Simulation Analysis of Acoustic Radiation from Force Excitation of Foam-Filled Stiffened Sandwich Panels
Abstract
:1. Introduction
2. Laboratory Test
2.1. Laboratory Test
2.2. Experiments Conducted
3. Simulation Results and Experimental Verification
3.1. Simulation Modeling
3.2. Validation of Simulation Models
4. Simulation Study on Foam Acoustic Parameters
4.1. Effect of Foam Static Flow Resistivity on Acoustic Radiation Performance
4.2. Effect of Foam Porosity on Acoustic Radiation Performance
4.3. Effect of Foam Tortuosity Factor on Acoustic Radiation Performance
4.4. Effect of Foam Viscous Characteristic Length on Acoustic Radiation Performance
4.5. Effect of Foam Thermal Characteristic Length on Acoustic Radiation Performance
5. Conclusions
- Without taking into account structural effects, modifying the acoustic parameters of foam has a minor influence on the peak frequency of radiated sound power, as well as the sound radiation performance in non-peak frequency ranges of the sandwich panel. Nevertheless, it has a significant impact on the peak radiated sound power.
- Within a reasonable range of foam parameter values, the porosity has a minimal impact on sound radiation performance; hence, it can be practically ignored. Peak sound radiation performance is significantly affected by static flow resistivity and tortuosity factors. A 20% variance in static flow resistivity and a 100% variance in tortuosity factor resulted in a decrease of 1.44 dB and 2.91 dB, respectively, in the peak radiated sound power level at specific frequencies. Technical term abbreviations such as “static flow resistivity” and “tortuosity factor” will be explained upon first use.
- Among the other foam parameters, reducing the thermal characteristic length and raising static flow resistivity both improve the plate’s sound radiation performance. Nevertheless, the effects of the tortuosity factor and viscous characteristic length on the sound radiation vary depending on the frequency. Specifically, within the 1–1000 Hz frequency range, reducing the tortuosity factor and lengthening the viscous characteristic both enhance the plate’s sound radiation efficiency. In contrast, within the 1000–2000 Hz frequency range, the converse trend is apparent.
Author Contributions
Funding
Institutional Review Board Statement
Informed Consent Statement
Data Availability Statement
Conflicts of Interest
References
- Tang, Z.M. Status of noise pollution, hazards and their management. Ecol. Econ. 2017, 33, 6–9. [Google Scholar]
- Xia, Q.Q.; Chen, Z.J. Vibro-acoustic characteristics of ring stiffened cylindrical shells using structure reactance improvement. J. Huazhong Univ. Sci. Tech. (Nat. Sci. Ed.) 2012, 40, 90–94. [Google Scholar]
