Control Strategies for Piston Trajectory in Ionic Compressors for Hydrogen Storage
Abstract
:1. Introduction
2. Methodology and Numerical Model
- (1)
- The system operation is considered an adiabatic process for design purposes;
- (2)
- The impact of ionic liquid fluctuations on the thermodynamic process is ignored;
- (3)
- The effects of the physical properties of the ionic liquids are neglected.
2.1. Research Methodology
2.2. Numerical Model
3. Results and Discussions
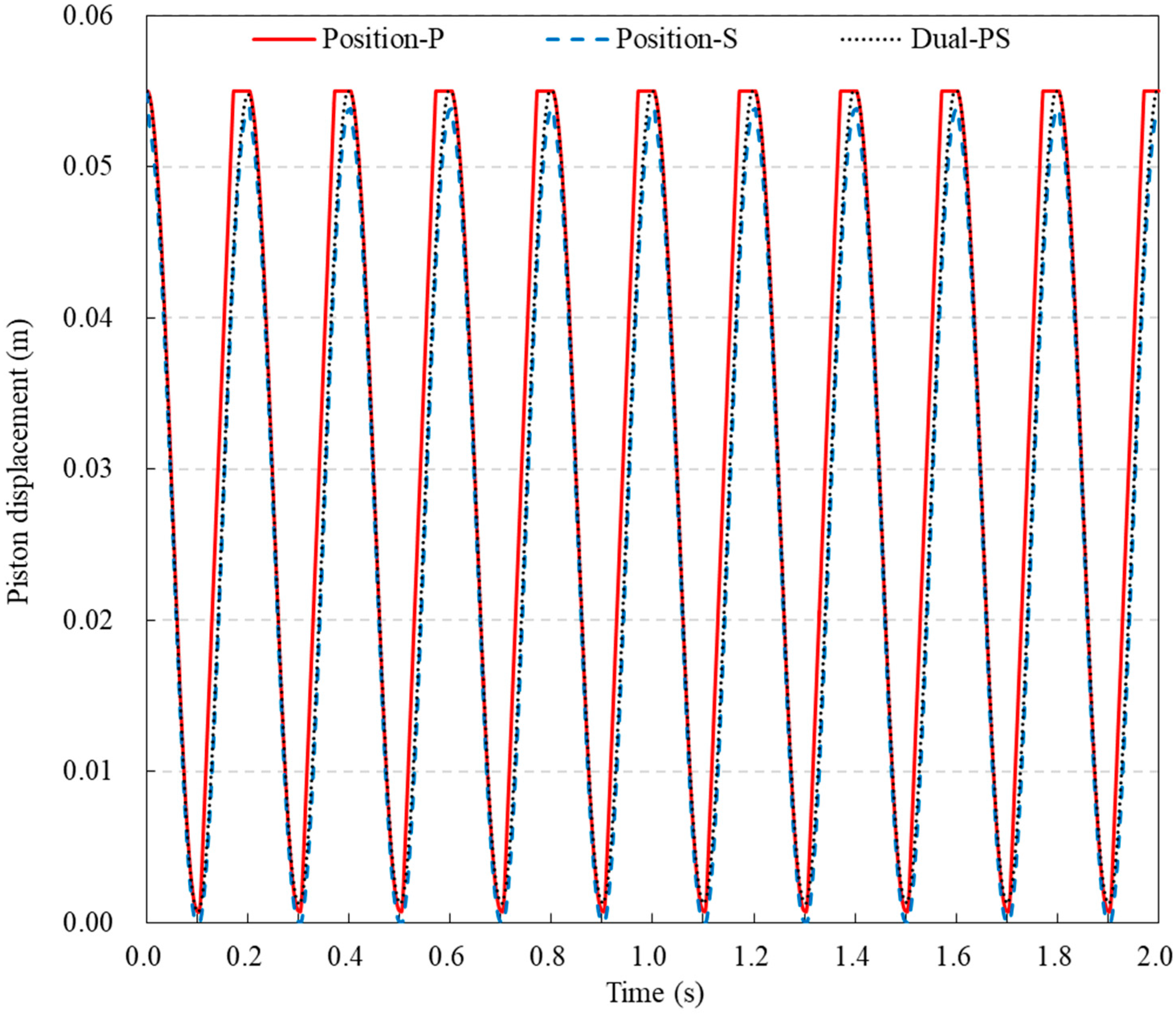
3.1. Results of Control Errors under Different Control Methods
3.2. Energy Consumption and Isothermal Efficiency Results When Using Different Control Methods
3.3. Hydrogen Discharge Mass and Specific Energy Consumption Results for Different Control Methods
3.4. Study Limitations and Future Work
4. Conclusions
- (1)
- The largest positive errors obtained for the Position-P, Position-S, and Dual-PS control methods were 0.68, 0.32, and 0.11 m/s, respectively.
