Abstract
Sub-acromial Impingement Syndrome (SIS) is a prevalent shoulder pathology characterized by pain, muscle weakness, and altered joint position sense (JPS). This prospective study aimed to comprehensively assess the relationship between shoulder muscle strength, JPS, and pain in individuals with SIS. A total of 100 participants, including 50 with SIS and 50 healthy controls, underwent shoulder muscle strength testing and JPS evaluation in various directions (flexion, abduction, medial rotation, and lateral rotation). Pain intensity was quantified using a visual analog scale. Correlation analyses were conducted to explore the associations between muscle strength, JPS, and pain, with Cohen’s d values indicating the effect size. Individuals with SIS exhibited significantly lower shoulder muscle strength and greater JPS errors compared to the healthy controls (p < 0.001, Cohen’s d = 0.51 to 0.84). The results showed strong positive correlations between muscle strength and JPS in all assessed directions (p < 0.001, with r values ranging from 0.35 to 0.62). Mediation analysis revealed that pain partially mediated the relationship between muscle strength and JPS in all directions (p < 0.005). This study highlights the multifaceted nature of SIS, emphasizing the coexistence of muscle weakness, proprioceptive impairments, and pain. The findings underscore the importance of addressing these factors in the comprehensive rehabilitation of individuals with SIS to optimize functional outcomes and enhance their quality of life.
1. Introduction
Sub-acromial Impingement Syndrome (SIS), also known as shoulder impingement syndrome, is a common musculoskeletal disorder that afflicts a significant portion of the population [1]. It is a prevalent shoulder pathology characterized by pain, muscle weakness, altered joint position sense, persistent shoulder pain, and functional limitations [2,3,4]. This condition is a substantial health concern with implications for quality of life, work productivity, and overall well-being [5]. The primary feature of SIS is the mechanical compression of structures within the sub-acromial space, including the rotator cuff tendons, sub-acromial bursa, and long head of the biceps tendon [6]. This compression results in pain, inflammation, and restricted shoulder movement [7]. Despite its prevalence, the exact etiology of SIS remains multifactorial, encompassing anatomical, biomechanical, and pathological factors [8].
Shoulder muscle strength and proprioception, while distinct in their functions, collectively play a pivotal role in the overall function and stability of the shoulder joint [9,10]. Shoulder muscle strength is the foundation of shoulder stability and movement [11,12]. The muscles surrounding the shoulder joint, including the rotator cuff muscles, deltoids, and scapular stabilizers, work together to control and execute precise movements while bearing the load of the upper limb [13]. Adequate strength in these muscles ensures that the shoulder functions optimally, preventing excessive joint stress and the potential for injury [14,15].
Proprioception, often referred to as the “sixth sense”, is the ability to sense the position, movement, and orientation of one’s body parts without relying on visual cues [16,17]. In the context of the shoulder, proprioception allows for fine-tuned control of joint movements and muscle contractions [18,19]. It helps individuals maintain joint stability, execute accurate and coordinated movements, and adapt to changes in joint position or external forces [20]. Without proper proprioceptive feedback, the shoulder’s ability to function effectively is compromised, leading to difficulties in tasks that require precision, such as reaching for objects or performing overhead sports activities [21].
An in-depth understanding of the intricate relationships among various contributing factors is paramount to advancing the diagnosis, treatment, and rehabilitation of SIS [22]. Two crucial components within this multifaceted puzzle are shoulder muscle strength and shoulder joint position sense (JPS) [23]. Shoulder muscle strength is a cornerstone of shoulder stability and function, and deficits in strength can disrupt normal shoulder mechanics and increase susceptibility to injury [24]. In contrast, JPS refers to the ability to perceive and replicate specific shoulder joint positions, a critical aspect of proprioception that underpins joint stability and precise motor control [25,26]. Both muscle strength and JPS are integral to shoulder function and are frequently affected in individuals with SIS [27].
SIS is characterized by mechanical compression in the shoulder joint, which can lead to pain and restricted mobility [28,29]. To better understand the impact of this condition, it is crucial to not only assess the individual components, such as muscle strength and proprioception, but also to establish a solid link between these elements and the clinical presentation of SIS. By delving beyond mere measurement, this objective centers on determining the extent of impairment in muscle strength and proprioception within the SIS population. To contextualize these findings, a comparison can be drawn with age-matched individuals without shoulder conditions. This comparative approach is pivotal because it illuminates the specific areas of dysfunction in SIS patients, helping to pinpoint which aspects of muscle strength and proprioception are most affected by this condition. These insights provide a foundation for developing targeted interventions intended to improve not just individual components but also the overall functional status of individuals grappling with SIS-related shoulder impairments.
Delving deeper into the relationship between shoulder muscle strength and JPS, this study’s objective was to establish a quantitative link between these factors in the context of SIS. We sought to comprehensively investigate how variations in muscle strength correlate with alterations in proprioception, shedding light on the intricate mechanisms that underlie shoulder dysfunction in individuals with SIS. In addition to muscle strength and JPS, pain is a pervasive and distressing symptom among individuals with SIS [30]. Beyond its functional limitations, pain can alter sensory perception and motor control, potentially exacerbating the impairments in muscle strength and proprioception observed in this population [31]. Therefore, one of the key objectives of this study was to assess the mediating role of pain in the relationship between shoulder muscle strength and JPS, providing critical insights into the complex interplay among these variables and emphasizing the importance of pain management in achieving functional recovery for individuals with SIS. Through rigorous assessment and analysis, this investigation aims to elucidate the multifaceted nature of SIS and provide valuable guidance for tailored rehabilitation strategies.
The key objectives of this study were to evaluate shoulder muscle strength and JPS in individuals diagnosed with SIS and compare these measures with age-matched normal individuals, establish and quantify the correlation between shoulder muscle strength and JPS in individuals with SIS, and assess the mediation effect of pain on the relationship between shoulder muscle strength and JPS in individuals with SIS. In this study, we hypothesized that individuals diagnosed with SIS would exhibit significant reductions in shoulder muscle strength and impaired JPS compared to age-matched healthy individuals. We anticipated that these deficits in muscle strength and proprioception would be interrelated, suggesting a quantitative link between the two components in the context of SIS. Furthermore, we hypothesized that pain, a prevalent symptom in SIS, would mediate the relationship between muscle strength and JPS, highlighting its influential role in shoulder dysfunction. Through rigorous assessment and analysis, we aimed to elucidate the multifaceted nature of SIS and provide valuable insights into the clinical management of this prevalent shoulder condition. This investigation illuminates the complex interplay among these variables and highlights the importance of pain management in achieving functional recovery.
2. Materials and Methods
2.1. Study Design
This is a cross-sectional prospective study designed to investigate the relationships between shoulder muscle strength, shoulder JPS, pain, and their implications in individuals diagnosed with SIS. A cross-sectional approach allowed for the simultaneous examination of these variables, providing a snapshot of their interplay within the SIS population at a specific point in time.
2.2. Settings
This study was conducted in Abha, Aseer, Saudi Arabia, in a clinical and research-oriented environment, mainly within the physical therapy department of a medical facility. Participants were recruited from diverse clinical sources, including outpatient orthopedic clinics, rehabilitation centers, and community health centers. Data collection and assessments took place in a controlled and standardized environment to ensure data accuracy and participant safety.
