
  • Case 1: All source–relay links are in outage, i.e., Ψ = . The resulting outage probability is denoted by P 1 .
  • Case 2: Ψ , but the selected relay–destination link is in outage. The resulting outage probability is denoted by P 2 .
Hence, the outage probability of CC-HIR-RS-CPS system is expressed as
P out CC - HIR - RS - CPS = P 1 + P 2 ,
where
P 1 = r = 1 n R P ( Γ S R r < 2 2 R 1 ) = r = 1 n R ( 1 exp 2 2 R 1 Γ ¯ S R r )
and
P 2 = k = 1 n R n R k r Ψ k P ( Γ S R r < 2 2 R 1 ) r Ψ k P ( Γ S R r > 2 2 R 1 ) · P max r Ψ k { Γ ¯ R r D γ S R r γ R r D } < 2 2 R 1 = k = 1 n R n R k r Ψ k ( 1 exp 2 2 R 1 Γ ¯ S R r ) r Ψ k ( exp 2 2 R 1 Γ ¯ S R r ) r Ψ k P ( γ S R r γ R r D < 2 2 R 1 Γ ¯ R r D ) = k = 1 n R n R k r Ψ k ( 1 exp 2 2 R 1 Γ ¯ S R r ) r Ψ k ( exp 2 2 R 1 Γ ¯ S R r ) r Ψ k F γ S R r γ R r D ( 2 2 R 1 Γ ¯ R r D ) .
Here, F γ S R r γ R r D is the CDF of the random variable γ S R r γ R r D , which is expressed as
F γ S R r γ R r D ( γ ) = 1 P ( γ S R r γ R r D > γ ) = 1 0 P ( γ S R r > γ / x ) f γ R r D ( x ) d x = 1 0 exp γ / γ ¯ S R r x 1 γ ¯ R r D exp x / γ ¯ R r D d x = 1 2 γ γ ¯ S R r γ ¯ R r D K 1 ( 2 γ γ ¯ S R r γ ¯ R r D ) ,
as 0 exp a x b / x d x = 2 b / a K 1 ( 2 a b )  [29], where K 1 ( · ) is the first-order modified Besse function.

3.1.2. CC-HIR-RS Scheme with Optimal PSR (CC-HIR-RS-OPS)

The fraction 1 ρ r of the energy is used for the channel decoding and channel encoding processes, and the fraction ρ r of the received energy from the source node is harvested for information relaying during the second time-slot. Therefore, power allocation for each transmission slot will affect the quality of the end-to-end communication. In this section, we present an optimal power-splitting scheme and perform the derivation of the closed-form outage probability expression of the CC-HIR-RS-OPS scheme. As noted above, optimal power allocation aims to maximize the capacity of the end-to-end S R r D channel given in (6). Hence, the optimal PSR at the relay R r can be obtained as follows:
ρ r , opt HIR = arg max 0 < ρ r < 1 min { C S R r , C R r D } = arg max 0 < ρ r < 1 min ( 1 ρ r ) , R R R S 1 d R r D α ν ρ r | h R r D | 2 .
The optimal power allocation is attained if the powers in both channels are equal to maximize the capacity of the end-to-end channel [30]. Thus, the optimal PSR is obtained when the values in the the min { , } operator are equal, and hence
ρ r , opt HIR = 1 1 + R R R S 1 d R r D α ν | h R r D | 2 .
The capacity of the end-to-end S R r D channel when substituting (15) in (6) is expressed as
C S R r D , opt = 1 2 log 2 1 + G S R r ν | h R r D | 2 | h S R r | 2 R S R R d R r D α + ν | h R r D | 2 P S D σ n 2 .
The best relay selection criterion is expressed as
R opt CC - HIR - RS - OPS = arg max R r , r = 1 , , n R G S R r | h R r D | 2 | h S R r | 2 R S R R d R r D α + ν | h R r D | 2 .
Thus, the outage probability of the CC-HIR-RS-OPS scheme can be expressed as
P out HIR - CC - RS - OPS = P max r = 1 , , n R C S R r D , opt < R = r = 1 n R P | h S R r | 2 < Φ r d R r D α R S / R R | h R r D | 2 + Φ r ν = r = 1 n R 1 0 P γ S R r > Φ r d R r D α R S / R R x + Φ r ν f γ R r D ( x ) d x = r = 1 n R 1 1 γ ¯ R r D exp Φ r ν γ ¯ S R r 0 exp Φ r d R r D α R S / R R γ ¯ S R r x x γ ¯ R r D d x = r = 1 n R 1 2 exp Φ r ν γ ¯ S R r Φ r d R r D α R S / R R γ ¯ S R r γ ¯ R r D K 1 ( 2 Φ r d R r D α R S / R R γ ¯ S R r , γ ¯ R r D ) ,
where Φ r = ( 2 2 R 1 ) / ( ν G S R r P S D / σ n 2 ).