- (2)
- The largest energy consumption for one operation was found to be 2726.54 J when the system was designed using Position-S control, whereas the smallest energy consumption was observed to be 2655.17 J with the Dual-PS control method. Concerning the compressor’s isothermal efficiency, the Position-P control method system demonstrated the highest isothermal efficiency at 50.28%. Although the Position-S control system exhibited the lowest isothermal efficiency, no significant difference was observed in the isothermal efficiency when compared to the Dual-PS control method.
- (3)
- The maximum mass delivered after a single compression process was 1.14 g, obtained using the Position-S control method, while the minimum was 1.11 g in the system using the Dual-PS control method. In terms of the specific energy consumption, it reached the largest value of 2410.92 J/g with the Position-P control method, while the lowest value was 2389.38 J/g for the system using the Dual-PS control method.
- (4)
- The Position-S control method was identified as the optimal solution for the ionic compressor under the designed conditions considering the control precision, the hydrogen mass delivered, and the specific energy consumption.
Author Contributions
Funding
Data Availability Statement
Conflicts of Interest
References
- Le, T.T.; Sharma, P.; Bora, B.J.; Tran, V.D.; Truong, T.H.; Le, H.C.; Nguyen, P.Q.P. Fueling the future: A comprehensive review of hydrogen energy systems and their challenges. Int. J. Hydrogen Energy 2023. [Google Scholar] [CrossRef]
- Wu, J.; Deng, S.; Zhu, Y.; Liu, Y.; Wu, Y.A.; Fu, R.; Hao, S. A Case of Interdisciplinary Fusion under Dual Carbon Goal: Coordinated Carbon Reduction with Greenhouse Photovoltaics and Electric Vehicles. Appl. Sci. 2023, 13, 2410. [Google Scholar] [CrossRef]
- Gómez-Coma, L.; Silva, D.L.; Ortiz, A.; Rangel, C.M.; Ortiz-Martínez, V.M.; Pinto, A.M.F.R.; Ortiz, I. Sustainable Additives for the Production of Hydrogen via Sodium Borohydride Hydrolysis. Appl. Sci. 2023, 13, 6995. [Google Scholar] [CrossRef]
- Syuy, A.V.; Shtarev, D.S.; Kozlova, E.A.; Kurenkova, A.Y.; Zhurenok, A.V.; Shtareva, A.V.; Gurin, M.S.; Tselikov, G.I.; Tikhonowski, G.V.; Arsenin, A.; et al. Photocatalytic Activity of TiNbC-Modified TiO2 during Hydrogen Evolution and CO2 Reduction. Appl. Sci. 2023, 13, 9410. [Google Scholar] [CrossRef]
- Hassan, Q.; Sameen, A.Z.; Salman, H.M.; Jaszczur, M.; Al-Jiboory, A.K. Hydrogen energy future: Advancements in storage technologies and implications for sustainability. J. Energy Storage 2023, 72, 108404. [Google Scholar] [CrossRef]
- Qiang, M.; Liu, M.; Zhao, Q.; Hou, Y.; Yan, S.; Lai, T. Feasibility Analysis of Adopting the Hydrogen Hydrostatic Thrust Bearing. Appl. Sci. 2023, 13, 9372. [Google Scholar] [CrossRef]
- Harichandan, S.; Kar, S.K. An empirical study on motivation to adopt hydrogen fuel cell vehicles in India: Policy implications for stakeholders. J. Clean. Prod. 2023, 408, 137198. [Google Scholar] [CrossRef]
- Mirzaei, S.; Ahmadpour, A.; Shao, Z.; Arami-Niya, A. Rational design of carbon-based materials for purification and storage of energy carrier gases of methane and hydrogen. J. Energy Storage 2022, 56, 105967. [Google Scholar] [CrossRef]
- Alzahrani, A. Portable Prototype of Hydrogen Fuel Cells for Educational Training. Appl. Sci. 2023, 13, 608. [Google Scholar] [CrossRef]
- Pedrazzi, S.; Zucchi, M.; Muscio, A.; Kaya, A.F. Liquid Organic Hydrogen Carriers Applied on Methane-Hydrogen-Fueled Internal Combustion Engines: A Preliminary Analysis of Process Heat Balance. Appl. Sci. 2023, 13, 4424. [Google Scholar] [CrossRef]
- Zhao, H.; Li, X.; Liu, Z.; Wen, H.; He, J. A Double Interpolation and Mutation Interval Reconstruction LMD and Its Application in Fault Diagnosis of Reciprocating Compressor. Appl. Sci. 2023, 13, 7543. [Google Scholar] [CrossRef]