2.3. Participants
2.3.1. Inclusion Criteria for SIS Participants
This study incorporated individuals aged 18 to 65 years who had received a clinical diagnosis of SIS from qualified medical professionals. SIS is defined as a condition characterized by mechanical compression within the subacromial space of the shoulder joint, resulting in symptoms such as persistent shoulder pain, inflammation, and restricted range of motion [32]. The diagnosis was based on a combination of clinical evaluation, radiographic imaging, and, where applicable, magnetic resonance imaging findings, following established diagnostic criteria. Participants eligible for inclusion in the SIS group had to meet specific criteria. Firstly, they had to fall within the age range of 18 to 65 years, ensuring that the study’s scope covered a representative sample of adult participants. Secondly, a clinical diagnosis of SIS was a prerequisite for inclusion. This diagnosis was made by a qualified medical professional with expertise in musculoskeletal disorders. It was based on a comprehensive evaluation, including an assessment of the participant’s symptoms, a thorough physical examination, and a detailed medical history. Furthermore, to corroborate the diagnosis of SIS, participants underwent radiographic or imaging analyses, such as X-rays and MRI scans. These imaging modalities were employed in line with established diagnostic criteria in the field, ensuring diagnostic accuracy. Finally, participants had to express their informed consent willingly and demonstrate their ability to comprehend the study’s objectives, procedures, and potential risks.
2.3.2. Exclusion Criteria for SIS Participants
To ensure the homogeneity of the SIS group and the specificity of the diagnosis, exclusion criteria were meticulously applied. Individuals with a history of previous shoulder surgery or significant shoulder trauma were excluded from the study, as these factors could potentially influence their current shoulder function. Moreover, participants with concurrent shoulder conditions, such as full-thickness rotator cuff tears, adhesive capsulitis (frozen shoulder), or glenohumeral instability, were not included. This exclusion aimed to isolate the effects of SIS on the study variables. Furthermore, individuals with neurological disorders that could impact shoulder function, proprioception, or strength were excluded to maintain the homogeneity of the SIS group. Finally, participants with severe medical comorbidities that could significantly affect physical performance or their ability to participate in the study were excluded. This last criterion aimed to minimize the influence of non-shoulder-related health conditions on the study outcomes.
2.3.3. Inclusion Criteria for Healthy Participants (Comparison Group)
The Healthy group, recruited from the local community in Abha, Aseer, Saudi Arabia, was selected based on specific inclusion criteria. These criteria were designed to select individuals without any current or past shoulder pain, injury, or clinical diagnosis related to shoulder pathology. Similar to the SIS group, healthy participants needed to fall within the age range of 18 to 65 years. Additionally, they were required to provide voluntary informed consent, indicating their understanding of the study’s purpose and procedures.
2.3.4. Exclusion Criteria for Healthy Participants (Comparison Group)
To ensure that the comparison group consisted of individuals without shoulder-related issues or significant medical conditions, exclusion criteria were applied. Healthy participants with any history of shoulder pain, injuries, or clinical diagnoses related to shoulder pathology were excluded. This stringent criterion was essential to maintain the health status of the comparison group. Additionally, individuals with a history of previous shoulder surgery or significant shoulder trauma were excluded to prevent potential confounding factors. Similar to the SIS group, individuals with neurological disorders that could affect shoulder function were excluded from the Healthy group to maintain the group’s homogeneity. Finally, participants with severe medical comorbidities that could significantly impact physical performance or their ability to participate in the study were excluded from the Healthy group. These stringent inclusion and exclusion criteria were implemented to ensure that the study’s findings accurately reflected the impact of subacromial impingement syndrome on the selected variables while minimizing confounding factors.
2.4. Ethical Considerations
In this study, we rigorously adhered to ethical guidelines in accordance with KKU (King Khalid University, Abha, Saudi Arabia) standards and the principles outlined in the Declaration of Helsinki. Ethical approval for our research (REC# 24/33/489) was granted by the Ethics Committee of KKU’s Research Deanship and approved by the King Khalid University Institutional Review Board. Informed consent was obtained from all participants, with a clear explanation of the study’s purpose, procedures, potential risks, and benefits. Participants had the right to withdraw from the study at any point without facing any consequences. To ensure participant confidentiality, data were anonymized and securely stored, with access restricted to the research team.
2.5. Shoulder Muscle Strength Evaluation Using Hand-Held Dynamometer
Shoulder muscle strength assessment using a handheld dynamometer (Baseline Corporation, Irvington, NY, USA) was conducted using a rigorous and standardized approach, overseen by an experienced physiotherapist. Subjects were seated on a standard chair to ensure stability during the evaluations. For shoulder flexion, the upper extremity was positioned at a 90-degree angle, and the dynamometer was placed approximately 5 cm above the elbow joint on the humerus. Shoulder abduction strength was assessed with the arm raised to about 80 degrees and the elbow fully flexed. During shoulder internal and external rotation assessments, the shoulder was maintained vertically, and the elbow was flexed to 90 degrees. The dynamometer was positioned on the forearm, 5 cm above the wrist, for internal and external rotation testing. The physiotherapist provided consistent verbal encouragement to elicit maximal voluntary isometric force during each 3 s contraction, emphasizing the need to exert maximum effort. Three measurements were taken for each direction, and the average value in kilograms (kg) was recorded for analysis. A 1 min rest period was allowed between attempts to minimize fatigue. Importantly, all assessments were conducted by the same physiotherapist, ensuring reliability and precision. This standardized approach minimized variability and contributed to the accuracy of the results, aligning with best practices in muscle strength evaluation using a handheld dynamometer.
2.6. Assessment of Shoulder JPS Using an Inclinometer
In the evaluation of shoulder JPS with dual inclinometers (J-Tech Medical, Midvale, UT, USA), a rigorous and systematic approach was employed to ensure the precision and reliability of measurements. In the evaluation of shoulder proprioception, a digital inclinometer (Figure 1) was utilized to assess proprioceptive ability during specific shoulder joint movements, including flexion, abduction at an angle of 60 degrees, and internal and external rotations at an angle of 20 degrees.
Figure 1.
Assessment of shoulder proprioception during (A) flexion, (B) abduction, and (C) internal and external rotations.
The assessment was conducted using the Active Re-position Test, which involved three repetitions at each angle [33,34]. Flexion and abduction JPS assessments were conducted with participants in a standing position, while the evaluation of medial and lateral rotations was performed with subjects lying on a couch, with their shoulders abducted to 90 degrees. To eliminate the influence of visual input, participants were blindfolded during the assessment. The digital inclinometer was carefully positioned at the point where the deltoid muscle meets the shoulder blade. A skilled physiotherapist administered the test by guiding the participants’ arms from the starting position (0 degrees) to the target angles (60 degrees for flexion and abduction; 20 degrees for medial and lateral rotations). The arm was held at each target angle for 5 s, allowing participants to memorize the position before returning to the starting position. Subsequently, participants were instructed to independently move their arms toward each target angle. The disparity between the target angle and the angle actively formed by the participants was measured and recorded in degrees. Subsequently, the collected data, expressed in degrees, underwent thorough analysis to assess the participants’ ability to accurately reproduce the target shoulder joint position. The analysis often involved calculating the absolute error, representing the difference between the target and reproduced angles. Smaller absolute errors indicated more accurate position sense. This process was repeated three times for each angle to ensure consistency and reliability. The average difference obtained from these three tests at each angle was calculated and recorded for further analysis.
