Abstract
The flow field around the grinding wheel prevents grinding fluid from entering the grinding area, which deteriorates machining conditions and reduces the quality of the workpiece. MQL (Minimum Quantity Lubrication) grinding uses compressed gas to improve the ability of the grinding fluid to pass through the flow field of the grinding wheel so that a small amount of the grinding fluid can meet the cooling and lubrication requirements and reduce the cost of using grinding fluid. In this study, we investigated the flow field of grinding wheels under MQL conditions and obtain the rules that influence factors such as grinding fluid flow rate, grinding wheel linear speed and compressed gas pressure affect the flow rate of grinding fluid. The simulation method was used to simulate the flow field of the grinding wheel and the trajectory of the grinding fluid droplets. The simulation results show that these factors are important ones affecting the effective flow rate of grinding fluid. Meanwhile, the experimental results verify that these factors have the same influence pattern on the effective flow rate and grinding temperature.
1. Introduction
In recent years, with the rapid development of the application of aerospace engineering, higher demands are raised to control the manufacturing process and improve product quality. Grinding technology is increasingly concerned with achieving high performance and meeting the requirements of high-quality parts [1,2,3]. During grinding, there is a high temperature in the grinding contact area between the workpiece and the grinding wheel. The high temperature will cause thermal damage to the workpiece such as burns, cracks, phase changes and residual stresses [4,5,6,7].
MQL technology mixes a small amount of grinding fluid with compressed gas to form a grinding fluid spray, which improves the ability of grinding fluid to penetrate into the grinding area, thus improving the cooling effect. Since only a small amount of grinding fluid is required for MQL grinding, it is considered to be near-dry grinding. Experiments have shown that MQL technology helps to reduce grinding force and temperature, while improving surface quality [8,9,10,11]. This is because under the action of compressed gas, the grinding fluid is more likely to reach the grinding area through the air boundary layer around the grinding wheel [12,13].
The air barrier layer around the grinding wheel is the key factor affecting the cooling effect of the grinding fluid. With the increase in the linear velocity of the grinding wheel, the obstruction of the air barrier layer is enhanced, especially in high-speed grinding. Using the traditional pouring cooling method, only 25% of the grinding fluid goes into the grinding zone to cool and lubricate [14]. In order to improve the cooling performance of grinding fluid, it is necessary to study the flow field around the grinding wheel. Ebbrell et al. [15] studied the flow field of the grinding wheel through an experiment. The results show that the reflected flow will form in the wedge grinding area, which will obstruct the grinding fluid from going into the grinding area. Moreover, the reflected flow enhanced with the increase in the rotational velocity of the grinding wheel and weakened with the decrease in the gap between the grinding wheel and the workpiece. Hadad and Sadeghi [16] established a heat distribution model considering the influence of MQL jets. On the basis of this and the moving triangular heat source model, a model which can predict the grinding temperature was established. In the model, the MQL jet is considered as a homogeneous two-phase fluid in the flow cross-sectional area which have equal liquid, gas velocities and temperatures. However, in the presence of viscous force, droplets adhere to the workpiece surface and separate from compressed air. Thus, in the grinding zone, the MQL jet should not be considered as a homogeneous two-phase fluid. On the basis of the boundary layer theory, Li et al. [17] studied the effect of minimum quantity lubrication of nanofluids on surface grinding temperature and developed a convective heat transfer coefficient model. Using computational fluid dynamics simulation technology, Baumgart et al. [18] studied the interaction between cooling jet and air field, which is helpful for improving the understanding of the interaction between the grinding wheel, air field and grinding fluid. Mandal et al. [19] studied the pressure change in the grinding wheel flow field under different parameters, and the formation of the gas barrier layer. A pneumatic barrier device was designed to restrain the grinding wheel gas flow field, so as to improve the utilization rate of grinding fluid.
Although there is much research on the flow field of the grinding wheel and MQL, few scholars have studied the flow field of grinding wheel under the MQL conditions, and there is a lack of research on the influence of the grinding wheel flow field on the MQL jet entering the grinding zone. In fact, the ability of the MQL jet penetrating the flow field of grinding wheel is the key factor to determine the cooling effect of MQL. The distribution of the flow field in the grinding wheel has a great effect on the movement of the MQL jet. Also, it determines whether the MQL jet can enter the grinding zone.
In this study, in order to investigate the flow field of grinding wheels under MQL conditions and obtain the rules that how the influence factors affect the flow rate of grinding fluid and the grinding temperature. The discrete term simulation model is used to simulate and analyze the flow field of grinding wheel under the MQL conditions based on computational fluid dynamics. The gas in the grinding area is taken as the continuous phase, and the MQL droplet as the discrete phase. The effect of micro-lubrication parameters, such as gas pressure, grinding fluid flow, etc., on the effective flow of the grinding fluid into the grinding area is deeply explored.