4. Coded Cooperation with Soft Information Relaying and Relay Selection

A way to address the problem of error-propagation is SIR, where the relay R r performs at first a SISO decoding of the received sequence y S R r . Thereafter, the resulting LLR sequence denoted by L ( u ^ ) = ( L ( u ^ 1 | y S R r ) , , L ( u ^ K | y S R r ) ) is fed into a soft channel encoder of rate R R to compute the LLRs of the relay code bits denoted by L ( R r ) ( c R , t | L ( u ^ ) ) , 1 t N R . In the proposed coded cooperative scheme with SIR and relay selection (CC-SIR-RS), the selected relay is invited to forward the LLRs L ( R r ) ( c R , t | L ( u ^ ) ) , 1 t N R , which are referred to as soft estimated symbols. Figure 2a shows the histogram of the LLRs for a given SNR per information bit. Figure 2b shows the normal Q-Q plot of the LLR distribution. A distribution is characterized as Gaussian if the normal Q-Q plot fits the y = x line. It is obvious that the Q-Q plot does not follow the y = x line. Hence, the distribution is non-Gaussian. For this reason, we assume that the output LLRs of the SISO encoder are rather affected by quasi-static channel fading coefficients beside the residual additive noise. This can be explained by the fact that channel decoding is able to average out the Gaussian noise but channel fading effect partially persists after decoding. For this reason, a soft estimated symbol is modeled by the following expression:
L ( R r ) ( c R , t | L ( u ^ ) ) = 2 h R r σ n R r 2 ( h R r x t + n R r , t ) , 1 t N R ,
where x t 1 , 1 is the BPSK modulated symbol after error-free decoding of the received sequence and hard output encoding, h R r is a block fading coefficient and is considered as a quasi-static Rayleigh distributed fading coefficient, and n R r , t is a Gaussian distributed random variable with zero-mean and variance σ n R r 2 . Hence, the model is referred to as a Rayleigh Gaussian LLR (RGL) model. Let Γ R r = h R r 2 / σ n R r 2 be the obtained SNR at the output of the soft encoder. By means of the moment method (MM), Γ R r can be calculated as follows:
Γ R r = 1 2 ( 1 + E 2 1 ) ,
where E 2 is the second order moment of the soft estimated symbols ( L ( R r ) ( c R , 1 ) , , L ( R r ) ( c R , N R ) ) . We note that Γ R r is calculated online and forwarded to the destination that is of practical interest. The soft estimated symbols are scaled with a block normalization factor β R r that remains constant during a block transmission and is computed as follows:
β R r = 1 E { L ( R r ) ( c R ) 2 } = 1 2 Γ R r 2 + Γ R r .
The received symbol at time t in destination node D is expressed as
y R r D , t = h R r D G S R r d R r D α R R R S ρ r ν | h S R r | 2 P S D β R r L ( R r ) ( c R , t ) + n R r D , t ,
where n R r D , t is a zero-mean additive white Gaussian noise with variance σ n 2 .
To justify the adequacy of using the RGL model in a coded cooperative scheme with SIR strategy, Section 5 provides a comparison between the outage performance of the CC-SIR-RS scheme deploying the RGL model and that deploying the following models:
  • The Gaussian LLR (GL) model [9]: The output LLRs at the output of the relay soft encoder are modeled by the following expression:
    L ( c R , t | L ( u ^ ) ) = 2 σ n 2 ( x t + n t G L ) , 1 t N R ,
    where n G L is assumed to be a Gaussian distributed noise with zero mean and variance
    σ n G L 2 = 2 E 2 ( 1 + 1 + E 2 ) ,
    where, similar to the RGL model, E 2 is the second order moment of the LLR sequence at the output of the relay soft encoder that is scaled with a block normalization factor β G L = 1 / E { L ( c R ) 2 } before being forwarded to the destination node.
  • The soft noise (SN) model [8]: The LLRs at the output of the relay soft encoder are entered into a tan gh ( L L R / 2 ) operator and the so-called resulting soft bits x ˜ are modeled by
    x ˜ t = x t ( 1 n t S N ) , 1 t N R ,
    where n S N is a Gaussian distributed noise with mean μ n S N = E { 1 x x ˜ } and variance σ n S N 2 = E { 1 x x ˜ μ n S N } ; μ n S N and σ n S N 2 are calculated offline for each relevant SNR [8]. The soft bits are scaled with a block normalization factor β S N = 1 / ( 1 μ n S N ) 2 + σ n S N 2 before being forwarded to the destination node.
  • The soft scalar (SS) model [10]: The model is also based on soft bits as in the SN model. The soft bits are modeled by
    x ˜ t = h S S x t + n t S S , 1 t N R ,
    where h S S is the soft scalar, which is viewed as an equivalent fading coefficient, and n S S is the soft error. The soft scalar is computed by h S S = ( 1 / N R ) t = 1 N R [ x t x ˜ t ] , and the variance of the soft error is computed by σ n S S 2 = σ x ˜ 2 h S S 2 , where σ x ˜ 2 is the variance of x ˜ . The soft scalar and the variance of the soft error are computed offline for each relevant SNR [10]. The soft bits are scaled with a block normalization factor β S S = 1 / h S S 2 + σ n S S 2 before being forwarded to the destination node.
In the remainder of this paper, the SIR strategy deployed in the coded cooperative scheme refers to the RGL model given in (19) with resolved parameter given in (20) in and block normalization factor given in (21).

4.1. Outage Probability Analyses of the CC-SIR-RS Scheme

Referring to (19), (21), and (22), the SNR of the equivalent end-to-end channel S R r D , denoted by Γ S R r D , is calculated as follows:
Γ S R r D = G S R r 1 d R r D α ρ r ν R R R S P S D σ n 2 | h S R r | 2 | h R r D | 2 Γ R r G S R r 1 d R r D α ρ r ν R R R S P S D σ n 2 | h S R r | 2 | h R r D | 2 + Γ R r + 1 = Γ ¯ R r D γ S R r γ R r D Γ R r Γ ¯ R r D γ R r D γ S R r + Γ R r + 1 ,
where Γ ¯ R r D = ( G S R r / d R r D α ) ( R R / R S ) ρ r ν ( P S D / σ n 2 ) . It is worth noting that γ S R r , γ R r D , and Γ R r are assumed to be independent and exponential distributed with parameters, γ ¯ S R r , γ ¯ R r D , and Γ ¯ R r , where Γ ¯ R r is obtained by averaging Γ R r in (20) over a sufficiently large number of blocks. The best relay of the CC-SIR-RS scheme is obtained by the following expression:
R opt CC - SIR - RS = arg max R r , r = 1 , , n R { Γ S R r D } .
Assuming constant PSR for each relay, then the outage probability of the CC-SIR-RS-CPS scheme is given by the following expression:
P out CC - SIR - RS - CPS = P max r = 1 , , n R Γ S R r D < 2 2 R 1 = r = 1 n R P γ S R r γ R r D < ϕ r Γ R r + 1 Γ R r ( 2 2 R 1 ) = r = 1 n R 2 2 R 1 F γ S R r γ R r D ϕ r x + 1 x ( 2 2 R 1 ) f Γ R r ( x ) d x = r = 1 n R 2 2 R 1 2 ϕ r x + 1 γ ¯ S R r γ ¯ R r D ( x ( 2 2 R 1 ) ) · K 1 2 ϕ r x + 1 γ ¯ S R r γ ¯ R r D ( x ( 2 2 R 1 ) ) 1 Γ ¯ R r exp x Γ ¯ R r d x ,
where ϕ r = ( 2 2 R 1 ) / Γ ¯ R r D . The evaluation of the integral in (29) is not a trivial. For this reason, we apply the Monte Carlo method [31], which leads to the following approximation:
P out CC - SIR - RS - CPS r = 1 n R 1 M i = 1 M 2 ϕ r x i + 1 γ ¯ S R r γ ¯ R r D ( x i ( 2 2 R 1 ) ) K 1 2 ϕ r x i + 1 γ ¯ S R r γ ¯ R r D ( x i ( 2 2 R 1 ) ) ,
where x i , i = 1 , , M , are M realizations generated with respect to the distribution f Γ R r with x i > 2 2 R 1 .