- Tang, W.L.; He, B.R. Approximate analytic solution of vibration and sound radiation from stiffened finite cylindrical shells in water. Acta Acust. 2001, 26, 1–5. [Google Scholar]
- Birman, V.; Kardomateas, G.A. Review of current trends in research and applications of sandwich structures. Compos. Part B Eng. 2018, 142, 221–240. [Google Scholar] [CrossRef]
- Bahrami-Novin, N.; Shaban, M.; Mazaheri, H. Flexural response of fiber-metal laminate face-sheet/corrugated core sandwich beams. J. Braz. Soc. Mech. Sci. Eng. 2022, 44, 183. [Google Scholar] [CrossRef]
- Wan, Z.; Liu, Y.; Chen, X.; Wu, H.; Yin, F.; Gao, R.; Li, Y.; Zhao, T. Experimental and Numerical Investigations of the Vibration and Acoustic Properties of Corrugated Sandwich Composite Panels. Appl. Sci. 2022, 12, 8553. [Google Scholar] [CrossRef]
- Sahib, M.M.; Kovács, G. Elaboration of a Multi-Objective Optimization Method for High-Speed Train Floors Using Composite Sandwich Structures. Appl. Sci. 2023, 13, 3876. [Google Scholar] [CrossRef]
- Li, Q.; Yang, D. Mechanical and Acoustic Performance of Sandwich Panels with Hybrid Cellular Cores. J. Vib. Acoust. 2018, 140, 061016. [Google Scholar]
- Thamburaj, P.; Sun, J.Q. Optimization of Anisotropic Sandwich Beams for Higher Sound Transmission Loss. J. Sound Vib. 2002, 254, 23–36. [Google Scholar] [CrossRef]
- Wang, L. Sound Radiation Responses and Acoustic Behvior of Sandwich Panel. Master’s Thesis, The University of Regina, Regina, SK, Canada, 2019. [Google Scholar]
- Arunkumar, M.P.; Pitchaimani, J.; Gangadharan, K.V.; Leninbabu, M.C. Vibro-acoustic response and sound transmission loss characteristics of truss core sandwich panel filled with foam. Aerosp. Sci. Technol. 2018, 78, 1–11. [Google Scholar] [CrossRef]
- Khan, T.; Acar, V.; Aydin, M.; Hülagü, B.; Akbulut, H.; Seydibeyoğlu, M. A review on recent advances in sandwich structures based on polyurethane foam cores. Polym. Compos. 2020, 41, 2355–2400. [Google Scholar] [CrossRef]
- Li, H.; Ren, X.H.; Yu, C.S.; Xiong, J.; Wang, X.P.; Zhao, J. Investigation of vibro-acoustic characteristics of FRP plates with porous foam core. Int. J. Mech. Sci. 2021, 209, 106697. [Google Scholar] [CrossRef]
- Zheng, Z.Q.; Li, B.; Yan, S.L.; Qi, M.H.; Wang, N.; Kuang, W.J.; Wen, J.; Ma, Y. Acoustic radiation performance investigation of a double-walled cylindrical shell equipped with annular plates and porous foam media. J. Low Freq. Noise Vib. Act. Control 2023, 42, 851–865. [Google Scholar] [CrossRef]
- Junger, M.C.; Feit, D. Sound, Structures, and Their Interaction; The MIT Press: Cambridge, MA, USA, 1972. [Google Scholar]
- Chen, X. Noise Reduction inside Launch Vehicle Fairing Using Melamine Foam and Helmholtz Resonator. Ph.D. Thesis, Beijing Institute of Technology, Beijing, China, 2017. [Google Scholar]
