Sign in to use this feature.

Years

Between: -

Subjects

remove_circle_outline
remove_circle_outline
remove_circle_outline
remove_circle_outline
remove_circle_outline

Journals

Article Types

Countries / Regions

Search Results (5)

Search Parameters:
Keywords = soft information relaying

Order results
Result details
Results per page
Select all
Export citation of selected articles as:
21 pages, 1002 KB  
Article
Soft-Centralized Spectrum Resource Management in UAV-Assisted MANETs from Aggregate Multi-Hop Information Efficiency
by Tianyi Zhang and Yang Zheng
Sensors 2026, 26(5), 1446; https://doi.org/10.3390/s26051446 - 26 Feb 2026
Viewed by 247
Abstract
UAV-Assisted Mobile Ad Hoc Networks (UAMANETs) provide flexible communication support in dynamic and infrastructure-limited environments. This paper studies a representative UAMANET architecture in which a subset of UAVs forms stable task clusters with ground nodes while simultaneously acting as relays in an airborne [...] Read more.
UAV-Assisted Mobile Ad Hoc Networks (UAMANETs) provide flexible communication support in dynamic and infrastructure-limited environments. This paper studies a representative UAMANET architecture in which a subset of UAVs forms stable task clusters with ground nodes while simultaneously acting as relays in an airborne backbone network. To characterize the network capacity under contention-based medium access and multi-hop routing, we introduce Aggregate Multi-hop Information Efficiency (AMIE), a capacity-oriented metric that jointly accounts for MAC-layer contention, multi-hop routing, and end-to-end transmission reliability. Based on an IEEE 802.11p access model, we extend Bianchi’s CSMA/CA analytical framework to UAMANETs, enabling a quantitative characterization of how spectrum resource allocation affects AMIE through link activation probability, transmission interruption, and end-to-end hop count. Building on the derived analytical insights, we further develop a soft centralized resource management framework, in which an existing MSF-PSO algorithm is employed as a numerical solver to optimize resource allocation under implicit MAC-layer coupling constraints. Numerical results demonstrate that, compared with conventional IEEE 802.11p spectrum resource settings, the proposed framework can achieve substantial AMIE improvements under representative network configurations. Full article
(This article belongs to the Section Internet of Things)
Show Figures

Figure 1

20 pages, 714 KB  
Article
On the Performance of Coded Cooperative Communication with Multiple Energy-Harvesting Relays and Error-Prone Forwarding
by Slim Chaoui, Omar Alruwaili, Chafaa Hamrouni, Aarif Alutaybi and Afif Masmoudi
Appl. Sci. 2023, 13(5), 2910; https://doi.org/10.3390/app13052910 - 24 Feb 2023
Cited by 2 | Viewed by 2032
Abstract
In this paper, we consider a coded cooperative communication network with multiple energy-harvesting (EH) relays. In order to adequately address the problem of error propagation due to the erroneous decoding at the relays, as in the case of conventional decode and forward (DF) [...] Read more.
In this paper, we consider a coded cooperative communication network with multiple energy-harvesting (EH) relays. In order to adequately address the problem of error propagation due to the erroneous decoding at the relays, as in the case of conventional decode and forward (DF) relaying protocol, we propose coded cooperative schemes with hard information relaying (HIR) and soft information relaying (SIR) strategies. The performance of the relayed communication with EH relay depends crucially on the channel decoding capability at the relay, channel gains at the source–relay and relay–destination links, and ultimately on the power-splitting ratio of the relay EH receiver. The exact closed-form expression for the outage probability performance of the coded cooperative scheme with HIR strategy and relay selection (CC-HIR-RS) is derived for both cases, namely for constant and optimal power-splitting ratios. Concerning the coded cooperative scheme with SIR strategy, a Rayleigh Gaussian log likelihood ratio-based model is used to describe the soft estimated symbols at the output of the relay soft encoder. Directives are provided to determine the model parameters, and, accordingly, the signal-to-noise ratio (SNR) of the equivalent one-hop relaying channel is derived. A closed-form expression for the outage probability performance of the proposed coded cooperative scheme with SIR and relay selection (CC-SIR-RS) is derived. In addition, a fuzzy logic-based power-splitting scheme in EH relay applying SIR is proposed. The fading coefficients of the source–relay and relay–destination links and distance between source and relay node are considered as input parameters of the fuzzy logic system to obtain an appropriate power-splitting ratio that leads to a quasi-optimal SNR of the equivalent end-to-end channel. Monte Carlo simulations are presented to demonstrate the validity of the analytical results, and a comparison between the performance of the CC-HIR-RS scheme with constant and optimized power-splitting ratios and that of the CC-SIR-RS scheme with constant and fuzzy logic-based power-splitting ratios is provided. Full article
(This article belongs to the Special Issue Advances in Wireless Communication Technologies)
Show Figures