2.7. Assessment of Pain among SIS Patients Using Visual Analog Scale (VAS)
The VAS has emerged as a crucial tool for the comprehensive assessment of pain in SIS patients [35]. It offers a systematic means of quantifying pain intensity, allowing individuals to subjectively rate their discomfort. In the context of SIS, the VAS not only serves as an initial baseline assessment with which to gauge pain severity but also aids in pinpointing pain localization within the shoulder complex [35]. Dynamic assessments using the VAS during specific activities provide valuable insights into pain triggers and functional limitations [36]. Longitudinal use of the VAS facilitates the monitoring of pain progression, the assessment of treatment effectiveness, and the enhancement of patient-centered care by involving patients in their pain management [37]. This quantifiable approach to pain assessment is invaluable in clinical practice and research, supporting a holistic understanding of pain in SIS and guiding tailored interventions for improved patient outcomes [37].
2.8. Sample Size Calculation
In the planning phase of our investigation into SIS, we conducted rigorous sample size calculations guided by effect size estimates from a prior study conducted by Alfaya et al. [33], specifically pertaining to the shoulder JPS variable. The effect size obtained from this reference study, which was approximately d = 0.5 and considered moderate within the context of SIS research, played a crucial role in our calculations. To ensure the statistical robustness of our study, we determined that a sample size of 50 subjects in each group, comprising individuals with SIS and age-matched control participants, would be adequate. These calculations adhered to standard research practices, incorporating a significance level (α) of 0.05 and a power of 0.80. This careful consideration of sample size not only bolstered this study’s statistical power but also allowed us to uphold ethical standards by minimizing participant burden. Importantly, it positioned us such that we could contribute valuable insights into SIS and its clinical implications, grounded in established effect size estimates, enhancing the overall rigor and impact of our research.
2.9. Data Analysis Section
In our study investigating SIS and its relationships with shoulder muscle strength, JPS, and pain, we conducted a meticulous data analysis. We would like to emphasize that our collected data exhibited a normal distribution when subjected to relevant tests for normality, validating the appropriateness of employing parametric statistical methods. Our analytical arsenal included Pearson correlation analysis, which was employed to assess correlations between variables, particularly with respect to examining the associations between shoulder muscle strength, JPS, and pain. For investigating the mediation effect, we utilized multiple regression models to understand the intricate relationships within our study framework (Figure 2).
Figure 2.
Illustrating the mediation model, which incorporates pain as a mediating factor between shoulder muscle strength and shoulder joint position sense.
All data analyses were executed using the Statistical Package for the Social Sciences (SPSS), with a significance level (α) set at 0.05 for hypothesis testing.
3. Results
This study’s demographic analysis revealed that the SIS group (N = 50) and the Healthy group (N = 50) were generally well-matched in terms of age, gender, dominant arm, ethnicity, education level, employment status, and marital status, indicating the successful establishment of comparable study cohorts (Table 1). However, the SIS group exhibited a slightly higher mean BMI compared to the Healthy group, and the difference was statistically significant. The symptom duration was specific to the SIS group and showed a mean duration of 12.3 ± 6.8 months. These demographic findings provided a solid foundation for subsequent analyses, allowing for the assessment of the influence of these characteristics on the study’s primary outcomes related to shoulder muscle strength, joint position sense, and pain mediation effects.
Table 1.
Demographic characteristics of study participants.
The results of the comparison between the SIS group and the Healthy group for shoulder muscle strength and joint position sense are summarized in Table 2.
Table 2.
Comparison of shoulder muscle strength and joint position sense between SIS and Healthy groups.
In the comparison between individuals with SIS and a healthy control group, significant differences were observed in both shoulder muscle strength and joint position sense. The SIS group exhibited substantially lower shoulder muscle strength in flexors, abductors, medial rotators, and lateral rotators compared to the healthy group, with large effect sizes (Cohen’s d ranging from 0.51 to 0.84) and p-values less than 0.001. Furthermore, the individuals with SIS displayed significantly larger degrees of error in shoulder joint position sense during flexion, abduction, medial rotation, and lateral rotation, with effect sizes ranging from 1.45 to 2.69, all indicating a highly significant impairment in proprioceptive ability (p < 0.001). These results underscore the substantial functional deficits associated with SIS, emphasizing the need for targeted rehabilitation strategies to address both muscle weakness and proprioceptive impairments in this patient population. The correlations between shoulder muscle strength and joint position sense in various directions revealed significant associations (Table 3 and Figure 3).
Table 3.
Correlations between shoulder muscle strength (kg) and JPS in various directions.
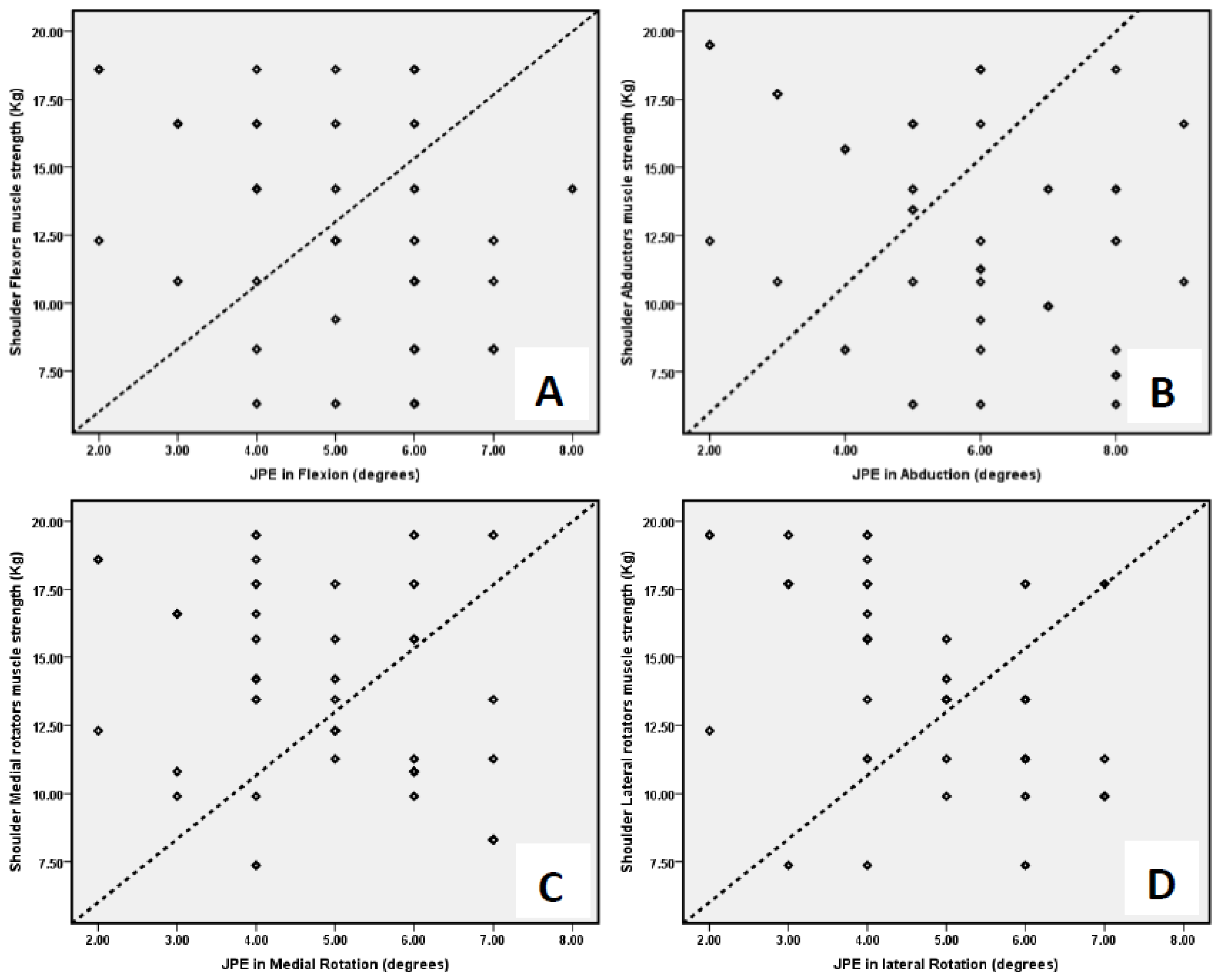
Figure 3.