4.2. CC-SIR-RS Scheme with Fuzzy Logic-Based Power-Splitting

A convenient power-splitting policy is required to improve the performance of the CC-SIR-RS scheme. To this end, the equivalent SNR of each end-to-end channel S R r D is intended to be maximized by means of the appropriate power-splitting ratio. In other words, the optimal PSR, denoted by ρ r , opt SIR , is obtained by the following expression:
ρ r , opt SIR = arg max 0 < ρ r < 1 Γ S R r D .
It is worth noting that the optimization in (31) is not feasible in real-time, as Γ S R r D depends on, among others, Γ R r , which should be measured for each value of ρ r , 0 < ρ r < 1 , before taking a decision. To address this issue, we make use of the fuzzy logic [32]. The complexity of the fuzzy logic is low where its computational cost is O ( n )  [33]. In this work, fuzzy logic is meant to provide a balanced solution between the fading coefficients in the source–relay and relay–destination channels, and the distance between the source and relay nodes on the one hand and the PSR on the other hand. These stated parameters could be conflicting, and thus the proposed fuzzy logic-based approach aims to select the appropriate PSR to improve the performance of the coded cooperative communication. This is attained by properly combining the fading coefficients and source–relay distance to obtain a sub-optimal PSR denoted by ρ r * , leading to a quasi-optimal SNR of the equivalent end-to-end channel denoted by Γ S R r D * . The actual input parameters of the proposed fuzzy logic system are the channel coefficients h S R r and h R r D and the distance between source and relay nodes d S R r . In order to perform the fuzzification process, the input variables h S R r , h R r D , and d S R r are, respectively, fuzzified in fuzzy sets X 1 , X 2 , and X 3 using the linguistic labels X 1 = { weak , average , strong } , X 2 = { weak , average , strong } , and X 3 = { near , medium , far } . The state’s variables in the fuzzy sets X 1 , X 2 , and X 3 are mapped into the output fuzzy set Y = ( ρ ( 1 ) , ρ ( 2 ) , , ρ ( 9 ) ) referring to the quasi-optimal PSR, where ρ ( i ) = i · 0.1 . In this work, we opt for generic trapezoidal function to describe the implied linguistic elements mathematically [34]. The trapezoidal function maps each element x into a degree of membership in the interval [ 0 , 1 ] , which is denoted by μ ( x ) . The fuzzy membership functions for the input and output fuzzy sets are outlined in Figure 3.
We have 27 fuzzy rules as we have 3 fuzzy input sets and each of them has 3 states. The mapping is realized through the arrangement of the if--then rules in the form:
      IF  X 1  is  x 1  and  X 2  is  x 2  and  X 3  is  x 3  THEN Y is y.
The 27 rules are given in Table 1. For each trial with given inputs, the SNR of the equivalent end-to-end channel Γ S R r D is calculated for each element in the set of PSRs. Accordingly, the quasi-optimal PSR, denoted by ρ r * , is determined by selecting the best one leading to the best Γ S R r D .
We note that for each trial we have nine possible scenarios. The PSR that leads to the best equivalent SNR is considered. In other words, the statement about Γ S R r D indicates the degree of relevance of the power-splitting fuzzy value. To convert the fuzzy set into the appropriate crisp output, let us consider an example of defuzzification in which h S R r = 0.85 , h R r D = 1.8 , and d S R r = 0.5 . From Figure 3a, the channel coefficient h S R r is classified as weak with μ ( x 1 ) = 0.86 and average with μ ( x 1 ) = 0.14 , which is represented by the set X 1 = { ( weak , 0.86 ) , ( average , 0.14 ) } ; the channel coefficient h R r D is classified as average with μ ( x 2 ) = 0.6 and strong with μ ( x 2 ) = 0.4 , which is represented by the set X 2 = { ( average , 0.6 ) , ( strong , 0.4 ) } ; and the distance d S R r is classified as medium with μ ( x 3 ) = 1.0 , which is represented by the set X 3 = { ( medium , 1.0 ) } . The PSR of this example is determined by the combination of the following four elements Y = { ( ρ ( 5 ) , 0.6 ) , ( ρ ( 5 ) , 0.4 ) , ( ρ ( 6 ) , 0.14 ) , ( ρ ( 5 ) , 0.14 ) } , where each element ( y , μ ( y ) ) in Y results according to the input triplet ( ( x 1 , μ ( x 1 ) ) , ( x 2 , μ ( x 2 ) ) , and ( x 3 , μ ( x 3 ) ) ) , where y is obtained as outlined in Table 1, and the membership degree μ ( y ) is given by min { μ ( x 1 ) , μ ( x 2 ) , μ ( x 3 ) } . For instance, the triplet ( ( weak , 0.86 ) , ( average , 0.6 ) , ( medium , 0.6 ) ) leads to the output element ( y , μ ( y ) ) = ( ρ ( 5 ) , 0.6 ) . Thereafter, the four elements of Y are combined to obtain the fuzzy output. In this work, the crisp value of this fuzzy operation is given by calculating the weighted average [35], which is expressed by ρ r * = x μ ( x ) / μ ( x ) , where x is the point with maximum membership value and μ ( x ) is the membership value corresponding to the maximum. In this example, ρ r * is 0.511 .
The SNR of the equivalent end-to-end channel, resulting from the deployment of the PSR ρ r * , is denoted by Γ S R r D * . Accordingly, the opportunistic relay selection scheme is formulated as follows:
R opt CC - SIR - RS - FLPS = arg max r = 1 , , n R Γ S R r D * .
Note that the proposed CC-SIR-RS scheme applying the fuzzy logic-based power-splitting is referred to as the CC-SIR-RS-FLPS scheme.