- GB/T 16404-1996; Acoustics—Determination of Sound Power Levels of Noise Sources Using Sound Intensity—Part 1: Measurement at Discrete Points. State Administration for Market Regulation: Beijing, China, 1996; p. 24.
- ISO 9614-1-1993; Acoustics—Determination of Sound Power Levels of Noise Sources Using Sound Intensity—Part 1: Measurement at Discrete Points. ISO: Geneva, Switzerland, 1993.
- Johnson, D.L.; Koplik, J.; Dashen, R.F. Theory of dynamic permeability and tortuosity in fluid-saturated porous media. J. Fluid Mech. 1987, 176, 379–402. [Google Scholar] [CrossRef]
- Champoux, Y.; Allard, J.F. Dynamic tortuosity and bulk modulus in air-saturated porous media. J. Appl. Phys. 1991, 70, 1975–1979. [Google Scholar] [CrossRef]
- Allard, J.F.; Atalla, N. Propagation of Sound in Porous Media: Modelling Sound Absorbing Materials, 2nd ed.; Wiley-Blackwell: Hoboken, NJ, USA, 2009. [Google Scholar]
- Mort, R.; Vorst, K.L.; Curtzwiler, G.W.; Jiang, S. Biobased foams for thermal insulation: Material selection, processing, modelling, and performance. RSC Adv. 2021, 11, 4375–4394. [Google Scholar] [CrossRef] [PubMed]
- Xin, F.; Wang, F.; Li, S. Qualitative relationship between the curvature factor and the microstructure of porous media. J. Chem. Ind. Eng. 2000, 51, 457–461. [Google Scholar]
- Pott Pollenske, M. Limits and challenges of aircraft retrofitting for noise reduction. CEAS Aeronaut. J. 2019, 10, 69–76. [Google Scholar] [CrossRef]
- Garg, N.; Gautam, C.; Devi, A. Airborne Sound Insulation of Sandwich Partition Panels and Masonry Constructions for Noise Control. MAPAN 2023, 38, 729–743. [Google Scholar] [CrossRef]
- Erofeyev, V.; Monich, D. Sound insulation properties of sandwich panels. IOP Conf. Ser. Mater. Sci. Eng. 2020, 896, 012005. [Google Scholar] [CrossRef]












| NO. | Name | Model Number | Technical Parameters |
|---|---|---|---|
| 1 | Multi-Channel Data Acquisition Module | SCM-V8-E | Voltage/ICP Channels: 8 Max. sampling frequency: 204.8 kHz Max. effective bandwidth: 92 kHz |
| 2 | Sound Intensity Sensor | INV9212 | Sensitivity: 50 mV/Pa Frequency ranges: 50 Hz~6.3 kHz The dynamic range of sound intensity: 20~146 dB |
| Material | Density (kg·m3) | Young’s Modulus (MPa) | Poisson’s Ratio |
|---|---|---|---|
| Stainless | 7700 | 210,000 | 0.30 |
| Acrylic structural adhesive | 900 | 5000 | 0.41 |
| Static Flow Resistivity (Pa·s/m2) | Porosity | Tortuosity Factor | Viscous Characteristic Length (mm) | Thermal Characteristic Length (mm) |
|---|---|---|---|---|
| 87,000 | 0.97 | 2.52 | 0.037 | 0.119 |
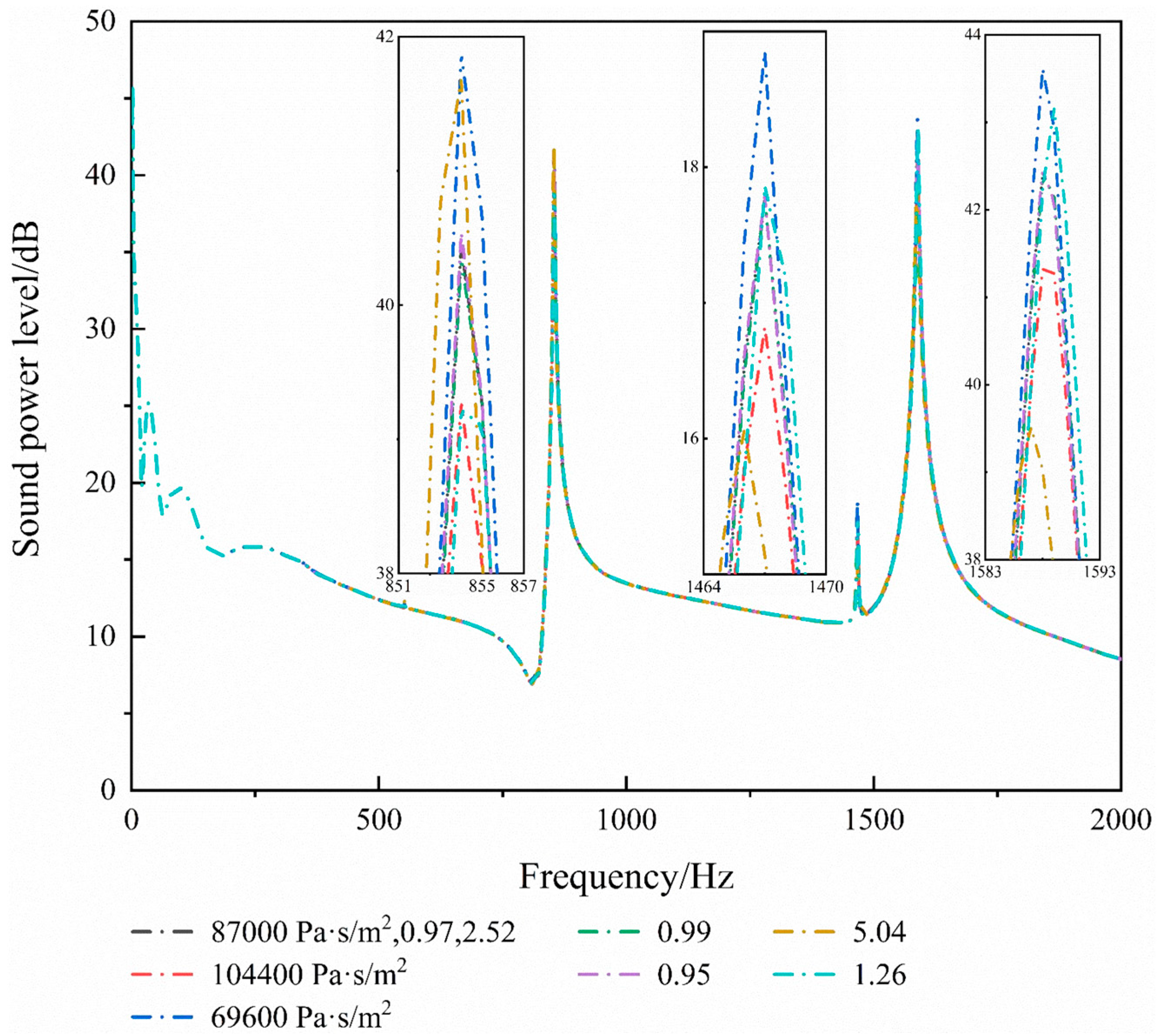
| Parameter | Peak Frequency | Sound Power Level |
|---|---|---|
| 87,000 Pa·s/m2 | 854 Hz | 41.88 dB |
| 1467 Hz | 18.85 dB | |
| 1588 Hz | 43.61 dB | |
| 104,400 Pa·s/m2 | 854 Hz | 40.43 dB |
| 1467 Hz | 17.75 dB | |