Correlation between shoulder muscle strength and joint position sense: (A) flexion muscle strength vs. JPE during flexion; (B) abduction muscle strength vs. JPE during abduction; (C) medial rotator muscle strength vs. JPE during medial rotation; (D) lateral rotator muscle strength vs. JPE during lateral rotation.
Strong positive correlations were observed between flexor strength and joint position sense during flexion (r = 0.62, p < 0.001) as well as between medial rotators and joint position sense during medial rotation (r = 0.62, p < 0.001). Similarly, moderate positive correlations were found between abductors and joint position sense during medial rotation (r = 0.59, p < 0.001) and between lateral rotators and joint position sense during lateral rotation (r = 0.63, p < 0.001). These results suggest that greater muscle strength is associated with improved proprioceptive ability in specific directions. The significance of these correlations underscores the interplay between muscle strength and proprioception in shoulder function, providing valuable insights for developing tailored rehabilitation strategies for individuals with SIS.
The Mediation effect of pain on the relationship between shoulder muscle strength joint position sense, and pain in different directions and sway parameters are summarized in Table 4.
Table 4.
Mediation effect of pain on the relationship between shoulder muscle strength (kg), joint position sense, and pain in different directions and sway parameters.
For the interaction of Pain × Shoulder Flexion × JPS Flexion, the total effect (c + a × b) was 0.60 (p = 0.001). This effect was partially mediated, with a direct effect (c-Path) equal to 0.23 (p < 0.001) and an indirect effect (b-Path) equal to 0.07 (p = 0.005). In the case of Pain × Shoulder Abduction × JPS Abduction, the total effect was equal to 0.58 (p = 0.001). This effect was also partially mediated, with a direct effect equal to 0.21 (p < 0.001) and an indirect effect equal to 0.08 (p = 0.004). For Pain × Medial Rotation × JPS Medial Rotation, the total effect was equal to 0.42 (p = 0.002). This effect was partially mediated, with a direct effect equal to 0.15 (p < 0.001) and an indirect effect equal to 0.04 (p = 0.001). Similarly, for Pain × Lateral Rotation × JPS Lateral Rotation, the total effect was equal to 0.38 (p = 0.003). This effect was partially mediated, with a direct effect equal to 0.14 (p < 0.001) and an indirect effect equal to 0.03 (p = 0.001). These results indicate that pain significantly influences the relationship between shoulder muscle strength, JPS, and pain in various directions among individuals with SIS. Our mediation analysis highlights the intricate connections between these variables, shedding light on the role of pain in shaping shoulder function and proprioception in individuals with SIS.
4. Discussion
This study’s objectives were comprehensively addressed, presenting the following key findings: The individuals with SIS exhibited significantly lower shoulder muscle strength and JPS in various directions compared to healthy controls. Additionally, strong positive correlations were identified between shoulder muscle strength and JPS among the SIS individuals, emphasizing the interplay between these factors. Furthermore, pain was found to partially mediate the relationship between muscle strength and JPS in SIS, highlighting the crucial role of pain management in SIS rehabilitation. These results enhance our understanding of the intricate dynamics among these variables and their clinical implications for managing SIS.
In line with previous research [38,39,40], the findings of our study provide crucial insights into the profound functional deficits experienced by individuals with SIS when compared to a healthy control group. These deficits are evident in two fundamental aspects of shoulder function, namely, muscle strength and joint position sense, each playing a critical role in shoulder biomechanics and overall upper extremity function [41]. The reduced muscle strength observed among individuals with SIS is multifactorial. It is primarily attributed to the presence of pain and inflammation, which can lead to pain-related inhibition of muscle activation and subsequent disuse atrophy [42,43]. Additionally, altered neuromuscular control patterns induced by pain can compromise coordinated muscle recruitment during shoulder movements, further contributing to strength deficits [43]. These findings are consistent with those reported in previous studies, highlighting the importance of addressing pain management and performing muscle-strengthening interventions in the rehabilitation of individuals with SIS in order to improve their functional capacity and quality of life [42,43].
The compromised proprioceptive ability of SIS individuals can be attributed to several factors, including pain-induced alterations in sensory feedback mechanisms and structural changes within the shoulder joint that mechanically interfere with proprioceptive receptors [44]. These proprioceptive deficits can negatively impact motor control and joint stability, potentially contributing to recurrent episodes of shoulder impingement and pain [33,45,46]. The observed reductions in muscle strength and proprioception among individuals with SIS find substantial support in the existing body of research within the realm of shoulder pathology and rehabilitation [47,48,49]. These studies, including those reported by Ludewig and Braman [50], Struyf et al. [51], Maenhout et al. [52], and Cools et al. [53], collectively corroborate our findings. They emphasize the prevalence of biomechanical alterations, muscle weaknesses, scapular dysfunctions, altered shoulder kinematics, and muscle imbalances and the clinical relevance of addressing muscle strength and proprioception for individuals with impingement-related symptoms [54,55]. The substantial effect sizes and highly significant p-values in our study further underscore the functional deficits associated with SIS. These insights emphasize the imperative for comprehensive rehabilitation approaches intended to ameliorate both muscle weakness and proprioceptive impairments in SIS patients, ultimately enhancing their overall shoulder function and quality of life.
Our findings illuminate intriguing connections between muscle strength and proprioception in various shoulder directions. Notably, we observed a strong positive correlation between shoulder flexor strength and JPS during flexion (r = 0.62, p < 0.001), indicating that individuals with greater flexor strength tend to have more accurate proprioceptive perception during flexion movements. This finding underscores the interplay between muscle strength and proprioception, suggesting that improved muscle strength may contribute to enhanced proprioceptive acuity [56,57]. Similar positive correlations between muscle strength and JPS were identified for other muscle groups and movement directions within the SIS cohort [58,59]. These results echo previous research findings reported by Struyf et al. [60], emphasizing the pivotal role of muscle strength in augmenting proprioceptive capabilities [61]. The mechanism underlying this correlation may involve sensory feedback from muscle spindles and mechanoreceptors, which are sensitive to changes in muscle length and tension [62]. Increased muscle strength could enhance the precision of proprioceptive signals, ultimately leading to more accurate joint position perception [63].