5. Simulation Results

In this section, the outage performance of the proposed coded cooperative schemes applying the HIR and SIR strategies and relay selection in multiple EH relay channels is analyzed and evaluated. The analytical results are based on the aforementioned analyses and confirmed using Monte Carlo simulations. The simulation results are evaluated by deploying the following parameters. The source node applies 4-states terminated recursive systematic convolutional code of rate R S = 1 / 2 and generator polynomials ( 1 , 5 / 7 ) . The relays apply 4-states terminated non-recursive convolutional codes of rate R R = 1 / 2 and generator polynomials ( 5 , 7 ) . The length of the information block is K = 100 . The transmitted symbols from the source are BPSK symbols. We assume that the transmission links between any two nodes are quasi-static Rayleigh fading channels with scale parameter 1 / 2 . The noise variance σ n 2 is calculated according to the received SNR per information bit E b / N 0 at the destination node of the direct link, as if the source–destination link were available. Hence, P S D / σ n 2 is substituted by 2 R S E b / N 0 . All distances involved in the calculation of the power gains are normalized distances, and we assume that d S D is unity and d S R r + d R r D = 1 , r = 1 , , n R . Without loss of generality, we consider a set of four available relays { R 1 , R 2 , R 3 , R 4 } where the normalized distances between the source node and relay nodes are d S R 1 = 0.5 , d S R 2 = 0.5 , d S R 3 = 0.25 , and d S R 4 = 0.75 . The best relay among the relay set or subset will be selected to forward the message to the destination node. The path-loss exponent is α = 2.7 , which is usually used for an urban cellular network environment [18]. The EH conversion efficiency ν is set to 0.8 for all EH relays.
Figure 4 illustrates the exact analytical and simulated results of the outage probabilities versus SNR per information bit E b / N 0 at the destination node of the CC-HIR-RS-CPS ( ρ r = 0.5 for all relays) and CC-HIR-RS-OPS schemes for different numbers of relays. The threshold information rate R is set to 0.5 bit/s/Hz. We first observe that the numerical analyses agree very well with the Monte Carlo simulation results for the CC-HIR-RS-CPS as well as for the CC-HIR-RS-OPS schemes, confirming the validity of our analyses. As shown in Figure 4, the outage probability of the conventional DF relaying is better than that of the CC-HIR-RS-CPS and CC-HIR-RS-OPS schemes at very low SNRs, and from a certain SNR value the performance of the coded cooperative schemes becomes better. This is traceable to the coding gain induced by the coded cooperative strategy. In addition, the figure shows that the performances of the CC-HIR-CPS and CC-HIR-OPS schemes with a single relay are better than that of the direct communication, which validates the effectiveness of the coded cooperation with HIR strategy, be it by applying constant or optimized power-splitting ratios. The results also show that the outage probability decreases significantly when increasing the relay number, which confirms that the diversity order of the proposed coded cooperative scheme with HIR strategy grows when the number of relays increases. Moreover, it can be seen from Figure 4 that the outage probability of the CC-HIR-RS-OPS scheme is lower than that of the CC-HIR-RS-CPS scheme in the whole SNR region, which confirms the usefulness of the proposed power-splitting ratio optimization.
Figure 5 depicts the approximated analytical and simulated outage probabilities versus SNR per information bit E b / N 0 at the destination node of the CC-SIR-RS-CPS ( ρ r = 0.5 for all relays) as well as the simulated outage probability results of the CC-SIR-RS-FLPS scheme for different number of relays and R = 0.5 bit/s/Hz. We note that the CC-SIR-RS scheme refers to the SIR strategy with RGL model as long as no confusion occurs. No analytical results on the performance of the CC-SIR-RS-FLPS is provided yet, as the statistical distribution on the fuzzy logic-basis power-splitting ratio is not available analytically. Nonetheless, the proposed approximation on the outage probability of the CC-SIR-RS-CPS scheme given in (30) is very close to the simulation results. This finding confirms that the proposed analytical approximation of the outage probability is accurate enough and validates the adequacy of using the Monte Carlo method to calculate the integral in (29). In addition, Figure 5 reveals that the outage performance of the CC-SIR-RS-FLPS is better than that of the CC-SIR-RS-CPS for the whole range of SNR, which confirms the benefit of the fuzzy logic-based power-splitting approach. The outage performance behavior of the CC-SIR-RS scheme is similar to that of the CC-HIR-RS scheme with regard to increasing the number of relays and compared to the outage performance of the one relay communication with conventional DF strategy and that of the direct link communication.
