Abstract
Determination of the physico-chemical interactions between liquid and solid substances is a key technological factor in many industrial processes in metallurgy, electronics or the aviation industry, where technological processes are based on soldering/brazing technologies. Understanding of the bonding process, reactions between materials and their dynamics enables to make research on new materials and joining technologies, as well as to optimise and compare the existing ones. The paper focuses on a wetting force measurement method and its practical implementation in industrial applications. Soldering simulation is a process in which simulation tools are used to model and simulate soldering processes. With simulation, different soldering methods and parameters can be tested to identify the best approach and minimize the risk of errors and failures in the real process. Soldering simulation can be used to optimize the soldering process and increase productivity, as well as to train personnel.
1. Introduction
Compared to real life, simulations are usually cheaper and faster because they require fewer resources or time. Simulations allow you to test different scenarios in a controlled environment, making identifying potential problems and finding the best solutions easier [1]. For example, simulations can help determine the best solder selection configuration to minimize process time and help determine the rest of the parameters of the technology used. However, in industrial processes, using only the simulation process may not be sufficient and lead to erroneous conclusions. Therefore, the hybrid implementation of comprehensive research seems to be an ideal solution. Combining basic research and then, based on its size, developing simulation processes is the optimal solution [2]. One of the basic parameters in bonding processes is knowledge of the interaction processes at the interface of the liquid and solid phases. Their complete identification makes it possible to obtain an optimal result, especially in technologies using bonding materials. The field of modern materials research and their industrial applications requires the development of new measurement methods that can provide precise and quantitative information on the behavior of materials in various technological processes [3]. To create new materials that meet the desired properties for specific usage conditions, modification of material structures is often necessary. However, the challenge often arises in implementing new technologies in production where modern material components must be assembled with traditional ones [4]. Understanding the physicochemical interactions between liquid and solid substances is crucial in various industries such as metallurgy, electronics, and aviation. It is a vital technological factor that plays a significant role in industrial processes. The bonding process primarily relies on wetting the joined surfaces with liquid metal, characterized by two main interfacial impact parameters—the wetting force and the wetting angle. Experiments using the immersion method can be conducted to gather data on the values and behavior of these parameters. Wetting dynamics is a crucial aspect in soldering and joining technologies, as it governs the behavior of molten solder on the surface of the material being joined. Understanding the wetting dynamics of a particular soldering process can significantly improve the process’s efficiency, quality, and reliability. Here are some ways in which knowledge of wetting dynamics can be used to optimize and customize existing soldering technologies [5,6].
- Process time and temperature:By understanding the wetting dynamics, reducing the process time and temperature required for the soldering process is possible. This can lead to significant energy savings and reduced production costs.
- Protection atmosphere:In some cases, the presence of oxygen or other reactive gases in the atmosphere can affect the wetting dynamics of the solder, leading to poor adhesion and weak joints. Controlling the atmosphere in which the soldering process takes place makes it possible to improve the wetting dynamics and achieve better results.
- Fluxes:Fluxes are often used in soldering to improve wetting and prevent oxidation of the joined surfaces. Understanding the wetting dynamics can help select the most appropriate flux for the specific materials and process conditions.
- Surface preparation:The surface preparation of the materials being joined can significantly impact the wetting dynamics. By optimizing the surface preparation process, it is possible to achieve better wetting and stronger joints.
- Material and joining technology development:Knowledge of wetting dynamics is essential in developing new materials and joining technologies based on soldering. By studying the wetting behavior of different materials and solder alloys, it is possible to identify new combinations that offer improved performance and reliability.