Our mediation analysis unearthed a compelling discovery: pain plays a pivotal role in mediating the connection between muscle strength and proprioception, primarily operating through the indirect pathway (b-path). This signifies that pain acts as a mediator, partially explaining the relationship between muscle strength and JPS across different shoulder movements among individuals with SIS [64,65]. It is important to note that even though the direct effect (c-path) of pain with respect to both muscle strength and JPS remained statistically significant, the mediation effect accentuated the nuanced influence of pain. This mediation effect underscores the multidimensional impact of pain on shoulder function and proprioceptive abilities, indicating that pain is not merely a by-product but an active contributor to the interplay between muscle strength and proprioception in individuals with SIS [64,65]. This finding resonates with the broader literature, highlighting the intricate connection between pain, muscle function, and proprioception in musculoskeletal conditions [66,67,68]. Previous studies have suggested that pain can disrupt neuromuscular control, altering muscle recruitment patterns and, consequently, affecting proprioceptive feedback [33,69,70]. Furthermore, pain-related fear and avoidance behaviors may lead to the disuse of certain muscle groups, exacerbating muscle weakness and further compromising proprioceptive acuity [71].
Our results underscore the significance of comprehensive pain management strategies in the rehabilitation of individuals with SIS. Beyond its direct impact on pain reduction, effective pain management may indirectly enhance muscle strength and proprioception by mitigating the mediating role of pain. This holistic approach aligns with contemporary paradigms in musculoskeletal rehabilitation, emphasizing the importance of addressing the symptoms of and underlying mechanisms contributing to functional impairment.
4.1. Clinical Significance
Our study provides valuable clinical insights into SIS through the comprehensive assessment of shoulder muscle strength, JPS, and their relationship with pain in affected individuals. These findings offer several significant contributions to clinical practice. First, they underscore the importance of tailored rehabilitation strategies, allowing clinicians to develop targeted exercise programs addressing specific muscle deficits and proprioceptive impairments, ultimately optimizing functional outcomes for SIS patients [72]. Additionally, our identification of pain as a mediator highlights the need for effective pain management strategies in SIS treatment, guiding clinicians in implementing comprehensive pain management approaches. Furthermore, our study emphasizes the clinical relevance of assessing both muscle strength and JPS as diagnostic and monitoring tools, facilitating objective, measurement-based treatment decisions. Ultimately, our research is intended to enhance the quality of life and functional capacity of individuals with SIS via providing information for evidence-based clinical practices, ultimately leading to improved patient outcomes.
4.2. Strengths of the Study
We employed a comprehensive approach in our study by assessing multiple aspects of shoulder function in individuals with SIS, including muscle strength, JPS, and pain. With a substantial sample size and rigorous methodology, including standardized assessments and statistical analyses, our research method ensures the reliability and validity of our findings. This emphasis on clinical relevance and the strength of our work directly address the challenges posed by SIS, making it highly applicable to healthcare practitioners working with affected individuals.
4.3. Limitations of the Study
This study has several limitations, including a cross-sectional design, limiting the establishment of causality, and a relatively small sample size, which may affect the generalizability of our findings. While our results indicate associations between shoulder muscle strength, JPS, and pain in individuals with SIS, it is important to recognize that our study design does not allow for the determination of causality. Future research should employ longitudinal designs and larger cohorts to further investigate the causal relationships between pain, muscle strength, and proprioception in individuals with SIS. Additionally, interventions targeting pain management and muscle strength improvement should be explored to provide more definitive insights into their clinical efficacy. Furthermore, our study focused on a specific age group (18–65 years), which may not represent the full spectrum of individuals with SIS, and future investigations should consider broader age ranges to better represent the SIS population. Lastly, we did not assess other potentially relevant factors, such as the influence of comorbidities or the duration of symptoms, which could impact shoulder function and warrant consideration in future studies.
5. Conclusions
In conclusion, this study provides valuable insights into the relationships between shoulder muscle strength, JPS, and pain in individuals with SIS. The findings highlight the importance of addressing muscle weakness and pain in the management of SIS to enhance both function and proprioceptive abilities. This multifaceted approach can contribute to improved clinical outcomes and better quality of life for individuals grappling with SIS-related shoulder impairments.
Author Contributions
Conceptualization, F.F.A., R.S.R., M.S.A., B.A.A., A.P.G., S.A.A., D.M., R.S.A., H.S.H.G., M.A.M.J. and M.S.; methodology F.F.A., R.S.R., M.S.A., B.A.A., A.P.G., D.M., R.S.A., H.S.H.G., S.A.A., M.A.M.J. and M.S.; formal analysis, F.F.A., R.S.R., M.S.A., B.A.A., A.P.G., D.M., R.S.A., H.S.H.G., M.A.M.J. and M.S.; investigation, F.F.A., R.S.R., M.S.A., B.A.A., A.P.G., D.M., R.S.A., H.S.H.G., M.A.M.J. and M.S.; data curation F.F.A., R.S.R., M.S.A., B.A.A., A.P.G., D.M., R.S.A., H.S.H.G., M.A.M.J. and M.S.; writing—original draft preparation, F.F.A., R.S.R., M.S.A., A.P.G., S.A.A. and B.A.A.; writing—review and editing F.F.A., R.S.R., M.S.A., B.A.A., A.P.G., D.M., R.S.A., H.S.H.G., M.A.M.J. and M.S.; funding acquisition, A.P.G. All authors have read and agreed to the published version of the manuscript.
Funding
The authors extend their appreciation to the Deanship of Scientific Research at King Khalid University for funding this work through a small group Research Project under grant number: RGP. 1/255/44.
Institutional Review Board Statement
The study was conducted in accordance with the Declaration of Helsinki and approved by the Institutional Review Board (or Ethics Committee) of King Khalid University (protocol code: REC# 24/33/489 and date of approval: 25 April 2022) for studies involving humans.
Informed Consent Statement
Informed consent was obtained from all subjects involved in the study.
Data Availability Statement
The dataset employed in this study is accessible through the corresponding author, R.S.R., and will be made available upon formal request.
Acknowledgments
The authors extend their appreciation to the Deanship of Scientific Research at King Khalid University for funding this work through small groups Project under grant number: RGP. 1/255/44.
Conflicts of Interest
Authors declare no conflict of interest.