2. Flow Field Analysis of the Grinding Wheel
2.1. Theoretical Modeling of the Grinding Wheel Flow Field
When the grinding wheel rotates, it will drive the air micro-cluster on its surface to move. Because the air is viscous, the air micro-clusters on the surface of the grinding wheel will drive its adjacent air micro-clusters to move, forming a circular air flow around the grinding wheel, that is, circumferential flow. The air on the side surface of the grinding wheel flows to the edge of the grinding wheel under the action of centrifugal force, and new air is constantly replenished to the side of the grinding wheel, forming a radial flow from the center of the grinding wheel to the edge of the grinding wheel. For the grinding wheels with pores, osmotic flow and internal flow will also be formed. The circumferential flow, the radial flow, the osmotic flow and the internal flow jointly constitute the flow field of the grinding wheel [20].
When simulating the flow field of grinding wheel, the compressibility of air has a great influence on the simulation results. The compressibility of air can be judged according to its Mach number, which is recorded as Ma. Ma can be calculated using Equation (1).
Here, is the flow rate of air, a is the sound velocity in the environment, and T is the ambient temperature. The flow rate of air can be substituted by the maximum velocity of the air, that is, the rotational velocity of the grinding wheel. According to Equations (1) and (2), the Ma is 0.1156, and is smaller than 0.3 if the maximum velocity of grinding wheel is 40 m/s and the ambient temperature T is 298 K. In this case, the air can be considered incompressible gas when analyzing the flow field of grinding wheel.
According to the theory of fluid mechanics, the flow field of grinding wheel meets the continuity equation, momentum conservation equation and energy conservation equation [21]. The following is the continuity equation:
Since the air is considered an incompressible gas, the continuity equation can be reduced to Equation (4).
The following equations, (5) and (6), are the momentum conservation equation and the energy conservation equation, respectively.
Here, ρ is the fluid density; f is the physical force; τ is the shear force; is the velocities u, v and w in the x and y directions; λ is the thermal conductivity of the fluid; T is the temperature of the flow field; and e is the internal energy.
As the number of unknowns in the equation is redundant to the number of equations, the k-ε turbulence model is introduced to make the equation closed. Equation (7) is the k-equation and Equation (8) is the ε-equation.
In these equations, k is the turbulent energy and ε is the turbulent dissipation rate; and are the turbulent Prandtl numbers; and the model constants are taken as 1.44 for , 1.92 for , , and , respectively.
2.2. Two-Phase Flow Model
The Eulerian and Lagrangian methods are commonly used in the field of fluid dynamics research to describe the motion of the flow field. Based on the Eulerian and Lagrangian methods, the Eulerian–Eulerian and Eulerian–Lagrangian methods were developed in the two-phase flow simulation. The Eulerian–Eulerian method is studied in the Eulerian coordinate system. In the Eulerian–Eulerian simulation, both the fluid and the particles are considered as continuous phases, and both of them can interpenetrate and interact with each other. In the Eulerian–Lagrangian method, fluid phases are considered as continuous phases, such as gas and liquid phases, and particles in the phases are treated as discrete phases, such as liquid droplets in a spray. In this study, the main Eulerian–Lagrangian model in simulation is the DPM (Discrete Phase Model) [21].
MQL grinding technology is a lubrication method that mixes grinding fluid with compressed air, atomizes it into micron-sized droplets, and then enters the grinding area for cooling and lubrication purposes. The amount of grinding fluid in micro lubrication is much less than the amount of air. In the fluid calculation simulation, when the volume rate of liquid and gas is less than 10%, the discrete phase model should be used. Therefore, the discrete phase model is more consistent with the simulation of the coupled field of MQL jet and grinding wheel flow field.
3. Simulation and Analysis of Three-Dimensional Grinding Wheel Flow Field
When the width of the grinding wheel and the workpiece is small, the airflow in the grinding area tends to flow out from the side, which has a significant impact on the flow field distribution in the grinding area. The three-dimensional simulation model can be used to better analyze the flow field distribution in the edge area of the grinding wheel.
3.1. Three-Dimensional Simulation Model Construction and Parameter Setting
The airflow field of the grinding wheel is taken as the simulation object, and the area around the grinding wheel of 140 mm × 150 mm × 40 mm is taken as the calculation domain, as shown in Figure 1. The three-dimensional model is imported into the ICEM CFD software from Ansys 19.2 for meshing. In order to avoid the distortion of the mesh at the minimum gap and to improve the calculation accuracy, the mesh is encrypted in this area. The delineation results are shown in Figure 2.
Figure 1.
Three-dimensional simulation geometry model.
Figure 2.
Schematic diagram of the mesh.
Due to the fact that the movement velocity of the workpiece is much less than the linear velocity of the grinding wheel, the movement velocity of the workpiece can be ignored. Set the workpiece surface as a fixed wall, and the grinding wheel surface as a moving wall. The wall type is a rotating wall, and its motion velocity is set according to the linear velocity of the grinding wheel. According to the theory of fluid mechanics, as the distance to the grinding wheel increase, the smaller the disturbance of the grinding wheel rotation on the air, the weaker the air flow. Its pressure is similar to atmospheric pressure. Therefore, the flow field boundary of the grinding wheel is set to the pressure outlet boundary. The specific condition settings for the fluid simulation are shown in Table 1.
Table 1.
Simulation parameter settings.