2. Basic Research—The Process of Measurement and Analysis of the Wetting Force
The capillary wetting force is denoted as the difference between the force measured before and after immersion of the specimen in the liquid braze. Specifically, it is the difference between the maximum force measured just before immersion and the force measured when the liquid meniscus has wholly covered the specimen. This difference is caused by the surface tension of the liquid, which creates a force that pulls the fluid toward the model’s surface. The Wilhelmy plate method is a precise technique utilized to quantify the force of wetting [7,8]. To receive the shape of the meniscus formed around a vertical solid, the Laplace equation was used to analyze the weight changes (equal to the sum of capillary and buoyancy forces) versus the depth of immersion. With this method, it is possible to simultaneously measure the surface tension of the liquid and the contact angles. The weight changes during immersion and emersion, respectively, allow us to deduce both advancing and receding contact angles. To simplify the explanation, it is assumed that the vertical movement of the solid in the liquid is infinitely slow. The weight of the solid in the gas phase as the reference point for weight measurements is considered. Based on these conditions, the force exerted on the partially submerged solid, with its base located at the level compared to the flat horizontal liquid surface, equals the sum of the weight of the meniscus and the buoyancy force . Figure 1 shows the distribution of forces acting on a vertical plate and the measurement system before Figure 1a and after partial immersion Figure 1b. Before dipping:
- —weight registered by the measuring system before dipping.
- —sample weight.
After dipping:
- —weight registered by the measuring system after dipping.
- —buoyancy force.
- —surface tension force.
There exist two potential models depending on the value of the contact angle (Figure 1):
- — — is directed downwards.
- — —is directed upwards.
The model selected for further examination involves summating all force projections on the OY axis shown in Figure 1a,b. At the steady state, when the angle reaches an equilibrium angle , and the head surface of the sample is located at a depth of below the horizontal surface of the liquid, a force is exerted on the measuring system.
It was assumed that , The buoyancy force depends on the geometry of the sample and dipping depth:
where: —cross-section area of a sample, —density of the liquid metal, g—gravitational acceleration, —dipping depth. The weight of meniscus can be represented by:
where: —sample circuit, —surface tension on the liqiud-gas boundary, —equilibrium wetting angle. Finally the wetting force is given by the equation:
Figure 1.
Distribution of forces acting on a vertical plate and the measurement system. (a) Before immersion and (b) after partial immersion.
Wetting Dynamics
A wetting force measurement procedure, consisting of observation of a specimen’s weight changes during an experiment of immersing a specimen in a liquid braze, is known as the Wilhelmy plate method. A high-precision scale system is required to measure the resultant forces acting on the vertical model. This force is a critical indicator of a liquid’s ability to wet a solid surface. The Wilhelmy plate method is frequently employed in materials science and engineering to analyze wetting behavior and develop new materials with specific wetting characteristics [9]. Figure 1 shows the distribution of forces acting on a vertical plate and the measurement system before and after partial immersion. The capillary force can be determined by measuring the difference between the forces acting on the measuring system. Figure 2 illustrates how this technique can determine the capillary wetting force. The experiment is carried out at a high temperature in a gas-reductive-protective atmosphere. The first stage of the experiment flow is the initial process of stabilizing thermodynamic conditions in the furnace chamber, where the chamber is heated in a gas atmosphere (Figure 2 point A). The main stage of the experiment starts with contact of the specimen’s front surface with fluid braze Figure 2, point B. In the middle of sinking the specimen Figure 2, stage A–C, the acting buoyancy force rises linearly with an immersion depth. At the same time, the braze bath surface is deflected, and a down-curved meniscus is formed. The wetting angle changes until it reaches the minimum value, which is close to 180º. While the specimen is still immersing, the temperature of the specimen is growing up to the brazing temperature. This step reflects the incubation time of the wetting, in which the temperature of the sample rises to equalize with the temperature of the liquid solder. Bonds form between the atoms of both phases, and the interface is formed. The specimen immersion process ends at point C (Figure 2). The C–D (Figure 2) stages correspond to the wetting progress. The wetting angle decreases to the near equilibrium value at Figure 2 point D. The buoyancy force is constant at this stage; the capillary force is increasing. The specimen emergence process starts at point E (Figure 2). The fluid meniscus is broken off, corresponding to the experiment’s end. The above-mentioned experiment flow is idealized. In fact, Figure 2 stages B–C can be very short or even put at Figure 2 stages A–B. If some interphases are created, the stage properties may change [10].