In addition, Figure 6 illustrates that the performance of the coded cooperative scheme with SIR deploying the proposed RGL model is better than that using the GL, SN, and SS models. The experiment is carried out for one relay ( R 1 ) , constant PSR ρ = 0.5 , and threshold information rate R = 0.5 bit/s/Hz. The figure shows that the performance of the coded cooperative scheme with SIR improves by approximately 1.7 dB, 1.4 dB, and 0.6 dB when using the RGL model compared to that using the SN, GL, and SS models, respectively, at the outage probability of 10 2 . This finding reveals that applying the RGL model is adequate for modelling the soft estimated symbols at the output of the relay soft encoder the SIR strategy, when the source–relay and relay–destination links experience Rayleigh fading.
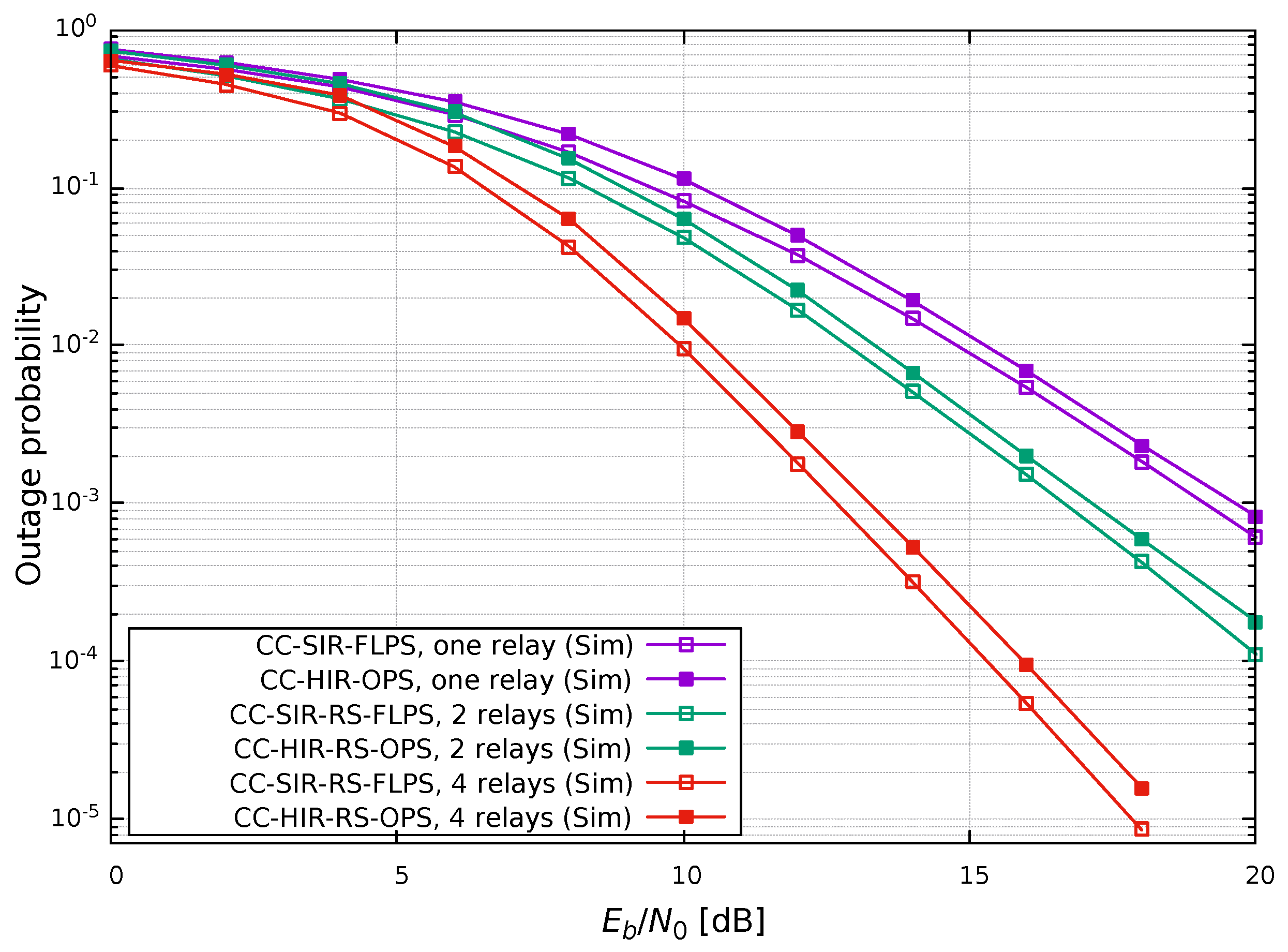
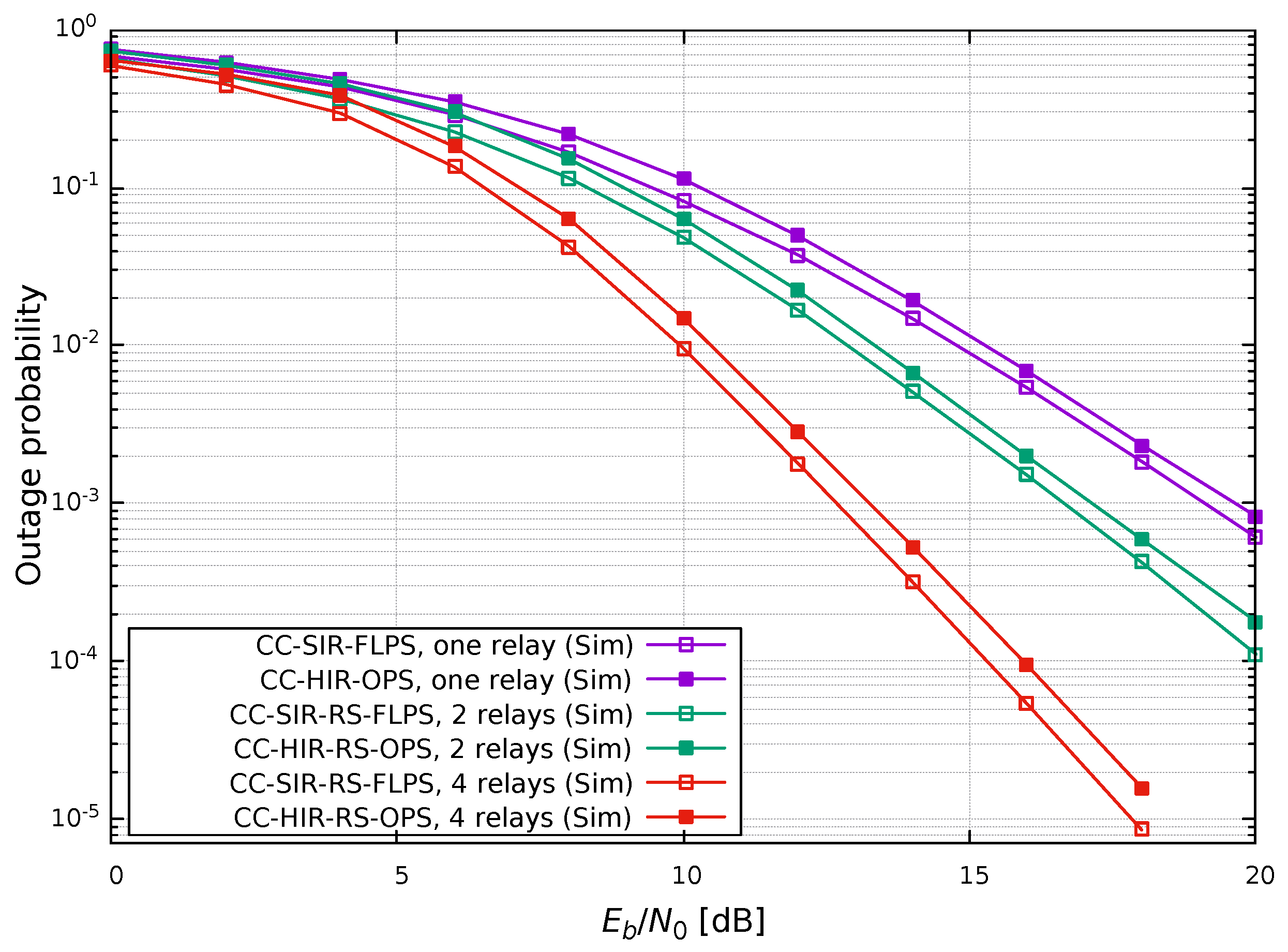
For the purpose of comparison between HIR and SIR strategies, Figure 7 illustrates the simulated outage probabilities of the CC-HIR-RS-OPS and CC-HIR-RS-FLPS schemes, which shows that the outage performance of the CC-SIR-RS-FLPS is slightly better than that of the CC-HIR-RS-OPS, whereas the outage performance comparison between the CC-HIR-RS-CPS and CC-SIR-RS-CPS schemes could be simply interpreted from Figure 4 and Figure 5. It is worth noting that the simulations are carried out considering the SNR costs per information bit due to the CRC code applied by the HIR strategy to verify the error-free decoding of the received message from the source. In other words, the code rate at the relays with HIR strategy is R R = K / ( N R + N C R C ) , where N C R C is the number of additional check bits due to the CRC code and is equal to 16 in this work.
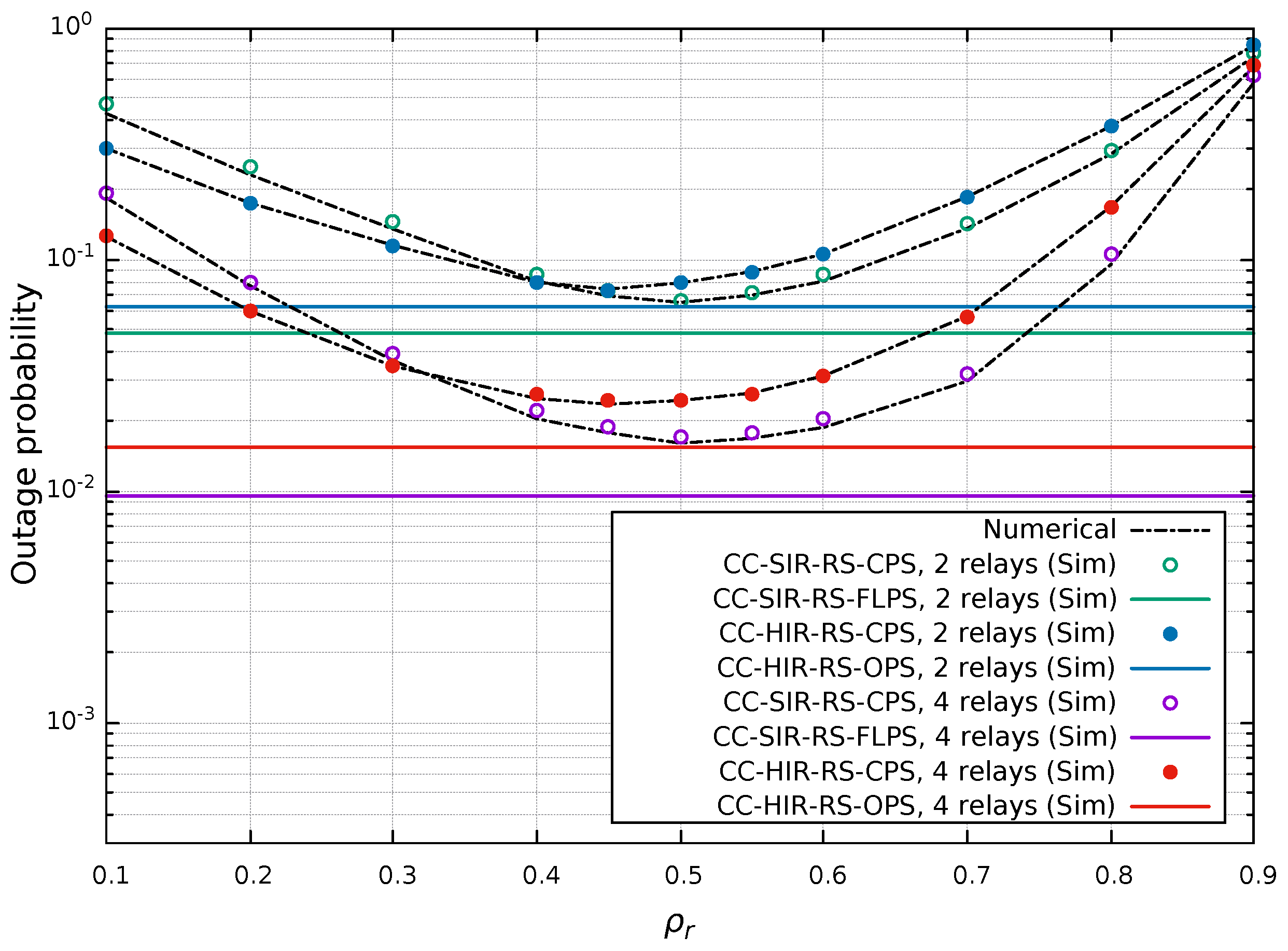
In addition, Figure 8 shows the outage probability of the CC-HIR-RS-CPS and CC-SIR-RS-CPS schemes when applying different PSRs in the interval 0.1 , 0.9 . The performance of the CC-HIR-RS-OPS and CC-SIR-RS-FLPS schemes are also depicted through constant lines displaying the outage probabilities for a given relay number. The simulations are carried out for relay selection schemes with two and four relays, E b / N 0 = 10 dB, and threshold information rate R = 0.5 bit/s/Hz. The figure shows that the PSRs that attain the best outage performance for the CC-HIR-RS-CPS and CC-SIR-RS-CPS schemes are approximately 0.45 and 0.5 , respectively. Moreover, Figure 8 reveals that the outage probabilities of the CC-HIR-RS-CPS scheme are lower than those of the CC-SIR-RS-CPS scheme at lower PSRs. However, the outage performance of the CC-SIR-RS-CPS scheme becomes better than that of the CC-SIR-RS-CPS scheme from a certain PSR value. This can be explained by the fact that for small PSRs, the part of EH power allocated for message decoding at the relay is high and helps to ensure error-free decoding at the relay, and therefore more relays are candidates for relay selection. However, the part of power allocated for decoding is small at high PSR levels, and, accordingly, the probability of error-free decoding at the relay decreases, leaving fewer relays for relay selection. This supports the CC-SIR-RS scheme, where, even with low power levels allocated for relay decoding, all available relays participate in the relay selection process, even with error-prone decoding. This can be helpful, especially when such relay channels have good channel fading coefficients on the forwarding relay–destination link. This explains the out-performance of the CC-SIR-RS scheme compared to that of the CC-HIR-RS scheme at higher power splitting ratios. It can also be seen from Figure 8 that the outage performances of CC-HIR-RS-OPS and CC-SIR-RS-FLPS schemes are higher than those of the CC-HIR-RS-CPS and CC-SIR-RS-CPS schemes, respectively, for the whole range of PSR values. The observed gain is due to the deployment of optimized power-splitting and fuzzy logic-based power-splitting schemes with HIR and SIR strategies, respectively.
Figure 9 shows the analytical and simulated outage performance results of the CC-HIR-RS and CC-SIR-RS schemes when varying the distance between the source node and relays d S R r in the interval [ 0 , 1 , 0.9 ] for E b / N 0 = 10 dB, n R = 4 , and R = 0.5 bit/s/Hz. The figure shows that the outage performances of the proposed schemes decrease when the relays move toward the destination node. This can be explained by the fact that if the distance between the source node and the relay is small, the error-free decoding performance of the coded cooperative relay is higher because the receiving power at the relay is high and the outage performance of the coded cooperative schemes will therefore increase. However, as the distance between the source node and the relay increases, less energy is harvested at the relay, which affects the transmit power of the relay phase and consequently increases the outage probability of the system. In addition, the figure shows that the performance of the CC-HIR-RS scheme is better than that of the CC-SIR-RS scheme for low source–relay distances. This is due to the improved diversity capacity provided by the coded cooperative scheme with the HIR strategy, as error-free decoding is more likely when relays are close to the source node, and therefore more candidate relays are involved in the proposed relay selection scheme. Therefore, outage performance is improved by improving diversity capacity.