3.2. Characterization of Velocity Distribution of Flow Field
The velocity vector distribution of the flow field can be obtained by fluent simulation, as shown in Figure 3. To facilitate the analysis, three faces of z = 1 mm, z = 4 mm and z = 7 mm are taken, as shown in Figure 4. The velocity vector local enlargement of the wedge introduction area of the three faces is extracted, as shown in Figure 5.
Figure 3.
Schematic diagram of velocity vector distribution of flow field.
Figure 4.
Interface schematic diagram.
Figure 5.
Partial enlargement of velocity vector distribution in wedge area (a) z = 1 mm; (b) z = 4 mm; (c) z = 7 mm.
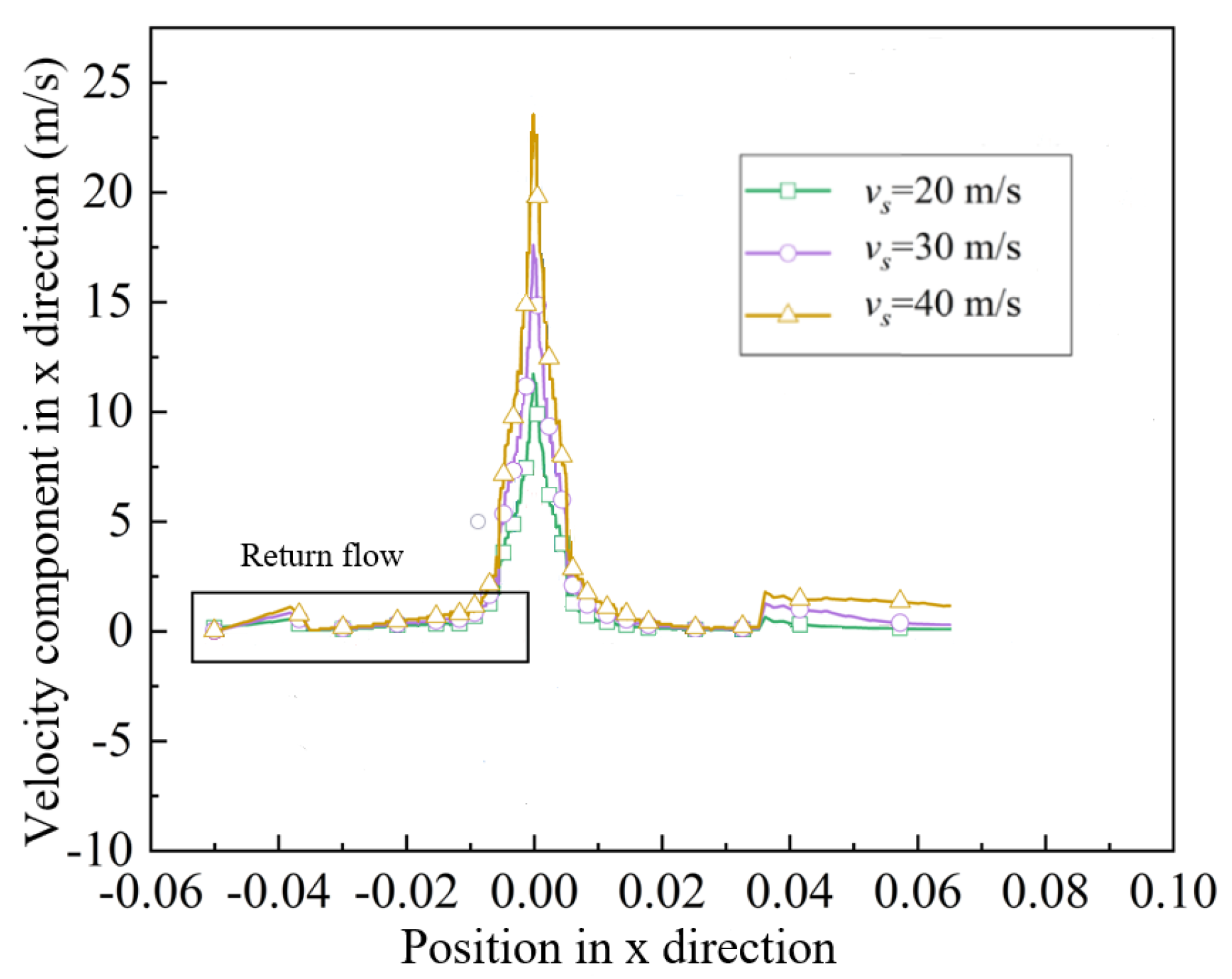
As can be seen from Figure 5, no significant return flow is found in different cross sections of the wedge introduction zone in the three-dimensional flow field simulation. In the radial direction, the closer to the grinding wheel, the greater the airflow velocity, which is conducive to the grinding fluid entering the grinding zone. When placing the nozzle, it should be placed as close to the grinding wheel as possible. To study the distribution state of the flow field in the wedge region, the x-directional velocity distribution curves were extracted under different conditions, as shown in Figure 6.
Figure 6.
x-directional velocity distribution curve under different linear velocity.