Figure 2.
The view of the measuring system of the wetting force.
3. Solderability Parameters
An essential condition to form a solder joint is the filling of the solder gap by the solder during the soldering process. This may be one of the solderability criteria. This is a technological property that consists of liquid solder–solid interfacial interaction (soldered material), physical properties of the liquid solder itself (viscosity, density, surface tension), technological properties of the soldered material under process conditions (chemical and phase composition, surface roughness, size and location of the gap, surface contamination, etc.), technological conditions of the process (temperature, atmosphere, initial phase position, etc.). For the flow of liquid metals along the solder gaps, the dimensionless indicator–the Reynolds number, determining the type of flow (laminar, turbulent) is usually less than 1000 [10,11,12]. A theoretical laminar flow model was used to determine the filling indices of both vertical and horizontal solder joints. It was assumed that the flow in the horizontal gap is limited only by the resistance associated with the viscosity of the liquid. The time required to fill the volume between two parallel plates distant by D, at length L, in the case of the horizontal influence of the liquid, is [7,13]:
where the dynamic viscosity of the liquid, is the wetting force.
In the case of filling a vertical gap, the force of gravity should be additionally taken into account, which significantly hinders the analysis of the kinetics of liquid penetration into the vertical gap, the volume between two parallel plates by distant D, at length h. The time required for the solder to flow into the gap at height h determines the equation [10,14]:
where the dynamic viscosity of the liquid, is the wetting force. However, predicting the penetration kinetics of vertical gaps is more complex. The balance of gravitational and capillary forces determines the behavior of the liquid in the gap. Initially, the liquid will flow into the gap due to capillary action, which is the result of the surface tension of the liquid. This flow will continue until the weight of the liquid is equal to the capillary forces. Penetration should approach an equilibrium height determines the equation [14]:
4. An Automatic Platform for Wetting Force Measurement at High Temperatures
The integrated platform for automatic wetting force measurement at high temperatures is presented in Figure 3. A self-contained system that enables extensive research on the dynamic properties of brazing processes, precisely the wetting force at temperatures up to 1000 °C in different gas atmospheres. The measurement platform is designed to operate in a real-time automated system, allowing for precise and reliable measurement of wetting forces during brazing processes. It enables researchers to investigate the properties of brazing materials and optimize their performance in various industrial applications. Figure 3 presents an overview of the measurement platform, including the essential subsystems: heating Figure 3 (1), driver Figure 3 (2), loading systems Figure 3 (3), and weighing system Figure 3 (4). The heating system ensures precise temperature control, which is crucial for accurate wetting force measurements. The driver system provides detailed and programmable movement of the measurement probe, allowing for consistent and repeatable measurements. The precision loading system (3) secures the sample in place, enabling it to be immersed considering depth [15,16].
Figure 3.
The view of the measuring system of the wetting force [15].
The platform for measuring wetting force at high temperatures through automation is built on a distributed architecture comprising two key subsystems: measurement and control Figure 3 (5) and experiment planning and data analysis Figure 3 (6). Both of these subsystems are implemented in software and hardware layers. An industrial software programmable logic controller (PLC) monitors the measurement and control subsystem. Its primary function is to regulate the operation of all the components, such as furnace temperature control and gas supply, and manage its behavior based on the experiment parameters.