6. Conclusions

In this paper, we are concerned with the outage performance of coded cooperative schemes with relay selection deploying HIR and SIR strategies in multiple EH relays. Both schemes are proposed to address the issue of error-propagation due to erroneous decoding at the relays. For the CC-HIR-RS scheme, we derived the optimal power-splitting ratio that leads to the capacity maximization of the relaying channel. Exact closed-form expressions for the outage probability performance of the CC-HIR-RS with constant and optimal power-spitting ratios were derived. Concerning the proposed CC-SIR-RS scheme, we derived the SNR of the equivalent end-to-end relaying channel through the proposed modeling of the LLRs at the output of the relay soft encoder. Accordingly, a relay selection scheme was proposed by the maximization of the resulting SNRs at different end-to-end relaying channels. The proposed SIR-based relay selection criterion can be considered as a composite criterion as the SNR of each equivalent one-hop channel incorporates the forwarded errors from the corresponding relay and reflects the goodness of the whole relaying channel properties. In addition, we proposed a fuzzy logic-based power-splitting scheme in order to choose an appropriate power-splitting ratio leading to a quasi-optimal SNR in each end-to-end relaying channel. A closed-form expression for the CC-SIR-RS with constant power-splitting ratio was derived. The performance evaluation results show the closeness of the proposed numerical analysis to the experimental results, showing that the CC-HIR-RS scheme performs slightly better than the CC-SIR-RS scheme, even at low power-splitting ratios, as at low source-relay distances, which is due to the improved diversity capacity; however, the SIR strategy gets better at medium and high power-splitting ratios and source-relay distances.

Author Contributions

The contribution of S.C. was to propose the main ideas and carry out the performance evaluations by theoretical analysis and simulations; O.A. worked as the advisor to discuss and advise the main ideas and performance evaluations. C.H. proposed the idea of using fuzzy logic approach for power splitting. A.A. reviewed the manuscript and provided valuable suggestions. A.M. applied the Q-Q plot on the LLR distribution and reviewed and approved the mathematical developments. All authors have read and agreed the published version of the manuscript.

Funding

This work was funded by the Deanship of Scientific Research at Jouf University under grant No. (DSR-2021-02-0368).

Institutional Review Board Statement

Not applicable.

Informed Consent Statement

Not applicable.

Data Availability Statement

Not applicable.

Acknowledgments

The authors extend their appreciation to the Deanship of Scientific Research at Jouf University for funding this work through research grant No. (DSR-2021-02-0368).

Conflicts of Interest

The authors declare that there were no disclosed possible conflict of interest relevant to the research.