From Figure 6, in the grinding area, the x-directional velocity gradually increases when approaching the minimum gap from both sides. x-directional velocity reaches the maximum value at the minimum gap. This is because the width between the grinding wheel and the workpiece is small. The air driven by the grinding wheel flows to the minimum gap and then flows out from both sides of the grinding wheel. To study the airflow in the wedge introduction zone, the horizontal surface velocity vector distribution was extracted, as displayed in Figure 7.
Figure 7.
Velocity vector distribution diagram.
As can be seen in Figure 7, there is a clear lateral overflow in the wedge introduction zone, which is marked with in red ellipse and arrows. Due to the presence of the lateral overflow, air flows out from the lateral direction when it flows to the minimum gap. It avoids the formation of a reverse return flow in the wedge introduction zone, which prevents the grinding fluid from going into the grinding zone. However, when the lateral overflow flow rate is too high, the micro-lubrication jet droplets cannot overcome the effect of the lateral overflow. Driven by the lateral overflow, it will flow out of the grinding area from the lateral direction, which is not conducive to the lubrication and cooling of the grinding area by the grinding fluid. This reduces the cooling and lubricating effect of micro-lubrication and greatly lowers the utilization rate of grinding fluid. To investigate the factors affecting the intensity of the lateral overflow, the velocity distribution clouds were extracted in Figure 8 and Figure 9.
Figure 8.
The lateral overflow vector diagram under different pressures.
Figure 9.
The lateral overflow vector diagram under the different grinding wheel linear velocity.
The lateral overflow vector diagram under the different compressed gas pressure are presented in Figure 8. From the red streamlines, it could be seen that as the compressed gas pressure increases, the velocity of the wedge increases, but the lateral overflow component decreases. The increase in velocity facilitates the grinding fluid to go into the grinding zone. The weakening of the lateral overflow reduces the outflow of the grinding fluid from the lateral direction. Therefore, increasing the compressed gas pressure helps to improve the cooling lubrication effect of micro-lubrication. Figure 9 represents the velocity vector distribution in the wedge introduction zone under the different grinding wheel linear velocity. As the linear velocity of the grinding wheel increases, both the velocity of the wedge zone and the strength of the lateral overflow increases, which could also be seen from the red streamlines. The enhancement of the lateral overflow increases the difficulty of droplets to overcome the air barrier layer. It makes the droplets flow out of the grinding area under the effect of the lateral overflow, which reduces the utilization rate of the grinding fluid and the cooling lubrication effect.
3.3. Simulation and Analysis of the Grinding Wheel Flow Field under MQL Conditions
In the three-dimensional simulation, the airflow direction in the wedge area of the flow field causes the grinding fluid to flow out of the grinding area, reducing the effective flow rate of the grinding fluid. In order to simplify the calculation, a simulation analysis of the grinding wheel flow field under MQL conditions is carried out to study the trajectory of the grinding fluid droplet movement in the flow field. The mechanisms of the grinding wheel linear velocity, the compressed gas pressure and the grinding fluid flow rate on the effective flow rate are analyzed in detail.
Since there are two states of fluids, gas and liquid, the amount of micro-lubricated grinding fluid is extremely small and the gas-liquid volume ratio is much less than 10%, the grinding fluid is regarded as a discrete phase. The gas–liquid two-phase flow DPM model is used in the study. Since the MQL cooling technique involves mixing the grinding fluid with the compressed gas to atomize the grinding fluid. Therefore, the air-assisted atomization model, which is one type of the gas-liquid two-phase flow DPM model, was selected for fluid simulation. Vegetable oil was used as the grinding fluid. The material properties of the vegetable oil are shown in Table 2.
Table 2.
Simulation parameters.
The simulation is performed under MQL conditions, and the computational domain boundary is set to the pressure outlet boundary condition. The grinding wheel surface is set as a rotating wall surface. The surface of the workpiece and the nozzle wall are set as fixed walls. The nozzle outlet is set as the pressure inlet boundary condition. The DPM type of both pressure outlet and inlet boundary is set to escape type. The DPM type of the gas wall is set to reflect type. Set the grinding fluid flow rate and the compressed gas pressure according to the adjustable range of the actual MQL equipment parameters. Establish the simulation model as shown in Figure 10. The droplet motion trajectory in the flow field of the grinding wheel is simulated, and the specific parameters are shown in table in Section 4.2.
Figure 10.
Flow field simulation geometry model.
3.3.1. The Wedge Region under the Influence of MQL Jet
The MQL jet enters the airflow field of the wheel and forms a disturbance to the flow field of the wheel, which in turn affects the distribution of the flow field of the wheel. The local enlargement of velocity vector of flow field and the pressure distribution in the wedge region under the influence of MQL jet are obtained by simulation. Figure 11 illustrates the local magnification of velocity distribution of flow field. Figure 12 shows the pressure distribution.
Figure 11.
Local enlargement of the velocity vector in the wedge region.
Figure 12.
Pressure distribution of flow field.
As can be seen from Figure 11, the MQL jet has a large effect on the velocity distribution in the wedge region. Vortex flows appear at both the upper and lower positions of the nozzle outlet. Based on the flow direction of the vortex, it can be judged that the presence of the vortex will obstruct the grinding fluid droplets from going into the grinding zone and diminish the cooling and lubrication influence of the grinding fluid.