The heating system Figure 4A, is governed by a software programmable logic controller (PLC), an appropriate power driver, and a thermocouple that receives temperature readings from the furnace chamber. During the experiment, the pot containing the braze material is positioned at the center of the furnace on a suitable base Figure 4B. The driver system Figure 4G regulates the placement of the pot within the stove and the movement (symbolized by arrows) of the entire heating system towards a fixed specimen Figure 4C, all under the control of the PLC controller. The optical detection system Figure 4D detects the model at the furnace entrance. At the same time, the contact between the specimen and the liquid braze is identified by rapid changes in specimen weight when the specimen face touches the solder surface. As oxidation may occur during heating, the measurement system features a nitrogen-based protective gas atmosphere Figure 4E. A hydrogen and argon mixture is utilized as a reduction atmosphere within the furnace chamber Figure 4F. The mass flow controller (MFC) components manage the gas flow, which the PLC oversees [15].
Figure 4.
A cross-section of the measurement system ((A)—the heating system; (B)—the base and the pot with a liquid braze; (C)—the tested specimen and its mounting; (D)— the specimen detection system; (E,F)—the gas supply system; (G)—the driver system).
The block diagram of the measuring platform is presented in Figure 5. The planning and data analysis subsystem comprises intermediate software that facilitates data exchange between the measurement, control, and database subsystems. Additionally, it features a graphical user interface that enables the device operator to interact with the platform. The primary component of the measurement system is the cylindrical resistance furnace-based heating system, which enables heating of the specimen to temperatures as high as 1000 °C.
Figure 5.
The block diagram of the measuring platform [15].
4.1. System Architecture
The architecture of the integrated platform is based on the lazy coupled functional tiers concept (Figure 6). The hardware tier is a separate, autonomic device, allowing the carrying out of experiments according to given parameters. The main module of the hardware tier is the WAGO PLC controller, which runs the Linux operating system and supervises in real-time all hardware components, i.e., execution units (furnace power controller, stepper driver, MFCs, scales) and sensors (thermocouple, limit switches, optical sensors, pressure sensors). The PLC controller also ensures a simple GUI with the current state of device visualization. The detailed structure of the hardware tier is presented in Figure 7.
Figure 6.
General tier’s system architecture [15].
Figure 7.
The details structure of the hardware tier [15].
The web service tier interfaces the client tier, testing device, and database repository system. The functionality of this tier consists of experiment template management methods (specimen-, materials- and experiment parameters definitions), testing device current state monitoring, and getting results of experiments already carried out. The client tier consists of software ensuring end-user interaction with all other system components. The software offers a user-friendly GUI and is also equipped with a report and experiment data analyzing engine [15].
4.2. Soldering Process Simulation
The basic condition for creating a soldered connector is filling the solder gap in the material soldered by the solder during the process. The capillary wetting force is mainly responsible for this. In addition, it is a component of many of the designs that have been presented above (Equations (7)–(9)) [14].
To verify the assumptions made, experimental studies were carried out. Solder was selected for the study of coppe-phosphorus solder with silver. The tested substrate was copper plates. In this experiment, a copper substrate of metallurgical condition was used. Preparation of the substrate consisted of mechanical cleaning of the surface with ISO 6344 [17], (P240) sandpaper, followed by cleaning of the surface with benzene. During the experiment, in order to thermally activate the surface of the test sample, it was planned to stand the sample (20 s) over the mirror of liquid solder. The temperature of the experiment was set at 750 °C. As a result of the experiment, the course of changes in the wetting force was recorded as a function of time, as shown in Figure 8. For simulation calculations, the value of wetting force achieved after the time (s) at the level of (N/m). The next stage was macro- and microscopic observations of the surface of the board material coated with solder as a result of an experiment conducted on the Solderability Tester. The presented image of the tile in Figure 9 indicates very good wettability of the substrate with solder.
Figure 8.
Wetting force characteristics as a function of time of tested solder on copper substrate.
Figure 9.
Macroscopic view of the material surface of a solder-coated copper plate (magnification ×3).