References

  1. Popovski, P.; Yomo, H. Wireless network coding by amplify-and-forward for bi-directional traffic flows. Commun. Lett. IEEE 2007, 11, 16–18. [Google Scholar] [CrossRef]
  2. Woldegebreal, D.H.; Karl, H. Network-coding-based adaptive decode and forward cooperative transmission in a wireless network: Outage analysis. In Proceedings of the 13th European Wireless Conference, Paris, France, 1–4 April 2007. [Google Scholar]
  3. Vu, T.X.; Duhamel, P.; Di Renzo, M. Performance analysis of network coded cooperation with channel coding and adaptive DF-based relaying in Rayleigh fading channels. IEEE Signal Process. Lett. 2015, 22, 1354–1358. [Google Scholar] [CrossRef]
  4. Razaghi, P.; Yu, W. Bilayer low-density parity-check codes for decode-and-forward in relay channels. IEEE Trans. Inf. Theory 2007, 53, 3723–3739. [Google Scholar] [CrossRef]
  5. Abdessalem, M.B.; Zribi, A.; Matsumoto, T.; Bouallègue, A. Graph-based Joint Source Channel LDPC decoding for cooperative communication with error-corrupted relay observations. In Proceedings of the 2017 13th International Wireless Communications and Mobile Computing Conference (IWCMC), Valencia, Spain, 26–30 June 2017; pp. 1588–1593. [Google Scholar]
  6. An, J.; Li, C. Performance Analysis of Coded Cooperation Based on Distributed Turbo Codes with Multiple Relays. J. Commun. 2016, 11, 667–676. [Google Scholar] [CrossRef]
  7. Weitkemper, P.; Wübben, D.; Kühn, V.; Kammeyer, K.D. Soft information relaying for wireless networks with error-prone source-relay link. In Proceedings of the Source and Channel Coding (SCC), 2008 7th International ITG Conference on VDE, Ulm, Germany, 14–16 January 2008; pp. 1–6. [Google Scholar]
  8. Li, Y.; Vucetic, B.; Wong, T.F.; Dohler, M. Distributed turbo coding with soft information relaying in multihop relay networks. IEEE J. Sel. Areas Commun. 2006, 24, 2040–2050. [Google Scholar] [CrossRef]
  9. Ben Chikha, H.; Chaoui, S.; Dayoub, I.; Rouvaen, J.M.; Attia, R. A parallel concatenated convolutional-based distributed coded cooperation scheme for relay channels. Wirel. Pers. Commun. 2012, 67, 951–969. [Google Scholar] [CrossRef]
  10. Jayakody, D.N.; Flanagan, M.F. A soft decode-compress-forward relaying scheme for cooperative wireless networks. IEEE TRansactions Veh. Technol. 2015, 65, 3033–3041. [Google Scholar] [CrossRef]
  11. Ikki, S.S.; Ahmed, M.H. Performance analysis of adaptive decode-and-forward cooperative diversity networks with best-relay selection. IEEE Trans. Commun. 2010, 58, 68–72. [Google Scholar] [CrossRef]
  12. Abdulhadi, S.; Jaseemuddin, M.; Anpalagan, A. A survey of distributed relay selection schemes in cooperative wireless ad hoc networks. Wirel. Pers. Commun. 2012, 63, 917–935. [Google Scholar] [CrossRef]
  13. Bao, V.N.Q.; Kong, H.Y. Performance analysis of decode-and-forward relaying with partial relay selection for multihop transmission over Rayleigh fading channels. J. Commun. Netw. 2010, 12, 433–441. [Google Scholar] [CrossRef]
  14. Su, Y.; Lu, X.; Zhao, Y.; Huang, L.; Du, X. Cooperative communications with relay selection based on deep reinforcement learning in wireless sensor networks. IEEE Sens. J. 2019, 19, 9561–9569. [Google Scholar] [CrossRef]
  15. Duy, T.T.; Kong, H.Y. Performance analysis of hybrid decode-amplify-forward incremental relaying cooperative diversity protocol using SNR-based relay selection. J. Commun. Netw. 2012, 14, 703–709. [Google Scholar] [CrossRef]
  16. Chaoui, S. Network-coded SIR-based relay selection for multiple-relay TWRC. Telecommun. Syst. 2016, 63, 579–591. [Google Scholar] [CrossRef]
  17. Paradiso, J.A.; Starner, T. Energy scavenging for mobile and wireless electronics. IEEE Pervasive Comput. 2005, 4, 18–27. [Google Scholar] [CrossRef]
  18. Nasir, A.A.; Zhou, X.; Durrani, S.; Kennedy, R.A. Relaying protocols for wireless energy harvesting and information processing. IEEE Trans. Wirel. Commun. 2013, 12, 3622–3636. [Google Scholar] [CrossRef]
  19. Son, P.N.; Kong, H.Y. Energy-harvesting relay selection schemes for decode-and-forward dual-hop networks. IEICE Trans. Commun. 2015, 98, 2485–2495. [Google Scholar] [CrossRef]
  20. Li, W.; Ku, M.L.; Chen, Y.; Liu, K.R. On outage probability for two-way relay networks with stochastic energy harvesting. IEEE Trans. Commun. 2016, 64, 1901–1915. [Google Scholar] [CrossRef]
  21. Men, J.; Ge, J.; Zhang, C.; Li, J. Joint optimal power allocation and relay selection scheme in energy harvesting asymmetric two-way relaying system. Iet Commun. 2015, 9, 1421–1426. [Google Scholar] [CrossRef]
  22. Do, N.T.; Bao, V.N.Q.; An, B. Outage performance analysis of relay selection schemes in wireless energy harvesting cooperative networks over non-identical rayleigh fading channels. Sensors 2016, 16, 295. [Google Scholar] [CrossRef]
  23. Alsharoa, A.; Ghazzai, H.; Kamal, A.E.; Kadri, A. Optimization of a power splitting protocol for two-way multiple energy harvesting relay system. IEEE Trans. Green Commun. Netw. 2017, 1, 444–457. [Google Scholar] [CrossRef]
  24. Song, X.; Xu, S. Joint optimal power allocation and relay selection in full-duplex energy harvesting relay networks. In Proceedings of the 2018 10th International Conference on Communication Software and Networks (ICCSN), Chengdu, China, 6–9 July 2018; pp. 80–84. [Google Scholar]
  25. Toan, H.V.; Hoang, T.M.; Dung, L.T. Outage Probability Analysis of Decode-and-Forward Two-Way Relaying System with Energy Harvesting Relay. Wirel. Commun. Mob. Comput. 2020, 2020, 1–13. [Google Scholar] [CrossRef]
  26. Jiang, X.; Li, P.; Wang, R. Power Splitting and Source-Relay Selection in Energy Harvesting Wireless Network. Wirel. Pers. Commun. 2022, 124, 2141–2160. [Google Scholar] [CrossRef]
  27. Dallal, G.E.; Wilkinson, L. An analytic approximation to the distribution of Lilliefors’s test statistic for normality. Am. Stat. 1986, 40, 294–296. [Google Scholar]
  28. Yi, Z.; Kim, I.M. Relay ordering in a multi-hop cooperative diversity network. IEEE Trans. Commun. 2009, 57, 2590–2596. [Google Scholar] [CrossRef]
  29. Zwillinger, D.; Jeffrey, A. Table of Integrals, Series, and Products; Elsevier: Amsterdam, The Netherlands, 2007. [Google Scholar]
  30. Qi, Z.; Jingmei, Z.; Chunju, S.; Ying, W.; Ping, Z.; Rong, H. Power allocation for regenerative relay channel with Rayleigh fading. In Proceedings of the 2004 IEEE 59th Vehicular Technology Conference. VTC 2004-Spring (IEEE Cat. No. 04CH37514), Milan, Italy, 17–19 May 2004; Volume 2, pp. 1167–1171. [Google Scholar]
  31. Seila, A.F. Simulation and the Monte Carlo Method; John Wiley & Sons: Hoboken, NJ, USA, 1982. [Google Scholar]
  32. Rao, D.; Saraf, S. Study of defuzzification methods of fuzzy logic controller for speed control of a DC motor. In Proceedings of the International Conference On Power Electronics, Drives and Energy Systems for Industrial Growth, New Delhi, India, 8–11 January 1996; Volume 2, pp. 782–787. [Google Scholar]
  33. Adeli, H.; Sarma, K.C. Cost Optimization of Structures: Fuzzy Logic, Genetic Algorithms, and Parallel Computing; John Wiley & Sons: Hoboken, NJ, USA, 2006. [Google Scholar]
  34. Pedrycz, W.; Gomide, F. An Introduction to Fuzzy Sets: Analysis and Design; MIT Press: Cambridge, MA, USA, 1998. [Google Scholar]
  35. Lim, J.S. Finding Fuzzy Rules for IRIS by Neural Network with Weighted Fuzzy Membership Function. Int. J. Fuzzy Log. Intell. Syst. 2004, 4, 211–216. [Google Scholar] [CrossRef]
Figure 1. Coded cooperative network with multiple energy-harvesting relays.
Figure 1. Coded cooperative network with multiple energy-harvesting relays.
Applsci 13 02910 g001
Figure 2. (a) Histogram of a relay soft encoder output LLRs for E b / N 0 = 10 dB, (b) normal Q-Q plot of the distribution (green line) and y = x line (dashed line).
Figure 2. (a) Histogram of a relay soft encoder output LLRs for E b / N 0 = 10 dB, (b) normal Q-Q plot of the distribution (green line) and y = x line (dashed line).
Applsci 13 02910 g002
Figure 3. Membership functions. (a) h S R r , (b) h R r D , (c) d S R r and (d) ρ r * .
Figure 3. Membership functions. (a) h S R r , (b) h R r D , (c) d S R r and (d) ρ r * .
Applsci 13 02910 g003
Figure 4. Numerical and simulated outage probability results versus SNR per information bit E b / N 0 at the destination of the CC-HIR-RS-CPS ( ρ r = 0.5 for all relays) and CC-HIR-RS-OPS schemes for different number of relays, direct communication, and one relay communication applying conventional DF strategy for R = 0.5 bit/s/Hz.
Figure 4. Numerical and simulated outage probability results versus SNR per information bit E b / N 0 at the destination of the CC-HIR-RS-CPS ( ρ r = 0.5 for all relays) and CC-HIR-RS-OPS schemes for different number of relays, direct communication, and one relay communication applying conventional DF strategy for R = 0.5 bit/s/Hz.
Applsci 13 02910 g004
Figure 5. Numerical and simulated outage probability results versus SNR per information bit E b / N 0 at the destination of the CC-SIR-RS-CPS scheme ( ρ r = 0.5 for all relays) and simulated outage results of the CC-HIR-RS-FLPS scheme for different number of relays, direct communication, and one relay communication applying conventional DF strategy for R = 0.5 bit/s/Hz.
Figure 5. Numerical and simulated outage probability results versus SNR per information bit E b / N 0 at the destination of the CC-SIR-RS-CPS scheme ( ρ r = 0.5 for all relays) and simulated outage results of the CC-HIR-RS-FLPS scheme for different number of relays, direct communication, and one relay communication applying conventional DF strategy for R = 0.5 bit/s/Hz.
Applsci 13 02910 g005
Figure 6. Simulated outage probability results versus SNR per information bit E b / N 0 at the destination of the CC-SIR-CPS scheme applying the RGL, GL [9], SN [8], and SS [10] models, one relay, ρ = 0.5 , and R = 0.5 bit/s/Hz.
Figure 6. Simulated outage probability results versus SNR per information bit E b / N 0 at the destination of the CC-SIR-CPS scheme applying the RGL, GL [9], SN [8], and SS [10] models, one relay, ρ = 0.5 , and R = 0.5 bit/s/Hz.
Applsci 13 02910 g006
Figure 7. Comparison between the simulated outage probability results versus SNR per information bit E b / N 0 at the destination of the CC-HIR-RS-OPS and CC-SIR-RS-FLPS schemes for R = 0.5 bit/s/Hz.
Figure 7. Comparison between the simulated outage probability results versus SNR per information bit E b / N 0 at the destination of the CC-HIR-RS-OPS and CC-SIR-RS-FLPS schemes for R = 0.5 bit/s/Hz.
Applsci 13 02910 g007
Figure 8. Numerical and simulated outage probability results of the CC-HIR-RS-CPS and CC−SIR-RS-CPS schemes when applying different ρ r in the interval 0.1 , 0.9 and comparison with the CC-HIR-RS-OPS and CC-SIR-FLPS schemes for different relay numbers, E b / N 0 = 10 dB, and γ t h = 0.5 .
Figure 8. Numerical and simulated outage probability results of the CC-HIR-RS-CPS and CC−SIR-RS-CPS schemes when applying different ρ r in the interval 0.1 , 0.9 and comparison with the CC-HIR-RS-OPS and CC-SIR-FLPS schemes for different relay numbers, E b / N 0 = 10 dB, and γ t h = 0.5 .
Applsci 13 02910 g008
Figure 9. Numerical and simulated outage probability results of the CC-HIR-RS and CC-SIR-RS schemes when varying d S R r in the interval 0.1 , 0.9 , four relays, E b / N 0 = 10 dB, and R = 0.5 bit/s/Hz.
Figure 9. Numerical and simulated outage probability results of the CC-HIR-RS and CC-SIR-RS schemes when varying d S R r in the interval 0.1 , 0.9 , four relays, E b / N 0 = 10 dB, and R = 0.5 bit/s/Hz.
Applsci 13 02910 g009
Table 1. Collection of fuzzy rules.
Table 1. Collection of fuzzy rules.
# h SR r h R r D d SR r ρ r *
1weakweaknear ρ ( 7 )
2weakweakmedium ρ ( 7 )
3weakweakfar ρ ( 6 )
4weakaveragenear ρ ( 5 )
5weakaveragemedium ρ ( 5 )
6weakaveragefar ρ ( 5 )
7weakstrongnear ρ ( 5 )
8weakstrongmedium ρ ( 4 )
9weakstrongfar ρ ( 5 )
10averageweaknear ρ ( 7 )
11averageweakmedium ρ ( 8 )
12averageweakfar ρ ( 8 )
13averageaveragenear ρ ( 5 )
14averageaveragemedium ρ ( 6 )
15averageaveragefar ρ ( 6 )
16averagestrongnear ρ ( 4 )
17averagestrongmedium ρ ( 5 )
18averagestrongfar ρ ( 5 )
19strongweaknear ρ ( 7 )
20strongweakmedium ρ ( 8 )
21strongweakfar ρ ( 8 )
22strongaveragenear ρ ( 6 )
23strongaveragemedium ρ ( 6 )
24strongaveragefar ρ ( 7 )
25strongstrongnear ρ ( 4 )
26strongstrongmedium ρ ( 5 )
27strongstrongfar ρ ( 6 )
Disclaimer/Publisher’s Note: The statements, opinions and data contained in all publications are solely those of the individual author(s) and contributor(s) and not of MDPI and/or the editor(s). MDPI and/or the editor(s) disclaim responsibility for any injury to people or property resulting from any ideas, methods, instructions or products referred to in the content.