According to Figure 12, the MQL jet enhances the pressure in the wedge zone and expands the high-pressure zone. Such a change is unfavorable for the grinding fluid to go into the grinding zone.
3.3.2. Effect of MQL Jet on the Flow Field of the Grinding Wheel
The effect of the MQL jet on the flow field of the grinding wheel is not conducive to the grinding fluid entering the grinding zone. However, the small droplets produced by atomization of grinding fluid have certain kinetic energy and can overcome the obstruction of the grinding wheel flow field to enter the grinding zone. Since the grinding fluid density is certain, the droplet kinetic energy is determined by the initial velocity of the droplet and the droplet volume. According to the spray principle, the grinding fluid flow rate and the compressed gas pressure are the key factors affecting the droplet volume and velocity.
- Effect of Grinding Fluid Flow on Effective Flow Rate
When the grinding wheel linear velocity was 40 m/s and the compressed gas pressure was 6 bar, the grinding fluid flow rates were taken as 54.11 mL/h, 66.41 mL/h and 77.17 mL/h. The trajectory diagrams of droplet motion at three flow rates were obtained, which were illustrated by Figure 13. It was found that the effective flow rate of the grinding fluid into the grinding zone did not differ much under the three flow rate conditions. The reason is that the variation in the grinding fluid flow rate is too small, only about 10 mL/h, which has a small effect on the volume and velocity of the droplets. The kinetic energy of the droplets did not change much under the three conditions.

Figure 13.
Droplet trajectory under the different grinding fluid flow. (a) Q = 54.11 mL/h; (b) Q = 66.41 mL/h; (c) Q = 77.17 mL/h.
- 2.
- Effect of the grinding wheel linear velocity on effective flow rate
When the grinding fluid flow rate was taken as 77.17 mL/h and the compressed gas pressure was 6 bar, the grinding wheel linear speed was set to 20 m/s, 25 m/s, 30 m/s, 35 m/s and 40 m/s for fluid simulation. The results are shown in Figure 14. It can be found that when the linear velocity is less than 30 m/s, due to the air barrier layer, the grinding fluid flowing out of the grinding area decreases as the linear velocity of the grinding wheel increases, i.e., the effective flow rate increases. When the linear velocity is greater than 30 m/s, the effective flow rate of grinding fluid lowers as the linear velocity of the grinding wheel raises. This is due to the weak strength of the air barrier layer when the linear velocity is low. The grinding fluid droplets still have high velocity after passing through the air barrier layer and break into small droplets on the workpiece surface and grinding wheel. The effective flow rate increases. As the linear velocity increases, the airflow field obstruction increases. When the grinding wheel linear velocity exceeds 30 m/s, the obstructing effect of the air barrier increases, the velocity of grinding fluid droplets lowers, and the droplets number that collide and splash decreases. The power of the grinding fluid droplets to pass through the air barrier is reduced, resulting in a lower effective flow rate into the grinding zone.

Figure 14.
Droplet trajectory under the different grinding wheel linear velocity. (a) υs = 20 m/s; (b) υs = 25 m/s; (c) υs = 30 m/s; (d) υs = 35 m/s.
- 3.
- Effect of the compressed gas pressure on effective flow rate of the grinding fluid
When the grinding wheel linear velocity was 40 m/s and the grinding fluid flow rate was 77.17 mL/h, the motion trajectories of the grinding fluid droplets under the different pressure conditions were obtained by varying the compressed gas pressure. The values of compressed gas pressure were taken as 2 bar, 4 bar and 6 bar. The motion trajectory diagrams of the extracted droplets in the whole calculation domain are shown in Figure 15a–c.

Figure 15.
Droplet trajectories at the different compressed gas pressures. (a) P = 2 bar; (b) P = 4 bar; (c) P = 6 bar.
4. Experimental Verification
When the grinding fluid contacts the workpiece surface, it will effectively reduce the temperature of the grinding zone. In this study, the grinding temperature is used to verify the cooling effect of workpiece under micro lubrication conditions. Also, the effects of the flow rate, the grinding wheel velocity, and the compressed gas pressure on the grinding temperature is deeply analyzed.
4.1. Test the Droplet Size
According to the atomization theory, spray droplets have different sizes and regular distribution. In the experiment, MQL spray droplets were characterized by the Sauter average diameter D32. The average particle size of MQL spray under different parameters was measured by Malvern laser particle size analyzer with the model LDSA-SPR 1500A. The measurement system diagram is illustrated in Figure 16. The test results are displayed in Figure 17.
Figure 16.
Droplet size test equipment.
Figure 17.
The diameters of droplet SMD.
4.2. Grinding Temperature Measurement
In this study, the machine tool used for grinding was the Carver S600A. Its maximum spindle speed is 18,000 rpm. The maximum working travels of the x, y and z axes were 600 mm, 500 mm, and 300 mm, respectively. The workpiece size was 15 mm × 15 mm × 70 mm and its material was maraging steel 3J33. The experiment used CBN grinding wheels and the UNI-MAX MQL equipment. The type K thermocouple is connected to the LAB view signal acquisition system with an NI-9351 thermometer. The diameter of the two wire cores of the thermocouple is 0.255 mm. But they are different materials with one core made of nickel chromium and the other made of nickel silicon. It could obtain the grinding temperature of the workpiece surface. The detailed experiment equipment is illustrated in Figure 18.