The depth of immersion of the board in liquid solder was (mm), and the measured height of the solder on the copper substrate is about (mm). This means that the solder rose above the surface of the solder by 14 (mm). To reveal further details, metallographic studies on a micro-scale were carried out. Macroscopic examinations were carried out in two regions, A and B (Figure 9), on longitudinal bends cut in a plane parallel to the long axis of the plate. Metallographic tests have shown that correct structures have been obtained. In the next step, based on the wetting force (N/m), a simulation of solder rise in a system of two parallel plates was carried out using the Equation (9). The results of the calculations are shown in Figure 10.
Figure 10.
Determined height of solder in a system with parallel copper plates of different distances for (N/m).
Several experiments were conducted to verify the theoretical model, comparing the theoretical height of the lift with the value obtained by experimental means. For this purpose, two parallel plates forming a gap of (mm) were mounted on a specially adapted holder on the solderability tester. The choice of the gap resulted from the geometrical limitations of the working space of the Soldering Tester. The geometry of the samples, surface preparation, and parameter settings of the experiment were the same as for the single plate experiment. For the solder gap equal to (mm) and the limit value of the wetting force (N/m), the calculated height of the lift is equal to (mm) (marked point on the Figure 10) [7]. The experimental height of (mm) is shown on Figure 11.
Figure 11.
View of the top of the sample, macro magnification ×35.
Figure 12 shows the dynamics of solder lift for different values of solder gaps D calculated from the (9).
Figure 12.
The height of solder in the vertical gap for different values of solder gap D widths for wetting force (N/m).
The dynamics of filling the different sizes of the solder gap located in the horizontal plane is shown in Figure 13 determined based on (7).
Figure 13.
The depth of solder flow into the horizontal gap L for different values of solder gap D widths for wetting force (N/m).
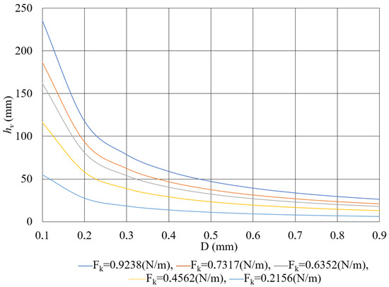
It was assumed that both tiles are made of the same material and the surface’s preparation and energy state is identical. The conducted experiments show that the conditions of the experiment and the method of surface preparation have a decisive influence on the process of wetting dynamics and the value of the wetting force . Figure 14 shows the height of solder in the vertical gap for different values of solder gap D widths and different limits of wetting force .
Figure 14.
The height of solder in the vertical gap for different values of solder gap D widths and different limits of wetting force .
5. Conclusions
The performed experiments proved that the plate method implemented in the Solderability Tester system could be used to simulate solderability. The parameters determined on this path enable the selection of solder for a given soldered material, flux, or protective atmosphere for a given set of soldered materials–solder. The starting point for further analysis and simulation is to determine the dynamics of changes in the value of the wetting force . This makes it possible to determine the remaining solderability parameters discussed in the article and presented on the graphs (height of solder flow into the vertical slit , time required for the solder to flow into the vertical slit of the to the height , time needed to fill the volume between two parallel plates in the horizontal plane , length of solder inflow into the horizontal gap L). To verify the results, macroscopic surface observations document the tile material’s wettability, and liquid solder penetrates the gap. The physico-chemical interactions between liquid and solid substances are crucial for various industrial processes in metallurgy, electronics, and the aviation industry. These processes heavily rely on soldering/brazing technologies. This paper specifically focuses on the practical implementation of a wetting force measurement method in industrial applications. Understanding the wetting dynamics of soldering processes is critical for the optimization and customization of existing technologies, as well as the development of new materials and joining technologies. It can lead to significant improvements in process efficiency, quality, and reliability and help achieve better results in various applications.
Funding
This research received no external funding.
Institutional Review Board Statement
Not applicable.
Informed Consent Statement
Not applicable.
Data Availability Statement
Data are contained within the article.
Conflicts of Interest
The author declares no conflict of interest.