References
- Kim, J.-H. Search for medical information and treatment options for musculoskeletal disorders through an artificial intelligence chatbot: Focusing on shoulder impingement syndrome. medRxiv 2022. [Google Scholar] [CrossRef]
- Lucas, J.; van Doorn, P.; Hegedus, E.; Lewis, J.; van der Windt, D. A systematic review of the global prevalence and incidence of shoulder pain. BMC Musculoskelet. Disord. 2022, 23, 1073. [Google Scholar] [CrossRef] [PubMed]
- Park, S.W.; Chen, Y.T.; Thompson, L.; Kjoenoe, A.; Juul-Kristensen, B.; Cavalheri, V.; McKenna, L. No relationship between the acromiohumeral distance and pain in adults with subacromial pain syndrome: A systematic review and meta-analysis. Sci. Rep. 2020, 10, 20611. [Google Scholar] [CrossRef] [PubMed]
- Via, R.G.; Bosco, F.; Giustra, F.; Lavia, A.D.; Artiaco, S.; Risitano, S.; Giachino, M.; Massè, A. Acute Rockwood type III ACJ dislocation: Conservative vs surgical approach. A systematic review and meta-analysis of current concepts in literature. Injury 2022, 53, 3094–3101. [Google Scholar]
- Cuff, A.; Littlewood, C. Subacromial impingement syndrome–what does this mean to and for the patient? A qualitative study. Musculoskelet. Sci. Pract. 2018, 33, 24–28. [Google Scholar] [CrossRef]
- Bolia, I.K.; Collon, K.; Bogdanov, J.; Lan, R.; Petrigliano, F.A. Management options for shoulder impingement syndrome in athletes: Insights and future directions. Open Access J. Sports Med. 2021, 12, 43–53. [Google Scholar] [CrossRef]
- Tyagi, A.; Kale, A.; Desouza, C. To determine the efficacy of Neer’s test in the diagnosis of subacromial impingement of the shoulder. Int. J. Orthop. 2020, 6, 901–904. [Google Scholar] [CrossRef]
- Geyer, M.; Schönfeld, C. Novel insights into the pathogenesis of osteoarthritis. Curr. Rheumatol. Rev. 2018, 14, 98–107. [Google Scholar] [CrossRef]
- Efstathiou, M.A.; Giannaki, C.D.; Roupa, Z.; Hadjisavvas, S.; Stefanakis, M. Evidence of distorted proprioception and postural control in studies of experimentally induced pain: A critical review of the literature. Scand. J. Pain 2022, 22, 445–456. [Google Scholar] [CrossRef]
- Sarkodie-Gyan, T.; Yu, H. The Human Locomotor System: Physiological and Technological Foundations. In The Human Locomotor System: Physiological and Technological Foundations; Springer: Berlin/Heidelberg, Germany, 2023; pp. 1–76. [Google Scholar]
- Chiddarwar, V.; de Zoete, R.M.; Dickson, C.; Lathlean, T. Effectiveness of combined surgical and exercise-based interventions following primary traumatic anterior shoulder dislocation: A systematic review and meta-analysis. Br. J. Sports Med. 2023, 11, 236. [Google Scholar] [CrossRef]
- Simpson, H. The Effects of Injury on the Neuromotor Control of the Shoulder; East Carolina University: Greenville, SC, USA, 2020. [Google Scholar]
- Hazari, A.; Maiya, A.G.; Nagda, T.V.; Hazari, A.; Maiya, A.G.; Nagda, T.V. Kinematics and Kinetics of Shoulder Complex, Elbow, and Wrist. In Conceptual Biomechanics and Kinesiology; Springer: Singapore, 2021; pp. 67–95. [Google Scholar]
- Russell, M.S. The Effect of Neck Muscle Fatigue on Shoulder Humeral Rotation Proprioception; University of Ontario Institute of Technology (Canada): Oshawa, ON, Canada, 2020. [Google Scholar]
- Kantak, S.S.; Johnson, T.; Zarzycki, R. Linking pain and motor control: Conceptualization of movement deficits in patients with painful conditions. Phys. Ther. 2022, 102, pzab289. [Google Scholar] [CrossRef] [PubMed]
- Mukhopadhyay, K. Proprioception and Kinesthesia: The sixth sense organ. Adv. Health Exerc. 2021, 1, 12–17. [Google Scholar]
- Jooya, P.; Delavari, F. The Proprioceptive System. In Biophysics and Neurophysiology of the Sixth Sense; Springer: Cham, Switzerland, 2019; pp. 85–98. [Google Scholar]
- Schmidt, M.D.; Glasmachers, T.; Iossifidis, I. The concepts of muscle activity generation driven by upper limb kinematics. BioMed. Eng. OnLine 2023, 22, 63. [Google Scholar] [CrossRef]
- Arora, K.; Chakrabarty, S. A Simplified Model of Motor Control. bioRxiv 2022. [Google Scholar] [CrossRef]
- McNeill, E.; Campbell, M.J.; Toth, A.J.; Harrison, A.J. Watch, Imagine, and Perform? The Effect of Motor Simulation Interventions on Sensorimotor Task Performance; University of Limerick: Limerick, Ireland, 2022. [Google Scholar]
- Brewer, C. Athletic Movement Skills: Training for Sports Performance; Human Kinetics: Champaign, IL, USA, 2017. [Google Scholar]
- Gibson, K.; Growse, A.; Korda, L.; Wray, E.; MacDermid, J.C. The effectiveness of rehabilitation for nonoperative management of shoulder instability: A systematic review. J. Hand Ther. 2004, 17, 229–242. [Google Scholar] [CrossRef]
- Viglialoro, R.M.; Condino, S.; Turini, G.; Carbone, M.; Ferrari, V.; Gesi, M. Review of the augmented reality systems for shoulder rehabilitation. Information 2019, 10, 154. [Google Scholar] [CrossRef]
- Kibler, W.B.; Sciascia, A.; Tokish, J.; Kelly IV, J.D.; Thomas, S.; Bradley, J.P.; Reinold, M.; Ciccotti, M. Disabled throwing shoulder 2021 update: Part 1—Anatomy and mechanics. Arthrosc. J. Arthrosc. Relat. Surg. 2022, 38, 1714–1726. [Google Scholar] [CrossRef]
- Lv, S.; Wang, Q.; Ni, Q.; Qi, C.; Ma, Y.; Li, S.; Xu, Y. Progress of Muscle Chain Theory in Shoulder Pain Rehabilitation: Potential Ideas for Pulmonary Rehabilitation. Evid.-Based Complement. Altern. Med. 2022, 2022, 2537957. [Google Scholar] [CrossRef]
- Lansdaal, J.R.; van den Bekerom, M.P.; Cools, A.M.; Jones, V.; Lefevre, N.; Servien, E. Specific Aspects of Throwing Sports in Recreational and Competitive Sport. In Prevention of Injuries and Overuse in Sports: Directory for Physicians, Physiotherapists, Sport Scientists and Coaches; Springer: Berlin/Heidelberg, Germany, 2016; pp. 101–115. [Google Scholar]
- Başkurt, Z.; Başkurt, F.; Gelecek, N.; Özkan, M.H. The effectiveness of scapular stabilization exercise in the patients with subacromial impingement syndrome. J. Back Musculoskelet. Rehabil. 2011, 24, 173–179. [Google Scholar] [CrossRef]
- Lefèvre-Colau, M.-M.; Nguyen, C.; Palazzo, C.; Srour, F.; Paris, G.; Vuillemin, V.; Poiraudeau, S.; Roby-Brami, A.; Roren, A. Kinematic patterns in normal and degenerative shoulders. Part II: Review of 3-D scapular kinematic patterns in patients with shoulder pain, and clinical implications. Ann. Phys. Rehabil. Med. 2018, 61, 46–53. [Google Scholar] [CrossRef]