Figure 18.
Grinding experimental setup.
As displayed in Figure 19, the workpiece was divided into two parts named workpiece 1 and workpiece 2. They were connected by screws. At the end of the workpiece, there is a groove, where the thermocouple was installed. The thermocouple wire was clamped between workpiece 1 and workpiece 2. In addition, polyimide film was placed between the thermocouple and the workpiece. It was used for insulation and isolation between the two poles of the thermocouple. During grinding, there would generate high temperature in the grinding area. At the same time, there would be severe squeezing between the grinding wheel and the workpiece. Then, the thermocouples are connected and welded to form thermocouple nodes through insulation and isolation, thus forming a closed loop. Ultimately, the grinding temperature could be measured.
Figure 19.
Schematic diagram of thermocouple installation.
When the MQL nozzle is positioned at an angle toward the wheel (at approximately 10–20° to the workpiece surface), the effect of the cooling and lubrication of MQL would be better [22]. So, the value of nozzle angle is set as 15° and the value of droplet deposition distance is set as 40 μm.
The cooling and lubrication effect of MQL mainly depends on how well the grinding fluid penetrates the air boundary and enter the grinding zone. That is, it depends mainly on the compressed gas pressure P, the flow rate of the grinding fluid Q and the grinding wheel velocity νs. The grinding depth αe and the workpiece feed rate νw mainly influence the heat of the grinding fluid passing through the air boundary layer. Hence, the grinding depth and the feed rate are set to the constant values of 0.01 m/s and 8 μm, respectively. The other detailed parameters are listed in Table 3.
Table 3.
Detailed parameters.
4.3. Discussion
The effective flow rate of the grinding fluid into the grinding zone directly affects the grinding temperature. Grinding temperature is the main factor affecting the surface quality of the grinding process. Excessive grinding temperature could cause burns, oxidation, cracks, phase transformation of the workpiece material. It also could reduce the surface hardness and smoothness of the workpiece. In this paper, the grinding temperature were obtained under different parameters. The trends of the grinding temperature with the flow rate, the linear velocity of the grinding wheel and the compressed gas pressure are shown in Figure 20, Figure 21 and Figure 22.
Figure 20.
Effect of the grinding fluid flow rate on the grinding temperature.
Figure 21.
Effect of the grinding wheel linear velocity on the grinding temperature.
Figure 22.
Effect of the compressed gas pressure on the grinding temperature.
As seen in Figure 20, the workpiece grinding temperature decreases with the increase in the flow rate of the grinding fluid. When the flow rate of the grinding fluid is lower than 45 mL/h, the grinding temperature decreases significantly with the increase in the flow rate of the grinding fluid. When the flow rate of the grinding fluid is greater than 45 mL/h, the decreasing tendency of the grinding temperature slows down with the increasing of the grinding fluid flow rate. The reason for this is that the content of the discrete terms in the MQL jet increases as the grinding fluid flow rate increases. The energy exchange between the grinding fluid and compressed air becomes more intense, which reduces the velocity of the MQL jet. Under high air pressure conditions, increasing the flow rate of grinding fluid can reduce the droplet velocity and prevent droplet splashing, which cannot provide cooling and lubrication [23]. In addition, increasing the flow rate of grinding fluid can reduce the heat conducting into the workpiece. However, as the grinding fluid flow rate continues to increase, the droplet velocity decreases and the ability to penetrate the gas barrier layer decreases, resulting in a slower trend in the grinding temperature decrease.
From Figure 21, it can be seen that the grinding temperature first reduces and then increases as the grinding wheel linear velocity improves. When the linear velocity of the grinding wheel increases, the air barrier layer around the grinding wheel enhances, which hinders the grinding fluid. The velocity of the grinding fluid droplets decreases, reducing the loss of grinding fluid caused splashing. This increases the effective flow rate of the grinding fluid and the heat transfer coefficient, which reduces the amount of heat entering the workpiece and lowers the grinding temperature. When the grinding wheel linear velocity increases to a certain value, such as 30 m/s in Figure 21, further increasing the grinding wheel linear velocity leads to a strong strength of the air barrier layer, resulting in less grinding fluid going into the grinding area and a lower cooling and lubrication effect. Moreover, the increase in the grinding wheel linear velocity of increases heat generation, and eventually leads to the increase in the grinding temperature.