Figure 1

15 pages, 346 KB  
Article
Estimation of IQI for AF Cooperative Single-Carrier Frequency Domain Equalization Systems Using Channel Decoder Feedback
by Mohamed Marey and Hala Mostafa
Electronics 2023, 12(4), 863; https://doi.org/10.3390/electronics12040863 - 8 Feb 2023
Cited by 1 | Viewed by 2166
Abstract
The process of amplify-and-forward (AF) relaying is essential to the improvement of both current and future wireless communication standards. Nevertheless, significant performance loss may be posed by in-phase and quadrature imbalance (IQI) caused by defects in radio frequency components. Prior studies into this [...] Read more.
The process of amplify-and-forward (AF) relaying is essential to the improvement of both current and future wireless communication standards. Nevertheless, significant performance loss may be posed by in-phase and quadrature imbalance (IQI) caused by defects in radio frequency components. Prior studies into this research problem were restricted to uncoded broadcasts, even though error-correcting codes are frequently used in real applications. To this purpose, we develop a novel approach applicable to the destination terminal for estimating and compensating for IQI that occurs at the source, relay, and destination terminals. The proposed approach is explored in the context of coded emissions of AF single-carrier frequency domain equalization (SC-FDE) systems. In contrast to other methods for mitigating this radio frequency deflection at each node, the proposed system estimates and compensates for all IQI parameters and channel impulse responses simultaneously. With the use of an iterative expectation–maximization (EM) process, a maximum-likelihood (ML) solution to the problem is computed. At each round, the soft information supplied by the channel decoder is employed to create the a posteriori expectations of the sent data symbols, which are then fed into the estimation process as if they were training symbols. In addition, we address how to use the estimated parameters to perform the task of data detection. The offered predictor and detector exchange soft information in a sequential process, boosting the overall system effectiveness. The simulation results show that the proposed method is not only practicable but superior to the established methods. Full article
(This article belongs to the Special Issue New Trends and Methods in Communication Systems)
Show Figures

Figure 1

14 pages, 337 KB  
Article
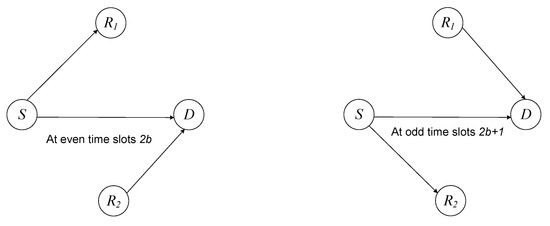
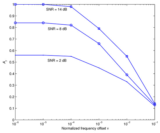
Decision Feedback Modulation Recognition with Channel Estimation for Amplify and Forward Two-Path Consecutive Relaying Systems
by Mohamed Marey, Maged Abdullah Esmail and Hala Mostafa
Sensors 2022, 22(16), 6022; https://doi.org/10.3390/s22166022 - 12 Aug 2022
Viewed by 2226
Abstract
Automatic modulation recognition (AMR) is an essential component in the design of smart radios that can intelligently communicate with their surroundings in order to make the most efficient use of available resources. Throughout the last few decades, this issue has been subjected to [...] Read more.
Automatic modulation recognition (AMR) is an essential component in the design of smart radios that can intelligently communicate with their surroundings in order to make the most efficient use of available resources. Throughout the last few decades, this issue has been subjected to in-depth examination in the published research literature. To the best of the authors’ knowledge, there have only been a few studies that have been specifically devoted to the task of performing AMR across cooperative wireless transmissions. In this contribution, we examine the AMR problem in the context of amplify-and-forward (AAF) two-path consecutive relaying systems (TCRS) for the first time in the literature. We leverage the property of data redundancy associated with AAF-TCRS signals to design a decision feedback iterative modulation recognizer via an expectation-maximization procedure. The proposed recognizer incorporates the soft information produced by the data detection process as a priori knowledge to generate the a posteriori expectations of the information symbols, which are employed as training symbols. The proposed algorithm additionally involves the development of an estimate of the channel coefficients as a secondary activity. The simulation outcomes have validated the feasibility of the proposed design by demonstrating its capacity to achieve an excellent recognition performance under a wide range of running conditions. According to the findings, the suggested technique converges within six rounds, achieving perfect recognition performance at a signal-to-noise ratio of 14 dB. Furthermore, the minimal pilot-to-frame-size ratio necessary to successfully execute the iterative procedure is 0.07. In addition, the proposed method is essentially immune to time offset and performs well throughout a broad range of frequency offset. Lastly, the proposed strategy beats the existing techniques in recognition accuracy while requiring a low level of processing complexity. Full article
(This article belongs to the Section Communications)
Show Figures

Figure 1

17 pages, 401 KB  
Article
BICM-ID with Physical Layer Network Coding in TWR Free Space Optical Communication Links
by Alaa A. Saeed Al-Rubaie, Zina M. Hassan Abu Almaalie and Zabih Ghassemlooy
Computers 2017, 6(3), 24; https://doi.org/10.3390/computers6030024 - 21 Jul 2017
Cited by 1 | Viewed by 8246
Abstract
Physical layer network coding (PNC) is a promising technique to improve the network throughput in a two-way relay (TWR) channel for two users to exchange messages across a wireless network. The PNC technique incorporating a TWR channel is embraced by a free space [...] Read more.
Physical layer network coding (PNC) is a promising technique to improve the network throughput in a two-way relay (TWR) channel for two users to exchange messages across a wireless network. The PNC technique incorporating a TWR channel is embraced by a free space optical (FSO) communication link for full utilization of network resources, namely TWR-FSO PNC. In this paper, bit interleaved coded modulation with iterative decoding (BICM-ID) is adopted to combat the deleterious effect of the turbulence channel by saving the message being transmitted to increase the reliability of the system. Moreover, based on this technique, comparative studies between end-to-end BICM-ID code, non-iterative convolutional coded and uncoded systems are carried out. Furthermore, this paper presents the extrinsic information transfer (ExIT) charts to evaluate the performance of BICM-ID code combined with the TWR-FSO PNC system. The simulation results show that the proposed scheme can achieve a significant bit error rate (BER) performance improvement through the introduction of an iterative process between a soft demapper and decoder. Similarly, Monte Carlo simulation results are provided to support the findings. Subsequently, the ExIT functions of the two receiver components are thoroughly analysed for a variety of parameters under the influence of a turbulence-induced channel fading, demonstrating the convergence behaviour of BICM-ID to enable the TWR-FSO PNC system, effectively mitigating the impact of the fading turbulence channel. Full article
Show Figures

Figure 1

Back to TopTop