References
- Li, Y.; Chen, C.; Yi, R.; Ouyang, Y. Special brazing and soldering. J. Manuf. Process. 2020, 60, 608–635. [Google Scholar] [CrossRef]
- Sattiraju, S.; Dang, B.; Johnson, R.; Li, Y.; Smith, J.; Bozack, M. Wetting characteristics of Pb-free solder alloys and PWB finishes. Electron. Packag. Manuf. IEEE Trans. 2002, 25, 168–184. [Google Scholar] [CrossRef]
- Niemeier, J.; Seliger, G. Simulation of the Soldering Process. Cirp Ann. 1998, 47, 27–30. [Google Scholar] [CrossRef]
- Roberts, P. Industrial Brazing Practice; CRC Press: Boca Raton, FL, USA, 2003. [Google Scholar]
- Schwartz, M. Soldering: Understanding the Basics; ASM International: Novelty, OH, USA, 2014. [Google Scholar]
- Roberts, P.M. Introduction to Brazing Technology; CRC Press: Boca Raton, FL, USA, 2016. [Google Scholar]
- Way, M.; Willingham, J.; Goodall, R. Brazing filler metals. Int. Mater. Rev. 2020, 65, 257–285. [Google Scholar] [CrossRef]
- Wu, X.; Chandel, R.; Seow, H.; Li, H. Wide gap brazing of stainless steel to nickel-based superalloy. J. Mater. Process. Technol. 2001, 113, 215–221. [Google Scholar] [CrossRef]
- Adamson, A.W.; Klerer, J. Physical Chemistry of Surfaces. J. Electrochem. Soc. 1977, 124, 192C. [Google Scholar] [CrossRef]
- Eustathopoulos, N.; Hodaj, F.; Kozlova, O. The wetting process in brazing. In Advances in Brazing; Elsevier: Amsterdam, The Netherlands, 2013; pp. 3–30. [Google Scholar]
- Lee, N.C. Reflow Soldering Processes; Newnes: Oxford, UK, 2002. [Google Scholar] [CrossRef]
- Bozsóki, I.; Géczy, A.; Illés, B. Overview of Different Approaches in Numerical Modelling of Reflow Soldering Applications. Energies 2023, 16, 5865. [Google Scholar] [CrossRef]
- Xu, D.E.; Hook, M.D.; Mayer, M. Real time joint resistance monitoring during solder reflow. J. Alloy. Compd. 2017, 695, 3002–3010. [Google Scholar] [CrossRef]
- Kim, H.; Tu, K.N. Kinetic analysis of the soldering reaction between eutectic SnPb alloy and Cu accompanied by ripening. Phys. Rev. B 1996, 53, 16027. [Google Scholar] [CrossRef] [PubMed]
- Wojciechowski, R.; Bąkała, M. Integrated Platform for Automatic Determination of Wettability and Surface Tension of High-Temperature Brazes; The Polish National Research Committee: Lodz, Poland, 2012; Tech. Rep. no. N 519 441839. [Google Scholar]
- Moon, K.; Boettinger, W.J.; Williams, M.E.; Josell, D.; Murray, B.T.; Carter, W.C.; Handwerker, C.A. Dynamic Aspects of Wetting Balance Tests. J. Electron. Packag. 1996, 118, 174–183. [Google Scholar] [CrossRef]
- ISO 6344; Coated Abrasives Determination and Designation of Grain Size Distribution Part 3: Microgrit Sizes P240 to P5000. International Standard Organization: Geneva, Switzerland, 2021.
Disclaimer/Publisher’s Note: The statements, opinions and data contained in all publications are solely those of the individual author(s) and contributor(s) and not of MDPI and/or the editor(s). MDPI and/or the editor(s) disclaim responsibility for any injury to people or property resulting from any ideas, methods, instructions or products referred to in the content. |
© 2023 by the author. Licensee MDPI, Basel, Switzerland. This article is an open access article distributed under the terms and conditions of the Creative Commons Attribution (CC BY) license (https://creativecommons.org/licenses/by/4.0/).