According to Figure 22, as the compressed gas pressure increases, the grinding temperature first reduces and then increases, and the temperature curve inflection point is different for different grinding wheel linear velocities. The grinding temperature gets to its minimum value at a grinding wheel velocity of 30 m/s and an air pressure of 4 bar. When the linear velocity of the grinding wheel is 40 m/s and the air pressure is 5 bar, the grinding temperature gets to the lowest value. During the grinding process, the air barrier formed by the grinding wheel rotation has an obstructive effect on the grinding fluid entering the grinding zone. When the pressure of the compressed gas increases, the velocity of the MQL jet increases and the penetration ability of the grinding fluid droplets increases, making it easier for them to pass through the air barrier layer and enter the grinding zone, thus improving the cooling effect. When the pressure gets to a certain critical value, if the gas pressure keeps increasing, the grinding fluid droplets will bounce and splash against the workpiece and grinding wheel surface due to the high velocity. Then, the grinding fluid droplets will not have the effect of cooling and lubrication, leading to the increase in heat transfer to the workpiece and the rise of grinding temperature on the workpiece surface. The critical value of the pressure is related to the strength of the gas barrier layer around the grinding wheel.
It is recommended to choose a higher air pressure, critical linear velocity and a high flow rate. The high linear velocity can decrease the grinding force. The critical air pressure can ensure that as much grinding fluid as possible enters the grinding zone. The high flow rate can ensure good cooling performance. Typical data values are as follows: vs. =30 m/s, P = 4 bar, Q = 77.17 mL/h or vs. =40 m/s, P = 5 bar, Q = 77.17 mL/h.
5. Conclusions
In this study, a three-dimensional simulation model of the grinding wheel flow field under MQL grinding conditions is established. The simulation results show that the grinding wheel linear speed and the minimum clearance between the grinding wheel and the workpiece affect the distribution of the grinding wheel flow field. The grinding fluid flow rate, the grinding wheel linear velocity and the compressed gas pressure are key factors affecting the effective flow rate of grinding. The laws of these influencing factors on the grinding temperature were experimentally verified. The conclusions are as follows.
- (1)
- There is a clear relationship between the grinding temperature and the grinding fluid flow rate. The grinding temperature decreases as the grinding fluid flow rate increases. When the flow rate of the grinding fluid is lower than 45 mL/h, the grinding temperature is inclined to reduce more with the increase in the flow rate of the grinding fluid. When the flow rate of the grinding fluid is larger than 45 mL/h, the tendency of grinding temperature decreasing with the increase in grinding fluid flow rate slows down.
- (2)
- The change in speed of the grinding wheel affects the flow rate of the grinding fluid, which in turn affects the grinding temperature. As the linear speed of the grinding wheel improves, the effective flow rate of the grinding fluid first improves and then reduces. Accordingly, the grinding temperature first reduces and then improves. When the linear speed is less than 30 m/s, with the increase in linear speed, the effective flow rate increases and the grinding temperature decreases. When the linear speed is greater than 30 m/s, with the increase in linear speed, the effective flow of grinding fluid decreases and the grinding temperature increases.
- (3)
- The compressed gas pressure affects the effective flow rate of grinding fluid and the grinding temperature. As the compressed gas pressure increases, the effective flow rate of grinding fluid grows first and then reduces. Accordingly, the grinding temperature decreases first and then increases. The temperature curve inflection point is different for different grinding wheel linear speed.
In the paper, only one type of grinding fluid was used for research. In future research, different types of grinding fluid can be considered for MQL grinding research to analyze the influence of grinding fluid parameters on the cooling effect of MQL.
Author Contributions
Conceptualization, Z.D. and W.N.; methodology, W.N.; software, J.S.; validation, W.N. and J.S.; investigation, W.N.; writing—original draft, W.N.; writing—review and editing, Z.D. All authors have read and agreed to the published version of the manuscript.
Funding
This research was funded by the Natural Science Foundation of China, grant number 51705323.
Institutional Review Board Statement
Not applicable.
Informed Consent Statement
Not applicable.
Data Availability Statement
Not applicable.
Conflicts of Interest
The authors declare no conflict of interest.
References
- Li, K.; Chou, S. Experimental evaluation of minimum quantity lubrication in near micro-milling. J. Mater. Process. Tech. 2010, 210, 2163–2170. [Google Scholar] [CrossRef]