Share and Cite

MDPI and ACS Style

Chaoui, S.; Alruwaili, O.; Hamrouni, C.; Alutaybi, A.; Masmoudi, A. On the Performance of Coded Cooperative Communication with Multiple Energy-Harvesting Relays and Error-Prone Forwarding. Appl. Sci. 2023, 13, 2910. https://doi.org/10.3390/app13052910

AMA Style

Chaoui S, Alruwaili O, Hamrouni C, Alutaybi A, Masmoudi A. On the Performance of Coded Cooperative Communication with Multiple Energy-Harvesting Relays and Error-Prone Forwarding. Applied Sciences. 2023; 13(5):2910. https://doi.org/10.3390/app13052910

Chicago/Turabian Style

Chaoui, Slim, Omar Alruwaili, Chafaa Hamrouni, Aarif Alutaybi, and Afif Masmoudi. 2023. "On the Performance of Coded Cooperative Communication with Multiple Energy-Harvesting Relays and Error-Prone Forwarding" Applied Sciences 13, no. 5: 2910. https://doi.org/10.3390/app13052910

APA Style

Chaoui, S., Alruwaili, O., Hamrouni, C., Alutaybi, A., & Masmoudi, A. (2023). On the Performance of Coded Cooperative Communication with Multiple Energy-Harvesting Relays and Error-Prone Forwarding. Applied Sciences, 13(5), 2910. https://doi.org/10.3390/app13052910

Note that from the first issue of 2016, this journal uses article numbers instead of page numbers. See further details here.

Article Metrics

Back to TopTop