- Brestovič, T.; Jasminská, N.; Lázár, M. Measurements of Operating Parameters of a Metal Hydride Compressor with a Heat Pump. Appl. Sci. 2022, 12, 3302. [Google Scholar] [CrossRef]
- Kim, M.S.; Kim, J.; Kim, S.Y.; Chu, C.H.; Rho, K.H.; Kim, M.; Kim, D.K. Parametric study on the performance of electrochemical hydrogen compressors. Renew. Energy 2022, 199, 1176–1188. [Google Scholar] [CrossRef]
- Guo, Y.; Wang, Q.; Ren, S.; Zhang, M.; Peng, X. Numerical investigation on the wave transformation in the ionic liquid compressor for the application in hydrogen refuelling stations. Int. J. Hydrogen Energy 2023, 48, 13955–13971. [Google Scholar] [CrossRef]
- Dhakal, P.; Shah, J.K. Developing machine learning models for ionic conductivity of imidazolium-based ionic liquids. Fluid Phase Equilibria 2021, 549, 113208. [Google Scholar] [CrossRef]
- Ding, H.; Ye, W.; Wang, Y.; Wang, X.; Li, L.; Liu, D.; Gui, J.; Song, C.; Ji, N. Process intensification of transesterification for biodiesel production from palm oil: Microwave irradiation on transesterification reaction catalyzed by acidic imidazolium ionic liquids. Energy 2018, 144, 957–967. [Google Scholar] [CrossRef]
- Jin, Y.; Guo, Y.; Zhang, S.; Jiang, J.; Peng, X. Study on the dynamic characteristics of the free piston in the ionic liquid compressor for hydrogen refuelling stations by the fluid-structure interaction modelling. Int. J. Hydrogen Energy 2023, 48, 25410–25422. [Google Scholar] [CrossRef]
- Shi, H.; Yang, H.; Gong, G.; Liu, H.; Hou, D. Energy saving of cutterhead hydraulic drive system of shield tunneling machine. Autom. Constr. 2014, 37, 11–21. [Google Scholar] [CrossRef]
- Van de Ven, J.D.; Li, P.Y. Liquid piston gas compression. Appl. Energy 2009, 86, 2183–2191. [Google Scholar] [CrossRef]
- Tian, Z.; Lv, H.; Zhou, W.; Zhang, C.; He, P. Review on equipment configuration and operation process optimization of hydrogen refueling station. Int. J. Hydrogen Energy 2022, 47, 3033–3053. [Google Scholar] [CrossRef]
- Wang, F.; Wu, J.; Xu, B.; Sun, Z. A Digital Hydraulic Load-Sensing System Based on Hydraulic Free Piston Engine. In Proceedings of the BATH/ASME 2022 Symposium on Fluid Power and Motion Control, Bath, UK, 14–16 September 2022. [Google Scholar]
- Terlip, D.; Peters, M.; Harrison, K. Hydrogen component validation. In Proceedings of the DOE Hydrogen and Fuel Cells Program and Vehicle Technologies Office Annual Merit Review and Peer Evaluation Meeting, Arlington, VA, USA, 8–12 June 2015. [Google Scholar]
- Zhang, C.; Lu, B.; Wang, J.; Zhu, L.; Xiao, J.; Sun, Z.; Huang, Z. Numerical analysis of ammonia HCCI combustion in a free piston engine through trajectory-based combustion control. Fuel 2023, 341, 127634. [Google Scholar] [CrossRef]
- Silva, E.; Dutra, T. Piston trajectory optimization of a reciprocating compressor. Int. J. Refrig. 2021, 121, 159–167. [Google Scholar] [CrossRef]
- Wei, Y.; Zuo, Z.; Jia, B.; Liang, K.; Feng, H. Operational optimisation of a novel dual-piston linear compressor: Simulation and experiment. Int. J. Refrig. 2021, 132, 82–91. [Google Scholar] [CrossRef]
- Feng, Y.; Jian, Z.; Li, J.; Tao, Z.; Wang, Y.; Xue, J. Advanced Control Systems for Axial Piston Pumps Enhancing Variable Mechanisms and Robust Piston Positioning. Appl. Sci. 2023, 13, 9658. [Google Scholar] [CrossRef]
- Zhu, Y.; Wang, Y.; Zhen, X.; Guan, S.; Wang, J.; Wu, Y.; Chen, Y.; Yin, S. The control of an opposed hydraulic free piston engine. Appl. Energy 2014, 126, 213–220. [Google Scholar] [CrossRef]
- Helian, B.; Chen, Z.; Yao, B. Adaptive Robust Motion Control of a Pump Direct Drive Electro-hydraulic System with Meter-Out Pressure Regulation. IFAC-PapersOnLine 2020, 53, 9005–9010. [Google Scholar] [CrossRef]