| 1588 Hz | 42.41 dB | |
| 69,600 Pa·s/m2 | 854 Hz | 39.27 dB |
| 1467 Hz | 16.82 dB | |
| 1588 Hz | 41.32 dB | |
| 0.97 | 854 Hz | 40.63 dB |
| 1467 Hz | 17.80 dB | |
| 1588 Hz | 42.50 dB | |
| 0.99 | 854 Hz | 40.73 dB |
| 1467 Hz | 17.81 dB | |
| 1588 Hz | 42.53 dB | |
| 0.95 | 854 Hz | 40.54 dB |
| 1467 Hz | 17.79 dB | |
| 1588 Hz | 42.46 dB | |
| 2.52 | 854 Hz | 39.22 dB |
| 1467 Hz | 17.86 dB | |
| 1588 Hz | 43.17 dB | |
| 5.04 | 854 Hz | 40.44 dB |
| 1467 Hz | 17.78 dB | |
| 1588 Hz | 42.42 dB | |
| 1.26 | 854 Hz | 41.68 dB |
| 1467 Hz | 16.06 dB | |
| 1588 Hz | 39.51 dB |
| Parameter | Peak Frequency | Sound Power Level |
|---|---|---|
| 0.037 mm | 854 Hz | 41.26 dB |
| 1467 Hz | 16.15 dB | |
| 1588 Hz | 40.00 dB | |
| 0.074 mm | 854 Hz | 40.44 dB |
| 1467 Hz | 17.78 dB | |
| 1588 Hz | 42.42 dB | |
| 0.0185 mm | 854 Hz | 39.83 dB |
| 1467 Hz | 18.01 dB | |
| 1588 Hz | 42.89 dB | |
| 0.119 mm | 854 Hz | 40.33 dB |
| 1467 Hz | 17.45 dB | |
| 1588 Hz | 41.96 dB | |
| 0.238 mm | 854 Hz | 40.45 dB |
| 1467 Hz | 17.75 dB | |
| 1588 Hz | 42.43 dB | |
| 0.0595 mm | 854 Hz | 40.69 dB |
| 1467 Hz | 17.95 dB | |
| 1588 Hz | 42.67 dB |
Disclaimer/Publisher’s Note: The statements, opinions and data contained in all publications are solely those of the individual author(s) and contributor(s) and not of MDPI and/or the editor(s). MDPI and/or the editor(s) disclaim responsibility for any injury to people or property resulting from any ideas, methods, instructions or products referred to in the content. |
© 2023 by the authors. Licensee MDPI, Basel, Switzerland. This article is an open access article distributed under the terms and conditions of the Creative Commons Attribution (CC BY) license (https://creativecommons.org/licenses/by/4.0/).
Share and Cite
Li, B.; Wang, N.; Ding, H.; Zheng, Z.; Kuang, W.; Wei, L. Simulation Analysis of Acoustic Radiation from Force Excitation of Foam-Filled Stiffened Sandwich Panels. Appl. Sci. 2023, 13, 10733. https://doi.org/10.3390/app131910733
Li B, Wang N, Ding H, Zheng Z, Kuang W, Wei L. Simulation Analysis of Acoustic Radiation from Force Excitation of Foam-Filled Stiffened Sandwich Panels. Applied Sciences. 2023; 13(19):10733. https://doi.org/10.3390/app131910733
Chicago/Turabian StyleLi, Bin, Ning Wang, Haoyang Ding, Zilai Zheng, Wenjian Kuang, and Langlang Wei. 2023. "Simulation Analysis of Acoustic Radiation from Force Excitation of Foam-Filled Stiffened Sandwich Panels" Applied Sciences 13, no. 19: 10733. https://doi.org/10.3390/app131910733
APA StyleLi, B., Wang, N., Ding, H., Zheng, Z., Kuang, W., & Wei, L. (2023). Simulation Analysis of Acoustic Radiation from Force Excitation of Foam-Filled Stiffened Sandwich Panels. Applied Sciences, 13(19), 10733. https://doi.org/10.3390/app131910733