- Sun, C.; Xiu, S.; Hong, Y.; Kong, X.; Lu, Y. Prediction on residual stress with mechanical-thermal and transformation coupled in DGH. Int. J. Mech. Sci. 2021, 179, 105629. [Google Scholar] [CrossRef]
- Zhang, Y.; Wang, Q.; Li, C.; Piao, Y.; Hou, N.; Hu, K. Characterization of surface and subsurface defects induced by abrasive machining of optical crystals using grazing incidence X-ray diffraction and molecular dynamics. J. Adv. Res. 2021, 36, 51–66. [Google Scholar] [CrossRef]
- Ding, Z.; Sun, G.; Guo, M.; Jiang, X.; Li, B.; Liang, S. Effect of phase transition on micro-grinding-induced residual stress. J. Mater. Process. Tech. 2020, 281, 116647. [Google Scholar] [CrossRef]
- Ji, X.; Li, B.; Zhang, X.; Liang, S. The effects of minimum quantity lubrication (MQL) on machining force, temperature, and residual stress. Int. J. Precis. Eng. Manuf. 2014, 15, 2443–2451. [Google Scholar] [CrossRef]
- Shao, Y.; Fergani, O.; Ding, Z.; Li, B.; Liang, S. Experimental investigation of residual stress in minimum quantity lubrication grinding of AISI 1018 steel. J. Manuf. Sci. Eng. 2016, 138, 711–718. [Google Scholar] [CrossRef]
- Zhuang, K.; Fu, C.; Weng, J.; Hu, C. Cutting edge microgeometries in metal cutting: A review. Int. J. Adv. Manuf. Tech. 2021, 116, 2045–2092. [Google Scholar] [CrossRef]
- Liao, Y.; Liao, C.; Lin, H. Study of oil water ratio and flow rate of MQL fluid in high speed milling of Inconel 718. Int. J. Precis. Eng. Manuf. 2017, 18, 257–262. [Google Scholar] [CrossRef]
- Huang, X.; Ren, Y.; Li, T.; Zhou, Z.; Zhang, G. Influence of minimum quantity lubrication parameters on grind-hardening process. Mater. Manuf. Process. 2018, 33, 69–76. [Google Scholar] [CrossRef]
- Balan, A.; Kullarwar, T.; Vijayaraghavan, L.; Krishnamurthy, R. Computational fluid dynamics analysis of MQL spray parameters and its influence on superalloy grinding. Mach. Sci. Technol. 2017, 21, 603–616. [Google Scholar] [CrossRef]
- Silva, L.; Correa, E.; Brandao, J.; De Avila, R. Environmentally friendly manufacturing: Behavior analysis of minimum quantity of lubricant—MQL in grinding process. J. Clean. Prod. 2020, 256, S0959652613000383. [Google Scholar] [CrossRef]
- Tawakoli, T.; Hadad, M.; Sadeghi, M. Influence of Oil Mist Parameters on Minimum Quantity Lubrication—MQL Grinding Process. Int. J. Mach. Tools Manuf. 2010, 50, 521–531. [Google Scholar] [CrossRef]
- Liu, H.; Song, W.; Niu, Y.; Zio, E. Generalized cauchy method for remaining useful life prediction of wind turbine gearboxes. Mech. Syst. Signal. 2021, 153, 107471. [Google Scholar] [CrossRef]
- Morgan, M.; Jackson, A.; Wu, H. Optimisation of fluid application in grinding. Cirp Aann-Manuf. Techn. 2008, 57, 363–366. [Google Scholar] [CrossRef]
- Ebbrell, S.; Woolley, N.; Tridimas, Y.; Allanson, D.; Rowe, W. The effects of cutting fluid application methods on the grinding process. Int. J. Mach. Tool. Manuf. 2000, 40, 209–223. [Google Scholar] [CrossRef]
- Zhang, Y.; Li, C.; Jia, D.; Zhang, D.; Zhang, X. Experimental evaluation of MoS2 nanoparticles in jet MQL grinding with different types of vegetable oil as base oil. J. Clean. Prod. 2015, 87, 930–940. [Google Scholar] [CrossRef]
- Hadad, M.; Sadeghi, B. Thermal analysis of minimum quantity lubrication-MQL grinding process. Int. J. Mach. Tool. Manuf. 2012, 63, 1–15. [Google Scholar] [CrossRef]
- Baumgart, C.; Radziwill, J.; Kuster, F. A study of the interaction between coolant jet nozzle flow and the airflow around a grinding wheel in cylindrical grinding. Procedia CIRP 2017, 58, 517–522. [Google Scholar] [CrossRef]
- Mandal, B.; Singh, R.; Das, S.; Banerjee, S. Improving grinding performance by controlling air flow around a grinding wheel. Int. J. Mach. Tool. Manuf. 2011, 51, 670–676. [Google Scholar] [CrossRef]
- Li, C.; Cai, G.; Xiu, S.; Li, Q. Material removal model and experimental verification for abrasive jet precision finishing with wheel as restraint. Key Eng. Mater. 2006, 304–305, 555–559. [Google Scholar] [CrossRef]
- Cengel, Y.A.; Cimbala, J.M. Fluent Mechanics: Fundamentals and Applications, 4th ed.; McGraw-Hill Education (Asia): Singapore, 2013; pp. 138–154. [Google Scholar]
- Zhu, D.; Feng, X.; Xu, X.; Yang, Z.; Li, W.; Yan, S. Robotic grinding of complex components: A step towards efficient and intelligent machining-challenges, solutions, and applications. Robot. Cim-Integr. Manuf. 2020, 65, 101908. [Google Scholar] [CrossRef]
- Jia, D.; Li, C.; Zhang, D.; Zhang, Y.; Zhang, X. Experimental verification of nano-particle jet minimum quantity lubrication effectiveness in grinding. J. Nanopart. Res. 2015, 16, 2758. [Google Scholar] [CrossRef]
Disclaimer/Publisher’s Note: The statements, opinions and data contained in all publications are solely those of the individual author(s) and contributor(s) and not of MDPI and/or the editor(s). MDPI and/or the editor(s) disclaim responsibility for any injury to people or property resulting from any ideas, methods, instructions or products referred to in the content. |
© 2023 by the authors. Licensee MDPI, Basel, Switzerland. This article is an open access article distributed under the terms and conditions of the Creative Commons Attribution (CC BY) license (https://creativecommons.org/licenses/by/4.0/).
