- Zhu, Q.; Zhang, J.; Li, X.; Zong, H.; Yu, B.; Ba, K.; Kong, X. An adaptive composite control for a hydraulic actuator impedance system of legged robots. Mechatronics 2023, 91, 102951. [Google Scholar] [CrossRef]
- Yan, X.; Chen, B.; Yin, F.; Ji, H.; Ma, Z.; Nie, S. Energy optimization of main hydraulic system in a forging press by simulation and experimental methods. Energy 2023, 277, 127620. [Google Scholar] [CrossRef]
- Chen, L.; Jiang, J.; Gao, W.; Wang, C.; Xu, W.; Ai, C.; Chen, G. Position control for a hydraulic loading system using the adaptive backsliding control method. Control Eng. Pract. 2023, 138, 105586. [Google Scholar] [CrossRef]
- Chen, Z.; Peng, L.; Fan, J.; Chen, Z.; Peng, T.; Yang, C. Fault Injection Strategies for Air Brake System of High-speed Train with AMESim/Simulink Co-simulation. IFAC-PapersOnLine 2022, 55, 803–808. [Google Scholar] [CrossRef]
- Palacios, A.; Cordova-Lizama, A.; Castro-Olivera, P.M.; Palacios-Rosas, E. Hydrogen production in Mexico: State of the art, future perspectives, challenges, and opportunities. Int. J. Hydrogen Energy 2022, 47, 30196–30212. [Google Scholar] [CrossRef]
- Tian, Y.; Zhang, X.-Y.; Shan, M.-M.; Qi, M.; Shu, C.-M.; Li, B.; Liu, Y. Methodology for optimally designing firewalls in hydrogen refueling stations. Int. J. Hydrogen Energy 2023. [Google Scholar] [CrossRef]
- Guo, Y.; Wang, Q.; Liu, X.; Zhang, M.; Peng, X. Numerical analysis of the dynamic two-phase flow behaviour in the ionic liquid compressor for hydrogen refuelling stations. Appl. Therm. Eng. 2023, 219, 119607. [Google Scholar] [CrossRef]
- Ren, T.; Xu, W.; Jia, G.-W.; Cai, M. A Novel Isothermal Compression Method for Energy Conservation in Fluid Power Systems. Entropy 2020, 22, 1015. [Google Scholar] [CrossRef]












| Parameter Name | Value |
|---|---|
| Intake gas pressure (MPa) | 12 |
| Discharge gas Pressure (MPa) | 45 |
| Operating frequency (Hz) | 5 |
| Piston velocity equation | |
| Flow rate (Nm3/h) | 200 |
| Temperature of intake gas (°C) | 25 |
| Diameter of Hydraulic Cylinder Piston (mm) | Pump Displacement (mL/r) | Maximum Hydraulic Diameter of Throttle Valve (mm) |
|---|---|---|
| 80 | 175 | 13.5 |
Disclaimer/Publisher’s Note: The statements, opinions and data contained in all publications are solely those of the individual author(s) and contributor(s) and not of MDPI and/or the editor(s). MDPI and/or the editor(s) disclaim responsibility for any injury to people or property resulting from any ideas, methods, instructions or products referred to in the content. |
© 2023 by the authors. Licensee MDPI, Basel, Switzerland. This article is an open access article distributed under the terms and conditions of the Creative Commons Attribution (CC BY) license (https://creativecommons.org/licenses/by/4.0/).
Share and Cite
Guo, Y.; Tang, Y.; Cao, J.; Diao, A.; Peng, X. Control Strategies for Piston Trajectory in Ionic Compressors for Hydrogen Storage. Appl. Sci. 2023, 13, 11759. https://doi.org/10.3390/app132111759
Guo Y, Tang Y, Cao J, Diao A, Peng X. Control Strategies for Piston Trajectory in Ionic Compressors for Hydrogen Storage. Applied Sciences. 2023; 13(21):11759. https://doi.org/10.3390/app132111759
Chicago/Turabian StyleGuo, Yi, Yuming Tang, Junhao Cao, Anna Diao, and Xueyuan Peng. 2023. "Control Strategies for Piston Trajectory in Ionic Compressors for Hydrogen Storage" Applied Sciences 13, no. 21: 11759. https://doi.org/10.3390/app132111759
APA StyleGuo, Y., Tang, Y., Cao, J., Diao, A., & Peng, X. (2023). Control Strategies for Piston Trajectory in Ionic Compressors for Hydrogen Storage. Applied Sciences, 13(21), 11759. https://doi.org/10.3390/app132111759