- Garving, C.; Jakob, S.; Bauer, I.; Nadjar, R.; Brunner, U.H. Impingement syndrome of the shoulder. Dtsch. Ärzteblatt Int. 2017, 114, 765. [Google Scholar] [CrossRef] [PubMed]
- Ghosh, S. Pain in Perspective; BoD–Books on Demand: Norderstedt, Germany, 2012. [Google Scholar]
- de la Barra Ortiz, H.A.; Matamala, A.M.; Inostroza, F.L.; Araya, C.L.; Mondaca, V.N. Efficacy of biofeedback in rehabilitation of musculoskeletal disorders: A systematic review. Postep. Rehabil. 2022, 36, 41. [Google Scholar] [CrossRef]
- Tamin, T.Z. Anatomy, Kinesiology, Pathomechanics, and Diagnosis of Shoulder Impingement Symptomp. In Proceedings of the 11th National Congress and the 18th Annual Scientific Meeting of Indonesian Physical Medicine and Rehabilitation Association (KONAS XI and PIT XVIII PERDOSRI 2019), Jakarta, Indonesia, 20–23 November 2019; pp. 20–23. [Google Scholar]
- Alfaya, F.F.; Reddy, R.S.; Alkhamis, B.A.; Kandakurti, P.K.; Mukherjee, D. Shoulder Proprioception and Its Correlation with Pain Intensity and Functional Disability in Individuals with Subacromial Impingement Syndrome—A Cross-Sectional Study. Diagnostics 2023, 13, 2099. [Google Scholar] [CrossRef] [PubMed]
- Ager, A.L.; Roy, J.-S.; Roos, M.; Belley, A.F.; Cools, A.; Hébert, L.J. Shoulder proprioception: How is it measured and is it reliable? A systematic review. J. Hand Ther. 2017, 30, 221–231. [Google Scholar] [CrossRef]
- Akhtar, M.; Karimi, H.; Gilani, S.A.; Ahmad, A.; Raza, A. The effectiveness of routine physiotherapy with and without neuromobilization on pain and functional disability in patients with shoulder impingement syndrome; a randomized control clinical trial. BMC Musculoskelet. Disord. 2020, 21, 770. [Google Scholar] [CrossRef]
- Zheng, X.; Reneman, M.F.; Preuper, R.H.S.; Otten, E.; Lamoth, C.J. Relationship between physical activity and central sensitization in chronic low back pain: Insights from machine learning. Comput. Methods Programs Biomed. 2023, 232, 107432. [Google Scholar] [CrossRef]
- Beletsky, A.; Nwachukwu, B.U.; Gorodischer, T.; Chahla, J.; Forsythe, B.; Cole, B.J.; Verma, N.N. Psychometric properties of visual analog scale assessments for function, pain, and strength compared with disease-specific upper extremity outcome measures in rotator cuff repair. JSES Int. 2020, 4, 619–624. [Google Scholar] [CrossRef]
- Keenan, K.A.; Akins, J.S.; Varnell, M.; Abt, J.; Lovalekar, M.; Lephart, S.; Sell, T.C. Kinesiology taping does not alter shoulder strength, shoulder proprioception, or scapular kinematics in healthy, physically active subjects and subjects with Subacromial Impingement Syndrome. Phys. Ther. Sport 2017, 24, 60–66. [Google Scholar] [CrossRef]
- Dilek, B.; Gulbahar, S.; Gundogdu, M.; Ergin, B.; Manisali, M.; Ozkan, M.; Akalin, E. Efficacy of proprioceptive exercises in patients with subacromial impingement syndrome: A single-blinded randomized controlled study. Am. J. Phys. Med. Rehabil. 2016, 95, 169–182. [Google Scholar] [CrossRef]
- İğrek, S.; Çolak, T.K. Comparison of the effectiveness of proprioceptive neuromuscular facilitation exercises and shoulder mobilization patients with Subacromial Impingement Syndrome: A randomized clinical trial. J. Bodyw. Mov. Ther. 2022, 30, 42–52. [Google Scholar] [CrossRef]
- Mendez-Rebolledo, G.; Ager, A.L.; Ledezma, D.; Montanez, J.; Guerrero-Henriquez, J.; Cruz-Montecinos, C. Role of active joint position sense on the upper extremity functional performance tests in college volleyball players. PeerJ 2022, 10, e13564. [Google Scholar] [CrossRef] [PubMed]
- Makki, A.T. Subacromial Impingement Syndrome: A Study Using Clinical, Functional and Electromyography Assessments; The University of Liverpool (United Kingdom): Liverpool, UK, 2012. [Google Scholar]
- Aceituno-Gómez, J.; Avendaño-Coy, J.; Gómez-Soriano, J.; García-Madero, V.M.; Ávila-Martín, G.; Serrano-Muñoz, D.; González-González, J.; Criado-Álvarez, J.J. Efficacy of high-intensity laser therapy in subacromial impingement syndrome: A three-month follow-up controlled clinical trial. Clin. Rehabil. 2019, 33, 894–903. [Google Scholar] [CrossRef] [PubMed]
- Sahin, E.; Dilek, B.; Baydar, M.; Gundogdu, M.; Ergin, B.; Manisali, M.; Akalin, E.; Gulbahar, S. Shoulder proprioception in patients with subacromial impingement syndrome. J. Back Musculoskelet. Rehabil. 2017, 30, 857–862. [Google Scholar] [CrossRef]
- Mehrpour, Z.; Bagheri, S.; Letafatkar, A.; Mehrabian, H. The Effect of a Water-Based Training Program on Pain, Range of Motion and Joint Position Sense in Elite Female Swimmers with Impingement Syndrome. J. Adv. Sport Technol. 2020, 4, 72–81. [Google Scholar]
- Gliga, A.C.; Neagu, N.E.; Voidazan, S.; Popoviciu, H.V.; Bataga, T. Effects of a Novel Proprioceptive Rehabilitation Device on Shoulder Joint Position Sense, Pain and Function. Medicina 2022, 58, 1248. [Google Scholar] [CrossRef] [PubMed]
- Alahmari, K.A.; Reddy, R.S.; Silvian, P.; Ahmad, I.; Kakarparthi, V.N.; Rengaramanujam, K. Intra and inter-rater reliability for deep neck flexor and neck extensor muscle endurance tests in subjects with and without subclinical neck pain. Phys. Med. Rehabil. Kurortmed. 2019, 58, 310–316. [Google Scholar] [CrossRef]
- Neelapala, Y.R.; Reddy, Y.R.S.; Danait, R. Effect of mulligan’s posterolateral glide on shoulder rotator strength, scapular upward rotation in shoulder pain subjects–a randomized controlled trial. J. Musculoskelet. Res. 2016, 19, 1650014. [Google Scholar] [CrossRef]
- Kandakurti, P.K.; Reddy, R.S.; Kakarparthy, V.N.; Rengaramanujam, K.; Tedla, J.S.; Dixit, S.; Gautam, A.P.; Silvian, P.; Gular, K.; Eapen, C. Comparison and association of neck extensor muscles’ endurance and postural function in subjects with and without chronic neck pain–a cross-sectional study. Phys. Med. Rehabil. Kurortmed. 2021, 31, 295–301. [Google Scholar] [CrossRef]
- Ludewig, P.M.; Braman, J.P. Shoulder impingement: Biomechanical considerations in rehabilitation. Man. Ther. 2011, 16, 33–39. [Google Scholar] [CrossRef]
- Struyf, F.; Nijs, J.; Mottram, S.; Roussel, N.A.; Cools, A.M.; Meeusen, R. Clinical assessment of the scapula: A review of the literature. Br. J. Sports Med. 2014, 48, 883–890. [Google Scholar] [CrossRef]
- Maenhout, A.; Dhooge, F.; Van Herzeele, M.; Palmans, T.; Cools, A. Acromiohumeral distance and 3-dimensional scapular position change after overhead muscle fatigue. J. Athl. Train. 2015, 50, 281–288. [Google Scholar] [CrossRef] [PubMed]
- Cools, A.; Witvrouw, E.; Declercq, G.; Vanderstraeten, G.; Cambier, D. Evaluation of isokinetic force production and associated muscle activity in the scapular rotators during a protraction-retraction movement in overhead athletes with impingement symptoms. Br. J. Sports Med. 2004, 38, 64–68. [Google Scholar] [CrossRef] [PubMed]
- Singh, H.; Thind, A.; Mohamed, N.S. Subacromial Impingement Syndrome: A Systematic Review of Existing Treatment Modalities to Newer Proprioceptive-Based Strategies. Cureus 2022, 14, e28405. [Google Scholar] [CrossRef]
- Ravichandran, H.; Janakiraman, B.; Gelaw, A.Y.; Fisseha, B.; Sundaram, S.; Sharma, H.R. Effect of scapular stabilization exercise program in patients with subacromial impingement syndrome: A systematic review. J. Exerc. Rehabil. 2020, 16, 216. [Google Scholar] [CrossRef] [PubMed]
- Çalık, M.; Utlu, D.K.; Demirtaş, A.; Canbora, M.K.; Erdil, M.E.; Düzgün, İ. Is shoulder joint position sense affected in partial and full-thickness supraspinatus tears? Int. Orthop. 2023, 47, 1021–1029. [Google Scholar] [CrossRef] [PubMed]
- Ebrahimi Ghrehghoyonloo, M.; Sahebozamani, M.; Beyranvand, R.; Karimi Afshar, F. The effect of corrective exercises on shoulder pain and joint position sense in females with functional impingement syndrome. Daneshvar Med. 2020, 25, 17–24. [Google Scholar]
- de Lima Boarati, E.; Hotta, G.H.; McQuade, K.J.; de Oliveira, A.S. Acute effect of flexible bar exercise on scapulothoracic muscles activation, on isometric shoulder abduction force and proprioception of the shoulder of individuals with and without subacromial pain syndrome. Clin. Biomech. 2020, 72, 77–83. [Google Scholar] [CrossRef]
- Saadatian, A.; Babaei Khorzoghi, M.; Sahebozamani, M.; Taghi Karimi, M. The Impact of OKC Exercises and TRX Exercises on Shoulder Joint Proprioception in Overhead Athletes With Shoulder Impingement Syndrome: A Randomized Controlled Trial. Phys. Darmani 2022, 12, 77–84. [Google Scholar] [CrossRef]
- Struyf, F.; Lluch, E.; Falla, D.; Meeus, M.; Noten, S.; Nijs, J. Influence of shoulder pain on muscle function: Implications for the assessment and therapy of shoulder disorders. Eur. J. Appl. Physiol. 2015, 115, 225–234. [Google Scholar] [CrossRef]
- Wilk, K.E.; Williams, R.A., Jr.; Dugas, J.R.; Cain, E.L., Jr.; Andrews, J.R. Current concepts in the assessment and rehabilitation of the thrower’s shoulder. Oper. Tech. Sports Med. 2016, 24, 170–180. [Google Scholar] [CrossRef]
- Jahandideh Pashaki, Z.; Zandi, S.; Minoonejad, H. The Effects of rhythmic stabilization exercise on position sense, range of motion, strength and functional stability of shoulder in adolescent girl swimmers with shoulder impingement syndrome. Stud. Sport Med. 2022, 14, 135–158. [Google Scholar]
- Jacob, J.R. Effectiveness of Rhythmic Stabilization Technique (Pnf) with Conventional Physiotherapy in Osteoarthritis (Oa) Knee. Int. Neurourol. J. 2023, 27, 120–125. [Google Scholar]
- Hwang, Y.; Oh, J. The relationship between shoulder pain and shoulder disability in women: The mediating role of sleep quality and psychological disorders. Medicine 2022, 101, e31118. [Google Scholar] [CrossRef] [PubMed]
- Simon, C.B.; Valencia, C.; Coronado, R.A.; Wu, S.S.; Li, Z.; Dai, Y.; Farmer, K.W.; Moser, M.M.; Wright, T.W.; Fillingim, R.B. Biopsychosocial influences on shoulder pain: Analyzing the temporal ordering of postoperative recovery. J. Pain 2020, 21, 808–819. [Google Scholar] [CrossRef] [PubMed]
- Raizah, A.; Reddy, R.S.; Alshahrani, M.S.; Gautam, A.P.; Alkhamis, B.A.; Kakaraparthi, V.N.; Ahmad, I.; Kandakurti, P.K.; ALMohiza, M.A. A Cross-Sectional Study on Mediating Effect of Chronic Pain on the Relationship between Cervical Proprioception and Functional Balance in Elderly Individuals with Chronic Neck Pain: Mediation Analysis Study. J. Clin. Med. 2023, 12, 3140. [Google Scholar] [CrossRef]
- ALMohiza, M.A.; Reddy, R.S.; Asiri, F.; Alshahrani, A.; Tedla, J.S.; Dixit, S.; Gular, K.; Kakaraparthi, V.N. The mediation effect of pain on the relationship between Kinesiophobia and lumbar joint position sense in chronic low Back pain individuals: A cross-sectional study. Int. J. Environ. Res. Public Health 2023, 20, 5193. [Google Scholar] [CrossRef]
- Asiri, F.; Reddy, R.S.; Alshahrani, M.S.; Tedla, J.S.; Dixit, S.; Alshahrani, A.; Gular, K.; Raizah, A. Mediation Effect of Pain on the Relationship between Kinesiophobia and Postural Control: Comparison and Correlations in Individuals with Fibromyalgia Syndrome and Asymptomatic Individuals—A Cross-Sectional Study. Life 2023, 13, 175. [Google Scholar] [CrossRef]
- Lee, J.-D.; Shin, W.-S. Immediate effects of neuromuscular control exercise on neck pain, range of motion, and proprioception in persons with neck pain. Phys. Ther. Rehabil. Sci. 2020, 9, 1–9. [Google Scholar] [CrossRef][Green Version]
- Prochazka, A. Proprioception: Clinical relevance and neurophysiology. Curr. Opin. Physiol. 2021, 23, 100440. [Google Scholar] [CrossRef]
- Shenton, J.T.; Schwoebel, J.; Coslett, H.B. Mental motor imagery and the body schema: Evidence for proprioceptive dominance. Neurosci. Lett. 2004, 370, 19–24. [Google Scholar] [CrossRef]
- Alahmari, K.A.; Kakaraparthi, V.N.; Reddy, R.S.; Silvian, P.; Tedla, J.S.; Rengaramanujam, K.; Ahmad, I. Combined effects of strengthening and proprioceptive training on stability, balance, and proprioception among subjects with chronic ankle instability in different age groups: Evaluation of clinical outcome measures. Indian J. Orthop. 2021, 55, 199–208. [Google Scholar] [CrossRef] [PubMed]
Disclaimer/Publisher’s Note: The statements, opinions and data contained in all publications are solely those of the individual author(s) and contributor(s) and not of MDPI and/or the editor(s). MDPI and/or the editor(s) disclaim responsibility for any injury to people or property resulting from any ideas, methods, instructions or products referred to in the content. |
© 2023 by the authors. Licensee MDPI, Basel, Switzerland. This article is an open access article distributed under the terms and conditions of the Creative Commons Attribution (CC BY) license (https://creativecommons.org/licenses/by/4.0/).


